Preparation of Water-Soluble Zinc(II) Complexes with Ethylenediaminetetraacetic Acid: Molecular Structure of Zinc Ethylenediaminetetraacetate Trihydrate
- Authors: Semenov V.V.1, Zolotareva N.V.1, Novikova O.V.1, Petrov B.I.1, Lazarev N.M.1, Rumyantsev R.V.1, Lopatin M.A.1, Lopatina T.I.1, Kovylina T.A.1, Razov E.N.2,3
-
Affiliations:
- Razuvaev Institute of Organometallic Chemistry, Russian Academy of Sciences, Nizhny Novgorod, Russia
- Lobachevsky State University of Nizhny Novgorod, Nizhny Novgorod, Russia
- Institute of Problems of Mechanical Engineering, Russian Academy of Sciences—A Branch of the Federal Research Center, Institute of Applied Physics, Russian Academy of Sciences, Nizhny Novgorod, Russia
- Issue: Vol 49, No 4 (2023)
- Pages: 205-216
- Section: Articles
- URL: https://bakhtiniada.ru/0132-344X/article/view/137270
- DOI: https://doi.org/10.31857/S0132344X22600436
- EDN: https://elibrary.ru/CULYTK
- ID: 137270
Cite item
Full Text
Abstract
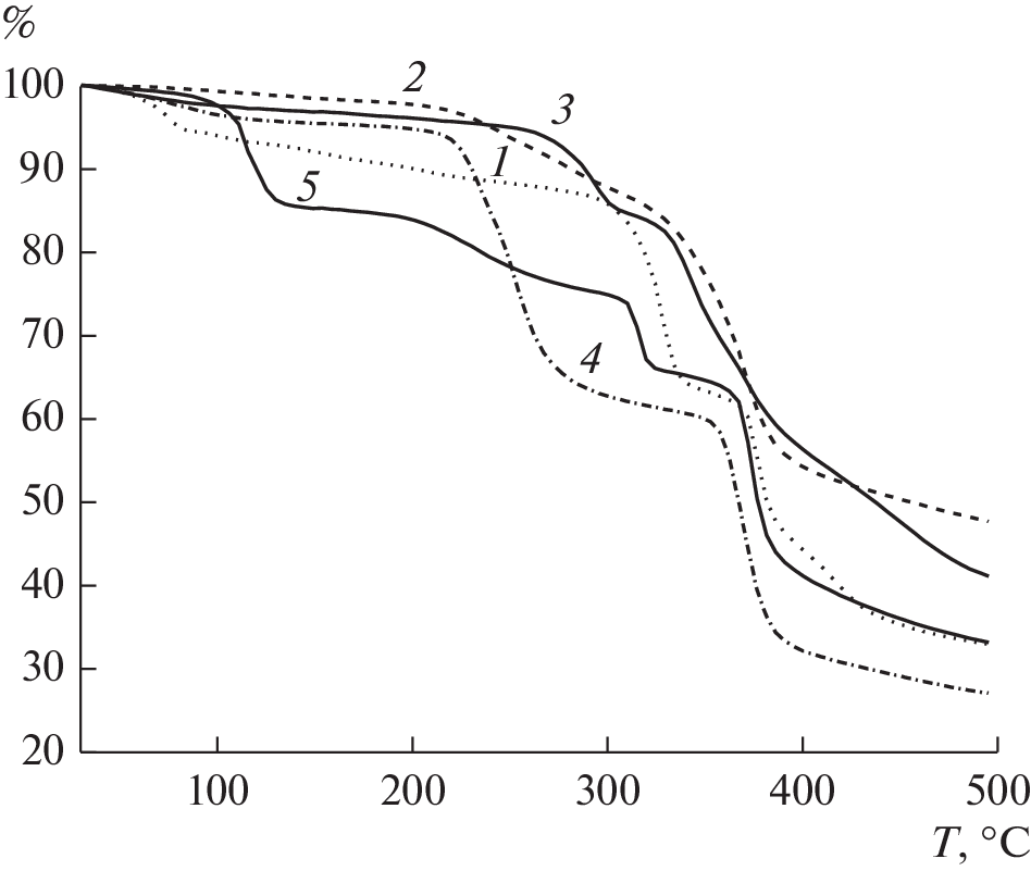
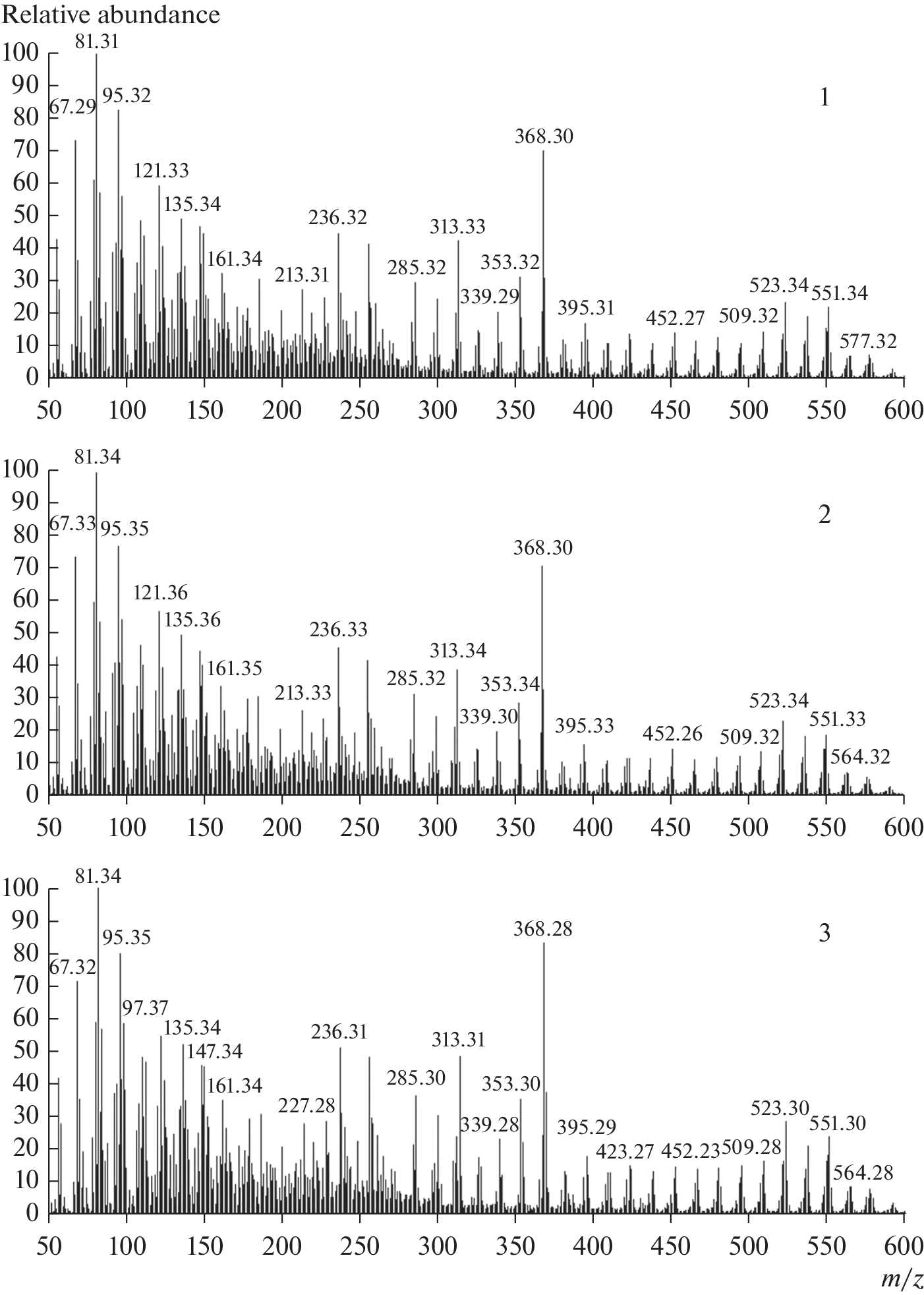
Poorly soluble zinc ethylenediaminetetraacetate zincate Zn[ZnL] reacts with sodium Na4L, potassium K4L, ammonium (NH4)4L, 2-ammonioethanol (H3NCH2CH2OH)4L, and hexamethylene-1,6-diammonium {H3N(CH2)6NH3}2L salts of ethylenediaminetetraacetic acid H4L to give readily soluble sodium Na2[ZnL], potassium K2[ZnL], ammonium (NH4)2[ZnL], 2-ammonioethanol (H3NCH2CH2OH)2[ZnL], and hexamethylene-1,6-diammonium {H3N(CH2)6NH3}[ZnL] ethylenediaminetetraacetate zincates. The reaction of tetrakis(triethylammonium) salt {(C2H5)3NH}4L with Zn[ZnL] does not give the expected bis(triethylammonium) ethylenediaminetetraacetate zincate {(C2H5)3NH}2[ZnL], but gives instead mono(triethylammonium) ethylenediaminetetraacetate zincate, {(C2H5)3NH}H[ZnL]; in aqueous solution, this product generates poorly soluble zinc ethylenediaminetetraacetate H2[ZnL(H2O)]·2H2O, which was studied by X-ray diffraction (CCDC no. 2172274).
