9-chloro-5,9-dienoic and other fatty acids from marine sponge Penares sp.
- Authors: Santalova Е.А.1, Kolesnikova S.А.1
-
Affiliations:
- G.B. Elyakov Pacific Institute of Bioorganic Chemistry, Far-Eastern Branch of Russian Academy of Sciences
- Issue: Vol 50, No 2 (2024)
- Pages: 130-145
- Section: Articles
- URL: https://bakhtiniada.ru/0132-3423/article/view/258830
- DOI: https://doi.org/10.31857/S0132342324020034
- EDN: https://elibrary.ru/ONMVIP
- ID: 258830
Cite item
Full Text
Abstract
The fatty acids and their ethyl esters from an extract of a sponge Penares sp. (South China Sea) were fractionated by high-performance liquid chromatography and analyzed by gas chromatography-mass spectrometry using pyrrolidine, 4,4-dimethyloxazoline, dimethyl disulfide, and hydrogenated derivatives. In some cases, 1Н and 13С NMR spectroscopy was applied for the structural analysis of fatty acids. 71 С12–С28 acids, including 12 new compounds, were found. The new compounds were shown to be (5Z,9Z)-9-chloro-24-methy-5,9-pentacosadienoic, (5Z,9Z)-9-chloro-25-methyl-5,9-hexacosadienoic, (5Z,9Z)-9-chloro-24-methyl-5,9-hexacosadienoic, (5Z,9Z)-9-chloro-25-methyl-5,9-heptacosadienoic, 6-chloro-20-methyl-4-heneicosenoic, 6-chloro-19-methyl-4-heneicosenoic, 6-chloro-20-methyl-4-docosenoic, cis-17,18-methylene-tetracosanoic, 16,21-dimethyldocosanoic, 18,23-dimethyltetracosanoic, 16,18,22-trimethyltricosanoic, and 18,20,24-trimethylpentacosanoic acids. It was shown that the characteristic features of the fatty acid mixture were a high level of constituents with monomethylated chains (over 50%) and the nearly total substitution of common demospongic acids for their chloro-derivatives, previously unknown (5Z,9Z)-9-chloro-5,9-dienoic acids. The presence of analogous structural fragments in the fatty acids from Penares sp. and in some biologically active secondary metabolites from Penares sponges was discussed. The results of this work may be used for the structural, comparative and biosynthetic studies of marine lipids.
Keywords
Full Text
9-хлор-5,9-диеновые и другие жирные кислоты из морской губки Penares sp. 1
ВВЕДЕНИЕ
Губки – древние и наиболее примитивные многоклеточные животные, являющиеся одним из богатейших природных источников различных уникальных метаболитов, в том числе необычных жирных кислот (ЖК). ЖК губок посвящено много экспериментальных и несколько обзорных статей (см., например, обзоры [1‒5]). Несмотря на преобладание хлорид- иона в морской воде, ранее известные галогенированные ЖК губок представлены 6-бромпроизводными 5-цис,9-цис-диеновых (или демоспонгиевых [6]) кислот, а также ацетиленовыми полиненасыщенными бромированными [7] и иодированными [8] кислотами. Что касается хлорированных ЖК, то их обнаруживали в некоторых более эволюционно развитых морских беспозвоночных, а также рыбах и водорослях [7].
При разделении этанольного экстракта губки рода Penares (Южно-Китайское море), наряду с фракциями тритерпеноидов [9] и бромированных индольных алкалоидов [10], мы получили фракцию этиловых эфиров демоспонгиевых кислот нового типа, содержащих винильный атом хлора. Эта необычная структурная черта побудила нас более подробно исследовать ЖК данной губки, что привело к обнаружению других неизвестных ранее кислот.
Губки Penares – продуценты многих липидов и липидоподобных соединений, обладающих разнообразными видами биологической активности. Так, пенарезидины А и В из Penares sp. активировали актин-зависимую ATФазу [11], а пеназетидин A из Penares sollasi ингибировал протеинкиназу C [12]. Кроме того, пенасульфат A из Penares sp. и шульцеины A−C из Penares schulzei ингибировали α-глюкозидазу [13, 14], а анкоринозиды B–D из Penares sollasi ‒ мембранную матриксную металлопротеиназу (MT1-MMP) [15]. В дополнение к этому пенарамиды из Penares aff. incrustans ингибировали связывание ω-конотоксина GVIA с кальциевыми каналами N-типа [16], а пеназины А–Е из Penares sp. обладали цитотоксической активностью в отношении опухолевых клеток HeLa и P388 [17]. Несмотря на интерес к таким веществам, структурный анализ их потенциальных предшественников, а именно индивидуальных ЖК губок рода, ранее не проводили. Были опубликованы только скрининговые исследования ЖК двух образцов Penares tylotaster, в которых сравнивали относительное содержание кислот по длинам цепей, по наличию/отсутствию разветвлений, двойных связей и т.д. без установления положения заместителей и двойных связей [18, 19]. Целью данной работы стал более тщательный структурный анализ ЖК губки рода Penares, а также сравнение характерных структурных черт некоторых обнаруженных ЖК и известных вторичных метаболитов Penares.
РЕЗУЛЬТАТЫ И ОБСУЖДЕНИЕ
Фракции ЖК и их этиловых эфиров выделили из этанольного экстракта Penares sp. с помощью колоночной хроматографии на сефадексе и силикагеле и разделили методом ВЭЖХ на прямой и/или обращенной фазах. Полученные фракции анализировали с помощью ГЖХ-МС (ионизация электронным ударом) с использованием сложноэфирных, пирролидиновых, 4,4-диметилоксазолиновых, диметилдисульфидных и гидрированных производных ЖК. В отдельных случаях для анализа структур применяли 1Н- и 13С-ЯМР-спектроскопию. Была обнаружена 71 кислота с длиной цепи от С12 до С28 (табл. 1), включая 12 новых соединений: (5Z,9Z)-9-хлор-24-метил-5,9-пентакозадиеновую (I), (5Z,9Z)-9-хлор-25-метил-5,9-гексакозадиеновую (II), (5Z,9Z)-9-хлор-24-метил-5,9-гексакозадиеновую (III), (5Z,9Z)-9-хлор-25-метил-5,9-гептакозадиеновую (IV), 6-хлор-20-метил-4-генэйкозеновую (V), 6-хлор-19-метил-4-генэйкозеновую (VI), 6-хлор-20-метил-4-докозеновую (VII), цис-17,18-метилен-тетракозановую (VIII), 16,21-диметилдокозановую (IX), 18,23-диметилтетракозановую (X), 16,18,22- триметилтрикозановую (XI) и 18,20,24-триметилпентакозановую (XII) кислоты (рис. 1). Неизвестные ранее соединения (I‒XII) присутствовали в следовых количествах (<0.1%) в исследованной сумме ЖК.
