3-hydroxyquinazoline derivatives, analogues of erastin, induce ferroptosis in colorectal cancer cells
- Authors: Osipov V.N.1, Vartanyan A.A.1, Khochenkov D.A.1, Gusev D.V.1, Fateenkova O.V.2, Khachatryan D.S.3, Borisova L.M.1
-
Affiliations:
- N.N. Blokhin National Medical Research Center of Oncology of the Ministry of Health of Russia
- I.M. Sechenov First Moscow State Medical University of the Ministry of Health of Russia (Sechenov University)
- National Research Center “Kurchatov Institute”
- Issue: Vol 50, No 5 (2024)
- Pages: 601-611
- Section: Articles
- URL: https://bakhtiniada.ru/0132-3423/article/view/272169
- DOI: https://doi.org/10.31857/S0132342324050033
- EDN: https://elibrary.ru/LRZRMB
- ID: 272169
Cite item
Full Text
Abstract
In recent years, significant progress has been achieved in the treatment of patients with colon cancer, but in most cases treatment is accompanied by the development of drug resistance. Recently discovered iron-dependent cell death, ferroptosis, makes it a promissing therapeutic target to reduce the recurrence rates. In this study we have examined the effect of 3-hydoxyquinazoline derivatives on ferroptosis induction in two colon cancer cells HCT-116 and DLD-1. The ferroptotic cell death was identified by the level of lipid peroxidation. The level of lipid peroxidation in HCT-116 cells induced by some compounds approached the activity of the reference drug erastin. This scenario changed significantly when the ferroptosis induction was studied in DLD-1 cells. Two 3-hydroxyquinazoline derivatives induced levels of lipid peroxidation in DLD-1 cells that exceeded those of erastin. The preliminary results obtained suggest that three new compounds can be considered as an antitumor agent for the treatment of colon cancer, and also indicate the prospects of further searching for ferroptosis inducers among 3-hydroxyquinazoline derivatives.
Full Text
ВВЕДЕНИЕ
Колоректальный рак (КРР) – третья по частоте диагностируемая злокачественная опухоль и вторая по смертности от рака [1]. Несмотря на существенное улучшение результатов химиотерапии, пятилетняя выживаемость больных КРР с метастазами составляет 10% [2]. Отсутствие биомаркеров с достаточной чувствительностью и специфичностью – один из наиболее важных факторов, который увеличивает время между появлением ранних симптомов болезни и верификацией окончательного диагноза, что, несомненно, усложняет схему лечения. Клинические исследования показали, что КРР формируется в результате злокачественной трансформации клеток эпителия кишечника, непосредственно развитию КРР способствуют мутации в гене KRAS [3]. Эти исследования дали важные подсказки для разработки таргетной терапии КРР. Однако в большинстве случаев лечение КРР сопровождается развитием лекарственной резистентности, что приводит к более агрессивному течению болезни [4, 5]. По всей видимости, нужно искать возможности вовлечения других типов программируемой гибели клеток в лечение КРР. В последние годы все больше сообщений указывает на то, что обнаруженный недавно новый тип регулируемой гибели клетки – ферроптоз [6] – способен вызывать гибель клеток с высокозлокачественным фенотипом. Два независимых наблюдения привели нас к инициации поиска низкомолекулярных активаторов ферроптоза в лечении КРР: высокую чувствительность к ферроптозу проявляли опухолевые клетки с мутациями в генах семейства RAS и индукторы ферроптоза вызывали гибель опухолевых клеток, уцелевших после химиотерапии [7, 8]. Об участии железа в прогрессии КРР говорили и недавно опубликованные данные: так, тест на рецептор трансферина, CD71, практически единственного белка, доставляющего железо в клетку, демонстрировал более высокую точность для выявления КРР и предраковых поражений, чем иммунофекальный анализ скрытой крови [9]. А высокий уровень ферритина в крови (белка, депонирующего железо, не участвующее в метаболизме клетки) указывал на низкую выживаемость больных КРР [10].
Центральный медиатор ферроптоза – перекисное окисление полиненасыщенных липидов мембран, этот процесс протекает при непременном участии ионов железа. Эта форма гибели клетки связана с генерацией в клетке АФК, которые образуются в результате реакции Фентона:
Fe2+ + H2O2 → Fe3+ + OH– + ∙OH.
Масштабному окислению полиненасыщенных липидов мембран противодействует антиоксидантная система защиты. Система антиоксидантной защиты включает глутатионпероксидазу 4 (GPX4), которая восстанавливает потенциально опасные гидроперекиси липидов в нетоксичные спирты (дефицит GPX4 несовместим с жизнью), и глутатион, субстрат GPX4, основной внутриклеточный антиоксидант (см. обзор Xu et al. [11]).
Накопленные за последнюю декаду данные позволяют рассматривать иммуногенную гибель клетки (ИГК) как важнейшую составляющую эффективности терапии рака [12]. Ферроптоз сочетает в себе способность прямого уничтожения опухолевых клеток с активацией иммунного ответа. Медиаторы ИГК, известные как молекулярные паттерны, связанные с повреждением (DAMPs), выбрасываются в межклеточную среду при повреждении мембраны клетки. DAMPs представляют собой семейство эндогенных молекул: ДНК, АТФ, РНК, белки теплового шока, жирные кислоты, лейкотриены, простагландины. Их высвобождение во внеклеточное пространство, по-видимому, необходимо для оптимального представления антигенов дендритными клетками. Индукция программируемого некроза или некроптоза, иммуногенной гибели клетки, на сегодняшний день активно обсуждается как многообещающая терапия рака, особенно для борьбы с опухолевыми клетками, резистентными к апоптозу [13]. Некротическая морфология типична и для ферроптотических клеток: перекисное окисление липидов мембраны приводит к появлению в плазматической мембране многочисленных пор, содержимое клетки вытекает в межклеточную среду. Таким образом, с одной стороны, индукция ферроптоза в опухолевых клетках напрямую вызывает гибель большинства опухолевых клеток, а с другой стороны, погибающие клетки активируют иммунную систему, формируя специфический иммунный ответ на опухолевые антигены, что должно приводить к уничтожению оставшихся опухолевых клеток и предотвращению раннего рецидива. Таким образом, индукторы ферроптоза будут не только эффективно уничтожать опухолевые клетки, но и привлекать иммунокомпетентные клетки в зону массовой гибели опухолевых клеток, способствовать развитию противоопухолевого иммунного ответа и, тем самым, предотвращать ранний рецидив болезни [14].
