Синтез и кристаллическая структура двухъядерного комплекса ванадия(V) с лигандом на основе гидразида изоникотиновой кислоты и 1-фенил-1,3-бутандиона
- Авторы: Боурош П.1, Коку М.2, Данилеску О.2, Булхак И.2
-
Учреждения:
- Институт прикладной физики
- Институт химии
- Выпуск: Том 49, № 4 (2023)
- Страницы: 195-204
- Раздел: Статьи
- URL: https://bakhtiniada.ru/0132-344X/article/view/137268
- DOI: https://doi.org/10.31857/S0132344X23700196
- EDN: https://elibrary.ru/CUMNFL
- ID: 137268
Цитировать
Полный текст
Аннотация
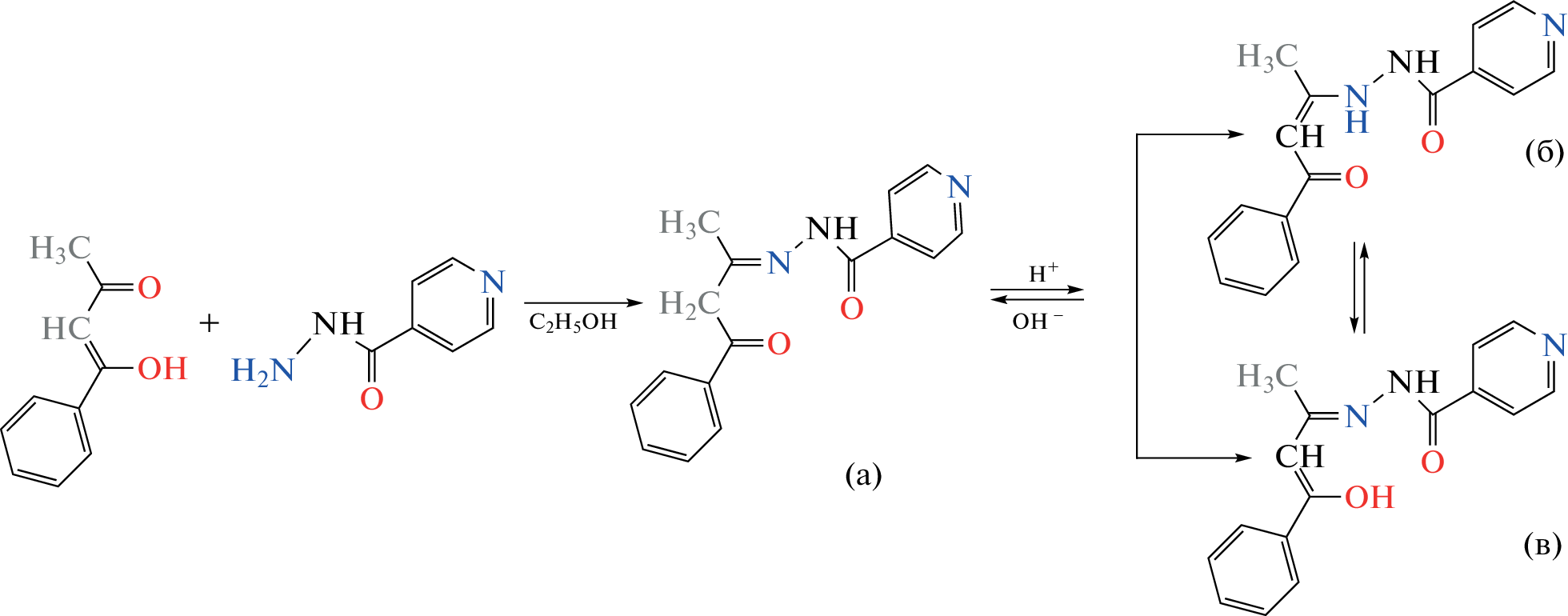
Синтезирован новый молекулярный двухъядерный комплекc ванадия(V) [VO(L)(OCH3)]2 (I), в котором H2L был получен в результате взаимодействия гидразида изоникотиновой кислоты (изониазид) с 1-фенил-1,3-бутандионом. Лиганд H2L и комплекс I исследованы методами элементного анализа, ИК-спектроскопией, масс-спектрометрией и рентгеноструктурного анализа (CCDC № 2172124 и 2172125 соответственно), состав и строение лиганда в свободном состоянии дополнительно исследованы методом ЯМР-спектроскопии. Установлено, что бидепротонированный органический лиганд L2– координируется к атому металла тридентатно через набор донорных атомов ONO с образованием двух сочлененных металлоциклов. При этом в H2L и в соответственном координированном лиганде стабилизированы различные таутомерные формы.
