Координационные соединения в устройствах молекулярной спинтроники
- Авторы: Злобин И.С.1,2, Новиков В.В.1,2, Нелюбина Ю.В.1,2
-
Учреждения:
- Институт элементоорганических соединений им. А.Н. Несмеянова РАН
- Московский физико-технический институт
- Выпуск: Том 49, № 1 (2023)
- Страницы: 3-12
- Раздел: Статьи
- URL: https://bakhtiniada.ru/0132-344X/article/view/137256
- DOI: https://doi.org/10.31857/S0132344X22700013
- EDN: https://elibrary.ru/ERNBVV
- ID: 137256
Цитировать
Полный текст
Аннотация
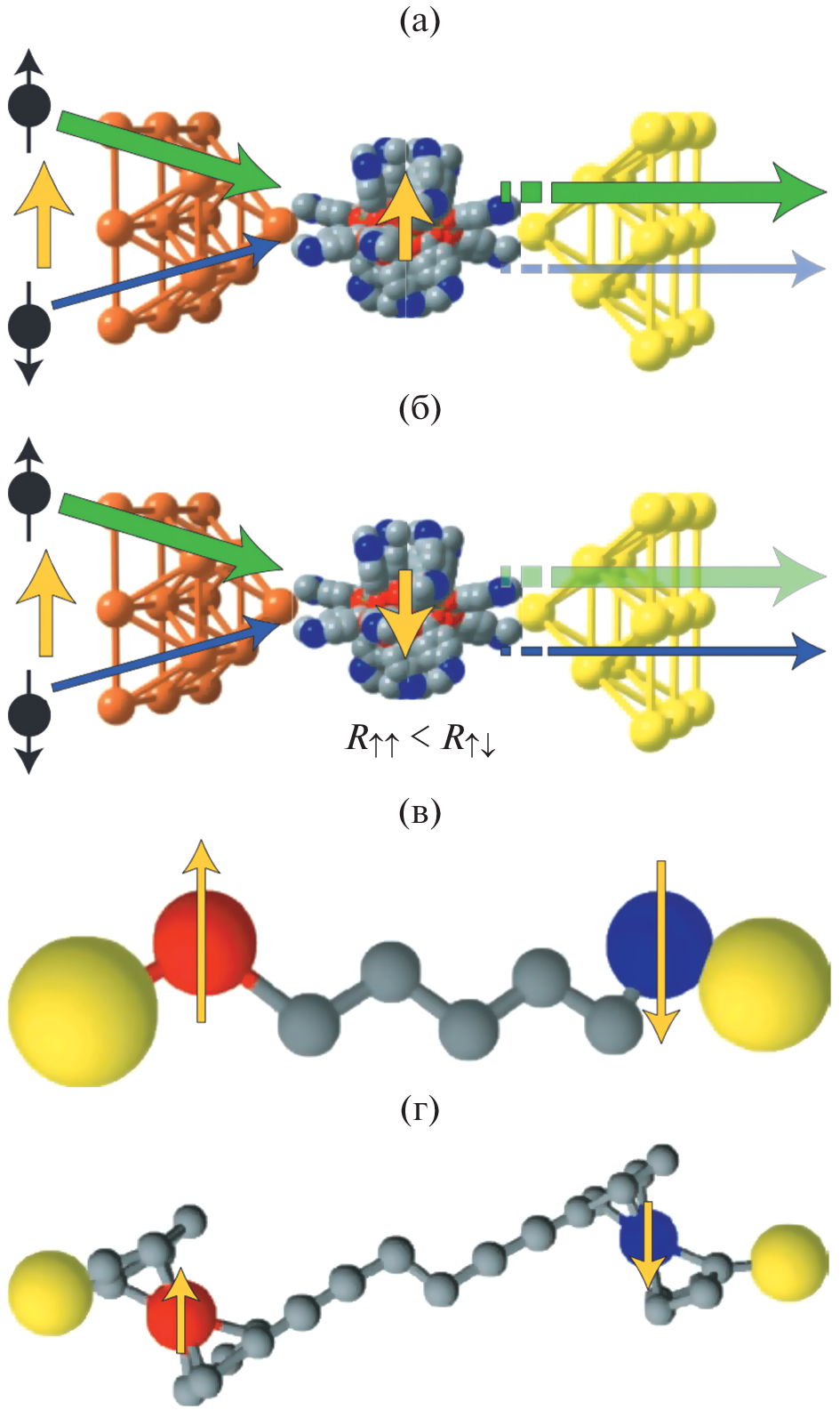
Спинтроника, являющаяся одной из самых молодых областей микроэлектроники, уже несколько десятилетий применяется для повышения эффективности компонентов компьютерной техники, разработки элементов квантового компьютера и других электронных устройств. Использование слоев молекулярных материалов в составе спинтронного устройства позволило существенно углубить понимание механизмов спинового транспорта и заложило основу нового направления на стыке физики и химии – “молекулярной спинтроники”. С момента зарождения этой области различные координационные соединения, включая полупроводники, мономолекулярные магниты, комплексы со спиновыми переходами и металл-органические координационные полимеры, рассматривались в качестве молекулярных материалов спинтронных устройств, которым они придавали различные необычные характеристики. В настоящей работе кратко проанализированы особенности использования ранее описанных представителей перечисленных классов соединений или их аналогов, пока еще хранящихся “на полках” в химических лабораториях, для создания полифункциональных устройств молекулярной спинтроники.
Об авторах