Ранее нами было показано, что некоторые производные 3-гидроксихиназолина (замещенные 3-гидрокси-2-(3,5-диметил-1H-пиразол-1-ил)-хиназолин-4(3H)-оны) индуцируют ферроптоз в метастатических клетках меланомы [15] и в экспериментальной модели карциномы молочной железы [16]. В продолжение наших исследований был расширен ряд производных 3-гидроксихиназолина.
Цель данной работы – изучение способности новых производных 3-гидроксихиназолина индуцировать ферроптоз в клетках колоректального рака HCT-116 и DLD-1.
РЕЗУЛЬТАТЫ И ОБСУЖДЕНИЕ
Поиск низкомолекулярных активаторов ферроптоза был инициирован опубликованными недавно данными о способности активаторов ферроптоза восстанавливать чувствительность метастатических опухолевых клеток к противоопухолевой терапии [17]. Молекула эрастина, исторически первого индуктора ферроптоза, содержит структурный фрагмент хиназолина, который, возможно, важен для индукции ферроптоза. Эрастин индуцирует ферроптоз, блокируя цистин/глутаматный антипортер (также известный как “system Xc–“) – аминокислотный антипортер, который обеспечивает поглощение клетками цистина, прекурсора глутатиона, основного антиоксиданта клетки, в обмен на глутамат. Через этот канал из клетки выводится глутамин и поступает цистин. Предполагалось, что, сохраняя структуру хиназолина и вводя различные заместители во второе и третье положения хиназолинового цикла, мы получим более эффективный системный ингибитор Xc-системы.
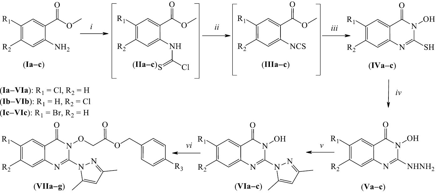
Новые замещенные 3-гидрокси-2-(3,5-диметил-1H-пиразол-1-ил)хиназолин-4(3H)-оны с присоединенными к атому кислорода в 3-м положении различными бензиловыми эфирами уксусной кислоты были синтезированы по схеме 1.
Схема 1. Синтез производных 3-гидроксихинозалинов. Реагенты и условия: i – CH2Cl2/H2O, тиофосген; ii – AcONa, H2O; iii – NaOH, NH2OH . HCl, H2O; iv – NH2NH2 . H2O, этанол; v – ацетилацетон, этанол; vi – бензиловый эфир хлоруксусной кислоты, K2CO3, ДМФА.
Производные 3-гидрокси-2-меркаптохиназолин-4(3H)-она (IVa–d) получали трехстадийным синтезом без выделения промежуточных соединений. На первой стадии действием тиофосгена на соответствующие эфиры антраниловой кислоты (Ia–d) получали соединения (IIa–d), которые обрабатывали раствором ацетата натрия. Затем производные изотиоцианатов (IIIa–d) подвергали взаимодействию с водным раствором гидроксиламина и получали целевые соединения (IVa–d) в виде выпадающих из реакционной массы белых осадков. Осадки отфильтровывали и высушивали.
Далее нагреванием полученных соединений с избытком гидразингидрата в этаноле получали соединения (Va–d), которые конденсировали с ацетилацетоном, получая соединения (VIa–d). Целевые соединения (VIIa–g) получали алкилированием различными бензиловыми эфирами хлоруксусной кислоты соединений (VIa–d).
Полученные соединения (VIIa–g) охарактеризованы данными спектров 1Н-, 13C-ЯМР и масс-спектрометрии. Чистота всех соединений по результатам ВЭЖХ составила более 95%.
Цитотоксичность соединений (VIIa–g) на клетках КРР (HCT-116 и DLD-1) определяли с помощью МТТ-теста. При инкубации клеток с соединениями (VIIa–g) в диапазоне концентраций 1–100 мкМ в течение 24 ч наблюдалось ингибирование роста клеток на 30–80% (данные не приведены). В табл. 1 представлен показатель цитотоксической активности соединений – значения IС50 (концентрация, при которых наблюдается 50%-ное ингибирование роста клеток). Наибольшей цитотоксической активностью c равными значениями обладали соединения (VIIс) и (VIId). Соединения (VIIe–g) также показали одинаковые значения цитотоксичности на двух линиях. При этом все соединения обладали большей цитотоксичностью, чем эрастин.
Таблица 1. Цитотоксичность соединений (VIIa–g) на клетках колоректального рака НСТ-116 и DLD-1
Соединение | Структура | IC50, мкМ (p < 0.05) | |
НСТ-116 | DLD-1 | ||
(VIIa) | 4.1 | 6.3 | |
(VIIb) | 3.6 | 5.5 | |
(VIIc) | 1.9 | 2.9 | |
(VIId) | 1.9 | 2.9 | |
(VIIe) | 2.1 | 3.2 | |
(VIIf) | 2.1 | 3.2 | |
(VIIg) | 2.1 | 3.2 | |
Эрастин | 4.86 | 7.2 | |
Для изучения индукции ферроптоза в клетках КРР производными хиназолина (VIIa–g) мы использовали две клеточные линии: HCT-116 и DLD-1. По морфологии обе клеточные линии эпителиальные и несут мутацию в онкогене КRAS. Ранее при исследовании индукции ферроптоза производными хиназолина, аналогами эрастина, в клетках рака толстой кишки НСТ-116 и меланомы Mel Z гибель клетки по типу ферроптоза мы подтверждали исключением апоптоза (отсутствие фрагментации ядра, блокирование апоптоза панкаспазным ингибитором zVAD-fmk), исключением аутофагии (ингибирование слияния аутофагосомы с лизосомой хлорокином) и связыванием внутриклеточного железа DFO, хелатором железа [18]. На основании этих результатов в данном исследовании мы не представляем подтверждение железозависимой гибели клетки, а исследуем ферроптоз, индуцированный новыми аналогичными производными хиназолина, соединениями (VIIa–g), оперируя перекисным окислением липидов мембран и используя в качестве контроля эрастин – общепринятый референсный индуктор ферроптоза. О гибели клеток по типу ферроптоза судили по интенсивности перекисного окисления липидов мембран, которое фиксировали после инкубации клеток с флуоресцентной меткой C11-BODIPY. С11-BODIPY – это флуорофор, который, переходя из тиоэфира в сульфоксид, меняет флуоресцентные характеристики – смещается пик излучения флуоресценции с красного (~590 нм) на зеленый (~510 нм), что позволяет проводить количественный анализ перекисного окисления липидов с использованием флуоресцентной микроскопии.
