Methods for Introdusing Fluorescent Labels into Polysaccharides
- Authors: Nokel A.Y.1,2, Bovin N.V.1, Tuzikov A.B.1, Ovchinnikova T.V.1, Shilova N.V.1,2
-
Affiliations:
- Shemyakin–Ovchinnikov Institute of Bioorganic Chemistry, Russian Academy of Sciences
- National Medical Research Center for Obstetrics, Gynecology and Perinatology named after Academician V.I. Kulakov of the Ministry of Health of Russian Federation
- Issue: Vol 50, No 4 (2024)
- Pages: 359-378
- Section: Articles
- URL: https://bakhtiniada.ru/0132-3423/article/view/267291
- DOI: https://doi.org/10.31857/S0132342324040026
- EDN: https://elibrary.ru/MXJCQY
- ID: 267291
Cite item
Full Text
Abstract
Polysaccharides are widely represented in plants and bacteria, where they are distinguished by their extraordinary structural diversity and the performance of various functions. To study the functions of polysaccharides, their fluorescent labeling is needed. This review discusses methods for introducing fluorescent labels into polysaccharides by chemical modification of certain functional groups of these complex biopolymers, as well as using the so-called bioorthogonal reactions, which allow labeling in a cell without affecting its viability. In addition to modification with organic dyes, the possibility of using quantum dots and coordination compounds of lanthanides is also discussed.
Full Text
Сокращения: КТ – квантовые точки; ЛПС – липополисахариды; ПС – полисахариды
1. ВВЕДЕНИЕ
Полисахариды (ПС) в живой природе выполняют важные биологические функции: структурную, защитную, резервную. В растительной клетке ПС и полисахаридные комплексы служат основным конструкционным материалом, определяющим изменения формы клетки и всего растения в целом, а также реализуют десятки других функций [1]. В мире бактерий ПС в виде липополисахаридов (ЛПС) и капсульных полисахаридов защищают бактериальную клетку не только от неблагоприятных внешних физических воздействий, но и от иммунного ответа организма-хозяина. ЛПС инфекционных бактерий, образующиеся в результате разрушения бактериальных клеток иммунной системой человека, действуют как ее мощнейшие дисрегуляторы [2, 3]. Микробиом кишечника выполняет ключевую функцию в формировании репертуара естественных антител, и ПС в этом процессе играют существенную, а возможно, даже главную роль [4, 5]. Изучение перечисленных функций самих ПС, а также ПС-связывающих белков растительной, бактериальной и животной клеток невозможно без использования меченых ПС, в первую очередь, флуоресцентно-меченых. Метка дает возможность прослеживать локализацию и метаболизм ПС, а также их взаимодействие с белками; в последнем случае меченые ПС выступают в качестве инструментов исследования, в частности при поиске клеточных рецепторов [6]. Полисахариды весьма разнообразны с химической точки зрения, что, с одной стороны, осложняет их модификацию, а с другой – дает некоторую гибкость при ковалентном мечении.
Цель данного обзора – проанализировать, какие флуорофоры используются для мечения, какие способы введения метки используются и какие оптимальны для определенных видов ПС, а также какие из флуорофоров лучше всего соответствуют решению перечисленных выше задач гликобиологии, биологии растительной клетки и микробиологии.
Методы введения флуорофора рассматриваются в обзоре в соответствии с природой функциональных групп ПС:
- – присоединение по альдегидной группе восстанавливающих ПС;
- – реакции с гидроксильными группами ПС;
- – реакции с ПС, содержащими аминогруппы;
- – реакции с ПС, содержащими карбоксильные группы.
Кроме того, отдельно рассмотрены методы клик-химии, а также лантаноиды и нанокристаллы (квантовые точки).
2. ФЛУОРОФОРЫ
Флуорофор – это фрагмент молекулы, придающий ей флуоресцентные свойства. Флуоресценция – разновидность люминесценции, которая представляет собой нетепловое испускание света, происходящее при возвращении электрона с возбужденного состояния (S1) на более низкую орбиталь (S0). Типичное время жизни возбужденного состояния составляет 10−9−10−7 с [7].
Существует большое разнообразие флуоресцирующих соединений с различными фотофизическими свойствами. В основном это органические красители, координационные соединения лантаноидов, флуоресцентные белки и наночастицы. Каждый класс имеет свои специфические особенности, преимущества и недостатки. Рассмотрим их по порядку.
2.1. Органические флуорофоры
Многие органические вещества, содержащие, как правило, систему сопряженных π-связей, способны к флуоресценции. В 1871 г. Адольф Байер сообщил о синтезе интенсивно флуоресцирующего красителя, названного флуоресцеином. С тех пор этот краситель и его производные относятся к числу наиболее широко применяемых в самых различных областях химии и сопредельных наук. Другие не менее известные флуоресцирующие органические молекулы – метиновые красители (наиболее известные из них – это цианиновые Сy3, Сy5 и т.д.), флуорофоры кумаринового, ксантенового семейств (наиболее известны их модифицированные версии – AlexaFlour™), а также родамины, Люцифер желтый, Нильский красный и многие другие, но только малая их часть стала использоваться в качестве меток для макромолекул по ряду причин, среди которых – способность этих молекул к химической модификации, стабильность при проведении опыта, удобные для измерения параметры возбуждения/эмиссии, минимальное взаимодействие с исследуемыми объектами, возможность сочетать различные флуорофоры в одном эксперименте. Также важны размер, заряд молекулы, растворимость и т.д. Последняя часто определяет выбор флуорофора для мечения полисахаридов, поскольку многие из них не растворимы в органических растворителях.
2.2. Комплексы лантаноидов
Люминесценцией обладают трехвалентные ионы лантаноидов. Электронно возбужденный Gd3+ излучает в УФ-области; Pr3+, Sm3+, Eu3+, Tb3+, Dy3+ и Tm3+ – в видимой области; Nd3+, Ho3+, Er3+ и Yb3+ – в инфракрасной области. Однако добиться эффективного фотовозбуждения ионов лантаноидов из-за запрещенных 4f-4f-переходов по правилу Лапорта довольно сложно, что приводит к низким коэффициентам экстинкции [8]. Поэтому увеличения интенсивности флуоресценции добиваются с помощью комплексообразования с органическими лигандами. Эмиссия таких комплексов может быть осуществлена благодаря возбуждению электронных уровней в самом лиганде, после чего энергия собирается на возбужденных состояниях ионов металла благодаря интрамолекулярной передаче. Это явление получило название “антенный эффект” [9]. Люминесценцию лантаноидных комплексов стабилизируют алифатическими и ароматическими β-дикетонами [8], а также в сочетании с N-гетероциклическими хромофорами, такими как пиридин, бипиридин, терпиридин, фенантролин и бензимидазол.
Продолжительное время жизни возбужденного состояния таких координационных соединений позволяет исключить сигналы других флуорофоров путем введения временной задержки (10–200 мкс) между временем возбуждения и измерения флуоресценции, что делает возможным их использование в методе TR-FRET (перенос энергии флуоресценции с временным разрешением) для визуализации процесса внутриклеточного лиганд-рецепторного, субстрат-ферментного и других взаимодействий. При этом антенны, используемые с лантаноидами, имеют поглощение, как правило, в диапазоне длин волн 320–400 нм, а излучение комплексов с лантаноидами находится в диапазоне 500–1500 нм.
2.3. Квантовые точки
Флуоресцентными свойствами обладают полупроводниковые наночастицы или квантовые точки (КТ). Существует два вида КТ, которые разделяют по методу получения: коллоидные и эпитаксиальные. Первые представляют собой фрагмент проводника или полупроводника с размерами 2–10 нм, вторые – с размерами 10– 150 нм [10]. В биологических исследованиях используют, как правило, коллоидные КТ.
Неорганические квантовые точки состоят из ядра (например, СdSe, СdTe, CdS, ZnSe, InP, InAs) и защитной оболочки, в качестве которой используют, например, ZnS, CdS и ZnSe. Наиболее хорошо изучены КТ на основе кадмия (CdSe, CdTe) [11, 12]. Известны КТ на основе оксида цинка [12] и халькогенидов серебра (сульфид, селенид, теллурид) [13]. Для биологических исследований последние имеют особое значение, т.к. имеют флуоресценцию в ближней инфракрасной области (600–1200 нм). В этой области живые ткани почти прозрачны. К перспективным кандидатам можно отнести фосфид индия, антимонид индия, арсенид индия и арсенид галлия [14].
Основное преимущество КТ заключается в возможности высокоточного контроля над ее размером, а следовательно, и над проводимостью, что позволяет создавать флуорофоры разных цветов из одного и того же материала по одной методике. Они обладают отличными от органических флуорофоров оптическими характеристиками [15, 16], которые определяют возрастающий интерес к ним, а именно:
- – узким симметричным пиком флуоресценции (в отличие от органических красителей);
- – широкой полосой возбуждения, что позволяет возбуждать нанокристаллы разных цветов одним источником излучения;
- – высокой фотостабильностью, что позволяет использовать источники возбуждения высокой мощности.
Неорганические КТ разрушаются в водной среде, поэтому им требуется защитная оболочка, кроме того, для биологических исследований они должны быть нетоксичны и растворимы в воде, поэтому их дополнительно обрабатывают поверхностно активными соединениями – алкоксисиланами, фосфолипидами, карбоксиметил-β-циклодекстрином, хитозаном, олеиновой кислотой, меркаптоуксусной кислой и др. [12].