И. С. Злобин
Институт элементоорганических соединений им. А.Н. Несмеянова РАН; Московский физико-технический институт
Email: novikov84@ineos.ac.ru
Россия, Москва; Россия, Московская обл., Долгопрудный
В. В. Новиков
Институт элементоорганических соединений им. А.Н. Несмеянова РАН; Московский физико-технический институт
Email: novikov84@ineos.ac.ru
Россия, Москва; Россия, Московская обл., Долгопрудный
Ю. В. Нелюбина
Институт элементоорганических соединений им. А.Н. Несмеянова РАН; Московский физико-технический институт
Автор, ответственный за переписку.
Email: novikov84@ineos.ac.ru
Россия, Москва; Россия, Московская обл., Долгопрудный
Список литературы
- Yates J.T. // Science. 1998. V. 279. № 5349. P. 335.
- Zantye P.B., Kumar A., Sikder A.K. // Sci. Eng. Ineering. 2004. V. 45. № 3. P. 89.
- Wolf S.A., Chtchelkanova A.Y., Treger D.M. // IBM J. Res. Dev. 2006. V. 50. № 1. P. 101.
- Wolf S.A., Awschalom D.D., Buhrman R.A. et al. // Science. 2001. V. 294. № 5546. P. 1488.
- Žutić I., Fabian J., Das Sarma S. // Rev. Mod. Phys. 2004. V. 76. № 2. P. 323.
- Baibich M.N., Broto J.M., Fert A. et al. // Phys. Rev. Lett. 1988. V. 61. № 21. P. 2472.
- Binasch G., Grünberg P., Saurenbach F. et al. // Phys. Rev. B. 1989. V. 39. № 7. P. 4828.
- Ney A., Pampuch C., Koch R. et al. // Nature. 2003. V. 425. № 6957. P. 485.
- Behin-Aein B., Datta D., Salahuddin S., Datta S. // Nat. Nanotechnol. 2010. V. 5. № 4. P. 266.
- Burkard G., Engel H.A., Loss D. // Fortschr. Phys. 2000. V. 48. № 9–11. P. 965.
- Rao C.N.R., Cheetham A.K. // Science. 1996. V. 272. № 5260. P. 369.
- Khvalkovskii A.V., Zvezdin K.A. // J. Magn. Magn. Mater. 2006. V. 300. № 1. P. 270.