About the authors
V. V. Semenov
Razuvaev Institute of Organometallic Chemistry, Russian Academy of Sciences, Nizhny Novgorod, Russia
Email: vvsemenov@iomc.ras.ru
Россия, Нижний Новгород
N. V. Zolotareva
Razuvaev Institute of Organometallic Chemistry, Russian Academy of Sciences, Nizhny Novgorod, Russia
Email: vvsemenov@iomc.ras.ru
Россия, Нижний Новгород
O. V. Novikova
Razuvaev Institute of Organometallic Chemistry, Russian Academy of Sciences, Nizhny Novgorod, Russia
Email: vvsemenov@iomc.ras.ru
Россия, Нижний Новгород
B. I. Petrov
Razuvaev Institute of Organometallic Chemistry, Russian Academy of Sciences, Nizhny Novgorod, Russia
Email: vvsemenov@iomc.ras.ru
Россия, Нижний Новгород
N. M. Lazarev
Razuvaev Institute of Organometallic Chemistry, Russian Academy of Sciences, Nizhny Novgorod, Russia
Email: vvsemenov@iomc.ras.ru
Россия, Нижний Новгород
R. V. Rumyantsev
Razuvaev Institute of Organometallic Chemistry, Russian Academy of Sciences, Nizhny Novgorod, Russia
Email: vvsemenov@iomc.ras.ru
Россия, Нижний Новгород
M. A. Lopatin
Razuvaev Institute of Organometallic Chemistry, Russian Academy of Sciences, Nizhny Novgorod, Russia
Email: vvsemenov@iomc.ras.ru
Россия, Нижний Новгород
T. I. Lopatina
Razuvaev Institute of Organometallic Chemistry, Russian Academy of Sciences, Nizhny Novgorod, Russia
Email: vvsemenov@iomc.ras.ru
Россия, Нижний Новгород
T. A. Kovylina
Razuvaev Institute of Organometallic Chemistry, Russian Academy of Sciences, Nizhny Novgorod, Russia
Email: vvsemenov@iomc.ras.ru
Россия, Нижний Новгород
E. N. Razov
Lobachevsky State University of Nizhny Novgorod, Nizhny Novgorod, Russia;Institute of Problems of Mechanical Engineering, Russian Academy of Sciences—A Branch of the Federal Research Center, Institute of Applied Physics, Russian Academy of Sciences, Nizhny Novgorod, Russia
Author for correspondence.
Email: vvsemenov@iomc.ras.ru
Россия, Нижний Новгород; Россия, Нижний Новгород
References
- Дятлова Н.М., Темкина В.Я., Попов К.И. Комплексоны и комплексонаты металлов. М.: Химия, 1988. 544 с.
- Семенов В.В., Золотарева Н.В., Петров Б.И. Патент РФ 2015110362/04 (016255) // БИ. 2017. № 4.
- Семенов В.В., Золотарева Н.В., Новикова О.В. и др. // Изв. АН. Сер. хим. 2022. № 5. С. 980.
- Леонтьева М.В., Дятлова Н.М. // Коорд. химия. 1990. Т. 16. С. 823.
- Lakshminarayanan R. // J. Electrochem. Soc. India. 1997. V. 46. P. 45.
- Borowiec M., Hoffmann K., Hoffmann J. // Intern. J. Environmen. Anal. Chem. 2009. V. 89. P. 717. https://doi.org/10.1080/03067310802691672
- Jervis R.E., Krishnan S.S. // J. Inorg. Nucl. Chem. 1967. V. 29. P. 97. https://doi.org/10.1016/0022-1902(67)80149-0
- Bampidis V., Azimonti G., de Lourdes Bastos M. et al. // Eur. Food Safety Authority. 2020. V. 18. e06145. https://doi.org/10.2903/j.efsa.2020.6024
- Collins R.N., Merrington G., McLaughlin M.J., Knudsen C. // Environ. Toxicol. Chem. 2002. V. 21. P. 1940. https://doi.org/10.1002/etc.5620210923
- Soulages O.E., Acebal S.G., Grassi R.L., Vuano B.M. // Anales de la Asociacion Quimica Argentina. 1997. V. 85. P. 261.
- Rigaku Oxford Diffraction. CrysAlis Pro Software System. Version 1.171.41.122a. Wroclaw (Poland): Rigaku Corporation, 2021.
- Sheldrick G.M. // Acta Crystallogr. A. 2015. V. 71. P. 3. https://doi.org/10.1107/S2053273314026370
- Sheldrick G.M. // Acta Crystallogr. C. 2015. V. 71. P. 3. https://doi.org/10.1107/S2053229614024218
- Фридман А.Я., Леонтьева М.В., Дятлова Н.М. // Коорд. химия. 1986. Т. 12. С. 736.
- Mizuta T., Wang J., Miyoshi K. // Inorg. Chim. Acta. 1995. V. 230. P. 119. https://doi.org/10.1016/0020-1693(94)04311-I
- Зефиров Ю.В., Зоркий П.М. // Успехи химии. 1995. Т. 64. С. 446 (Zefirov Yu.V., Zorky P.M. // Russ. Chem. Rev. 1995. V. 64. P. 415). https://doi.org/10.1070/RC1995v064n05ABEH000157
Supplementary files