Таблица 1. Жирные кислоты (ЖК) губки Penares sp.
ЖК | ЭДЦ | % | ЖК | ЭДЦ | % |
14:0 | 14.00 | 1.4 | 18:0 | 18.00 | 8.4 |
изо-15:0 | 14.63 | 6.7 | 10-Me-18:0 | 18.37 | 8.2 |
антеизо-15:0 | 14.71 | 2.7 | 11-Ме-18:0 | 18.39 | 8.2 |
15:0 | 15.00 | 1.6 | изо-19:0 | 18.64 | 0.5 |
изо-16:0 | 15.63 | 1.9 | антеизо-19:0 | 18.72 | 0.2 |
антеизо-16:0 | 15.72 | 1.6 | 11,12-Метилен-18:0 | 18.93 | 0.7 |
16:1Δ9 | 15.81 | 0.8 | 19:0 | 19.00 | 0.1 |
16:0 | 16.00 | 8.9 | антеизо-20:0 | 19.72 | 0.9 |
9-Me-16:0 | 16.40 | 3.2 | 20:0 | 20.00 | 0.3 |
10-Me-16:0 | 16.44 | 5.1 | антеизо-21:0 | 20.72 | 1.9 |
изо-17:0 | 16.64 | 2.0 | изо-22:0 | 21.63 | 0.6 |
антеизо-17:0 | 16.72 | 2.1 | 16-Ме-22:0 | 22.42 | 1.8 |
9,10-Метилен-16:0 | 16.94 | 0.6 | изо-23:0 | 22.63 | 0.7 |
17:0 | 17.00 | 1.1 | антеизо-23:0 | 22.73 | 0.2 |
10-Ме-17:0 | 17.39 | 0.2 | 17-Ме-24:0 | 24.40 | 4.9 |
18:1Δ9 | 17.81 | 13.4 | 18-Ме-24:0 | 24.44 | 5.5 |
Состав общей фракции ЖК приведен согласно данным ГЖХ-МС-анализа их этиловых эфиров. Следовые компоненты, для которых точная процентная оценка была невозможной (<0.1%), указаны ниже (в скобках приведено значение эквивалентной длины цепи (ЭДЦ)): 12:0, 9-Me-15:0 (15.44), 10-Me-15:0 (15.47), изо-20:0 (19.63), 15-Ме-21:0 (21.43), антеизо-22:0 (21.72), 22:0, 14-Ме-22:0 (22.38), 16-Me-изо-23:0 (22.97), 23:0, 15-Ме-23:0 (23.36), 16-Ме-23:0 (23.39), 17-Ме-23:0 (23.43), 18-Ме-23:0 (23.47), изо-24:0 (23.63), антеизо-24:0 (23.73), 24:0, 16,18-ди-Me-изо-24:0 (24.53), изо-25:0 (24.63), антеизо-25:0 (24.73), цис-17,18-метилен-24:0 (24.94), 18-Me-изо-25:0 (24.98), 25:0, 18-Ме-25:0 (25.38), 26:2Δ5Z,9Z (25.50), изо-26:0 (24.63), антеизо-26:0 (25.73), 26:0, 18-Ме-26:0 (26.37), 18,20-ди-Ме-изо-26:0 (26.53), изо-27:0 (26.63), антеизо-27:0 (26.73), 9-Сl-изо-26:2Δ5Z,9Z (27.00), 9-Сl-изо-27:2Δ5Z,9Z (28.00), 9-Сl-антеизо-27:2Δ5Z,9Z (28.11), 9-Сl-антеизо-28:2Δ5Z,9Z (29.12). Для 6-Сl-изо-22:1Δ4 (22.93), 6-Сl-антеизо-22:1Δ4 (23.06) и 6-Сl-антеизо-23:1Δ4 (24.07) величины ЭДЦ рассчитаны для пирролидиновых производных.
Рис. 1. Новые жирные кислоты (ЖК) из губки Penares sp.
Структурный анализ новых ЖК. В масс-спектрах этиловых эфиров (Iа–IVа) хлорпроизводных демоспонгиевых кислот пик молекулярного иона [M]+ либо отсутствовал, либо был очень малоинтенсивным из-за легкой потери этими соединениями Cl и НСl, как в масс-спектрах высших алифатических моно- галогенидов [20]. Напротив, пики ионов [M ‒ Cl]+/[M ‒ HCl]+/[M ‒ Cl ‒ EtOH]+ (m/z 419/418/373, 433/432/387 и 447/446/401 для этиловых эфиров С26-, С27- и С28-кислот соответственно) были относительно интенсивными. Регистрировались также заметные количества ионов [M – 88 – Cl]+, где фрагмент с m/z 88 образовывался за счет перегруппировки Мак-Лафферти [21]. В области малых ионных масс наблюдали большие пики при m/z 55, 67, 81 (100%), 95, 109 и некоторые другие, типичные для фрагментации этиловых эфиров диеновых ЖК [22]. Кроме характерного для масс-спектров этиловых эфиров Δ5,9-кислот пика при m/z 155 [23], в масс-спектрах соединений (Iа–IVа) наблюдали чуть более интенсивный пик при m/z 154. Двойной сигнал при m/z 154/155 сопровождался менее интенсивными сигналами двух длинноцепочечных изотопных ионов с 35Cl и 37Cl, тоже образованных в результате разрыва бис-аллильной связи СН2-7–СН2-8, но содержащих метильный конец молекулы (рис. 2а). Так, в масс-спектрах этиловых эфиров С26-, С27- и С28-кислот наблюдали по два изотопных пика при m/z 298/300, 312/314 и 326/328 соответственно в характерном соотношении ~3 : 1. Сложение масс каждого из двух изотопных ионов со значением суммы 155 + 1 давало соответствующие молекулярные массы, на- пример, 454/456 [M]+ для соединения (Iа). Кроме того, сигналы вторичных ион-радикалов при m/z 403 ([M ‒ HCl – СН3]+ для соединения (Iа) или [M ‒ HCl – СН2СН3]+ для соединения (IIIа)) и при m/z 417 ([M ‒ HCl – СН3]+ для соединения (IIа) или [M ‒ HCl – СН2СН3]+ для соединения (IVа)) были более интенсивны, чем соседние сигналы гомологичных ионов, что подразумевало наличие изо- или антеизо-разветвлений в соответствующих структурах (см., например, рис. 2а).