Для исключения индукции апоптоза и/или некроза в клетках КРР соединениями (VIIa–g) мы исследовали индукцию ферроптоза при дозе 1/3 IС50. При этой дозе вклад апоптоза и других типов гибели клетки будет заметно снижен. Если соединение представляет собой индуктор ферроптоза, то перекисное окисление липидов можно зарегистрировать и при таких дозах. Ранее нами было показано, что подобные производные хиназолина даже при 1/5 IC50 индуцируют ферроптоз [16]. В качестве контроля использовали эрастин также при дозе 1/3 IС50. Перекисное окисление липидов мембран в клетках НСТ-116, индуцированное 1/3 IС50 соединения (VIIa), приближалось (75%) к значениям перекисного окисления липидов, индуцированного 1/3 IС50 эрастина (рис. 1б, 1в). Перекисное окисление липидов, индуцированное остальными шестью соединениями при 1/3 IС50, составляло 45–60% активности эрастина (рис. 2). По всей видимости, соединение (VIIa) препятствует проникновению цистина в клетку и снижению уровня глутатиона, основного антиоксиданта клетки, в большей степени, чем остальные шесть соединений, и, как следствие, наблюдается интенсивное окисление липидов мембран и гибель клеток НСТ-116.
Рис. 1. Влияние соединения (VIIa) на индукцию ферроптоза в клетках НСТ-116: (a) – контроль – рост клеток с 5% DMSO; (б) – рост клеток с 1/3 IС50 эрастина; (в) – рост клеток с 1/3 IС50 соединения (VIIa). Масштабный отрезок – 100 мкм.
Рис. 2. Количественная характеристика интенсивности перекисного окисления липидов в клетках НСТ-116 и DLD-1. К – интенсивность флуоресценции, индуцированная эрастином, 1–7 – соединениями (VIIa–g) соответственно. Данные представлены как среднее значение ± стандартное отклонение, р < 0.05.
Картина существенно менялась при индукции ферроптоза в клетках DLD-1. Интенсивность флуоресценции, индуцированная соединением (VIIa), была сравнима с его эффектом в клетках НСТ-116. Активность соединений (VIIb) и (VIIf) превышала ответ клеток DLD-1 на эрастин на 30 и 20% (рис. 2). Остальные соединения на клетках DLD-1 также проявляли более высокую активность, чем на клетках НСТ-116. Одним из объяснений такого поведения клеток DLD-1 в ответ на индукцию ферроптоза может стать высокозлокачественный фенотип этих клеток. В отличие от клеток НСТ-116 с мутацией в гене KRAS, клетки DLD-1 характеризуются мутациями также в генах MYC, MYB, RAF, FOS, SIS и P53 [19]. В обеих линиях клеток, инкубированных с эквивалентным количеством DMSO, интенсивность флуоресценции была невысокой и равнялась значениям интенсивности флуоресценции контрольных клеток (без добавления аналогов хиназолина или DMSO) (рис. 1а).
Таким образом, проведен первичный скрининг семи производных 3-гидроксихиназолина на двух клеточных линиях КРР, отличающихся по степени злокачественности. Исследования in vitro производных 3-гидроксихиназолина (VIIа–g) на их способность индуцировать ферроптоз в клетках КРР показали, что перекисное окисление липидов мембран наиболее выражено для клеток DLD-1 с высокозлокачественным фенотипом.
ЭКСПЕРИМЕНТАЛЬНАЯ ЧАСТЬ
Все реактивы были получены от Acros Organics (Бельгия), ABCR (Германия), Merck KGaA (Германия) и использовались без дополнительной очистки. Бензиловые эфиры хлоруксусной кислоты получали из хлорацетилхлорида и бензиловых спиртов по методике Chen et al. [20] и использовали далее без дополнительной очистки. Спектры 1H- и 13C-ЯМР регистрировали на спектрометре AVANCE III NanoBay (Bruker, Германия) с частотой 300 и 76 MГц соответственно. Спектры получали в режиме стабилизации по дейтерию, термостабилизация 25°С, в растворе DMSO-d6 или CDCl3, в качестве стандарта использовали остаточные сигналы растворителя. Химические сдвиги приведены в миллионных долях (δ), константа спин-спинового взаимодействия J – в герцах (Гц). Аналитическую ВЭЖХ проводили на хроматографической системе LC/MS 1200 (Agilent, США) с использованием колонки Reprosil-Pur Basic C18 (5 мкм), 4.6 × 240 мм, подвижная фаза: буфер А – 0.1%-ная TFA в воде, буфер Б – 0.1%-ная TFA в ацетонитриле, элюирование градиентом концентрации буфера Б в буфере А от 5 до 100% за 20 мин; скорость потока 1 мл/мин, детекция при 220 нм. Масс-спектры с ионизацией электроспреем (ESI-MS) получали на масс-детекторе Ion Trap 6310 (Agilent, США). Масс-спектры высокого разрешения регистрировали на масс-спектрометре amaZon (Bruker Daltonics, США) с ионной ловушкой в режиме электрораспылительной ионизации. Элементный состав анализировали с помощью элементного CHNS-анализатора Euro EA 3000 (Eurovector Instruments, Италия). Температуру плавления определяли в открытом капилляре на анализаторе температуры плавления MP 90 (Mettler Toledo, Швейцария).
Общая методика синтеза соединений (IVa–c). К смеси 0.02 моль соответствующего метилантранилата, 50 мл хлористого метилена и 25 мл воды при 0–10°С и интенсивном перемешивании добавляли раствор 2.4 г (0.021 моль) тиофосгена в 10 мл хлористого метилена, перемешивали еще 2 ч при 10°С. Затем водный слой отделяли, органический слой промывали 10 мл воды. К органическому слою при комнатной температуре добавляли раствор 6.8 г (0.05 моль) ацетата натрия тригидрата в 20 мл воды. Реакционную массу перемешивали в течение 1 ч. Органический слой отделяли, промывали 10 мл воды и затем приливали его к раствору 2.78 г (0.04 моль) хлоргидрата гидроксиламина и 1.6 г (0.04 моль) гидроксида натрия в 200 мл воды при 10°С и интенсивном перемешивании. После добавления температуру доводили до комнатной и перемешивали в течение 2 ч. Осадок отфильтровывали, промывали на фильтре 2 × 25 мл воды, 25 мл хлористого метилена.