Альтернативой неорганическим КТ могут служить углеродные точки благодаря их лучшей биосовместимости. Их случайно обнаружили в 2004 г. в результате электрофоретического анализа углеродных нанотрубок, полученных из сажи [17]. Название “углеродные квантовые точки” по отношению к флуоресцентным углеродным наночастицам было введено в употребление в 2006 г., т.к. они имели такой же размер, как и неорганические КТ (<10 нм) [18], и обладали сравнимыми с классическими квантовыми точками оптическими свойствами. Они обладают высокой стабильностью и проводимостью, низкой токсичностью, экологичностью. Их получают разрушением более крупных углеродных структур (графит, углеродные нанотрубки, сажа) [17, 19] либо синтезом из низкомолекулярных веществ (глюкозы, этанола [20, 21], бензохинона и триэтилентетрамина [22]). В литературе редко приводят реальные структуры углеродных КТ. Упоминают только, что они бывают графеноподобными или содержат так называемый аморфный углерод [23]. Механизмы, ответственные за способность углеродных точек к флуоресценции, активно обсуждаются. Высказано предположение, что излучение углеродных точек происходит в результате радиационной рекомбинации самозахваченных экситонов (связанное состояние из электрона и электронной дырки) [24].
2.4. Флуоресцентные белки
Родоначальник этой разновидности флуорофоров – зеленый флуоресцентный белок (GFP) из медузы Aequorea victoria. За его открытие и изучение в 2008 г. Осаме Симомура, Мартину Чалфи и Роджеру Тсьен была присуждена Нобелевская премия. В результате замены отдельных аминокислот из окружения флуорофора были получены белки с другими цветами флуоресценции [25]. Флуоресцентные белки – прекрасные маркеры для визуализации живых клеток и организмов, однако из-за большого размера для мечения других молекул, в частности полисахаридов, они не используются.
3. МЕТОДЫ ВВЕДЕНИЯ ОРГАНИЧЕСКИХ ФЛУОРОФОРОВ
3.1. Введение по восстанавливающему концу ПС
Полисахарид с восстанавливающим концом – это ПС, у которого хотя бы один полуацетальный гидроксил остается свободным и реакционноспособным. Далеко не все нативные ПС имеют восстанавливающий конец, кроме того, альдегидная функция может оказаться утерянной в процессе выделения (например, на стадии восстановления боргидридом). И наоборот, значительная часть (если не подавляющая) ПС приобретает альдегидную (иногда кетонную, если концевой моносахарид относится к кетозам) группу в результате химических манипуляций по выделению из сложноорганизованных биообъектов, таких как клеточная стенка (например, при обработке гликозилгидролазами [26]).
Рис. 1. Введение флуоресцентной метки по альдегидной группе (здесь и далее зеленый ромб – это флуоресцентная метка): восстанавливающий полисахарид (а), основание Шиффа (б), восстановленное основание Шиффа (в), гидразон – продукт реакции с гидразином (г), гидразон – продукт реакции с гидразидом (д).
На рис. 1 приведены варианты присоединения флуорофоров по альдегидной группе.
Взаимодействие с аминами. Наиболее популярный способ модификации по восстанавливающему концу ПС – метод восстановительного аминирования, основанный на образовании основания Шиффа в результате взаимодействия альдегидной группы сахарида с аминогруппой флуорофора (рис. 1б). Эти реакции, как правило, проводят в водно-органической среде (вода, метанол) с добавлением уксусной кислоты. Реакции идут при нагревании в диапазоне температур 37–80°С.
В большинстве случаев для восстановления основания Шиффа используется цианборгидрид натрия [27–31]. Поскольку этот реагент в ходе реакции выделяет синильную кислоту, в качестве альтернативы предлагается использовать пиридинборан [32] и пиколинборан [33–35]. Первый обладает высокой восстанавливающей активностью, но разлагается уже при 54°С и имеет срок хранения 6 месяцев. Более устойчивы пиколинборан и 5-этил-2-метилпиридинборан, однако необходимо учитывать, что последний нерастворим в воде [36]. Следует также предварительно проверять устойчивость самого флуорофора к действию восстановителя.
В некоторых случаях восстанавливающий конец с помощью восстановительного аминирования можно трансформировать в гликозиламин присоединением аммиака или диамина [37]. Образующуюся аминогруппу далее ацилируют флуорофором, например, в виде сульфохлорида [38].
При введении алифатического диамина не исключено перекрестное сшивание полисахаридных молекул. Во избежание подобных проблем используют аминоэтиланилиновый мостик [39, 40], в котором с сахаридом избирательно реагирует ароматический амин, а алифатический остается свободным.
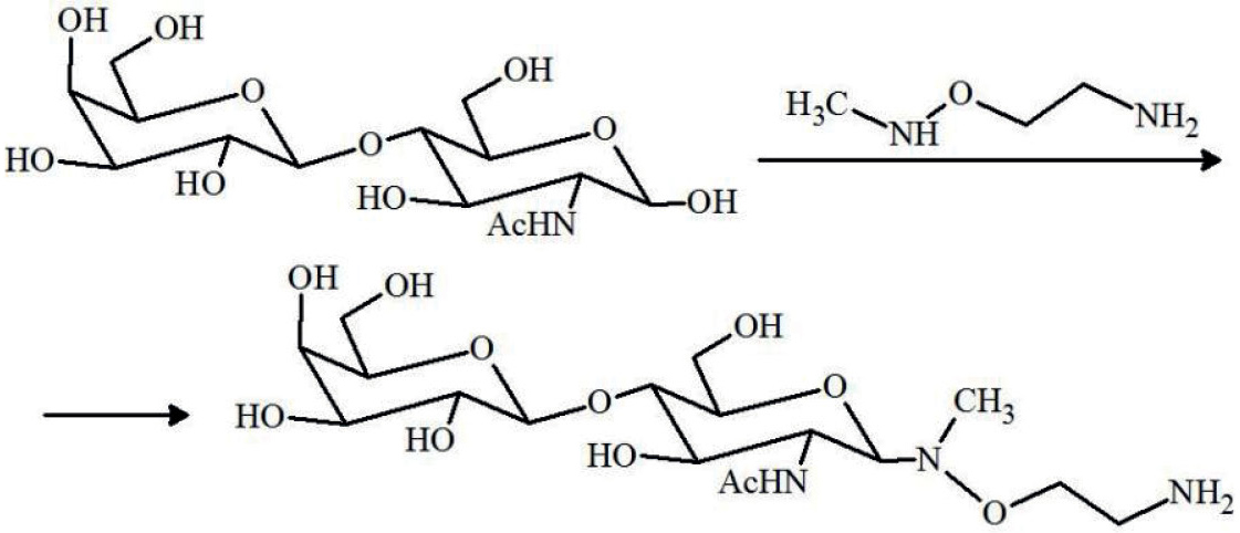
Чтобы сохранить восстанавливающий моносахарид в циклическом виде (который теряется при любом варианте восстановительного аминирования), существует вариант превращения 1-ОН в 1-NH2-группу действием водного раствора гидрокарбоната аммония [41, 42] или карбамата аммония [42–45] с последующим двухстадийным превращением в глицильное производное [46–48], которое ацилируется флуорофором. Для этой же цели предложен еще один метод введения мостика с аминогруппой реакцией 2-(метиламиноокси) этанамина с восстанавливающим концом сахарида (рис. 2) [49]. По полученной аминогруппе можно присоединять флуорофор. Однако такие превращения для полисахаридов пока не использовались.
Рис. 2. Введение аминогруппы с помощью производного гидроксиламина на примере дисахарида N-ацетиллактозамина.
Взаимодействие с гидразинами и гидразидами. Мечение ПС гидразинами и гидразидами флуорофоров (рис. 1) проходит в одну стадию. Реакции проводят, как правило, в водно-спиртовой среде с добавлением уксусной кислоты [50]. Образующиеся по этой реакции гидразоны – более стабильные соединения, чем основания Шиффа, однако могут обратимо переходить в циклическую форму [51, 52]. Во избежание протекания обратной реакции в процессе применения меченого полисахарида их, как и основания Шиффа, восстанавливают [53, 54].
Наряду с гидразинами и гидразидами предлагают тиосемикарбазид флуоресцеина для мечения полисахаридов [55].
3.2. Модификации по гидроксильным группам полисахаридов
Далеко не все полисахариды являются восстанавливающими, поэтому модификации подвергают и другие функциональные группы, в частности гидроксилы. Гидроксильные группы в ПС различаются по реакционной способности. Наиболее доступны для объемных заместителей (а флуорофоры – обычно объемные молекулы) первичные гидроксильные группы; доступность (а потому и реакционноспособность) вторичных гидроксилов значительно различается. Так, гидроксильные группы в экваториальном положении обладают большей реакционной способностью, чем те, которые находятся в аксиальном положении. В ПС оказывают влияние на реакционную способность и внутримолекулярные водородные связи. Гидроксильные группы, которые выступают в качестве доноров в водородных связях, могут проявлять повышенную нуклеофильность [56].