Ключевые слова
Об авторах
П. Боурош
Институт прикладной физики
Email: pavlina.bourosh@ifa.md
Республикa Молдова, Кишинев
М. Коку
Институт химии
Email: pavlina.bourosh@ifa.md
Республика Молдова, Кишинев
О. Данилеску
Институт химии
Email: pavlina.bourosh@ifa.md
Республика Молдова, Кишинев
И. Булхак
Институт химии
Автор, ответственный за переписку.
Email: pavlina.bourosh@ifa.md
Республика Молдова, Кишинев
Список литературы
- Gad S.C., Pham T. // Encyclopedia of Toxicology. Acad. Press, 2014. P. 909.
- Krakowiak J., Lundberg D., Persson I. // Inorg. Chem. 2012. V. 51. № 18. P. 9598.
- Rehder D. // Angew. Chem. Int. Ed. 1991. V. 30. P. 148.
- Allen F.H. // Acta Crystallogr. B. 2002. V. 58. P. 380.
- Nandy M., Shit S., Rizzoli C. et al. // Polyhedron. 2015. V. 88. P. 63.
- Monfared H.H., Kheirabadi S., Lalami N.A., Mayer P. // Polyhedron. 2011. V. 30. P. 1375.
- Monfared H.H., Farrokhi A., Alavi S., Mayer P. // Transition Met. Chem. 2013. V. 38. P. 267.
- Yadav S., Yousuf I., Usman M. et al. // RSC Advances. 2015. V. 5. P. 50673.
- Hosseini-Monfared H., Bikas R., Sanchiz J. et al. // Polyhedron. 2013. V. 61. P. 45.
- Боурош П., Булхак И., Мырзак А. и др. // Коорд. химия. 2016. Т. 42. № 3. С. 137 (Bourosh P., Bulhac I., Mirzac A. et al. // Russ. J. Coord. Chem. 2016. V. 42. № 3. P. 157). https://doi.org/10.1134/S1070328416030015
- Croitor L., Cocu M., Bulhac I. et al. // Polyhedron. 2021. V. 206. P. 115329.
- Данилеску О., Булхак И., Шова С. и др. // Коорд. химия. 2020. Т. 46. № 12. С. 758 (Danilescu O., Bulhac I., Shova S. et al. // Russ. J. Coord. Chem. 2020. V. 46. № 12. P. 838). http://doi.org./10.1134/S1070328420090018
- Cocu M., Bulhac I., Coropceanu E. и дp. // J. Molec. Struct. 2014. V. 1063. P. 274.
- Rotaru M., Cocu M. // Acta et Comment. seria Științe Exacte și ale Naturii. 2017. № 1(3). P. 136.
- Sheldrick G.M. // Acta Crystallogr. A. 2008. 64. № 1. P. 112.
- Тарасевич Б.Н. ИК спектры основных классов органических соединений. Справочные материалы. М., 2012. 54 с.
- Hernández-Molina R., Mederos A. // Comprehensive Coordination Chemistry, II. 2003. P. 411. https://doi.org/10.1016/B0-08-043748-6/01070-7
- Беллами Л. Инфракрасные спектры сложных молекул. М.: ИЛ, 1963. 590 с.
- Казицына Л.А., Куплетская Н.Б. Применение УФ-, ИК- и ЯМР-спектроскопии в органической химии. М.: Высш. школа, 1971. 264 с.
- Наканиси К. Инфракрасные спектры и строение органических соединений. Практическое руководство. М.: Мир, 1965. 216 с.
- Adams D.M. Metal-Ligand and Related Vibrations: A Critical Survey of the Infrared and Raman Spectra of Metallic and Organometallic Compounds. Ltd. London, 1967. 379 p.
- Bikas R., Anarjan P.M., Aslekhademi S. et al. // Acta Crystallogr. E. 2012. V. 68. P. o412.
- Kolawole G.A., Osowole A.A. // J. Coord. Chem. 2009. V. 62. № 9. P. 1437.
- Monfared H.H., Kheirabadi S., Lalami N.A., Mayer P. // Polyhedron. 2011. V. 30. P. 1375.
- Накамото K. ИК спектры и спектры неорганических и координационных соединений. М.: Мир, 1991. 536 с.
- Кокшарова Т.В. // Вісник ОНУ. Хімія. 2014. Т. 19. В. 2. № 50. С. 27.
- Bovey F.A. Nuclear Magnetic Resonance Spectroscopy, Acad. Press Inc., 1988. P. 461.
Дополнительные файлы