Рис. 2. (а) – Масс-спектрометрическая фрагментация изомерных этиловых эфиров (IIа) и (IIIа) (пик молекулярного иона при m/z 468 [M]+ с 35Cl был малоинтенсивен, минорный пик [M]+ с 37Cl не регистрировался); (б) – масс-спектрометрическая фрагментация бис(метилтио)-производного этилового эфира (Iа) (513 [М – Cl]+); (в) – масс-спектрометрическая фрагментация пирролидида (Ib) (479/481 [M]+; для упрощения схемы не показаны менее многочисленные ионы, соответствующие элиминированию НСl от изотопных фрагментов при m/z 310/312–422/424); (г) – ключевые НМВС-корреляции для соединений (IIа) и (IIIа).
Соединения (Iа–IVа) были превращены в диметилдисульфидные производные, при этом хлорзамещенная двойная связь не присоединяла диметилдисульфид. В масс-спектрах полученных аддуктов наблюдали значительный пик иона [M – Сl]+ ([M]+ не регистрировался) и интенсивные пики при m/z 129 (100%) и 175, указывающие на наличие двойной связи в положении 5 исходных соединений. Последние сигналы сопровождались гораздо менее интенсивными сигналами изотопных ионов, также образующихся при разрыве связи С5–/–С6, например, ионов с m/z 373/375 при фрагментации бис(метилтио)-производного этилового эфира (Iа) (рис. 2б). Сложение массы изотопных ионов при m/z 373/375 с массой иона при m/z 175 позволяло вычислить значение 548/550 [M]+ для диметилдисульфидного производного соединения (Iа).
Масс-спектры пирролидидов (Ib–IVb) и 4,4-диметилоксазолинового производного кислоты (I) содер- жали заметные пики изотопных молекулярных ионов (m/z 479/481, 493/495 и 507/509 с 35С1/37С1 для производных С26-, С27- и С28-кислот соответственно) наряду с чуть более интенсивными пиками ионов [M ‒ Cl]+. Большой пик иона при m/z 180, образующегося в результате расщепления по центру бис-метилен-разделенной системы двух двойных связей (рис. 2в), однозначно указывал на присутствие Δ5,9-фрагмента во всех анализированных N-содержащих производных [23, 24]. Положения метильных разветвлений в кислотах (I–IV) были определены соответственно пробелам во фрагментации их пирролидидов на основании сформулированного ранее правила [25]. Например, масс-спектры пирролидидов (Ib) и (IIIb) с метильной группой в положении 24 содержали пробел в 28 а.е.м. между пиками при m/z 464/466 (соответствует иону [M ‒ СН3]+ для соединения (Ib) и иону [M ‒ СН2СН3]+ для соединения (IIIb)) и 436/438 ([M ‒ СН(СН3)2]+ для соединения (Ib) и [M ‒ СН(СН3)СН2СН3]+ для соединения (IIIb)). В результате фрагментации пирролидида (IIb) с метильной группой при СН-25 появлялся пробел в 28 а.е.м. между пиками при m/z 478/480 ([M ‒ СН3]+) и 450/452 ([M ‒ СН(СН3)2]+). Сигнал вторичного ион-радикала при m/z 478/480 [M ‒ СН2СН3]+ в масс-спектре пирролидида (IVа) был также намного более интенсивен, чем соседние сигналы гомологичных ионов, что указывало на наличие метильной группы при СН-25. К сожалению, в масс-спектрах пирролидидов последовательная фрагментация обрывалась после СН2-8 и возобновлялась на СН-10, как показано для соединения (Ib) (рис. 2в). То же наблюдали в масс-спектре 4,4-диметилоксазолинового производного кислоты (I) (478/479/480/481, [M ‒ 1]+/[M]+), изомерного пирролидиду (Ib). Таким образом, масс-спектрометрические данные свидетельствовали о том, что атом хлора в соединениях (I–IV) мог находиться либо при С9, либо при С10.
Гидрирование производных кислот (I–IV) над катализатором Адамса сопровождалось дегалогенированием, в результате чего эти вещества превращались в известные насыщенные соединения. Так, пирролидид (Ib) подвергался дегалогенированию до соответствующего производного 24-метилпентакозановой кислоты, чей масс-спектр содержал диагностический пробел (28 а.е.м.) между пиками при m/z 406 и 434 [26]. Этиловые эфиры (IIа–IVа) при гидрировании трансформировались в этиловые эфиры 25-метилгексакозановой (эквивалентная длина цепи (ЭДЦ) 26.63), 24-метилгексакозановой (ЭДЦ 26.72) и 25-метилгептакозановой (ЭДЦ 27.72) кислот соответственно (согласно данным ГЖХ-МС-анализа). Элиминирование Cl при гидрировании могло указывать на его винильное (как в соединениях (I–IV)) или аллильное (как в соединениях (V–VII)) положения, т.к. дегалогенирование насыщенных хлорированных жирных кислот в использованных нами условиях гидрирования не происходило.
С использованием ВЭЖХ на прямой и обращенной фазах нам удалось получить смесь близких по структуре изомеров (IIа) и (IIIа) (39 и 31% во фракции соответственно), которые не разделялись методами препаративной хроматографии. С помощью экспериментов 1Н,1Н-COSY, НМВС и HSQC было подтверждено наличие 5,9-диенового фрагмента и установлено положение атома хлора при С9 в данных соединениях. Так, спектр 1Н,1Н-COSY показал наличие линейных спиновых систем протонов от СН2-2 (δН 2.30, т, J 7.5) до СН2-8 (δН 2.325, т, J 7.3) и от СН-10 (δН 5.44, т, J 7.0) до СН2-пула (δН 1.20–1.35, м). Спектр НМВС содержал соответствующие корре- ляции, показанные на рис. 2г. Значение константы спин-спинового взаимодействия J5,6 10.9 Гц, установленное с помощью селективного гомоядерного декаплирования аллильных протонов [27], свидетельствовало о Z-конфигурации двойной связи при С5. Z-Конфигурация двойной связи при С9 была определена на основании сравнения наших спектров 1Н- и 13С-ЯМР с соответствующими литературными спектрами известных винильно хлорированных Z/E-изомеров [28], а именно на основании присутствия характерных резонансов СН-10 (δН 5.44, т, J 7.0), СН2-11 (δН 2.145, м) и СН2-8 (δС 39.4). Кроме того, спектры ЯМР показывали сигналы двух эквивалентных терминальных метильных (δH 0.86, д, J 6.7; δC 22.6), одной метиновой (δH 1.515, м; δC 28.0) и одной метиленовой (δH 1.15, м; δC 39.0) групп, протоны которых образовывали спиновую систему изо-структуры компонента (IIа) согласно корреляциям 1H,1H-COSY и НМВС. С помощью подобных корреляций была также подтверждена антеизо-структура компонента (IIIа), которому принадлежали характеристичные сигналы двух метильных групп (δH 0.84, д, J 6.2; δC 19.2 и δH 0.85, т, J 7.1; δC 11.3) [29, 30].