3-Гидрокси-2-тиоксо-6-хлор-2,3-дигидрохиназолин-4(1H)-он (IVa). Выход 3.6 г (79.2%), белые кристаллы, т. пл. 252°С. Спектр 1H-ЯМР (DMSO-d6): 7.88 (д, J 2.5, 1H), 7.73 (дд, J 8.8, J 2.5, 1H), 7.37 (д, J 8.8, 1H). Спектр 13C-ЯМР (DMSO-d6): 171.76, 155.02, 139.18, 134.50, 127.59, 125.46, 119.84, 117.95. ESI-MS, m/z 228.5 [М + H]+. Найдено, %: C, 42.19; H, 2.23; N, 12.16. C8H5ClN2O2S (M 228.66). Вычислено, %: C, 42.02; H, 2.20; N, 12.25.
3-Гидрокси-2-тиоксо-7-хлор-2,3-дигидрохиназолин-4(1H)-он (IVb). Выход 2.8 г (61.3%), белые кристаллы, т. пл. >226–228°С. Спектр 1H-ЯМР (DMSO-d6): 7.94 (д, J 8.5, 1H), 7.37 (д, J 2.0, 1H), 7.31 (дд, J 8.5, J 2.0, 1H). Спектр 13C-ЯМР (DMSO-d6): 172.37, 155.44, 141.15, 139.00, 128.80, 123.80, 116.67, 115.49. ESI-MS, m/z 228.5 [М + H]+. Найдено, %: C, 42.11; H, 2.24; N, 12.19. C8H5ClN2O2S (M 228.66). Вычислено, %: C, 42.02; H, 2.20; N, 12.25.
6-Бром-3-гидрокси-2-тиоксо-2,3-дигидрохиназолин-4(1H)-он (IVc). Выход 4.9 г (89.7.6%), белые кристаллы, т. пл. >260°С (разл.). Спектр 1H-ЯМР (DMSO-d6): 8.00 (д, J 2.3, 1H), 7.83 (дд, J 8.8, 2.4, 1H), 7.30 (д, J 8.8, 1H). Спектр 13C-ЯМР (DMSO-d6): 171.69, 154.82, 139.77, 137.05, 128.43, 120.32, 118.48, 115.21. ESI-MS, m/z 273.4 [М + H]+. Найдено, %: C, 35.21; H, 1.83; N, 10.27. C8H5BrN2O2S (M 273.11). Вычислено, %: C, 35.18; H, 1.85; N, 10.26
Общая методика синтеза соединений (Va–c). К суспензии (0.02 моль) соответствующего соединения (IV) в 50 мл этанола добавляли 5 г (0.1 моль) гидразингидрата и кипятили при перемешивании 18 ч. Реакционную массу охлаждали, добавляли 10 мл воды, осадок отфильтровывали, промывали на фильтре 2 × 20 мл воды, 10 мл этанола.
2-Гидразинил-3-гидрокси-6-хлор-4(3H)-хиназолинон (Va). Выход 3.7 г (81.0%), белые кристаллы, т. пл. 254°С (разл.). Спектр 1H-ЯМР (DMSO-d6): 7.80 (с, 1H), 7.48 (д, J 6.6, 1H), 7.32 (д J 8.8, 1H), 4.53 (с, 4H). Спектр 13C-ЯМР (DMSO-d6): 157.86, 153.12, 145.19, 131.67, 126.24, 124.41, 124.05, 118.53. ESI-MS, m/z 226.9 [М + H]+. Найдено, %: C, 42.38; H, 13.14; N, 24.66. C8H7ClN4O2 (M 226.62). Вычислено, %: C, 42.40; H, 3.11; N, 24.72.
2-Гидразинил-3-гидрокси-7-хлор-4(3H)-хиназолинон (Vb). Выход 3.5 г (78.1%), белые кристаллы, т. пл. >260°С. Спектр 1H-ЯМР (DMSO-d6): 7.94 (д, J 2.4, 1H), 7.64 (дд, J 8.8, J 2.5, 1H), 7.26 (д, J 8.8, 1H). Спектр 13C-ЯМР (DMSO-d6): 158.30, 153.53, 147.29, 135.99, 127.15, 122.76, 120.45, 116.23. ESI-MS, m/z 226.9. [М + H]+. Найдено, %: C, 42.39; H, 3.13; N, 24.69. C8H7ClN4O2 (M 228.66). Вычислено, %: C, 42.40; H, 3.11; N, 24.72.
6-Бром-2-гидразинил-3-гидрокси-4(3H)-хиназолинон (Vc). Выход 4.3 г (76.2%), белые кристаллы, т. пл. >260°С. Спектр 1H-ЯМР (DMSO-d6): 7.86 (д, J 8.6, 1H), 7.29 (д, J 2.0, 1H), 7.05 (дд, J 8.5, J 2.1, 1H). Спектр 13C-ЯМР (DMSO-d6): 157.76, 153.22, 145.43, 134.25, 127.17, 126.52, 119.09, 112.08. ESI-MS, m/z 271.1 [М + H]+. Найдено, %: C, 35.39; H, 2.61; N, 20.70. C8H7BrN4O2 (M 271.07). Вычислено, %: C, 35.45; H, 2.60; N, 20.67.
Общая методика синтеза соединений (VIa–c). К суспензии (10 ммоль) соответствующего соединения (V) в 20 мл этанола добавляли 1.2 г (12 ммоль) ацетилацетона и две капли уксусной кислоты. Смесь кипятили при перемешивании 4 ч, охлаждали до комнатной температуры, отфильтровывали осадок, промывали 10 мл воды и 10 мл этанола.
2-(3,5-Диметил-1H-пиразол-1-ил)-3-гидрокси6-хлорхиназолин-4(3H)-он (VIa). Выход 1.8 г (61.5%), бежевые кристаллы, т. пл. 197–198°С. Спектр 1H-ЯМР (DMSO-d6): 11.95 (с, 1H), 8.15 (д, J 2.5, 1H), 7.92 (ддд, J 8.7, 2.5, 0.7, 1H), 7.76 (д, J 8.7, 1H), 6.12 (д, J 1.0, 1H), 2.29 (д, J 0.8, 3H), 2.20 (с, 3H). Спектр 13C-ЯМР (DMSO-d6): 157.78, 149.85, 143.80, 143.37, 142.29, 134.73, 131.92, 129.73, 125.16, 123.11, 106.98, 13.23, 10.93. ESI-MS, m/z 291.4 [М + H]+. Найдено, %: C, 53.79; H, 3.86; N, 19.24. C13H11ClN4O2 (M 290.71). Вычислено, %: C, 53.71; H, 3.81; N, 19.27.
