Synthesis and cytotoxic activity evaluation of maleopimaric and dihydroquinopimaric esters and amides
- Authors: Tretyakova E.V.1, Sharafutdinova S.R.1,2
-
Affiliations:
- Ufa Institute of Chemistry, Ufa Federal Research Center, Russian Academy of Sciences
- Ufa University of Science and Technology
- Issue: Vol 50, No 6 (2024)
- Pages: 780-788
- Section: Articles
- URL: https://bakhtiniada.ru/0132-3423/article/view/275977
- DOI: https://doi.org/10.31857/S0132342324060051
- EDN: https://elibrary.ru/NFTZHA
- ID: 275977
Cite item
Abstract
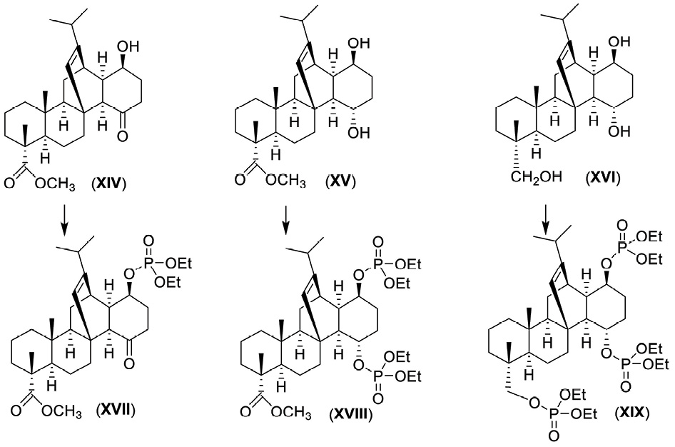
The new 1-, 1,4- and 1,4,20-diethoxyphosphoryl-containing esters were synthesized as a result of interaction of dihydroquinopimaric acid methyl ester hydroxyl derivatives with diethylchlorophosphite, A study of the cytotoxic activity in vitro on 60 cell lines of nine different human tumors of methyl ester of dihydroquinopimaric acid with diethoxyphosphoryl, furan and indole fragments, as well as diterpene amides with linear, heterocyclic and aromatic amines residues showed that diethoxyphosphoryl and benzylamine substituents are of key importance for the manifestation of the cytotoxic effect. Diethoxyphosphoryl derivatives (XIX) and (XVII), and benzylamide (IX) showed cytotoxic activity against one, seven and four cell lines of breast cancer, leukemia, non-small cell lung cancer, melanoma and prostate cancer, respectively. The greatest activity was demonstrated by maleopimaric acid benzylamide (XIII), which effectively inhibited the growth of 19 cell lines of eight cancer types and had a significant cytotoxic effect against all studied leukemia cell lines.
Full Text
About the authors
E. V. Tretyakova
Ufa Institute of Chemistry, Ufa Federal Research Center, Russian Academy of Sciences
Author for correspondence.
Email: tretyakovaelv@gmail.com
Russian Federation, prosp. Oktyabrya 71, Ufa, 450054
S. R. Sharafutdinova
Ufa Institute of Chemistry, Ufa Federal Research Center, Russian Academy of Sciences; Ufa University of Science and Technology
Email: tretyakovaelv@gmail.com
Russian Federation, prosp. Oktyabrya 71, Ufa, 450054; Ufa, ul. Zaki Validi 32, 450076
References
- Wiemann J., Al-Harrasi A., Csuk R. // Anticancer Agents Med. Chem. 2020. V. 20. P. 1756–1767. https://doi.org/10.2174/1871520620666200317110010
- Tretyakova E.V., Smirnova I.E., Kazakova O.B., Tolstikov G.A., Yavorskaya N.P., Golubeva I.S., Pugacheva R.B., Apryshko G.N., Poroikov V.V. // Bioorg. Med. Chem. 2014. V. 22. P. 6481–6489. https://doi.org/10.1016/j.bmc.2014.09.030
- Ahmad B., Tian C., Tang J.-X., Dumbuya J.S., Li W., Lu J. // Front. Pharmacol. 2024. V. 15. P. 1392203. https://doi.org/10.3389/fphar.2024.1392203
- Haffez H., Osman S., Ebrahim H.Y., Hassan Z.A. // Molecules. 2022. V. 27. P. 293. https://doi.org/10.3390/molecules27010293
- Liu X., Chen W., Liu Q., Dai J. // Onco Targets Ther. 2019. V. 12. P. 4825–4837. https://doi.org/10.2147/OTT.S199161
- Xu Y., Tong Y., Lei Z., Zhu J., Wan L. // Biomed. Pharmacother. 2023. V. 158. P. 114154. https://doi.org/10.1016/j.biopha.2022.114154
- Lin C.H., Chuang H.S. // Patent US7015248B2, published 01.04.2004.