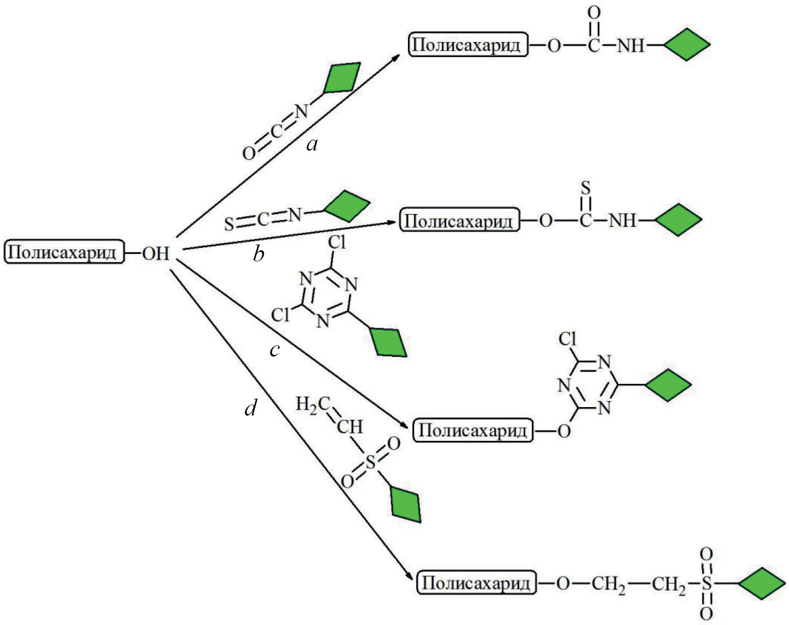
На рис. 3 приведены варианты присоединения флуорофора по гидроксильной группе.
Взаимодействие с цианатами. Для мечения полисахаридов применяют изоцианаты и изотиоцианаты (рис. 3, реакции a и b) [57]. Их начали использовать для введения функциональных групп по гидроксилам полисахаридов с 1940-х гг.
Рис. 3. Введение флуоресцентной метки по гидроксильной группе: реакция с изоцианатами (a), изотиоцианатами (b), дихлордиазином (c) и винилсульфоном (d).
Модификацию полисахаридов осуществляют с помощью диизоцианатов, например, 2,4-толуолдиизоцианатом, п-фенилендиизоцианатом, 4,4'-дифенилметандиизоцианатом или гексаметилендиизоцианатом [58] с последующим присоединением диамина в стехиометрическом избытке [59]; полученное аминопроизводное полисахарида можно использовать для введения флуоресцентной метки (см. ниже подраздел “Модификации по предсуществующим аминогруппам полисахаридов”). Недостаток изоцианатов – их малая стабильность при хранении, они гидролизуются водой. В связи с этим лучше использовать изотиоцианаты, которые меньше подвержены гидролизу и менее токсичны [60, 61]. Обычно ПС по гидроксилам метят в слабощелочной среде (рН 8.5) при комнатной температуре [62].
Взаимодействие с триазиновым производным флуорофора. Триазиновые производные флуорофоров реагируют с гидроксилами полисахаридов в мягких условиях (при комнатной температуре) в водной среде при значении рН 8–10 (рис. 3, реакция с) [60].
Показано, что при рН ~ 8 целлюлоза взаимодействует только с одним из двух активных атомов хлора в молекуле дихлортриазинового красителя уже при комнатной температуре [63]. Основное преимущество триазинового производного флуорофора (обычно используется 5-(4,6-дихлородиазинил)аминофлуоресцеин, DTAF), в отличие от многих других органических флуоресцентных меток, состоит в том, что можно проводить реакцию с ПС в водных растворах.
Взаимодействие с флуорофором, активированным винилсульфоновой группой. В основе этого процесса лежит реакция Михаэля, заключающаяся в нуклеофильном присоединении по кратной углерод-углеродной связи, сопряженной с электроноакцепторной группой (рис. 3, реакция d). Так, например, винилсульфоновые красители (они могут быть флуоресцентными), содержащие сульфоновые или карбоксильные заместители (для растворимости в воде), вводят в молекулу целлюлозы в водно-щелочном растворе [64].
Красители с винилсульфоновой группой обладают стабильностью в воде и органических растворителях при комнатной температуре. Этот метод мечения предлагается использовать для различных биомолекул [65]. Эту же реакцию успешно применяют при иммобилизации ПС на поверхности кремниевых пластин, модифицированных винилсульфоновыми группами. Реакция проходит при рН 7.5–10.0 при комнатной температуре за 16 ч [66].
3.3. Модификации по предсуществующим аминогруппам полисахаридов
Аминогруппа, как правило, есть в составе ЛПС и в некоторых случаях – бактериальных капсульных полисахаридов [6, 67–72]. Из ЛПС полисахарид получают путем мягкого кислотного гидролиза, в результате чего в его составе остается аминогруппа фосфоэтаноламинового остатка. Если в ПС нет аминогруппы (как, например, в растительных ПС) – ее можно ввести (см. выше в п. “Взаимодействие с аминами”).
Рис. 4. Введение флуоресцентной метки по аминогруппе: реакция с сукцинимидным эфиром (a), сульфохлоридом (b) и изотиоцианатом (c).
На рис. 4 приведены варианты присоединения флуорофора по аминогруппе.
Взаимодействие с сукцинимидным эфиром флуорофора. N-Гидроксисукцинимидный эфир реагирует с аминогруппой ПС с образованием амида карбоновой кислоты (рис. 4, реакция а).
Таким методом получают, например, конъюгаты частично гидролизованного хитозана (с молекулярной массой ~5 кДа) и ультрафиолетового флуорофора ZW800-1 [73]. Эта метка вводится в фосфатном буфере (рН 8) при комнатной температуре в течение 6 ч.
С помощью сукцинимидного эфира метки BODIPY проводят мечение ПС, содержащих фосфоэтаноламин, в микромасштабе (до 0.1 мг ПС). Разработанная методика позволяет создать библиотеку флуоресцентных полисахаридных зондов для изучения их взаимодействия с дендритными клетками человека с помощью цитофлуориметрии [6].
Взаимодействие с производными сульфохлорида. Сульфохлориды (хлорангидриды сульфокислот) реагируют с аминами (рис. 4, реакция b) и спиртами, но в последнем случае необходимо добавлять основание (реакция проводится, как правило, в органической среде).
Флуоресцентные метки с помощью сульфохлоридов вводятся в основном в пептиды. В углеводной химии этим методом пользуются редко, по-видимому, из-за лабильности сульфохлоридов в водной среде. Тем не менее примеры таких работ есть – в частности, было получено дансильное производное α-(1→6)-олигоманнана реакцией дансилхлорида с олигосахаридом, содержащим защищенные гидроксильные группы и аминогруппу, в смеси N-метилимидазола и безводного хлористого метилена [74].
Взаимодействие с изотиоцианатами. Изотиоцианатные производные флуорофоров могут быть использованы как для мечения по гидроксильной группе (как описано выше в п. “Взаимодействие с цианатами”), так и по аминогруппе полисахаридов (рис. 4, реакция c). С аминогруппой эта реакция проходит при комнатной температуре в слабокислой среде, а в случае с гидроксильной – в слабощелочной.
Наиболее распространенный флуорофор этой группы – изотиоцианат флуоресцеина (FITC). На примере хитозана были выявлены условия, когда FITC реагирует только с аминогруппами [75–79]. Реакцию, как правило, проводят в водно-органической среде. Полисахарид растворяют в воде, а FITC – в метаноле, потом смешивают растворы и добавляют уксусную кислоту. В работе Onishi et al. [75] реакцию мечения проводили в водной среде при рН 6.9, а FITC добавляли в виде порошка.
3.4. Модификация полисахаридов, содержащих карбоксильные группы
Полисахариды, содержащие карбоксильные группы, широко распространены: в растительном мире это в основном полиуроновые кислоты (пектины, альгиновые кислоты), а в животном – полисиаловые и гиалуроновые кислоты, а также гликозаминогликаны. При модификации карбоновые кислоты можно превратить в эфиры, амиды, ацилгидразиды или гидроксамовые кислоты.
Рис. 5. Введение флуоресцентной метки по карбоксильной группе: путем активации карбодиимидом (a), реакция с диазометаном (b).
На рис. 5 приведены два варианта присоединения флуорофора через карбоксильную группу.
Наиболее популярный метод – введение метки созданием амидной связи с использованием карбодиимидных активаторов карбоксильных групп (рис. 5, реакция a) [80–82]. Мечение проводят в водных растворах при рН 4.5–5.0.
Почти в таких же условиях можно вводить гидразиновое производное флуорофора. Так, например, гепарин и хондроитинсульфат, представляющие собой полимеры из L-идуроновой и D-глюкуроновой кислот, модифицировали с помощью гидразидного производного флуоресцеина. Модификация по карбоксильным группам проходила в водном растворе при рН 5 и 37°С за 3 ч [83].
Для введения флуоресцентной метки путем создания сложноэфирной связи используют производные диазометана (рис. 5, реакция b), например, такие как флуоренилдиазометан [84–86] или пиренилдиазометан [87]. Флуоренилдиазометаном [84, 85] метили целлюлозу, которую растворяли в диметилацетамиде с хлористым литием (для разрушения водородных связей). Реакции производных диазометана проводят в органических растворителях (диметилацетамид, этилацетат-метанол), т.к. приведенные флуорофоры не растворяются в воде. Несмотря на это, производные диазометана обладают важным преимуществом – они реагируют в нейтральной среде при комнатной температуре.
Следует отметить, что флуоренилдиазометан используют для оценки содержания карбоксильных групп в бумажной массе (суспензии волокон целлюлозы в воде, используемой для получения бумаги) [85].
3.5. Использование методов клик-химии
Начиная с 2000-х гг., для введения флуоресцентных меток стали активно использовать методы клик-химии (Click chemistry) [88]. Этот термин был впервые ввел K.B. Sharpless в 2001 г. [89]. Клик-реакции можно отнести к так называемым биоортогональным, т.е. химическим реакциям, которые способны протекать внутри живых систем, не мешая естественным биохимическим процессам. Это понятие предложила C.R. Bertozzi, получившая Нобелевскую премию в 2022 г. [90]. С помощью биоортогональных реакций были разработаны методы визуализации углеводов в живых организмах для изучения процессов клеточной адгезии и передачи сигналов [91, 92].