2-(3,5-Диметил-1H-пиразол-1-ил)-3-гидрокси-7-хлорхиназолин-4(3H)-он (VIb). Выход 1.6 г (53.5%), светло-желтые кристаллы, т. пл. 206–207°С. Спектр 1H-ЯМР (DMSO-d6): 11.93 (с, 1H), 8.20 (д, J 8.6, 1H), 7.83 (д, J 2.0, 1H), 7.66 (дд, J 8.6, J 2.1, 1H), 6.13 (с, 1H), 2.30 (д, J 0.8, 3H), 2.20 (с, 3H). Спектр 13C-ЯМР (DMSO-d6): 158.22, 149.91, 145.67, 144.59, 142.36, 139.22, 128.28, 127.80, 126.65, 120.64, 107.09, 13.24, 10.98. ESI-MS, m/z 291.0 [М + H]+. Найдено, %: C, 53.73; H, 3.83; N, 19.25. C13H11ClN4O2 (M 290.71). Вычислено, %: C, 53.71; H, 3.81; N, 19.27.
6-Бром-2-(3,5-диметил-1H-пиразол-1-ил)-3-гидроксихиназолин-4(3H)-он (VIc). Выход 1.8 г (52.2%), белые кристаллы, т. пл. 194–195°С. Спектр 1H-ЯМР (DMSO-d6): 8.29 (д, J 2.3, 1H), 8.04 (дд, J 8.7, J 2.4, 1H), 7.69 (д, J 8.7, 1H), 6.13 (с, 1H), 2.30 (с, 3H), 2.21 (с, 3H). Спектр 13C-ЯМР (DMSO-d6): 157.65, 149.84, 143.89, 143.62, 142.27, 137.44, 129.82, 128.25, 123.42, 120.07, 106.97, 13.22, 10.92. ESI-MS, m/z 335.0 [М + H]+. Найдено, %: C, 46.55; H, 3.33; N, 16.76. C13H11BrN4O2 (M 335.16). Вычислено, %: C, 46.59; H, 3.31; N, 16.72.
Общая методика синтеза соединений (VIIa–g). К раствору соответствующего соединения (VI) (1.0 ммоль) в 5 мл ДМФА добавляли 138 мг мелкоизмельченного карбоната калия (1.0 ммоль), затем добавляли по каплям раствор соответствующего бензилового эфира хлоруксусной (1.1 ммоль) в 1 мл ДМФА. Перемешивали при комнатной температуре 12 ч, добавляли 15 мл охлажденной воды, экстрагировали 2 раза по 10 мл этилацетата, органический слой промывали 10 мл насыщенного раствора хлорида натрия, сушили над сульфатом натрия, отгоняли растворитель. Остаток растирали в 5 мл смеси гексан–эфир (1 : 1) до получения гомогенного осадка.
4-Хлорбензил 2-((2-(3,5-диметокси-1H-пиразол-1-ил)-6-хлор-4-оксохиназолин-3(4H)-ил)окси)ацетат (VIIa). Выход 155 г (65.7%), белые кристаллы, т. пл. 108–109°С. Спектр 1H-ЯМР (DMSO-d6): 8.12 (д, J 2.4, 1H), 7.92 (дд, J 8.8, J 2.5, 1H), 7.73 (д, J 8.7, 1H), 7.49–7.34 (м, 4H), 6.15 (с, 1H), 5.17 (с, 2H), 5.15 (с, 2H), 2.41 (с, 3H), 2.09 (с, 3H). 13C-ЯМР (DMSO-d6): 166.23, 157.53, 150.34, 143.23, 142.70, 135.04, 134.50, 132.84, 131.77, 129.93, 129.59, 128.39, 125.32, 123.65, 108.04, 73.57, 65.13, 40.34, 13.08, 11.58. HRMS: m/z 473.0784 [M]+. Вычислено для (C22H19Cl2N4O4)+: 473.0782.
1-(4-(трет-Бутил)фенил)этил 2-((6-бром-2-(3,5-диметил-1H-пиразол-1-ил)-4-оксохиназолин-3(4H)-ил)окси)ацетат (VIIb). Выход 130 мг (58.7%), светло-бежевые кристаллы, т. пл. 119–120°С. Спектр 1H-ЯМР (DMSO-d6): 8.26 (д, J 2.3, 1H), 8.04 (дд, J 8.7, J 2.4, 1H), 7.65 (д, J 8.7, 1H), 7.37 (д, J 8.4, 2H), 7.26 (д, J 8.4, 2H), 6.13 (с, 1H), 5.88 (кв, J 6.6, 1H), 5.11 (д, J 1.7, 2H), 2.40 (д, J 0.8, 3H), 2.01 (с, 3H), 1.48 (д, J 6.6, 3H), 1.28 (с, 9H). Спектр 13C-ЯМР (CDCl3): 165.92, 158.17, 151.89, 151.37, 144.02, 138.39, 137.91, 129.86, 129.82, 126.30, 125.68, 123.92, 121.46, 108.75, 77.66, 77.23, 76.81, 74.04, 73.48, 34.78, 31.54, 22.10, 13.62, 12.26. HRMS: m/z 553.1492 [M]+. Вычислено для (C27H30BrN4O4)+: 553.1449.
4-Метилбензил 2-((2-(3,5-диметокси-1H-пиразол-1-ил)-7-хлор-4-оксохиназолин-3(4H)-ил)окси)ацетат (VIIc). Выход 125 г (55.2%), белые кристаллы, т. пл. 91–92°С. Спектр 1H-ЯМР (DMSO-d6): 8.17 (д, J 8.6, 1H), 7.79 (д, J 2.0, 1H), 7.64 (дд, J 8.6, J 2.0, 1H), 7.30–7.13 (м, 4H), 6.16 (д, J 1.0, 1H), 5.13 (д, J 2.0, 4H), 2.42 (д, J 0.9, 3H), 2.30 (с, 3H), 2.10 (с, 3H). Спектр 13C-ЯМР (CDCl3): 166.68, 158.74, 151.90, 146.07, 144.12, 143.71, 141.53, 138.62, 132.29, 129.47, 128.75, 128.66, 128.27, 127.52, 120.89, 108.92, 74.05, 67.04, 21.40, 13.68, 12.36. HRMS: m/z 453.1332 [M]+. Вычислено для (C23H22ClN4O4)+: 453.1328.
