Rhenium(V) Tris(pyrazolyl)borate Complexes as Ligands in Square Planar Palladium and Platinum Complexes
- Authors: Skabitskii I.V.1, Il’ina Y.Y.1, Shapovalov S.S.1
-
Affiliations:
- Kurnakov Institute of General and Inorganic Chemistry, Russian Academy of Sciences, 119991, Moscow, Russia
- Issue: Vol 49, No 1 (2023)
- Pages: 36-43
- Section: Articles
- URL: https://bakhtiniada.ru/0132-344X/article/view/137263
- DOI: https://doi.org/10.31857/S0132344X22700086
- EDN: https://elibrary.ru/ESDZQX
- ID: 137263
Cite item
Full Text
Abstract
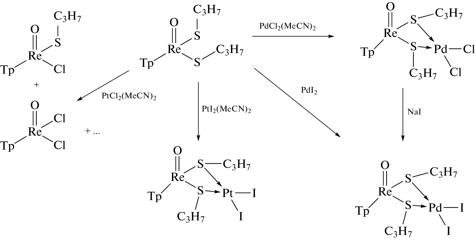
The reactions of TpReO(SnC3H7)2 (Tp = tris(pyrazolyl)borate anion) with acetonitrile complexes PdCl2(MeCN)2 and PtI2(MeCN)2 in toluene solutions resulted in the formation of new heterometallic rhenium complexes TpReO(µ-SnC3H7)2MX2 (MX2 = PdCl2 (I), MX2 = PtI2 (II)). A similar complex TpReO(µ-SnC3H7)2PdI2 (III) was formed either on treatment of I with NaI in dichloromethane or in the reaction of TpReO(SnC3H7)2 with a suspension of PdI2 in toluene. Complexes I–III were characterized by IR and NMR spectroscopy and by X-ray diffraction (CCDC nos. 2172225–2172227).
About the authors
I. V. Skabitskii
Kurnakov Institute of General and Inorganic Chemistry, Russian Academy of Sciences, 119991, Moscow, Russia
Author for correspondence.
Email: skabitskiy@gmail.com
Россия, Москва
Yu. Ya. Il’ina
Kurnakov Institute of General and Inorganic Chemistry, Russian Academy of Sciences, 119991, Moscow, Russia
Email: skabitskiy@gmail.com
Россия, Москва
S. S. Shapovalov
Kurnakov Institute of General and Inorganic Chemistry, Russian Academy of Sciences, 119991, Moscow, Russia
Email: skabitskiy@gmail.com
Россия, Москва
References
- Xiao J., Puddephatt R.J. // Coord. Chem. Rev. 1995. V. 143. P. 457.
- Augustine S.M., Alameddin G.N., Sachtler W.M.H. // J. Catal. 1989. V. 115. № 1. P. 217.
- Dees M.J., Bol M.H.B., Ponec V. // Appl. Catal. 1990. V. 64. P. 279.
- Mizobe M. Hosomizu M. Hidai // Inorg. Chim. Acta. 1998. V. 273. P. 238.
- Misumi Y., Seino H., Mizobe Y. // Inorg. Chim. Acta. 2009. V. 362. P. 4409.
- Nagao S., Seino H., Hidai M. et al. // Dalton Trans. 2005. V. P. 3166.
- Lail M., Pittard K.A., Gunnoe T.B. // Adv. Organomet. Chem. 2008. V. 56. P. 95.
- Arikawa Y., Kawaguchi H., Kashiwabara K. et al. // In-org. Chem. 1999. V. 38. P. 4549.
- Pinder T.A., Montalvo S.K., Hsieh Ch.-H. et al. // -Inorg. Chem. 2014. V. 53. P. 9095.
- Скабицкий И.В., Сахаров С.Г., Пасынский А.А. и др. // Коорд. химия. 2019. Т. 45. С. 451 (Skabitskii I.V., Sakharov S.G., Pasunskii A.A. et al. // Russ. J. Coord. Chem. 2019. V. 45. P. 539). https://doi.org/10.1134/S1070328419080086
- Rimoldi M., Ragaini F., GalloE. et al. // Dalton Trans. 2012. V. 41. P. 3648.
- Thiele G., Brodersen K., Kruse E. et al. // Naturwissenschaften. 1967. V. 54. P. 615.
- Rochon F.D., Fleurent L. // Inorg. Chim. Acta. 1988. V. 143. P. 81.
- SADABS (version 2008/1). Madison (WI, USA): Bruker AXS Inc., 2008.
- Sheldrick G.M. // Acta Crystalogr. A. 2008. V. 64. P. 112.
- Dolomanov O.V., Bourhis L.J., Gildea R.J. et al. // J. A-ppl. Cryst. 2009. V. 42. P. 339.
- Neese F. // WIREs Computational Molecular Science. 2012. V. 2. № 1. P. 73.
- Perdew J.P., Burke K., Ernzerhof M. // Phys. Rev. Lett. 1996. V. 77. P. 3865.
- Perdew J.P., Burke K., Ernzerhof M. // Phys. Rev. Lett. 1997. V. 78. P. 1396 (Erratum).
- Weigend F., Ahlrichs R. // Phys. Chem. Chem. Phys. 2005. V. 7. P. 3297.
- Grimme S., Ehrlich S., Goerigk L. // J. Comput. Chem. 2011. V. 32. P. 1456.
- Grimme S., Antony J., Ehrlich S., Krieg H. // J. Chem. Phys. 2010. V. 132. P. 154104.
- Adamo C., Barone V. // J. Chem. Phys. 1999. V. 110. P. 6158.
- van Lenthe E., Baerends E.J., Snijders J.B. // J. Chem. Phys. 1993. V. 99. P. 4597.
- van Wüllen C. // J. Chem. Phys. 1998. V. 109. P. 392.
- Rolfes J.D., Neese F., Pantazis D.A. // J. Comput. Chem. 2020. V. 41. P. 1842.
- Pantazis D.A., Chen X.Y., Landis C.R., Neese F. // J. Chem. Theory Comput. 2008. V. 4. P. 908.
- AIMAll (version 19.10.12). Todd A. Keith, TK Gristmill Software, Overland Park KS, USA, 2019. http://aim.tkgristmill.com/references.html
- Degnan I.A., Behm J., Cook M.R., Herrmann W.A. // Inorg. Chem. 1991. V. 30. P. 2165.
- Espinosa E., Molins E., Lecomte C. // Chem. Phys. Lett. 1998. V. 285. P. 170.
Supplementary files