Функциональные группы, участвующие в биоортогональных реакциях, как правило, не встречаются в биомолекулах, но способны быстро и селективно реагировать друг с другом в условиях живой клетки; при этом они инертны по отношению к другим соединениям, которые присутствуют в организме. Обычно в углевод вводят функциональную группу (чаще всего азидную) и помещают в клетки и в живые организмы, где он интегрируется в биосинтетические/биохимические процессы. Потом вводят флуоресцентную метку, которая имеет функцию, подходящую для клик-реакции (для углевода с азидом часто используют ацетиленовую группу) [93–99].
Использование методов клик-химии привело к значительному прогрессу методов введения флуоресцентных меток в ПС, наибольшее распространение получила реакция азид-алкинового циклоприсоединения.
Азид-алкиновое циклоприсоединение. Для осуществления азид-алкинового циклоприсоединения (рис. 6) при мечении полисахаридов необходимо подготовить два реагента, содержащих азидную и алкиновую группы. Азидную группу вводят обычно в две стадии. Первая стадия – тозилирование или бромирование гликана, вторая – замещение введенных на первой стадии групп на азид. Реакции, как правило, проводят в апротонных растворителях, таких как диметилсульфоксид, диметилформамид и диметилацетамид [100–104]. Ацетиленовую группу вводят тремя способами. Первый способ заключается в алкилировании пропаргилбромидом алкоголята полисахарида в диметилацетамиде или в воде [103]; второй – реакция пропаргиламина с тозилированным полисахаридом в диметилформамиде [104]; третий – это этерификация полисахарида ацетиленкарбоновыми кислотами в условиях кислотного катализа [105, 106].
Рис. 6. Введение метки с помощью азид-алкинового циклоприсоединения.
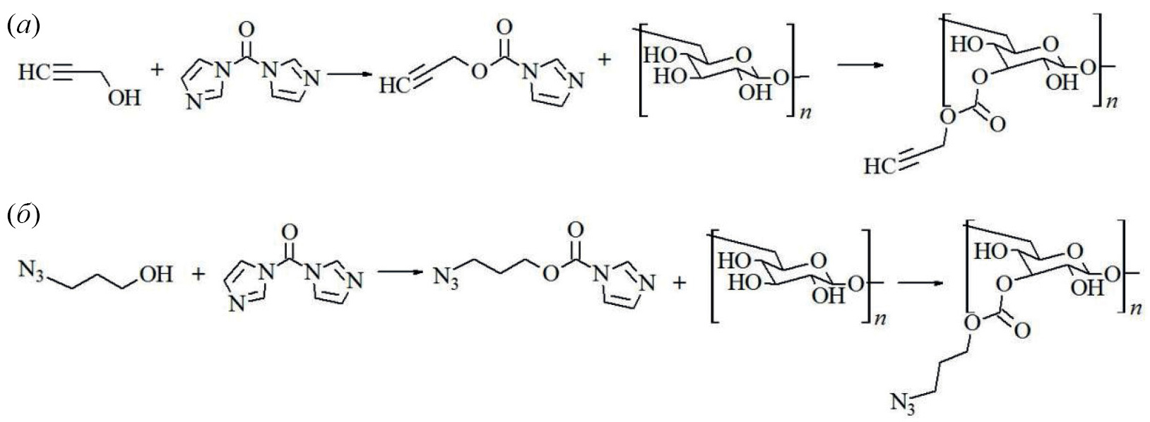
В случаях с ПС, имеющими восстанавливающий конец, проводят восстановительное аминирование для введения групп, участвующих в клик-реакции. Например, ацетиленовую группу вводят реакцией с пропаргиламином (как было описано ранее в п. “Взаимодействие с аминами”) [107]. Известны методы введения функциональных групп в полисахариды для клик-реакций с помощью карбонилдиимидазола (рис. 7) [108]. Полученные карбонаты гидролизуются в физиологических условиях (рН 7.2, 37°С) от двух дней до двух месяцев [109].
Рис. 7. Введение функциональных групп для клик-реакции с помощью карбонилдиимидазола: (а) – синтез пропаргилкарбоната декстрана, (б) – синтез азидопропилкарбоната декстрана.
Для устранения невысокой стабильности карбонатов предложен метод введения азидной группы реакцией 1-(6-азидогексаноил)-1H-имидазола с декстраном в диметилсульфоксиде. В результате получается азид, присоединенный к полисахариду сложноэфирной связью, которая более стабильна, чем карбонат. 1-(6-Азидогексаноил)-1H-имидазол получается взаимодействием карбонилдиимидазола с азидокапроновой кислотой [110].
Рис. 8. Получение целлюлозы с азидной группой с помощью 1-азидо-2,3-эпоксипропан.
Для введения азидной группы на поверхности нанофибриллярной целлюлозы в водно-спиртовой среде при комнатной температуре предложено использовать 1-азидо-2,3-эпоксипропан (рис. 8) [111]. Полученные производные далее вводили в клик-реакцию с целью получения новых материалов, а также для введения флуоресцентной метки.
Ключевой момент для клик-реакции – выбор медного катализатора. Его можно ввести сразу в виде одновалентной меди, например, CuBr [112], или медь можно использовать в виде двухвалентной соли (CuBr2) вместе с восстановителем, например, аскорбиновой кислотой [113]. Часто в реакцию добавляют N,N,N',N'',N''-пентаметилдиэтилентриамин (PMDETA) [98, 112, 113], вероятно, для предотвращения окисления или диспропорционирования одновалентной меди. Клик-реакция может проходить и без PMDETA. Например, показано, что реакции можно проводить в DMSO, N-метилпирроллидоне [101], тетрагидрофуране [114], водно-органической среде [105], растворе соляной кислоты [115] и ионной жидкости (ацетат 1-этил-3-метилимидазолия) [116].
Следует отметить, что соли меди обладают цитотоксичностью, что делает ее применение ограниченным. Отрицательное воздействие можно уменьшить использованием комплексов меди [117] или осуществить безмедное азид-алкиновое циклоприсоединение. Ускорение реакции может быть достигнуто не только путем использования катализатора, но и повышением реакционной способности алкина. Введение в реакцию с азидами напряженного циклооктина улучшает кинетику реакции и позволяет проводить циклоприсоединение в отсутствие медного катализатора. Эта реакция протекает с более высокой скоростью за счет снятия углового напряжения в молекуле циклооктина при образовании продукта присоединения [118].
Реакция с тетразолами. В результате воздействия ультрафиолетового света на производные тетразола образуются реакционноспособные нитрил-имины, которые вступают с олефинами в реакцию циклоприсоединения (рис. 9).
Рис. 9. Схема фотоклик-реакции с тетразолом.
Например, для введения метки перацетилированный маннозамин ацилировали акрилоилхлоридом и вводили в культуру клеток, где он включался в биосинтез различных гликоконъюгатов, а также ПС. Флуоресцентную метку вводили с помощью фотоклик-реакции уже непосредственно в клетке, что удобно для изучения локализации меченых молекул [119].
Лигирование по Штаудингеру. Реакция Штаудингера – это метод синтеза фосфазенов путем взаимодействия азидов с фосфинами. Образовавшиеся в реакции фосфазены легко гидролизуются, образуя амин и фосфиноксид. Модификация этой реакции – лигирование по Штаудингеру – широко применяется в области химической биологии и биоконъюгации для ковалентного связывания биомолекул с низкомолекулярными метками, а также для мечения клеток в живых организмах. Участвующие в реакции функциональные группы (азид и фосфин) практически не представлены в организмах, поэтому считается, что они не способны взаимодействовать с природными соединениями. Лигирование по Штаудингеру стало первым примером биоортогональной реакции, способной протекать в клетках живых организмов, не мешая естественным биохимическим процессам. Модификация C.R. Bertozzi состоит во введении в один из арильных заместителей фосфина сложноэфирной группы в качестве электрофильной ловушки. В результате образуется прочная амидная связь между фрагментом биомолекулы и введенной меткой (рис. 10а) [120].
Рис. 10. Реакция Штаудингера: (а) – лигирование по Штаудингеру, (б) – бесследовое лигирование по Штаудингеру.
Для введения метки азидсодержащий моносахарид (ацетилированные N-азидоацетилманнозамин, N-азидоацетилгалактозамин, N-азидоацетилглюкозамин или 6-азидофукозамин) вводят в культуру клеток или в живой организм, где он включается в биосинтез различных ПС и гликоконъюгатов. После чего проводят лигирование по Штаудингеру с флуорофором, содержащим трифенилфосфиновую группу [93, 96, 121]. Трифенилфосфин нерастворим в воде, поэтому метку добавляют в растворителе, например в тетрагидрофуране, или вводят в ее состав водорастворимый заместитель (олигоэтиленгликоль или сульфогруппу) [122].
Несмотря на то, что разработанная методика лигирования по Штаудингеру хорошо зарекомендовала себя в биологических объектах, предпочтение отдается модификации, в которой неприродный фосфиноксид выводится из системы – так называемое бесследовое лигирование по Штаудингеру, в котором трифенилфосфиноксид легко удаляется. Для этого проводят модификацию реагентов таким образом, чтобы фосфин оказывался в спиртовой части сложного эфира и отщеплялся при атаке нуклеофильного атома азота иминофосфоранового интермедиата (рис. 10б) [123–126].