- Tanaka R., Tokuda H., Ezaki Y. // Phytomedicine. 2008. V. 15. P. 985–992. https://doi.org/10.1016/j.phymed.2008.02.020
- Yoshida N., Takada T., Yamamura Y., Adachi I., Suzuki H., Kawakami J. // Drug Metab. Dispos. 2008. V. 36. P. 1206–1211. https://doi.org/10.1124/dmd.107.019513
- Hsieh Y.S., Yang S.F., Hsieh Y.H., Hung C. H., Chu S.C., Yang S.H., Chen P.N. // Am. J. Chin. Med. 2015. V. 43. P. 1697–1714. https://doi.org/10.1142/S0192415X15500962
- Kazakova O.B., Smirnova I.E., Do Tkhi Tkhu Kh, Tkhankh Tra Nguen, Apryshko G.N., Zhukova O.S., Medvedeva N.I., Nazyrov T.I., Tret’iakova E.V., Chudov I.V., Ismagilova A.F., Suponitskii K.Iu., Kazakov D.V., Safarov F.E., Tolstikov G.A. // Russ. J. Bioorg. Chem. 2013. V. 39. P. 202–210. https://doi.org/10.1134/s1068162013020088.
- Tret’yakova E.V., Zakirova G.F., Salimova E.V., Kukovinets O.S., Odinokov V.N., Parfenova L.V. // Med. Chem. Res. 2018. V. 27. P. 2199–2213. https://doi.org/10.1007/s00044-018-2227-4
- Smirnova A.A., Zakirova L.M., Smirnova I.E., Tretyakova E.V. // Molbank. 2023. V. 2023. P. M1707. https://doi.org/10.3390/M1707
- Tretyakova E.V., Salimova E.V., Parfenova L.V., Yunusbaeva M.M., Dzhemileva L.U., D’yakonov V.V., Dzhemilev U.M. // Anticancer Agents Med. Chem. 2019. V. 19. P. 1172–1183. https://doi.org/10.2174/1871520619666190404100846
- Tret’yakova E.V., Salimova E.V., Parfenova L.V. // Nat. Prod. Res. 2020. V. 36. P. 79–86. https://doi.org/10.1080/14786419.2020.1762187
- Tretyakova E., Heise N.V., Csuk R., Kazakova O. // Nat. Prod. Res. 2023. P. 1–9. https://doi.org/10.1080/14786419.2023.2266107
- Smirnova I.E., Tret’yakova E.V., Baev D.S., Kazakova O.B. // Nat. Prod. Res. 2023. V. 37. P. 313–321. https://doi.org/10.1080/14786419.2021.1969566
- Zielonka J., Josep J., Sikora A., Hardy M., Ouari O., Vasquez-Vivar J., Cheng G., Lopez M., Kalyanaraman B. // Chem. Rev. 2017. V. 117. P. 10043–10120. https://doi.org/10.1021/acs.chemrev.7b00042
- Chrobak E., Bębenek E., Kadela-Tomanek M., Latocha M., Jelsch C., Wenger E., Boryczka S. // Molecules. 2016. V. 21. P. 1123. https://doi.org/10.3390/molecules21091123
- Abdou W.M., Shaddy A.A. // Arkivoc. 2009. P. 143–182. https://doi.org/10.3998/ark.5550190.0010.910
- Spivak A.Y., Nedopekina D.A., Shakurova E.R., Khalitova R.R., Gubaidullin R.R., Odinokov V.N., Dzhemilev U.M., Bel’skii Y.P., Bel’skaya N.V., Stankevich S.A., Korotkaya E.V., Khazanov V.A. // Russ. Chem. Bull. 2013. V. 62. P. 188–198. https://doi.org/10.1007/s11172-013-0028-y
- Спивак А.Ю., Халитова Р.Р., Шакурова Э.Р., Недопекина Д.А., Губайдуллин Р.Р., Одиноков В.Н., Джемилев У.М., Бельский Ю.П., Бельская Н.В., Станкевич С.А., Хазанов В.А. // Патент RU2551647C2, опубл. 27.05.2015.
- Кайзер Д., Спивак А.Ю., Недопекина Д.А., Губайдуллин Р.Р., Одиноков В.Н., Джемилев У.М., Бельский Ю.П., Бельская Н.В., Станкевич С.А., Хазанов В.А. // Патент RU2576658C2, опубл. 10.03.2016.
- Shinkareva A.M., Nemtarev A.V., Chachkov D.V., Dobrynin A.B., Litvinov I.A., Mironov V.F. // Mend. Commun. 2024. V. 34. P. 113–115. https://doi.org/10.1016/j.mencom.2024.01.034
- Smirnova I.E., Tret’yakova E.V., Flekhter O.B., Spirikhin L.V., Galin F.Z., Tolstikov G.A., Starikova Z.A., Korlyukov A.A. // Russ. J. Org. Chem. 2008. V. 44. P. 1598–1605. https://doi.org/10.1134/S1070428008110055
- Vafina G.F., Khanova M.D., Meshcheryakova S.A., Bulgakov A.K. // Chem. Nat. Compd. 2019. V. 55. P. 868–870. https://doi.org/10.1007/s10600-019-02835-z
- NCI-60 Screening Methodology // National Cancer Institute. Developmental Therapeutics Program. https://dtp.cancer.gov/discovery_development/nci-60/methodology.htm
- Grever M.R., Schepartz S.A., Chabner B.A. // Semin. Oncol. 1992. V. 19. P. 622–638.
- Boyd M.R., Paull K.D. // Drug Dev. Res. 1995. V. 34. P. 91–109. https://doi.org/10.1002/ddr.430340203
- Shoemaker R.H. // Nature Rev. 2006. V. 6. P. 813–823. https://doi.org/10.1038/nrc1951
Supplementary files