Значения химических сдвигов и мультиплетности сигналов олефиновых протонов в спектрах 1Н-ЯМР ВЭЖХ-фракций, обогащенных кислотами (I) и (IV), были аналогичны соответствующим характеристикам протонов двойных связей этиловых эфиров кислот (II) и (III). Это в совокупности с данными масс-спектрометрических фрагментаций и химических трансформаций указывало на то, что соединения (I–IV) содержали одинаковую 5Z,9Z-диеновую систему связей с атомом хлора при С9. Такой вывод подтверждали и значения ЭДЦ, равные 27.00 и 28.00 для изо-гомологов (I) и (II) соответственно и 28.11 и 29.12 для антеизо-гомологов (III) и (IV) соответственно.
Известно, что аллилгалогениды легче теряют галоген, чем винилгалогениды. Эта закономерность проявлялась в условиях масс-спектрометрической фрагментации пирролидидов аллильно хлорированных кислот (V–VII), у которых элиминирование атома хлора происходило легче, чем у пирролидидов винильно хлорированных кислот (I–IV). Так, в масс-спектрах пирролидидов (Vb–VIIb) основным сигналом был пик иона [M ‒ Cl]+ (m/z 390, 390 и 404 соответственно), интенсивность которого в масс-спектрах пирролидидов (Ib–IVb) составляла только ~3.5%. В области молекулярного иона в масс-спектрах соединений (Vb–VIIb) присутствовали кластеры малоинтенсивных пиков изотопных ионов [M ‒ 1]+/[M]+ (m/z 424/425/426/427, 424/425/426/427 и 438/439/440/441 соответственно). В области малых ионных масс после пика при m/z 126 наблюдали гораздо менее интенсивные пики при m/z 138/139 и 152, что было признаком наличия двойной связи при С4 (рис. 3а). В то время как четкий сигнал аллильного разрыва при m/z 166 был характерен для масс-спектров пирролидидов известных Δ4-кислот [26], масс-спектры пирролидидов Δ4-кислот (Vb–VIIb) характеризовались сигналом повышенной интенсивности близкого по массе иона с m/z 165. Очевидно, этот ион формировался в результате отрыва атома хлора от истинных продуктов аллильного разрыва – изотопных ионов с m/z 200 и 202, которые, несмотря на легкость потери Сl при фрагментации, все же регистрировались в масс-спектре как менее интен- сивные пики в соотношении 3 : 1. Такого рода характеристичное расщепление, происходящее после замещенного аллильного углерода и дающее значи- мые диагностические сигналы, мы наблюдали ранее при масс-спектрометрической фрагментации метиловых эфиров некоторых ЖК с аллильными гидроксильными или S-метильными группами [31]. Пробел в 28 а.е.м. между пиками при m/z 374 (соответ- ствует иону [M ‒ СН3 – НСl]+ для соединения (Vb) и иону [M ‒ СН2СН3 – НСl]+ для соединения (VIIb)) и 346 ([M ‒ СН(СН3)2 – НСl]+ для соединения (Vb) и [M ‒ СН(СН3)СН2СН3 – НСl]+ для соединения (VIIb)) указывал на наличие в кислотах (V) и (VII) метильной группы при С20. Это подтверждалось повышенной интенсивностью пиков вторичных ион-радикалов при m/z 410/412, которые представляли собой фраг- мент [M ‒ СН3]+ для изо-метил-разветвленного соединения (Vb) и фрагмент [M ‒ СН2СН3]+ для антеизо-метил-разветвленного соединения (VIIb). Пробел в 28 а.е.м. между пиками при m/z 360 ([M ‒ СН2СН3 – НСl]+) и 332 ([M ‒ СН(СН3)СН2СН3 – НСl]+) и пик повышенной интенсивности вторичного ион-радикала при m/z 396/398 [M ‒ СН2СН3]+ в масс-спектре антеизо-метил-разветвленного пирролидида (VIb) были признаками наличия метильной группы при С19. Гидрирование соединений (Vb–VIIb) над катализатором Адамса ожидаемо протекало с дегалогенированием, что приводило к образованию пирролидидов известных 20-метилгенэйкозановой, 19-метилгенэйкозановой и 20-метилдокозановой кислот, также обнаруженных нами в Penares sp. К сожалению, низкое содержание аллильно хлорированных кислот (V–VII) не позволило получить спектр 1Н-ЯМР, который был бы достаточно информативен для установления конфигурации их двойной связи.
Рис. 3. (а) – Масс-спектрометрическая фрагментация пирролидида (Vb) (424/425/426/427 [M – 1]+/[M]+); (б) – масс-спектрометрическая фрагментация этиловых эфиров (XIа) и (XIIа).