- Parkin S.S.P., Roche K.P., Samant M.G. et al. // J. A-ppl. Phys. 1999. V. 85. № 8. P. 5828.
- Tehrani S., Engel B., Slaughter J.M. et al. // IEEE Trans. Magn. 2000. V. 36. № 5. P. 2752.
- Khvalkovskiy A.V., Apalkov D., Watts S. et al. // J. Phys. D: Appl. Phys. 2013. V. 46. № 13.
- Rizzo N.D., Houssameddine D., Janesky J. et al. // IEEE Trans. Magn. 2013. V. 49. № 7. P. 4441.
- Kim Y., Yun J.G., Park S.H. et al. // IEEE Trans. Electron Devices. 2012. V. 59. № 1. P. 35.
- Gajek M., Nowak J.J., Sun J.Z.et al. // Appl. Phys. Lett. 2012. V. 100. № 13. P. 1.
- Devkota J. et al. Organic Spin Valves: A Review // Adv. Funct. Mater. 2016. V. 26. № 22. P. 3881.
- Camarero J., Coronado E. // J. Mater. Chem. 2009. V. 19. № 12. P. 1678.
- Felser C., Fecher G.H., Balke B. // Angew. Chem. Int. Ed. 2007. V. 46. № 5. P. 668.
- Sanvito S. // Chem. Soc. Rev. 2011. V. 40. № 6. P. 3336.
- Clemente-Juan J.M., Coronado E., Gaita-Ariñoa A. // Chem. Soc. Rev. 2012. V. 41. № 22. P. 7464.
- Coronado E. // Nat. Rev. Mater. 2020. V. 5. № 2. P. 87.
- Xiong Z.H., Wu D., Valy Vardeny Z., Shi J. // Nature. 2004. V. 427. № 6977. P. 821.
- Coronado E., Yamashita M. // Dalton Trans. 2016. V. 45. № 42. P. 16553.
- Sanvito S. // Nature Phys. 2010. V. 6. № 8. P. 562.
- Barthélémy A., Fert A., Contour J.P. et al. // J. Magn. Magn. Mater. 2002. V. 242–245. P. 68.
- Fert A., Barthélémy A., Petroff F. // Elsevier. 2006. V. 1. P. 153.
- Wang F.J., Yang C.G., Vardeny Z.V., Li X.G. // Phys. Rev. B Condens. Matter. 2007. V. 75. № 24.
- Yoo J.W., Jang H.W., Prigodin V.N. et al. // Synth. Met. 2010. V. 160. P. 216.
- Raman K.V. // Appl. Phys. Rev. 2014. V. 1. № 3. P. 031101.
- Cinchetti M., Dediu V.A., Hueso L.E. // Nat. Mater. 2017. V. 16. № 5. P. 507.
- Bedoya-Pinto A., Miralles S.G., Vélez S. et al. // Adv. Funct. Mater. 2018. V. 28. № 16. P. 1.
- Barraud C., Seneor P., Mattana R. et al. // Nat. Phys. 2010. V. 6. № 8. P. 615.
- Forment-Aliaga A., Coronado E. // Chem. Rec. 2018. V. 18. № 7. P. 737.
- Brütting W. // Physica Status Solidi. 2005. P. 1.
- Friend R.H., Gymer R.W., Holmes A.B. et al. // Nature. 1999. V. 397. № 6715. P. 121.
- Forrest S., Burrows P., Thompson M. // IEEE Spectr. 2000. V. 37. № 8. P. 29.
- Ding S., Tian Y., Hu W. // Nano Res. 2021.
- Wang F.J., Xiong Z.H., Wu D. et al. // Synth. Met. 2005. V. 155. № 1. P. 172.
- Santos T.S., Lee J.S., Migdal P. et al. // Phys. Rev. Lett. 2007. V. 98. № 1. P. 016601.
- Prezioso M., Riminucci A., Bergenti I. et al. // Adv. Mater. 2011. V. 23. № 11. P. 1371.