4. МЕТОДЫ ВВЕДЕНИЯ ФЛУОРОФОРОВ НА ОСНОВЕ ЛАНТАНОИДОВ
Для присоединения комплексов лантаноидов к биомолекулам используют лиганды с функциональными группами (например, с изотиоцианатом и дихлоротриазином). На рис. 11 приведены примеры таких бифункциональных лигандов для лантаноидов [127–130]. С их помощью метку можно вводить в ПС описанными выше методами (см. п. “Взаимодействие с цианатами”, “Взаимодействие с триазиновым производным флуорофора” и Взаимодействие с изотиоцианатами”).
Рис. 11. Бифункциональные лиганды для лантаноидных меток: изотиоцианатофенилэтилендиаминтетрауксусная кислота (EDTA) [126, 127] (а), изотиоцианатобензилдиэтилентриаминтетрауксусная кислота (DTTA) [126, 127] (б), изотиоцианатобензилдиэтилентриаминпентауксусная кислота (DTPA) [126–128] (в), изотиоцианатобензилтетраазацислододекануксусная кислота (DOTA) [126, 129] (г), изотиоцианатобензилтетраазацислотетрадекануксусная кислота (TETA) [126, 129] (д), изотиоцианатобензилтриазацислононануксусная кислота (NOTA) [129] (е), дихлоротриазиноаминобензилдиэтилентриаминтетрауксусная кислота (DTTA) [128] (ж).
Например, Xiao et al. [131] к молекуле арабиногалактана последовательно присоединяли хлоруксусную кислоту, этилендиамин и лиганд – 1,4,7,10-тераазациклододекан-1,4,7,10-тетрауксусную кислоту (DOTA), а затем вводили ион тербия. В другой работе к меченому таким же образом декстрану присоединяли аминированный низкомолекулярный фукоидан (сильно сульфатированный гетерополисахарид, используемый здесь для таргетинга) с помощью N-гидроксисукцинимидного эфира. Образовавшийся конъюгат авторы предлагают использовать для диагностики атеротромбоза [132].
5. МЕТОДЫ ВВЕДЕНИЯ ФЛУОРОФОРОВ НА ОСНОВЕ КВАНТОВЫХ ТОЧЕК
Для возможности использования неорганических КТ в качестве меток их обрабатывают бифункциональными молекулами, содержащими сульфгидрильные группы для заякоривания на оболочке (например, из сульфида цинка) с одной стороны и карбоксильные, гидроксильные или аминогруппы с другой для конъюгации с биомолекулами [14, 133–135]. Для введения функциональных групп углеродные КТ подвергают химическому или электрохимическому окислению. Образующиеся в результате карбоксильные группы используют для конъюгации [136–138].
Самый большой недостаток обоих типов КТ – мультивалентность, трудно ввести только одну функциональную группу на поверхности. Некоторые исследователи решают эту проблему строгим соблюдением стехиометрического соотношения КТ и биомолекулы [139]. Есть работы по разделению получаемой смеси меченых молекул, например, с помощью электрофореза [140], однако КТ могут выступать в этих реакциях в роли сшивающих реагентов, что усложняет ситуацию. И хотя КТ уже используют для маркировки клеточных органелл [22], для мечения полисахаридов их пока не применяют.
6. ЗАКЛЮЧЕНИЕ
Как следует из приведенного выше материала, мечение ПС получило широкое применение, а для подлежащих мечению ПС наблюдается значительное структурное разнообразие. В зависимости от природы полисахарида, флуоресцентную метку вводят по альдегидной, гидроксильной, карбоксильной или аминогруппе. Самое очевидное и специфическое (поскольку эту реакцию можно проводить избирательно даже в смеси с молекулами, несущими другие функциональные группы) – введение метки по альдегидной группе полисахаридов. Этот метод автоматически решает и проблему стехиометрии ПС/метка, т.к. альдегидная группа в цепи только одна. Наиболее стабильные продукты получаются при использовании метода восстановительного аминирования, а использование 2-(метиламиноокси)этанамина позволяет сохранить циклическую форму восстанавливающего конца.
Однако не все ПС являются восстанавливающими, кроме того, с ростом молекулярного веса молекулы (а он может достигать нескольких тысяч кДа) эффективность мечения по восстанавливающему концу ПС падает. Модификация гидроксильных и карбоксильных групп хоть и не специфическая, тем не менее относительно простая, и выбор вариантов мечения (и доступных флуорофоров) здесь очень большой, среди которых предпочтение следует отдать тем, которые позволяют проводить реакцию в водной среде, как, например, при использовании триазиновых производных флуорофоров. Следует лишь отметить необходимость контроля стехиометрии (см. выше). Реакции по аминогруппе также можно считать специфическими, т.к. эта группа присутствует далеко не во всех полисахаридах, что позволяет метить их избирательно.
Если речь идет о детекции полисахаридов в живой системе, то вводить флуорофор имеет смысл с помощью биоортогональных реакций, т.к. они способны протекать внутри живых систем, не мешая естественным биохимическим процессам. При этом следует принимать во внимание и особенности объекта, т.к. высокая гидрофобность некоторых молекул-флуорофоров может вызывать значимое неспецифическое взаимодействие либо влиять на фармакинетику [141].
Большинство подходов к визуализации полисахаридов основаны на использовании флуоресцентных органических флуорофоров-меток. Органические флуорофоры – крупнейший класс флуоресцентных соединений. Это относительно небольшие (молекулярная масса большинства органических флуорофоров <1 кДа) органические вещества, содержащие несколько ароматических фрагментов и необходимые для мечения функциональные группы. Достоинство органических флуорофоров – их моновалентность, т.е. присутствует лишь одна группа, необходимая для реакции с полисахаридом. Основные работы по мечению ПС выполнены именно с органическими флуорофорами.
Несмотря на вышеизложенное, органические флуорофоры имеют ряд недостатков, таких как низкая химическая стабильность, фотообесцвечивание, широкие спектры излучения. В этой связи более привлекательным выглядит использование комплексов лантаноидов, обладающих фотостабильностью и продолжительным временем флуоресценции. Это позволяет исключить сигналы других флуорофоров путем введения временной задержки (10–200 мкс) между временем возбуждения и измерения флуоресценции (time-resolved fluorescence). Кроме того, комплексы лантаноидов позволяют проводить детекцию в длинноволновом диапазоне, проникающим через живые ткани. Следует, однако, отметить, что методы введения меток на основе комплексов лантаноидов менее отработаны.
Квантовые неорганические и углеродные точки были разработаны для замены обычных органических флуорофоров. Они обладают высокой фотостабильностью, настраиваемой длиной волны излучения за счет регулирования размера частиц, широкими полосами возбуждения, что позволяет возбуждать нанокристаллы разных цветов одним источником излучения, и узкими спектрами излучения. Это открывает возможность для мультиплексной детекции, т.е. для наблюдения за несколькими объектами одновременно. Теоретически КТ можно “оснастить” практическими любыми функциональными группами, что делает их гибкими, легко подстраивающимися под задачу, хотя отметим, что ввести на поверхность КТ строго контролируемое количество функциональных групп практически невозможно. По-видимому, именно мультивалентность препятствует широкому применению КТ в качестве флуоресцентных меток, в том числе и для мечения полисахаридов.
Работы по мечению полисахаридов комплексами лантаноидов и КТ практически отсутствуют, однако, благодаря тому что они выгодно отличаются от своих органических аналогов по флуоресцентным свойствам, стабильности и гибкости в модификации, их потенциал в будущем, наверняка будет реализован.
ФОНДОВАЯ ПОДДЕРЖКА
Работа выполнена при поддержке Российского научного фонда (грант № 20-63-47110).
СОБЛЮДЕНИЕ ЭТИЧЕСКИХ СТАНДАРТОВ
Настоящая статья не содержит описания исследований с участием людей или использованием животных в качестве объектов исследования.
КОНФЛИКТ ИНТЕРЕСОВ
Авторы заявляют об отсутствии конфликта интересов.
About the authors
A. Yu. Nokel
Shemyakin–Ovchinnikov Institute of Bioorganic Chemistry, Russian Academy of Sciences; National Medical Research Center for Obstetrics, Gynecology and Perinatology named after Academician V.I. Kulakov of the Ministry of Health of Russian Federation
Email: professorbovin@yandex.ru
Russian Federation, ul. Miklukho-Maklaya 16/10, Moscow, 117997; ul. Oparina 4, Moscow, 117997
N. V. Bovin
Shemyakin–Ovchinnikov Institute of Bioorganic Chemistry, Russian Academy of Sciences
Author for correspondence.
Email: professorbovin@yandex.ru
Russian Federation, ul. Miklukho-Maklaya 16/10, Moscow, 117997
A. B. Tuzikov
Shemyakin–Ovchinnikov Institute of Bioorganic Chemistry, Russian Academy of Sciences
Email: professorbovin@yandex.ru
Russian Federation, ul. Miklukho-Maklaya 16/10, Moscow, 117997
T. V. Ovchinnikova
Shemyakin–Ovchinnikov Institute of Bioorganic Chemistry, Russian Academy of Sciences
Email: professorbovin@yandex.ru
Russian Federation, ul. Miklukho-Maklaya 16/10, Moscow, 117997
N. V. Shilova
Shemyakin–Ovchinnikov Institute of Bioorganic Chemistry, Russian Academy of Sciences; National Medical Research Center for Obstetrics, Gynecology and Perinatology named after Academician V.I. Kulakov of the Ministry of Health of Russian Federation
Email: professorbovin@yandex.ru
Russian Federation, ul. Miklukho-Maklaya 16/10, Moscow, 117997; ul. Oparina 4, Moscow, 117997
References
- Held M.A., Jiang N., Basu D., Showalter A.M., Faik A. // In: Polysaccharides / Eds. Ramawat K., Mérillon J.M. Springer, Cham, 2014. Р. 1–47. https://doi.org/10.1007/978-3-319-03751-6_73-1
- Mbongue J.C., Vanterpool E., Firek A., Langridge W.H.R. // Immuno. 2022. V. 2. P. 482–500. https://doi.org/10.3390/immuno2030030
- Alexander C., Rietschel E.T. // J. Endotoxin Res. 2001. V. 7. P. 167–202.