Как и в масс-спектре этилового эфира моноеновой С25-кислоты, в масс-спектре этилового эфира цикло- пропан-содержащей кислоты (VIII) присутствовали пики ионов с m/z 408 [M]+, 362 [M – EtOH]+ и др. Однако неспособность этилового эфира соединения (VIII) присоединять диметилдисульфид и значение его ЭДЦ (24.94) подразумевали наличие циклопропанового кольца при (n – 7)- и (n – 8)-атомах углерода (n – номер терминального атома углерода линейной алифатической цепи), как в этиловых эфирах гомологичных кислот 9,10-метилен-16:0 (ЭДЦ 16.94) и 11,12-метилен-18:0 (ЭДЦ 18.93) из Penares sp. (табл. 1). К масс-спектрометрическим признакам пирролидидов высших циклопропан-содержащих гомологов (С19 и более) таких кислот относятся интенсивный пик с нечетным значением m/z, образующийся в результате β-разрыва после циклопропанового кольца, и интервал в 12 а.е.м. между фрагментами, показывающими положение цикла [32, 33]. Соответственно, масс-спектр пирролидида кислоты (VIII) (m/z 433 [M]+) демонстрировал интенсивный пик при m/z 363 (ион β-разрыва) и характерный интервал в 12 а.е.м. между пиками при m/z 322 (ион, содержащий С17-фрагмент ЖК) и 334 (ион с С18-фрагментом ЖК), что подтверждало наличие циклопропанового кольца в 17,18-положении. В спектре 1Н,1Н-COSY протоны с δН −0.33 (ддд, J 4.3, 5.3, 5.3, 1H, Н-25а), 0.56 (ддд, J 4.3, 8.4, 8.4, 1H, Н-25b) и 0.65 (м, 2H, Н-17, Н-18) кислоты (VIII) были связаны корреляциями в структуру трехчленного цикла, при этом значения химических сдвигов и констант спин-спинового взаимодействия сигналов данных протонов соответствовали цис-ориентации кольца [33, 34]. Следует отметить, что масс-спектры изученных до сих пор 4,4-диметилоксазолиновых производных циклопропан-содержащих ЖК считаются почти неотличимыми от масс-спектров 4,4-диметилоксазолиновых производных, соответствующих им по молекулярной массе неразветвленных моноеновых ЖК из-за вероятной перегруппировки циклопропанов в моноены при фрагментации [35, 36]. Согласно этой закономерности, масс-спектр 4,4-диметилоксазолина кислоты (VIII) должен быть подобен масс-спектру 4,4-диметилоксазолина кислоты 25:1Δ17. Тем не менее фрагментация полученного нами 4,4-диметилоксазолина кислоты (VIII) (m/z 433 [M]+) напоминала фрагментацию соответствующего производного кислоты 25:1Δ18, т.к. приводила к появлению интервала в 12 а.е.м. между пиками при m/z 322 (С17-фрагмент) и 334 (С18-фрагмент). При этом данные пики были даже чуть больше предшествующего пика при m/z 308, что не соответствовало относительной интенсивности сигналов при фрагментации вблизи изолированной двойной связи. Таким образом, в полученном нами масс-спектре 4,4-диметилоксазолинового производного кислоты (VIII) характеристичные сигналы, между которыми существовал интервал в 12 а.е.м., были смещены и изменили свою интенсивность вопреки закономерности, ранее наблюдавшейся в масс-спектрах 4,4-диметилоксазолиновых производных более коротких циклопропан-содержащих ЖК. Аналогичные изменения диагностических сигналов с ростом длины алифатической цепи мы наблюдали ранее в масс-спектрах пирролидидов ряда гомологичных циклопропан-содержащих ЖК, которые так же, как и соединение (VIII), были формальными производными моноенов (n – 7)-семейства [33].
Этиловые эфиры двух насыщенных гомологичных изо-метил-разветвленных кислот (IX) (ЭДЦ 22.97) и (X) (ЭДЦ 24.98) с дополнительной метильной группой в (n – 7)-положении генерировали характеристичные ионы, образующиеся путем разрывов связей в α-положениях по отношению к (n – 7)- углероду, как было описано ранее для масс-спектрометрической фрагментации сложных эфиров ЖК с метильной группой в середине цепи [37]. Так, в отличие от этилового эфира стандартной неразветвленной кислоты 24:0 (m/z 396 [M]+), этиловый эфир соединения (IX) (m/z 396 [M]+) в результате α-разрывов продуцировал ионы при m/z 269 и 297 приблизительно в равном количестве, а также фрагменты при m/z 251 (потеря ионом при m/z 297 молекулы EtOH) и 233 (потеря ионом при m/z 297 молекул EtOH и H2O). Этиловый эфир соединения (X) (m/z 424 [M]+) генерировал большие количества ионов при m/z 325 и 297 по сравнению с соответствующим производным неразветвленной кислоты 26:0 (m/z 424 [M]+), а также ионы при m/z 279 (потеря ионом при m/z 325 молекулы EtOH) и 261 (потеря ионом при m/z 325 молекул EtOH и H2O). При этом сигналы фрагментов, указывающих на наличие концевых изо-структур в этиловых эфирах кислот (IX) и (X), были малоинтенсивными. Положения всех метильных разветвлений были однозначно определены на осно- вании присутствия диагностических пробелов в 28 а.е.м. между пиками при m/z 294 и 322 (потеря CН-16 с метильной группой) и пиками при m/z 378 и 406 (потеря CН-21 с метильной группой) в масс-спектре пирролидида 16,21-диметил-разветвленной кислоты (IX) (m/z 421 [M]+), а также аналогичных пробелов между пиками при m/z 322 и 350 (потеря CН-18 с СН3) и m/z 406 и 434 (потеря CН-23 с СН3) в масс-спектре пирролидида 18,23-диметил-разветвленной кислоты (X) (m/z 449 [M]+).
изо-Метил-разветвленные гомологичные кислоты (XI) (ЭДЦ 24.53) и (XII) (ЭДЦ 26.53) имели дополнительные метильные группы в положениях (n – 6) и (n – 8). Фрагментарные ионы, дававшие сигналы повышенной интенсивности в масс-спектрах этиловых эфиров (XIа) (m/z 424 [M]+) и (XIIа) (m/z 452 [M]+) по сравнению с масс-спектрами неразветвленных стандартов с аналогичными молекулярными массами, а также характеристичные ионы, отсутствовавшие в масс-спектрах стандартов, показаны на рис. 3б. Можно видеть, что фрагментация вблизи С16 в соединении (XIа) и С18 в соединении (XIIа) была аналогична фрагментации этиловых эфиров кислот (IX) и (X) соответственно. Обнаружение пробелов в 28 а.е.м. между пиками при m/z 294 и 322, 336 и 364, 406 и 434 в масс-спектре пирролидида кислоты (XI) (m/z 449 [M]+) указывало на наличие метильных групп при C16, C18 и C22. Пробелы между пиками при m/z 322 и 350, 364 и 392, 434 и 462 в масс-спектре пирролидида кислоты (XII) (m/z 477 [M]+) соответствовали положениям метильных разветвлений при C18, C20 и C24.