- Jiang S.W., Chen B.B., Wang P. et al. // Appl. Phys. Lett. 2014. V. 104. № 26. Art. 262402.
- Jiang S.W., Shu D.J., Lin L. et al. // New J. Phys. 2014. V. 16. № 1. P. 013028.
- Mondal P.C., Fontanesi C., Waldeck D.H. et al. // Acc. Chem. Res. 2016. V. 49. № 11. P. 2560.
- Delprat S., Galbiati M., Tatay S. et al. // J. Phys. D: Appl. Phys. 2018. V. 51. № 47.
- Yang W., Shi Q., Miao T. et al. // Nat. Commun. 2019. V. 10. № 1. P. 1.
- Xia H., Zhang S., Li H. et al. // Results Phys. 2021. V. 22. P. 103963.
- Droghetti A., Steil S., Großmann N. et al. // Phys. Rev. B. 2014. V. 89. № 9. P. 094412.
- Bergenti I., Borgatti F., Calbucci M. et al. // ACS Appl. Mater. Interfaces. 2018. V. 10. № 9. P. 8132.
- Riminucci A., Yu Z.G., Prezioso M. et al. // ACS Appl. Mater. Interfaces. 2019. V. 11. № 8. P. 8319.
- Sun D., Miller J.S., Liu F. et al. // World Scientific 2018. V. 2. P. 167.
- Bedoya-Pinto A., Prima-García H., Casanova F. et al. // Adv. Electron. Mater. 2015. V. 1. № 6. P. 1.
- Sun X., Bedoya-Pinto A., Mao Z. et al. // Adv. Mater. 2016. V. 28. № 13. P. 2609.
- Yu D.E.C., Matsuda M., Tajima H. et al. // J. Mater. Chem. 2009. V. 19. № 6. P. 718.
- Yu D.E.C., Matsuda M., Tajima H. et al. // Dalton Trans. 2011. V. 40. № 10. P. 2283.
- Black N., Daiki T., Matsushita M.M. et al. // Phys. Chem. Chem. Phys. 2018. V. 20. № 1. P. 514.
- Pilia L., Serri M., Matsushita M.M. et al. // Adv. Funct. Mater. 2014. V. 24. № 16. P. 2383.
- Christou G., Gatteschi D., Hendrickson D.N. et al. // MRS Bull. 2000. V. 25. № 11. P. 66.
- Novikov V., Nelyubina Yu. // Russ. Chem. Rev. 2021. V. 90. № 10. P. 1330.
- Bogani L., Wernsdorfer W. // Nanosci. Technol. 2009. P. 194.
- Leuenberger M.N., Loss D. // Nature. 2001. V. 410. № 6830. P. 789.
- Elste F., Timm C. // Phys. Rev. B. 2006. V. 73. № 23. P. 235305.
- Timm C., Elste F. // Phys. Rev. B. 2006. V. 73. № 23. P. 235304.
- Ishikawa N., Sugita M., Ishikawa T. et al. // J. Am. Chem. Soc. 2003. V. 125. № 29. P. 8694.
- Ishikawa N., Sugita M., Wernsdorfer W. // Ang. Chem. Int. Ed. 2005. V. 44. № 19. P. 2931.
- Katoh K., Komeda T., Yamashita M. // The Chem. Rec. 2016. V. 16. № 2. P. 987.
- Jo M.H., Grose J.E., Baheti K. et al. // Nano Lett. 2006. V. 6. № 9. P. 2014.
- Stepanow S., Honolka J., Gambardella P. et al. // J. Am. Chem. Soc. 2010. V. 132. № 34. P. 11900.
- Candini A., Klyatskaya S., Ruben M. et al. // Nano Lett. 2011. V. 11. № 7. P. 2634.
- Urdampilleta M., Nguyen N.V., Cleuziou J.P. et al. // Int. J. Mol. Sci. 2011. V. 12. № 10. P. 6656.
- Shao D., Wang X.-Y. // Chin. J. Chem. 2020. V. 38. № 9. P. 1005.