- Olivera-Ardid S., Khasbiullina N., Nokel A., Formanovsky A., Popova I., Tyrtysh T., Kunetskiy R., Shilova N., Bovin N., Bello-Gil D., Mañez R. // J. Vis. Exp. 2019. V. 144. e57662. https://doi.org/10.3791/57662
- Khasbiullina N.R., Bovin N.V. // Biochem. 2015. V. 80. P. 820–835. https://doi.org/10.1134/S0006297915070032
- Tuzikov A.B., Rapoport E.M., Khaidukov S.V., Nokel E.A., Knirel Y.A., Bovin N.V. // Glycoconj. J. 2021. V. 38. P. 369–374. https://doi.org/10.1007/s10719-021-09993-9
- Principles of Fluorescence Spectroscopy / Ed. Lakowicz J.R. Springer New York, NY, 2006. https://doi.org/10.1007/978-0-387-46312-4
- Cabral Campello M.P., Palma E., Correia I., Paulo P.M.R., Matos A., Rino J., Coimbra J., Pessoa J.C., Gambino D., Paulo A., Marques F. // Dalton Trans. 2019. V. 48. P. 4611–4624. https://doi.org/10.1039/c9dt00640k
- Weissman S.I. // J. Chem. Phys. 1942. V. 10. P. 214–217. https://doi.org/10.1063/1.1723709
- Bayer M. // Ann. Phys. 2019. V. 531. Р. 900039. https://doi.org/10.1002/andp.201900039
- Dumas E., Gao C., Suffern D., Bradforth S.E., Dimitrijevic N.M., Nadeau J.L. // Environ. Sci. Technol. 2010. V. 44. P. 1464–1470. https://doi.org/10.1021/es902898d
- Gulia S., Kakkar R. // Adv. Mat. Lett. 2013. V. 4. P. 876–887. https://doi.org/10.5185/amlett.2013.3440
- Granada-Ramírez D.A., Arias-Cerón J.S., Rodriguez-Fragoso P., Vázquez-Hernández F., Luna-Arias J.P., Herrera-Perez J.L., Mendoza-Álvarez J.G. // Nanobiomaterials. 2018. P. 411–436. https://doi.org/10.1016/B978-0-08-100716-7.00016-7
- Xing Y., Rao J. // Cancer Biomarkers. V. 4. P. 307–319. https://doi.org/10.3233/CBM-2008-4603
- Sukhanova A., Venteo L., Devy J., Artemyev M., Oleinikov V., Pluot M., Nabiev I. // Lab. Invest. 2002. V. 82. P. 1259–1261. https://doi.org/10.1097/01.LAB.0000027837.13582.E8
- Олейников В.А., Суханова А.В., Набиев И.Р. // Рос. нанотехнологии. 2007. Т. 2. № 1–2. С. 160–173.
- Xu X., Ray R., Gu Y., Ploehn H.J., Gearheart L., Raker K., Scrivens W.A. // J. Am. Chem. Soc. 2004. V. 126. P. 12736–12737. https://doi.org/10.1021/ja040082h
- Sun Y.P., Zhou B., Lin Y., Wang W., Fernando K.A.S., Pathak P., Meziani M.J., Harruff B.A., Wang X., Wang H., Luo P.G., Yang H., Kose M.E., Chen B., Veca L.M., Xie S. // J. Am. Chem. Soc. 2006. V. 128. P. 7756–7757. https://doi.org/10.1021/ja062677d
- Diaz-Diestra D., Thapa B., Badillo-Diaz D., BeltranHuarac J., Morell G., Weiner B.R. // Nanomaterials. 2018. V. 8. P. 1–18. https://doi.org/10.3390/nano8070484
- Zhu H., Wang X., Li Y., Wang Z., Yang F., Yang X. // Chem. Commun. 2009. V. 34. P. 5118–5120. https://doi.org/10.1039/b907612c
- Li H., Ming H., Liu Y., Yu H., He X., Huang H., Pan K., Kang Z., Lee S.T. // New J. Chem. 2011. V. 35. P. 2666–2670. https://doi.org/10.1039/c1nj20575g
- Liu M.L., Yang L., Li R.S., Chen B.B., Liu H., Huang C.Z. // Green Chem. 2017. V. 19. P. 3611–3617. https://doi.org/10.1039/c7gc01236e
- Hess W.M., Herd C.R. // In: Carbon Black / Ed. Donnet J.-B. Marcel Dekker Inc. 1993. Р. 89–173. https://doi.org/10.1201/9781315138763-3
- Xiao L., Wang Y., Huang Y., Wong T., Sun H. // Nanoscale. 2017. V. 9. P. 12637–12646. https://doi.org/10.1039/c7nr03913a
- Tsien R.Y. // FEBS Lett. 2005. V. 579. P. 927–932. https://doi.org/10.1016/j.febslet.2004.11.025
- Song Y.R., Sung S.K., Jang M., Lim T.G., Cho C.W., Han C.J., Hong H.D. // Int. J. Biol. Macromol. 2018. V. 116. P. 1089–1097. https://doi.org/10.1016/j.ijbiomac.2018.05.132
- Meunier F., Wilkinson K.J. // Biomacromolecules. 2002. V. 3. P. 857–864. https://doi.org/10.1021/bm0255241
- O’Shea M.G., Morell M.K. // Electrophoresis. 1996. V. 17. P. 681–686. https://doi.org/10.1002/elps.1150170410
- Nakajima K., Oda Y., Kinoshita M., Masuko T., Kakehi K. // Analyst. 2002. V. 127. P. 972–976. https://doi.org/10.1039/b202950b
- Partyka J., Krenkova J., Cmelik R., Foret F. // J. Chromatogr. A. 2018. V. 1560. P. 91–96. https://doi.org/10.1016/j.chroma.2018.05.030
- Song X., Xia B., Stowell S.R., Lasanajak Y., Smith D.F., Cummings R.D. // Chem. Biol. 2009. V. 16. P. 36–47. https://doi.org/10.1016/j.chembiol.2008.11.004
- Yoshida T., Lee Y.C. // Carbohydr. Res. 1994. V. 251. P. 175–186. https://doi.org/10.1016/0008-6215(94)84284-1
- Ruhaak L.R., Steenvoorden E., Koeleman C.A.M., Deelder A.M., Wuhrer M. // Proteomics. 2010. V. 10. P. 2330–2336. https://doi.org/10.1002/pmic.200900804
- Cosenza V.A., Navarro D.A., Stortz C.A. // Arkivoc. 2011. № 7. P. 182–194. https://doi.org/10.3998/ark.5550190.0012.716
- Ruhaak L.R., Wuhrer M. // Patent EP2306199A1, published 06.04.2011.
- Burkhardt E.R., Coleridge B.M. // Tetrahedron Lett. 2008. V. 49. P. 5152–5155. https://doi.org/10.1016/j.tetlet.2008.06.095
- Li P., Li C., Xue Y., Zhang Y., Liu H., Zhao X., Yu G., Guan H. // J. Ocean Univ. China. 2014. V. 13. P. 683–690. https://doi.org/10.1007/s11802-014-2273-6
- Fry S.C. // Plant J. 1997. V. 11. P. 1141–1150. https://doi.org/10.1046/j.1365-313X.1997.11051141.x
- Seo J.H., Kim C.S., Hwang B.H., Cha H.J. // Nanotechnology. 2010. V. 21. P. 215101. https://doi.org/10.1088/0957-4484/21/21/215101
- Alley W.R., Mann B.F., Hruska V., Novotny M.V. // Anal. Chem. 2013. V. 85. P. 10408–10416. https://doi.org/10.1021/ac4023814
- Likhosherstov L.M., Novikova O.S., Derevitskaja V.A., Kochetkov N.K. // Carbohydr. Res. 1986. V. 146. P. C1–C5. https://doi.org/10.1016/0008-6215(86)85037-6
- Tang J.S.J., Schade K., Tepper L., Chea S., Ziegler G., Rosencrantz R.R. // Molecules. 2020. V. 25. P. 1–14. https://doi.org/10.3390/molecules25215121
- Likhosherstov L.M., Novikova O.S., Shibaev V.N. // Dokl. Chem. 2002. V. 838. P. 89–92. https://doi.org/10.1023/A:1015428720733
- Likhosherstov L.M., Novikova O.S., Shibaev V.N. // Dokl. Chem. 2003. V. 389. P. 73–76. https://doi.org/10.1023/A:1023484306457
- Likhosherstov L.M., Novikova O.S., Zheltova A.O., Shibaev V.N. // ChemInform. 2004. V. 35. P. 709–713. https://doi.org/10.1002/chin.200452177
- Manger I.D., Wong S.Y.C., Rademacher T.W., Dwek R.A. // Biochemistry. 1992. V. 31. P. 10733– 10740. https://doi.org/10.1021/bi00159a013
- Likhosherstov L.M., Novikova O.S., Kolotyrkina N.G., Yamskov I.A., Piskarev V.E. // Russ. Chem. Bull. 2014. V. 63. P. 507–510. https://doi.org/10.1007/s11172-014-0461-6
- Likhosherstov L.M., Novikova O.S., Kolotyrkina N.G., Piskarev V.E. // Russ. Chem. Bull. 2019. V. 68. P. 411–415. https://doi.org/10.1007/s11172-019-2401-y
- Bohorov O., Andersson-Sand H., Hoffmann J., Blixt O. // Glycobiology. 2006. V. 16. P. 21C–27C. https://doi.org/10.1093/glycob/cwl044
- Lattová E., Perreault H. // Mass Spectrom. Rev. 2013. V. 32. P. 366–385. https://doi.org/10.1002/mas.21367
- Hull S.R., Turco S.J. // Anal. Biochem. 1985. V. 146. P. 143–149. https://doi.org/10.1016/0003-2697(85)90408-7
- Shinohara Y., Sota H., Gotoh M., Hasebe M., Tosu M., Nakao J., Hasegawa Y., Shiga M. // Int. J. Comput. Vis. 1996. V. 18. P. 2573–2579.