Особенности жирных кислот Penares sp. В живых тканях основная часть ЖК присутствует в связанной форме (как компоненты других липидов), а свободные или неэтерифицированные ЖК, обладающие вредоносными свойствами, являются минорными соединениями. Однако эти соединения легко генерируются из более сложных липидов при хранении (даже при –20°C), размораживании и экстракции биологических объектов в результате функционирования липаз [38], поэтому ЖК, выделенные из экстракта губки Penares sp., мы рассматриваем как продукты деятельности таких ферментов. При этом этиловые эфиры ЖК являются, по нашему опыту, обычными составляющими этанольных экстрактов губок.
Смесь ЖК из Penares sp. (табл. 1) характеризуется высоким содержанием компонентов с разветвленными цепями (59.1%) – большим, чем у изученной ранее Penares tylotaster (38.1%) [19]. Разветвленные С15–С28-кислоты, обнаруженные в Penares sp., имеют моно-, ди- и три- метилированные цепи. Среди абсолютно доминирующих монометилированных ЖК присутствуют изо/антеизо-компоненты (12.4/9.6%) и компоненты со срединной метильной группой (37.1%), находящейся в положениях (n – 5), (n – 8), (n – 6) и (n – 7) алифатической цепи (в порядке увеличения содержания). Основные монометилированные кислоты имеют нечетное количество углеродных атомов: С19 (17.1%, преобладают изомерные 10-Ме-18:0 и 11-Ме-18:0), С17 (12.4%), С25 (10.4%) и С15 (9.4%). Ди- и триметилированные ЖК – следовые компоненты. Источником метил-разветвленных, а также циклопропан-содержащих ЖК губок считаются бактерии, которые служат пищей или населяют данное беспозвоночное [3, 39–41]. Некоторые губки, как “микробиальные ферментёры”, могут содержать такое большое количество бактерий на грамм массы, что их даже назвали “бактериогубками” [42]. При этом ЖК бактерий и других ассоциированных микробов могут как в неизменном виде присутствовать в жирно- кислотных фракциях губок, так и быть экзогенными предшественниками более длинных ЖК этих беспозвоночных (см. обзор Bergé et al. [3] и ссылки в нем). Следовательно, бактериальные кислоты 9,10-метилен-16:0 или 11,12-метилен-18:0, обнаруженные в минорных количествах в Penares sp., могли выступать в качестве субстрата элонгации при образовании соединения (VIII). Предшественниками диметилированных (IX, X) и триметилированных (XI, XII) соединений также могли быть более короткие гомологи бактериального происхождения, такие как кислоты 8-Ме-изо-15:0 и 10,12-ди-Ме-изо-18:0 соответственно, обнаруженные ранее в донных осадках [43]. Нужно заметить, что метильные разветвления характерны для алифатических цепей многих биологически актив- ных липидов и липидоподобных соединений, выделен- ных из губок рода Penares, включая пенарезидины А и В (изо- и антеизо-разветвления) [11], пеназетидин А (метильная группа в (n – 7)-положении) [12], пенасульфат А (метильная группа в положении (n – 7)) [13], шульцеин А (метильная группа в положении (n – 9)) [14], пенарамиды (изо-, антеизо-разветвления или метильная группа в положении (n – 7)) [16], пеназины С–Е (метильные группы в положениях (n – 8), (n – 9) или (n – 10)) [17] и анкоринозид С (метильная группа в середине гликозилированной цепи) [15]. Такие структурные черты могут не только подразумевать вовлеченность бактерий в биосинтез этих соединений, но и наводить на мысль о значительном количестве этих микроорганизмов в губках рода Penares.
Насыщенные ЖК линейного строения представлены в губке Penares sp. (табл. 1) С12-, С14–С20- и С22–С26-компонентами (36.0% при доминировании кислот 16:0 (8.9%) и 18:0 (8.4%)). Линейные моноены (14.2%) составляют кислоты 18:1Δ9 (13.4%) и 16:1Δ9 (0.8%). Демоспонгиевая кислота с неразветвленным скелетом, 26:2Δ5Z,9Z, присутствует в следовых количествах. Указанные насыщенные, моноеновые и диеновая ЖК типичны для многих губок [2, 5]. Остальные ненасыщенные ЖК, обнаруженные в Penares sp., включают неизвестные ранее хлорированные кислоты с метильным разветвлением в конце алифатической цепи: моноены 6-Сl-изо-22:1Δ4 (V), 6-Сl-антеизо-22:1Δ4 (VI), 6-Сl-антеизо-23 (VII), а также диены 9-Сl-изо-26:2Δ5Z,9Z (I), 9-Сl-изо-27:2Δ5Z,9Z (II), 9-Сl-антеизо-27:2Δ5Z,9Z (III) и 9-Сl-антеизо-28:2Δ5Z,9Z (IV). Таким образом, демоспонгиевые кислоты, типичные для губок, оказались почти полностью замещены своими хлорпроизводными.
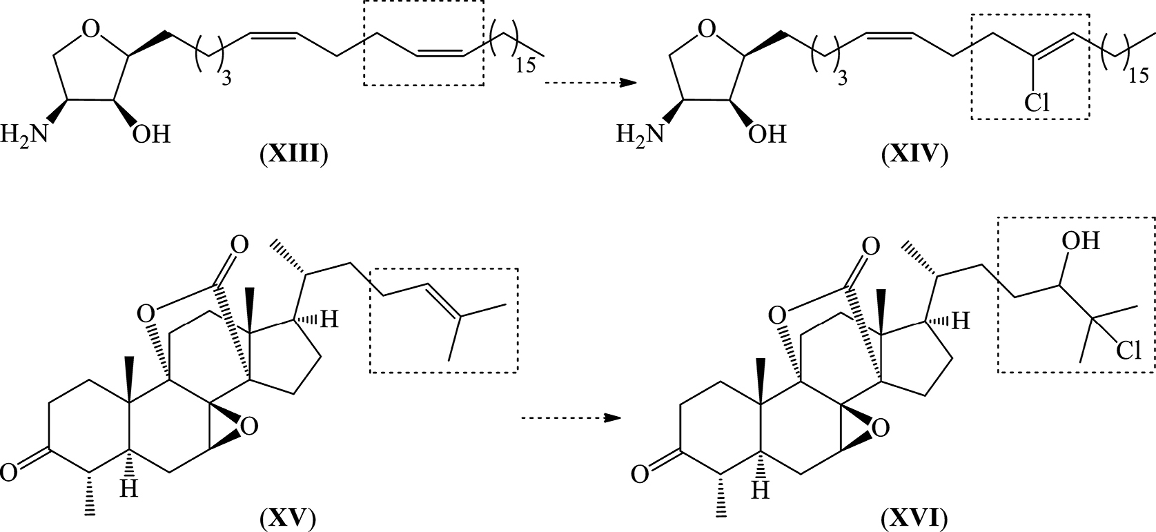
Хлорирование природных жирных кислот происходит при помощи галогенирующих ферментов, включая хлоропероксидазы и хлорирующие галогеназы [44]. В результате активности таких ферментов 5Z,9Z-диено- вые кислоты Penares sp. могли превратиться в соответствующие 9-хлор-кислоты (I–IV), являющиеся первыми представителями хлорированных демоспонгиевых кислот. Цитотоксичные пеназин А (XIII) с бис-метилен-разделенными цис-двойными связями и его хлорпроизводное, пеназин В (XIV) из японского образца губки рода Penares [17], могут рассматриваться как субстрат и продукт аналогичного хлорирования (рис. 4). Признаком функционирования галогенирующего фермента, приводящего к выработке хлорноватистой кислоты HClO, можно также считать одновременное присутствие в изученном нами образце Penares sp. тритерпеноида (XV) и его хлоргидринового производного (XVI) (рис. 4), структуры которых были установлены ранее [9]. Вероятно, катализируемое соответствующим ферментом присоединение галогена к С6 Δ5-кислот, обычных для многих морских губок [2, 5], могло вызвать сдвиг двойной связи по аналогии с липоксигеназным гидропероксидированием и привести к образованию аллильно хлорированных Δ4-кислот (V–VII).