- Mannini M., Pineider F., Sainctavit P. et al. // Nature Mater. 2009. V. 8. № 3. P. 194.
- Cini A., Mannini M., Totti F. et al. // Nat. Commun. 2018. V. 9. № 1. P. 480.
- Mitcov D., Pedersen A.H., Ceccato M. et al. // Chem. Sci. 2019. V. 10. № 10. P. 3065.
- Cucinotta G., Poggini L., Pedrini A. et al. // Adv. Funct. Mater. 2017. V. 1703600. P. 1.
- Miralles S.G., Bedoya-Pinto A., Baldoví J.J. et al. // Chem. Sci. 2018. V. 9. № 1. P. 199.
- Senthil Kumar K., Ruben M. // Coord. Chem. Rev. 2017. V. 346. P. 176.
- Shepherd H.J., Molnár G., Nicolazzi W. et al. // Eur. J. Inorg. Chem. 2013. V. 2013. № 5–6. P. 653.
- Cavallini M. // Phys. Chem. Chem. Phys. 2012. V. 14. № 34. P. 11867.
- Zlobin I.S., Aisin R.R., Novikov V.V. // Russ. J. Coord. Chem. 2022. V. 48. № 1. P. 33.
- Long G.J., Grandjean F., Reger D.L. //. Springer. 2004. P. 91.
- Mahfoud T., Molnár G., Cobo S. et al. // Appl. Phys. Lett. 2011. V. 99. № 5. P. 053307.
- Naggert H., Bannwarth A., Chemnitz S. et al. // Dalton Trans. 2011. V. 40. № 24. P. 6364.
- Aisin R.R., Belov A.S., Belova S.A. et al. // Russ. J. Coord. Chem. 2021. V. 47. № 1. P. 52.
- Niel V., Gaspar A.B., Muñoz M.C. et al. // Inorg. Chem. 2003. V. 42. № 15. P. 4782.
- Aravena D., Ruiz E. // J. Am. Chem. Soc. 2012. V. 134. № 2. P. 777.
- Baadji N., Sanvito S. // Phys. Rev. Lett. 2012. V. 108. № 21. P. 217201.
- Lefter C., Davesne V., Salmon L. et al. // Magnetochemistry. 2016. V. 2. № 1. P. 18.
- Lee K., Park J., Song I., Yoon S.M. // Bull. Korean. Chem. Soc. 2021. V. 42. № 9. P. 1170.
- Dong R., Zhang Z., Tranca D.C. et al. // Nat. Commun. 2018. V. 9. № 1. P. 2637.
- Yang C., Dong R., Wang M. et al. // Nat. Commun. 2019. V. 10. № 1. P. 3260.
- Yoon S.M., Park J.H., Grzybowski B.A. // Ang. Chem. 2017. V. 129. № 1. P. 133.
- Dong R., Zhang T., Feng X. // Chem. Rev. 2018. V. 118. № 13. P. 6189.
- Song X., Liu J., Zhang T., Chen L. // Sci. China Chem. 2020. V. 63. № 10. P. 1391.
- Wang P., Jiang X., Hu J. et al. // Phys. Chem. Chem. Phys. 2020. V. 22. № 19. P. 11045.
- Chakravarty C., Mandal B., Sarkar P.J. // Phys. Chem. C. 2016. V. 120. № 49. P. 28307.
- Mandal B., Sarkar P. // Phys. Chem. Chem. Phys. 2015. V. 17. № 26. P. 17437.
- Song X. et al. // Ang. Chem. Int. Ed. 2020. V. 59. № 3. P. 1118.
- Aulakh D. et al. // J. Am. Chem. Soc. 2015. V. 137. № 29. P. 9254.
- Aulakh D. et al. // Inorg. Chem. 2017. V. 56. № 12. P. 6965.
- Aulakh D. et al. // J. Am. Chem. Soc. 2019. V. 141. № 7. P. 2997.
Дополнительные файлы