4-Метоксибензил 2-((2-(3,5-диметокси-1H-пиразол-1-ил)-7-хлор-4-оксохиназолин-3(4H)-ил)окси)ацетат (VIId). Выход 140 мг (59.7%), белые кристаллы, т. пл. 78–80°С. Спектр 1H-ЯМР (DMSO-d6): 8.18 (д, J 8.6, 1H), 7.80 (д, J 2.0, 1H), 7.66 (дд, J 8.6, J 2.1, 1H), 7.30 (д, J 8.6, 2H), 6.93 (д, J 8.6, 2H), 6.17 (с, 1H), 5.12 (д, J 3.2, 4H), 3.76 (с, 3H), 2.43 (с, 3H), 2.11 (с, 3H). Спектр 13C-ЯМР (CDCl3): 166.77, 160.14, 158.79, 151.94, 146.12, 144.16, 143.76, 141.59, 130.77, 128.71, 128.32, 127.57, 120.93, 114.33, 108.96, 74.11, 66.99, 55.56, 13.73, 12.40. HRMS: m/z 469.1279 [M]+. Вычислено для (C23H22ClN4O5)+: 469.1277.
4-Метилбензил 2-((2-(3,5-диметокси-1H-пиразол-1-ил)-6-хлор-4-оксохиназолин-3(4H)-ил)окси)ацетат (VIIe). Выход 200 мг (88.3%), белые кристаллы, т. пл. 97–98°С. Спектр 1H-ЯМР (DMSO-d6): 8.12 (д, J 2.5, 1H), 7.92 (дд, J 8.7, 2.5, 1H), 7.73 (д, J 8.7, 1H), 7.28–7.13 (м, 4H), 6.19–6.13 (м, 1H), 5.13 (д, J 1.3, 4H), 2.44–2.38 (м, 3H), 2.30 (с, 3H), 2.10 (с, 3H). Спектр 13C-ЯМР (CDCl3): 166.59, 158.24, 151.86, 143.64, 143.21, 138.63, 133.77, 132.27, 129.59, 129.48, 128.76, 126.63, 123.60, 108.75, 73.98, 67.07, 21.40, 13.67, 12.26. HRMS: m/z 453.1333 [M]+. Вычислено для (C23H22ClN4O4)+: 453.1328.
4-Бромбензил 2-((6-бром-2-(3,5-диметил-1H-пиразол-1-ил)-4-оксохиназолин-3(4H)-ил)окси)ацетат (VIIf). Выход 120 мг (53.3%), белые кристаллы, т. пл. 135–137°С. Спектр 1H-ЯМР (DMSO-d6): 8.26 (д, J 2.4, 1H), 8.04 (дд, J 8.7, J 2.4, 1H), 7.65 (д, J 8.7, 1H), 7.58 (д, J 8.3, 2H), 7.40–7.23 (м, 2H), 6.16 (с, 1H), 5.15 (д, J 3.5, 4H), 2.41 (с, 3H), 2.09 (с, 3H). Спектр 13C-ЯМР (CDCl3): 166.51, 158.17, 151.87, 143.97, 143.70, 143.24, 138.46, 134.31, 131.99, 130.23, 129.81, 123.84, 122.84, 121.51, 108.84, 74.04, 66.25, 13.67, 12.31. HRMS: m/z 560.9781 [M]+. Вычислено для (C22H19Br2N4O4)+: 560.9773.
4-Бромбензил 2-((2-(3,5-диметокси-1H-пиразол-1-ил)-6-хлор-4-оксохиназолин-3(4H)-ил)окси)ацетат (VIIg). Выход 150 мг (57.9%), белые кристаллы, т. пл. 126–127°С. Спектр 1H-ЯМР (DMSO-d6): 8.14 (д, J 2.5, 1H), 7.93 (дд, J 8.7, J 2.5, 1H), 7.74 (д, J 8.7, 1H), 7.64–7.41 (м, 2H), 7.41–7.23 (м, 2H), 6.16 (с, 1H), 5.17 (с, 2H), 5.15 (с, 2H), 2.42 (с, 3H), 2.10 (с, 3H). Спектр 13C-ЯМР (CDCl3): 166.51, 158.29, 151.84, 143.72, 135.68, 134.31, 133.85, 131.99, 130.23, 129.61, 126.64, 123.57, 122.84, 108.80, 74.03, 66.25, 13.65, 12.29. HRMS: m/z 517.0281 [M]+. Вычислено для (C22H19BrClN4O4)+: 517.0277.
Культивирование клеток. В работе использовали клетки колоректального рака НСТ-116 (АТСС, CCL-247TM) и DLD-1 (ATCC, CCL-221TM). Клетки культивировали в полной среде RPMI-1640 (ПанЭко, Россия), содержащей 10% телячьей эмбриональной сыворотки (HуСlone, США), 2 мМ глутамина и 0.1 мг/мл гентамицина. В экспериментах использовали клетки 70–75%-ной конфлюентности.
МТТ-тест. Клетки рака толстой кишки НСТ-116 или DLD-1 (5 × 104 клеток/мл) рассевали в 96-луночный планшет в среде RPMI-1640. Спустя 24 ч добавляли соединения в различных концентрациях в объеме 20 мкл среды и инкубировали сутки, затем добавляли в каждую лунку по 10 мкл раствора МТТ до конечной концентрации 0.5 мг/мл (Sigma, CША). Клетки инкубировали еще 4 ч, далее клетки осаждали центрифугированием планшетов при 1000 об/мин в течение 23 мин, среду отбирали, клетки ресуспендировали в 200 мкл DMSO и инкубировали 10 мин при 37°С, после чего немедленно определяли оптическую плотность раствора формазана на анализаторе иммуноферментных реакций Униплан АИФР-01 (Пикон, Россия) при 540 нм, используя DMSO как нулевой контроль. Для каждого препарата строили график зависимости “доза–эффект” и определяли IC50.