- Ingham K.C., Brew S.A. // Biochim. Biophys. Acta. 1981. V. 670. P. 181–189. https://doi.org/10.1016/0005-2795(81)90007-6
- Ridley B.L., Spiro M.D., Glushka J., Albersheim P., Darvill A., Mohnen D. // Anal. Biochem. 1997. V. 249. P. 10–19. https://doi.org/10.1006/abio.1997.2165
- Zhang Y., Wang Z., Zhang X., Zhou W., Huang L. // Carbohydr. Res. 2011. V. 346. P. 2156–2164. https://doi.org/10.1016/j.carres.2011.07.014
- Dimakos V., Taylor M.S. // Chem. Rev. 2018. V. 118. P. 11457–11517. https://doi.org/10.1021/acs.chemrev.8b00442
- Georges L.W., Carl H. // Patent US2428843A, published 14.10.1947.
- Abushammala H., Mao J.A. // Molecules. 2019. V. 24. P. 2782. https://doi.org/10.3390/molecules24152782
- Янкаускайте Д.П., Дикчювене А.А., Паулюконис А.-А.Б., Глемжа А.-С.А. // Авторское свидетельство СССР № 732278, опубл. 05.05.1980.
- de Belder A.N., Granath K. // Carbohydr. Res. 1973. V. 30. P. 375–378. https://doi.org/10.1016/S0008-6215(00)81824-8
- Unnikrishnan B.S., Preethi G.U., Sreeranganathan M., Syama H.P., Archana M.G., Sreelekha T.T. // J. Drug Deliv. Sci. Technol. 2019. V. 52. P. 863–869. https://doi.org/10.1016/j.jddst.2019.06.009
- Sun M., Su F., Yang J., Gao Z., Geng Y. // Polymers (Basel). 2018. V. 10. P. 372. https://doi.org/10.3390/polym10040372
- Abitbol T., Palermo A., Moran-Mirabal J.M., Cranston E.D. // Biomacromolecules. 2013. V. 14. P. 3278–3284. https://doi.org/10.1021/bm400879x
- Heyna J. // Angew. Chemie Int. Ed. Engl. 1963. V. 2. P. 20–23. https://doi.org/10.1002/anie.196300201
- Park J.W., Kim Y., Lee K.J., Kim D.J. // Bioconjug. Chem. 2012. V. 23. P. 350–362. https://doi.org/10.1021/bc200232d
- Cheng F., Shang J., Ratner D.M. // Bioconjug. Chem. 2011. V. 22. P. 50–57. https://doi.org/10.1021/bc1003372
- Knirel Y.A., Vinogradov E.V., Shashkov A.S., Dmitriev B.A., Kochetkov N.K., Stanislavsky E.S., Mashilova G.M. // Eur. J. Biochem. 1982. V. 125. P. 221–227. https://doi.org/10.1111/j.1432-1033.1982.tb06672.x
- Yi W., Bystricky P., Yao Q., Guo H., Zhu L., Li H., Shen J., Li M., Ganguly S., Bush C.A., Wang P.G. // Carbohydr. Res. 2006. V. 341. P. 100–108. https://doi.org/10.1016/j.carres.2005.11.001
- Perepelov A.V., Zhu H., Senchenkova S.N., Wang Q., Shashkov A.S., Wang L., Knirel Y.A. // Carbohydr. Res. 2011. V. 346. P. 2812–2815. https://doi.org/10.1016/j.carres.2011.09.013
- Perepelov A.V., Shekht M.E., Liu B., Shevelev S.D., Ledov V.A., Senchenkova S.N., L’vov V.L., Shashkov A.S., Feng L., Aparin P.G., Wang L., Knirel Y.A. // FEMS Immunol. Med. Microbiol. 2012. V. 66. P. 201–210. https://doi.org/10.1111/j.1574-695X.2012.01000.x
- Plumbridge J. // J. Mol. Microbiol. Biotechnol. 2015. V. 25. P. 154–167. https://doi.org/10.1159/000369583
- Carbohydrate Structure Database. http://csdb.glycoscience.ru/database/
- Lee S., Jo G., Jung J.S., Yang D.H., Hyun H. // Artif. Cells Nanomed. Biotechnol. 2020. V. 48. P. 1144– 1152. https://doi.org/10.1080/21691401.2020.1817054
- Aqueel M.S., Pathak V., Pathak A.K. // Tetrahedron Lett. 2008. V. 49. P. 7157–7160. https://doi.org/10.1016/j.tetlet.2008.09.164
- Onishi H., Machida Y. // Biomaterials. 1999. V. 20. P. 175–182. https://doi.org/10.1016/S0142-9612(98)00159-8
- Qaqish R.B., Amiji M.M. // Carbohydr. Polym. 1999. V. 38. P. 99–107. https://doi.org/10.1016/S0144-8617(98)00109-X
- Huang M., Ma Z., Khor E., Lim L.Y. // Pharm. Res. 2002. V. 19. P. 1488–1494. https://doi.org/10.1023/a:1020404615898
- Jiayin Z., Jianmin W., Chinese J. // Anal. Chem. 2006. V. 34. P. 1555–1559. https://doi.org/10.1016/S1872-2040(07)60015-2
- Moussa S.H., Tayel A.A., Al-Turki A.I. // Int. J. Biol. Macromol. 2013. V. 54. P. 204–208. https://doi.org/10.1016/j.ijbiomac.2012.12.029
- Mechref Y., El Rassi Z. // Electrophoresis. 1994. V. 15. P. 627–634. https://doi.org/10.1002/elps.1150150187
- Kobayashi M., Ichishima E. // Biosci. Biotechnol. Biochem. 1992. V. 56. P. 186–189. https://doi.org/10.1271/bbb.56.186
- Kobayashi M., Chiba Y. // Biosci. Biotechnol. Biochem. 1994. V. 58. P. 271–274. https://doi.org/10.1271/bbb.58.271
- Han Z.R., Wang Y.F., Liu X., Wu J.D., Cao H., Zhao X., Chai W.G., Yu G.L. // Chinese J. Anal. Chem. 2011. V. 39. P. 1352–1357. https://doi.org/10.1016/S1872-2040(10)60470-7
- Bohrn R., Potthast A., Rosenau T., Sixta H., Kosma P. // Synlett. 2005. № 20. P. 3087–3090. https://doi.org/10.1055/s-2005-921923
- Bohrn R., Potthast A., Schiehser S., Rosenau T., Sixta H., Kosma P. // Biomacromolecules. 2006. V. 7. P. 1743–1750. https://doi.org/10.1021/bm060039h
- Hutterer C., Fackler K., Potthast A. // ACS Sustain. Chem. Eng. 2017. V. 5. P. 1818–1823. https://doi.org/10.1021/acssuschemeng.6b02552
- Nimura N., Kinoshita T., Yoshida T., Uetake A., Nakai C. // Anal. Chem. 1988. V. 60. P. 2067–2070. https://doi.org/10.1021/ac00170a017
- Stephens D.J., Allan V.J. // Science. 2003. V. 300. P. 82–86. https://doi.org/10.1126/science.1082160
- Kolb H.C., Finn M.G., Sharpless K.B. // Angew. Chemie. 2001. V. 40. P. 2004–2021. https://doi.org/10.1002/1521-3773(20010601) 40:11<2004::AID-ANIE2004>3.0.CO;2-5
- Dube D.H., Bertozzi C.R. // Curr. Opin. Chem. Biol. 2003. V. 7. P. 616–625. https://doi.org/10.1016/j.cbpa.2003.08.006
- Bird R.E., Lemmel S.A., Yu X., Zhou Q.A. // Bioconjug. Chem. 2021. V. 32. P. 2457–2479. https://doi.org/10.1021/acs.bioconjchem.1c00461
- Carell T., Vrabel M. // Top. Curr. Chem. 2016. V. 374. P. 9. https://doi.org/10.1007/s41061-016-0010-x
- Prescher J.A., Dube D.H., Bertozzi C.R. // Nature. 2004. V. 430. P. 873–877. https://doi.org/10.1038/nature02791
- Prescher J.A., Bertozzi C.R. // Cell. 2006. V. 126. P. 851–854. https://doi.org/10.1016/j.cell.2006.08.017
- Prescher J.A., Bertozzi C.R. // Nat. Chem. Biol. 2005. V. 1. P. 13–21. https://doi.org/10.1038/nchembio0605-13
- Laughlin S.T., Bertozzi C.R. // Nat. Protoc. 2007. V. 2. P. 2930–2944. https://doi.org/10.1038/nprot.2007.422
- Laughlin S.T., Bertozzi C.R. // Proc. Natl. Acad. Sci. USA. 2009. V. 106. P. 12–17. https://doi.org/10.1073/pnas.0811481106
- Sletten E.M., Bertozzi C.R. // Angew. Chemie Int. Ed. Engl. 2009. V. 48. P. 6974–6998. https://doi.org/10.1002/anie.200900942
- Sletten E.M., Bertozzi C.R. // Acc. Chem. Res. 2011. V. 44. P. 666–676. https://doi.org/10.1021/ar200148z