Рис. 4. Гипотетические пути образования хлорированных вторичных метаболитов (XIV) и (XVI), полученных из губок рода Penares.
Галогенирующие ферменты в клетках губок не обнаруживали, зато гены галогеназ (в частности, по некоторым признакам принадлежащих ряду бактерий) были найдены в микробиальных метагеномах, полученных из губок с высоким содержанием микроорганизмов [45]. Судя по доле компонентов бактериального происхождения в изученной смеси ЖК из Penares sp., содержание бактерий в данной губке было действительно велико, что могло обеспечить галогенирование ЖК и других метаболитов. Не исключено также, что за данное галогенирование могли быть ответственны не только ассоциированные с губкой бактерии (включая цианобактерии или сине-зеленые водоросли), но и грибы [46]. В случае Penares sp. микробиальные хлорирующие ферменты, очевидно, “предпочитали” в качестве субстрата алифатические цепи с двойными связями, что привело к образованию кислот (I–VII). При этом активность бромирующих ферментов также имела место в изученном нами образце Penares sp., т.к. из него, кроме тритерпеноидов [9], были прежде выделены индольные алкалоиды с бромом в ароматическом кольце [10]. Очевидно, несмотря на существование механизма бромирования, микробы Penares sp. использовали хлорирование, а не бромирование демоспонгиевых кислот в отличие от микроорганизмов, ассоциированных с другими губками.
ЭКСПЕРИМЕНТАЛЬНАЯ ЧАСТЬ
Оборудование. Спектры 1H-ЯМР, 1Н,1Н-COSY, HSQC и НМВС (CDCl3) регистрировали на спектрометрах Avance III HD 500 (Bruker, Германия) и Avance III 700 (Bruker BioSpin, Германия) при 500.13 и 700.13 MГц соответственно с тетраметилсиланом в качестве внутреннего стандарта.
ГЖХ-МС-анализ выполняли на хромато-масс-спектрометре HP6890 GC System (Hewlett-Packard, США) с капиллярной колонкой HP-5MS (30.0 м × 0.25 мм; J&W Scientific, США), гелием в качестве газа-носителя и ионизирующим потенциалом 70 eV. В большинстве случаев использовали программу 100°C (1 мин) − 10°C/мин − 280°C (30 мин) при тем- пературе инжектора 270°C, однако для малолетучих пирролидидов длинноцепочечных ЖК применяли программу 200°C (1 мин) − 30°C/мин − 280°C (45 мин) при температуре инжектора 300°C. ВЭЖХ выполняли на жидкостных хроматографах: 1) Du Pont Series 8800 Instrument (DuPont, США) с рефрактометром RIDK-102 (Laboratorni Pristroje, Чехословакия) и колонкой ZORBAX Eclipse XDB-C8 (4 × 150 мм; Agilent Technologies, США) в 85%-ном этаноле; 2) Agilent 1100 Series (Agilent Technologies, США) с дифференциальным рефрактометром RID-G1362A и колонками ULTRASPHERATM Si (10 × 250 мм; Beckman Instruments, США) в смеси петролейного эфира и этилацетата (100 : 1) и YMC-Pack ODS-A (10 × 250 мм; YMC Co., Япония) в этаноле.
Колоночную хроматографию проводили на сефа- дексе LH-20 (Sigma Chemical Co., США) и силикагеле (50/100 или 50/160 мкм; Сорбполимер, Россия). Для качественного анализа использовали тонкослойную хроматографию на пластинках Sorbfil (Сорбполимер, Россия) с закрепленным на фольге слоем силикагеля СТХ-1А, пятна веществ проявляли опрыскиванием смесью EtOH–H2SO4 (1 : 1).
Биологический материал. Образец губки рода Penares был собран с помощью драгирования с глубины 95 м в Южно-Китайском море (16°07′ N, 114°47′ E) в январе 2005 г. в течение 30-го рейса НИС “Академик Опарин” во Вьетнам. Губка была идентифицирована В.Б. Красохиным (Тихоокеанский институт биоорганической химии им. Г.Б. Елякова ДВО РАН, г. Владивосток, Россия). Образец (PIBOC O30-271) находится на хранении в коллекции Тихоокеанского института биоорганической химии им. Г.Б. Елякова ДВО РАН.
Экстракция губки и выделение фракций ЖК и их этиловых эфиров. Свежесобранную губку Penares sp. (400 г) замораживали и хранили при –20°C. Затем губку измельчали и экстрагировали этанолом при комнатной температуре. Этанольный экстракт концентрировали в вакууме до водного остатка, который экстрагировали гексаном (3 × 250 мл). Гексановый экстракт (2.92 г), содержащий неполярные и малополярные соединения губки, разделяли на фракции на колонке с сефадексом LH-20 в CHCl3–EtOH (1 : 1), в результате получили фракцию (346.4 мг), содержащую близкие по размеру молекулы ЖК и их этиловых эфиров. Поскольку данные соединения различаются по полярности, для их разделения полученную фракцию хроматографировали на колонке с силикагелем. Сумму веществ (26.9 мг), которая элюировалась в гексане–этилацетате (70 : 1) с силикагеля, разделяли с помощью ВЭЖХ на прямой (петролейный эфир–этилацетат, 100 : 1) и обращенной (этанол) фазах. Получили 1.5 мг смеси этиловых эфиров (IIа) и (IIIа). Сумму веществ (147.9 мг), которая элюировалась в гексане–этилацетате (5 : 1 → 2 : 1) с силикагеля, разделили с помощью ВЭЖХ на обращенной фазе (85%-ный этанол) и получили фракции ЖК.