Влияние производных хиназолина на индукцию ферроптоза in vitro. Флуоресцентный индикатор окисления липидов С11-BODIPY получен от Thermо Fisher Scientific (CША), эрастин был приобретен у Sigma-Aldrich (США).
Клетки НСТ-116 и DLD-1 выращивали в полной среде RPMI-1640 в 24-луночном планшете. Через 24 ч роста клеток в СО2-инкубаторе при 37°С добавляли 1/3 IС50 эрастина или 1/3 IС50 исследуемых соединений и инкубировали в течение 6 ч. В качестве контроля использовали клетки, растущие в полной среде RPMI-1640 без индуктора ферроптоза (на рис. 1 не представлен), и клетки, инкубированные с эквимолярным количеством DMSO. Затем среду заменяли свежей, с 1%-ной сывороткой, и добавляли 5 мкМ С11-BODIPY. Ядра клеток доокрашивали при помощи красителя для нуклеиновых кислот Hoechst 33258 (Thermo Fisher Sciеntific, США). После инкубации с флуоресцентной меткой в течение 30 мин клетки трижды промывали фосфатным буфером. Интенсивность флуоресценции клеток определяли на флуоресцентном анализаторе IN Cell Analyzer (GE Healthcare, США) при активации С11-BODIPY-лазером 488 нм, детекции в канале “FITC” с фильтром 525/20 нм, при увеличении ×20, с использованием программного обеспечения InCell Investigator (GE Healthcare, США). Для анализа окрашенных С11-BODIPY клеток проводили определение клеток на основе локализации ядер, окрашенных Hoechst 33258, и определяли границы клеток, в которых определяли интенсивность флуоресценции при 525/20 нм, анализируя не менее 200 клеток. На основании полученных данных рассчитывали среднее значение интенсивности флуоресценции. Методика определения С11-BODIPY c использованием только одного канала адаптирована из статьи Chen et al. [20].
Статистический анализ. Все эксперименты выполняли в трех повторах независимо друг от друга. Данные представлены как среднее значение ± стандартное отклонение. Cтатистическую проверку гипотез проводили с использованием t-критерия Стьюдента. Различия считали статистически значимыми при р < 0.05.
ЗАКЛЮЧЕНИЕ
Колоректальный рак – высокозлокачественная опухоль, резистентная к химио- и таргетной терапии. Высокая частота рецидивов, непредсказуемость клинического течения болезни и отсутствие эффективной системной терапии делают пессимистическими прогнозы лечения КРР. Одной из основных причин клинического прогрессирования КРР на фоне лечения остается лекарственная резистентность [21]. Утрата программы клеточной гибели дает возможность опухолевой клетке сохранять жизнеспособность в присутствии высоких концентраций противоопухолевых лекарств и формировать опухолевую ткань, абсолютно резистентную к химиотерапии. Именно это свойство опухолевых клеток обусловливает трудность лечения резистентных к терапии больных: опухоль нечувствительна к химиотерапии независимо от комбинирования применяемых лекарств. Если при этом исчерпаны возможности других видов лечения – хирургического и лучевого – болезнь вступает в необратимую стадию.
На сегодняшний день получены убедительные данные о том, что опухолевые клетки, уцелевшие после химио-, радио-, иммуно- и таргетной терапии, чувствительны к индукции ферроптоза [22, 23]. Гибель резистентной к терапии клетки становится возможной благодаря добавлению дополнительного окислительного стресса радикалами гидроксила, генерируемыми в реакции Фентона: антиоксидантная система защиты клетки практически полностью разрушается. Несмотря на несомненную перспективность активации ферроптоза, к настоящему времени в клинической практике отсутствуют препараты, индуцирующие ферроптоз в опухолевых клетках. Полученный нами экспериментальный материал о способности производных гидроксихиназолинов (в частности соединений (VIIa), (VIIb) и (VIIf)) индуцировать ферроптоз в клетках колоректального рака, превышающий эффект “золотого стандарта” – эрастина, позволяет инициировать исследования их противоопухолевой активности на модели перевиваемой опухоли рака толстой кишки на мышах.
БЛАГОДАРНОСТИ
Аналитические исследования проведены с использованием оборудования Центра коллективного пользования “Исследовательский химико-аналитический центр НИЦ “Курчатовский институт”.
ФОНДОВАЯ ПОДДЕРЖКА
Исследование выполнено в рамках государственного задания “Экспериментальная разработка новых лекарственных средств для терапии злокачественных опухолей” рег. №: 123022100036-8.
СОБЛЮДЕНИЕ ЭТИЧЕСКИХ СТАНДАРТОВ
Настоящая статья не содержит описания каких-либо исследований с участием людей и использованием животных в качестве объектов исследований.
КОНФЛИКТ ИНТЕРЕСОВ
Авторы заявляют об отсутствии конфликта интересов.
About the authors
V. N. Osipov
N.N. Blokhin National Medical Research Center of Oncology of the Ministry of Health of Russia
Author for correspondence.