- Liebert T., Hänsch C., Heinze T. // Macromol. Rapid Commun. 2006. V. 27. P. 208–213. https://doi.org/10.1002/marc.200500686
- Hasegawa T., Umeda M., Numata M., Li C., Bae A-H., Fujisawa T., Haraguchi S., Sakurai K., Shinkai S. // Carbohydr. Res. 2006. V. 341. P. 35–40. https://doi.org/10.1016/j.carres.2005.10.009
- Furuhata K. ichi, Koganei K., Chang H. S., Aoki N., Sakamoto M. // Carbohydr. Res. 1992. V. 230. P. 165–177. https://doi.org/10.1016/S0008-6215(00)90519-6
- Pierre-Antoine F., François B., Rachida Z. // Carbohydr. Res. 2012. V. 356. P. 247–251. https://doi.org/10.1016/j.carres.2011.10.028
- Koschella A., Hartlieb M., Heinze T. // Carbohydr. Polym. 2011. V. 86. P. 154–161. https://doi.org/10.1016/j.carbpol.2011.04.031
- Hafrén J., Zou W., Córdova A. // Macromol. Rapid Commun. 2006. V. 27. P. 1362–1366. https://doi.org/10.1002/marc.200600328
- Krouit M., Bras J., Belgacem M.N. // Eur. Polym. J. 2008. V. 44. P. 4074–4081. https://doi.org/10.1016/j.eurpolymj.2008.09.016
- Schatz C., Louguet S., Le Meins J.F., Lecommandoux S. // Angew. Chemie Int. Ed. Engl. 2009. V. 48. P. 2572–2575. https://doi.org/10.1002/anie.200805895
- De Geest B.G., Van Camp W., Du Prez F.E., De Smedt S.C., Demeester J., Hennink W.E. // Chem. Commun. (Camb). 2008. № 2. P. 190–192. https://doi.org/10.1039/b714199h
- Van Dijk-Wolthuis W.N.E., Hoogeboom J.A.M., Van Steenbergen M.J., Tsang S.K.Y., Hennink W.E. // Macromolecules. 1997. V. 30. P. 4639–4645. https://doi.org/10.1021/ma9704018
- Laville M., Babin J., Londono I., Legros M., Nouvel C., Durand A. Vanderesse R., Leonard M., Six J.L. // Carbohydr. Polym. 2013. V. 93. P. 537–546. https://doi.org/10.1016/j.carbpol.2012.11.050
- Pahimanolis N., Hippi U., Johansson L.S., Saarinen, T., Houbenov N., Ruokolainen J., Seppälä J. // Cellulose. 2011. V. 18. P. 1201–1212. https://doi.org/10.1007/s10570-011-9573-4
- Yuan W., Li X., Gu S., Cao A., Ren J. // Polymer (Guildf). 2011. V. 52. P. 658–666. https://doi.org/10.1016/j.polymer.2010.12.052.
- Yuan W., Zhao Z., Gu S., Ren J. // J. Polym. Sci. Part A Polym. Chem. 2010. V. 48. P. 3476–3486. https://doi.org/10.1002/pola.24136
- Montañez M.I., Hed Y., Utsel S., Ropponen J., Malmström E., Wågberg L., Hult A., Malkoch M. // Biomacromolecules. 2011. V. 12. P. 2114–2125. https://doi.org/10.1021/bm200201y
- Bao H., Li L., Gan L.H., Ping Y., Li J., Ravi P. // Macromolecules. 2010. V. 43. P. 5679–5687. https://doi.org/10.1021/ma100894p
- Heinze T., Schöbitz M., Pohl M., Meister F. // J. Polym. Sci. Part A Polym. Chem. 2008. V. 46. P. 3853–3859. https://doi.org/10.1002/pola.22697
- Kennedy D.C., Pezacki J.P., Pegoraro A.F., Legault M.C.B., Danielson D.C., McKay C.S., Blake J.A., Mester Z., Stolow A. // J. Am. Chem. Soc. 2011. V. 133. P. 17993. https://doi.org/10.1021/ja2083027
- Dehnert K.W., Baskin J.M., Laughlin S.T., Beahm B.J., Naidu N.N., Amacher S.L., Bertozzi C.R. // Chembiochem. 2012. V. 13. P. 353–357. https://doi.org/10.1002/cbic.201100649
- Schart V.F., Hassenrück J., Späte A.K., Dold J.E.G.A., Fahrner R., Wittmann V. // Chembiochem. 2019. V. 20. P. 166–171. https://doi.org/10.1002/cbic.201800740
- Lin F.L., Hoyt H.M., Van Halbeek H., Bergman R.G., Bertozzi C.R. // J. Am. Chem. Soc. 2005. V. 127. P. 2686–2695. https://doi.org/10.1021/ja044461m
- Laughlin S.T., Agard N.J., Baskin J.M., Carrico I.S., Chang P.V., Ganguli A.S., Hangauer M.J., Lo A., Prescher J.A., Bertozzi C.R. // Methods Enzymol. 2006. V. 415. P. 230–250. https://doi.org/10.1016/S0076-6879(06)15015-6
- Bertozzi C.R., Saxon E. // Science. 2000. V. 287. P. 2007–2010. https://doi.org/10.1126/science.287.5460.2007
- Saxon J.I.A., Saxon C.R.B.E. // Org. Lett. 2000. V. 2. P. 2141–2143. https://doi.org/10.1021/ol006054v
- Nilsson B.L., Kiessling L.L., Raines R.T. // Org. Lett. 2000. V. 2. P. 1939–1941. https://doi.org/10.1021/ol0060174
- Nilsson B.L., Kiessling L.L., Raines R.T. // Org. Lett. 2001. V. 3. P. 9–12. https://doi.org/10.1021/ol006739v
- Soellner M.B., Nilsson B.L., Raines R.T. // J. Org. Chem. 2002. V. 67. P. 4993–4996. https://doi.org/10.1021/jo025631l
- Hemmilä I. // J. Alloys Compd. 1995. V. 225. P. 480–485. https://doi.org/10.1016/0925-8388(94)07069-5
- Brechbiel M.W., Gansow O.A. // Bioconjug. Chem. 1991. V. 2. P. 187–194. https://doi.org/10.1021/bc00009a008
- Пугачев Д.Е., Осин Н.С., Васильев Н.В. // Вест. Моск. гос. областного ун-та. Сер. Естест. науки. 2017. № 3. С. 51–60. https://doi.org/10.18384/2310-7189-2017-3-51-60
- Brechbiel M.W., McMurry T.J., Gansow O.A. // Tetrahedron Lett. 1993. V. 34. P. 3691–3694. https://doi.org/10.1016/S0040-4039(00)79202-1
- Xiao Y., Xue R., You T., Li X., Pei F., Wang X., Lei H. // Carbohydr. Res. 2014. V. 395. P. 9–14. https://doi.org/10.1016/j.carres.2014.05.022
- Nghia N.T., Tinet E., Ettori D., Beilvert A., PavonDjavid G., Maire M., Ou P., Tualle J.-M., Chaubet F.J. // Biomed. Opt. 2021. V. 22. P. 76004. https://doi.org/10.1117/1.jbo.22.7.076004
- Ute R.-G., Markus G., Sara C.-J., Roland N., Thomas N. // Nat. Methods. 2008. V. 5. P. 763. https://doi.org/10.1038/nmeth.1248
- Thanh N.T.K., Green L.A.W. // Nano Today. 2010. V. 5. P. 213–230. https://doi.org/10.1016/j.nantod.2010.05.003
- Karakoti A.S., Shukla R., Shanker R., Singh S. // Adv. Colloid Interface Sci. 2015. V. 215. P. 28–45. https://doi.org/10.1016/j.cis.2014.11.004
- Zhang M., Bai L., Shang W., Xie W., Ma H., Fu Y., Fang D., Sun H., Fan L., Han M., Liu C., Yang S.J. // Mater. Chem. 2012. V. 22. P. 7461. https://doi.org/10.1039/c2jm16835a
- Yuan F., Li S., Fan Z., Meng X., Fan L., Yang S. // Nano Today. 2016. V. 11. P. 565–586. https://doi.org/10.1016/j.nantod.2016.08.006
- Fan Z., Zhou S., Garcia C., Fan L., Zhou J. // Nanoscale. 2017. V. 9. P. 4928–4933. https://doi.org/10.1039/c7nr00888k
- Nelson S.R., Ali M.Y., Warshaw D.M. // Methods Mol. Biol. 2011. V. 778. P. 111–121. https://doi.org/ 10.1007/978-1-61779-261-8_8
- Zanchet D., Micheel C.M., Parak W.J., Gerion D., Alivisatos A.P. // Nano Lett. 2001. V. 1. P. 32–35. https://doi.org/10.1021/nl005508e
- Zheng Z., Pan X., Xu J., Wu Z., Zhang Y., Wang K. // Int. J. Biol. Macromol. 2020. V. 163. P. 1403–1420. https://doi.org/10.1016/j.ijbiomac.2020.07.210
Supplementary files