Email: ovn65@yandex.ru
Russian Federation, Kashirskoe shosse 24, Moscow, 115478
A. A. Vartanyan
N.N. Blokhin National Medical Research Center of Oncology of the Ministry of Health of Russia
Email: ovn65@yandex.ru
Russian Federation, Kashirskoe shosse 24, Moscow, 115478
D. A. Khochenkov
N.N. Blokhin National Medical Research Center of Oncology of the Ministry of Health of Russia
Email: ovn65@yandex.ru
Russian Federation, Kashirskoe shosse 24, Moscow, 115478
D. V. Gusev
N.N. Blokhin National Medical Research Center of Oncology of the Ministry of Health of Russia
Email: ovn65@yandex.ru
Russian Federation, Kashirskoe shosse 24, Moscow, 115478
O. V. Fateenkova
I.M. Sechenov First Moscow State Medical University of the Ministry of Health of Russia (Sechenov University)
Email: ovn65@yandex.ru
Russian Federation, ul. Trubetskaya 8/2, Moscow, 119991
D. S. Khachatryan
National Research Center “Kurchatov Institute”
Email: ovn65@yandex.ru
Russian Federation, pl. Akad. Kurchatova 1, Moscow, 123182
L. M. Borisova
N.N. Blokhin National Medical Research Center of Oncology of the Ministry of Health of Russia
Email: ovn65@yandex.ru
Russian Federation, Kashirskoe shosse 24, Moscow, 115478
References
- Fabregas J.C., Ramnaraign B., George T.J. // Clin. Colorectal Cancer. 2022. V. 21. P. 198–203. https://doi.org/10.1016/j.clcc.2022.05.006
- Grazzini G., Danti G., Chiti G., Giannessi C., Pradella S., Miele V. // Diagnostics (Basel). 2023. V. 13. P. 2104–2115. https://doi.org/10.3390/diagnostics13122104
- Afrăsânie V.A., Marinca M.V., Alexa-Stratulat T., Gafton B., Păduraru M., Adavidoaiei A.M., Miron L., Rusu C. // Radiol. Oncol. 2019. V. 53. P. 265–274. https://doi.org/10.2478/raon-2019-0033
- Kozovska Z., Gabrisova V., Kucerova L. // Biomed. Pharmacother. 2014. V. 68. P. 911–916. https://doi.org/10.1016/j.biopha.2014.10.019
- Van der Jeught K., Xu H.C., Li Y.J., Lu X.B., Ji G. // World J. Gastroenterol. 2018. V. 24. P. 3834–3848. https://doi.org/10.3748/wjg.v24.i34.3834
- Dixon S.J., Lemberg K.M., Lamprecht M.R., Skouta R., Zaitsev E.M., Gleason C.E., Patel D.N., Bauer A.J., Cantley A.M., Yang W.S., Morrison B., 3rd, Stockwell B.R. // Cell. 2012. V. 149. P. 1060–1072. https://doi.org/10.1016/j.cell.2012.03.042
- Negri F., Bottarelli L., de’Angelis G.L., Gnetti L. // Int. J Mol. Sci. 2022. V. 23. P. 4120–4128. https://doi.org/10.3390/ijms23084120
- Zhang C., Liu X., Jin S., Chen Y., Guo R. // Mol. Cancer. 2022. V. 21. P. 47–59. https://doi.org/10.1186/s12943-022-01530-y
- Prutki M., Poljak-Blazi M., Jakopovic M., Tomas D., Stipancic I., Zarkovic N. // Cancer Lett. 2006. V. 238. P. 188–96. https://doi.org/10.1016/j.canlet.2005.07.001
- Demir H., Beypinar I., Urvay S., Davarci S.E., Baykara M. // Eur. Rev. Med. Pharmacol. Sci. 2021. V. 25. P. 6473–6479. https://doi.org/10.26355/eurrev_202111_27091
- Xu T., Ding W., Ji X., Ao X., Liu Y., Yu W., Wang J. // J. Cell Mol Med. 2019. V. 23. P. 4900–4912. https://doi.org/10.1111/jcmm.14511
- Galluzzi L., Vitale I., Warren S., Adjemian S., Agostinis P., Martinez A.B., Chan T.A., Coukos G., Demaria S., Deutsch E., Draganov D., Edelson R.L., Formenti S.C., Fucikova J., Gabriele L., Gaipl U.S., Gameiro S.R., Garg A.D., Golden E., Han J., Harrington K.J., Hemminki A., Hodge J.W., Hossain D.M.S., Illidge T., Karin M., Kaufman H.L., Kepp O., Kroemer G., Lasarte J.J., Loi S., Lotze M.T., Manic G., Merghoub T., Melcher A.A., Mossman K.L., Prosper F., Rekdal Ø., Rescigno M., Riganti C., Sistigu A., Smyth M.J., Spisek R., Stagg J., Strauss B.E., Tang D., Tatsuno K., van Gool S.W., Vandenabeele P., Yamazaki T., Zamarin D., Zitvogel L., Cesano A., Marincola F.M. // J. Immunother. Cancer. 2020. V. 8. P. e000337. https://doi.org/10.1136/jitc-2019-000337
- Sprooten J., De Wijngaert P., Vanmeerbeerk I., Martin S., Vangheluwe P., Schlenner S., Krysko D.V., Parys J.B., Bultynck G., Vandenabeele P., Garg A.D. // Cells. 2020. V. 9. P. 1823. https://doi.org/10.3390/cells9081823
- Wiernicki B., Maschalidi S., Pinney J., Adjemian S., Vanden Berghe T., Ravichandran K.S., Vandenabeele P. // Nat. Commun. 2022. V. 13. P. 3676. https://doi.org/10.1038/s41467-022-31218-2
- Борисова Л.М., Осипов В.Н., Гусев Д.В. Голубева И.С., Киселева М.П., Вартанян А.А. // Рос. биотерапевтич. журнал. 2021. Т. 20. С. 67–73. https://doi.org/10.17650/1726-9784-2021-20-1-67-73
- Борисова Л.М., Осипов В.Н., Голубева И.С., Киселева М.П., Хоченков Д.А., Вартанян А.А. // Усп. мол. онкологии. 2022. Т. 9. С. 48–56. https://doi.org/10.17650/2313-805X-2022-9-1-48-56
- Wang Y., Wu X., Ren Z., Li Y., Zou W., Chen J., Wang H. // Drug Resist. Updat. 2023. V. 66. P. 100916. https://doi.org/10.1016/j.drup.2022.100916
- Вартанян А.А., Осипов В.Н., Хоченков Д.А., Гусев Д.В., Борисова Л.М. // Патент RU 2722308 С1, опубл. 28.05.2020.
- Trainer D.L., Kline T., McCabe F.L., Faucette L.F., Feild J., Chaikin M., Anzano M., Rieman D., Hoffstein S., Li D.J., Gennaro D., Buscarino C., Lynch M., Poste G., Greig R. // Int. J. Cancer. 1988. V. 41. P. 287–296. https://doi.org/10.1002/ijc.2910410221
- Chen S.K., Ma W.Q., Yan Z.B., Zhang F.M., Wang S.H., Nu Y.Q., Zhang X.M., Tian J.M. // J. Am. Chem. Soc. 2018. V. 140. P. 10099–10103. https://doi.org/10.3389/fphar.2017.00992
- Martinez A.M., Kim A., Yang W.S. // Methods Mol. Biol. 2020. V. 2108. P. 125–130. https://doi.org/10.1007/978-1-0716-0247-8_11
- Sakata S., Larson D.W. // Surg. Oncol. Clin. N. Am. 2022. V. 31. P. 255–264. https://doi.org/10.1016/j.soc.2021.11.006
- Zhang C., Liu X., Jin S., Chen Y., Guo R. // Mol. Cancer. 2022. V. 21. P. 47–58. https://doi.org/10.1186/s12943-022-01530-y
Supplementary files