Этиловые эфиры (IIа) и (IIIа) (39 и 31% в ВЭЖХ-фракции соответственно). Бесцветное маслообразное вещество. Спектр 1Н-ЯМР (CDCl3, 700 МГц; δ, м.д. (J, Гц)): 5.44 (т, J 7.0, H-10), 5.37 (м, Н-5), 5.36 (м, H-6), 4.13 (кв, J 7.1, −OCOСН2CH3), 2.325 (т, J 7.3, CH2-8), 2.30 (т, J 7.5, CH2-2), 2.27 (м, CH2-7), 2.145 (м, CH2-11), 2.09 (м, CH2-4), 1.69 (м, CH2-3), 1.515 (м, Н-25, (IIа)), 1.35–1.20 (м, CH2-пул), 1.32 (м, H-25b, (IIIа)), 1.30 (м, H-24, (IIIа)), 1.26 (м, Н-23b, (IIIа)), 1.255 (т, J 7.1, −OCOСН2CH3), 1.15 (м, СН2-24, (IIа)), 1.12 (м, Н-25а, (IIIа)), 1.08 (м, Н-23а, (IIIа)), 0.86 (д, J 6.7, CH3-27, 26, (IIа)), 0.85 (т, J 7.1, CH3-26, (IIIа)), 0.84 (д, J 6.2, CH3-27, (IIIа)). Спектр 13C-ЯМР (CDCl3; значения δ, м.д., получены через С/Н-корреляции в спектрах HSQC и НМВС): 173.8 (C-1), 134.1 (C-9), 129.6 (CH-5), 129.0 (CH-6), 126.05 (CH-10), 60.2 (–OCOСН2CH3), 39.4 (CH2-8), 39.0 (CH2-24, (IIa)), 36.6 (CH2-23, (IIIa)), 34.4 (CH-24, (IIIa)), 33.7 (CH2-2), 30.0–28.5 (CH2-пул), 29.4 (CH2-25, (IIIa)), 28.65 (CH2-12), 28.5 (CH2-11), 28.0 (CH-25, (IIa)), 26.6 (CH2-4), 25.25 (CH2-7), 24.85 (CH2-3), 22.6 (CH3-26, 27, (IIa)), 19.2 (CH3-27, (IIIa)), 14.2 (−OCOСН2CH3), 11.3 (CH3-26, (IIIa)). Масс-спектр этилового эфира (5Z,9Z)-9-хлор-25-метил-5,9-гексакозадиеновой кислоты (IIа) (ЭУ, 70 эВ), m/z (Iотн, %): 468 [M]+ (0.04), 432/433 [M – HCl/M – Cl]+ (16/14), 422/424 [M – EtOH]+ (2/0.7), 417 [M – HCl – CH3]+ (0.7), 405/407 [M ‒ EtO ‒ H2O]+ (0.7/0.2), 387 [M ‒ Cl ‒ EtOH]+ (16), 369 [M ‒ HCl – EtO ‒ H2O]+ (5), 345 [M ‒ 88 ‒ Cl]+ (6), 312/314 (6/2), 276 (3), 154/155 (51/45), 109 (61), 95 (28), 88 (24), 81 (100), 67 (54), 55/57 (36/34). Масс-спектр этилового эфира (5Z,9Z)-9-хлор-24-метил-5,9-гексакозадиеновой кис- лоты (IIIа) (ЭУ, 70 эВ), m/z (Iотн, %): 468 [M]+ (0.02), 432/433 [M – HCl/M – Cl]+ (16/14), 422/424 [M – EtOH]+ (2/0.7), 405/407 [M ‒ EtO ‒ H2O]+ (0.7/0.2), 403 [M – HCl – CH3]+ (0.8), 387 [M ‒ Cl ‒ EtOH]+ (16), 369 [M ‒ HCl – EtO ‒ H2O]+ (6), 345 [M ‒ 88 ‒ Cl]+ (6), 312/314 (5/1.7), 276 (4), 154/155 (52/44), 109 (61), 95 (29), 88 (24), 81 (100), 67 (56), 55/57 (39/49).
Получение производных ЖК. Пирролидиновые производные (пирролидиды) были получены обработкой ЖК N,O-бис(триметилсилил)трифторацетамидом (Alfa Aesar, США) и пирролидином (Aldrich, Германия) при комнатной температуре [47], перед анализом реакционную смесь концентрировали в вакууме. Свободные ЖК этилировали N-нитрозо-N-этилмочевиной (Sigma, Германия). Для получения диметилдисульфидных аддуктов этиловые эфиры ЖК обрабатывали диметилдисульфидом (Sigma-Aldrich, Франция) по методике, описанной Christie [48], однако после остановки реакции водным раствором Na2S2O3 реакционную смесь экстрагировали гекса- ном (5 × 0.5 мл), гексановый экстракт перед анализом высушивали в вакууме. 4,4-Диметилоксазолиновые производные получали реакцией с 2-амино-2-метил-1-пропанолом в пиридине в присутствии борогидрида натрия (все реагенты Sigma-Aldrich, Германия) [49]. Гидрирование (3–5.5 ч) проводили над катализатором Адамса в этаноле.
Масс-спектры производных новых ЖК приведены в дополнительных материалах.
ЗАКЛЮЧЕНИЕ
С использованием ГЖХ-МС и, в отдельных случаях, спектроскопии 1Н- и 13С-ЯМР впервые выполнен структурный анализ жирных кислот губки рода Penares. Обнаружена 71 кислота с длиной цепи от С12 до С28, в том числе 12 новых соединений. Неизвестные ранее (5Z,9Z)-9-хлор-5,9-диеновые кислоты представляют первые примеры хлорированных демоспонгиевых кислот. Особенности изученной смеси ЖК – высокое содержание компонентов с монометилированными цепями (>50%) и почти полное замещение обычных демоспонгиевых кислот их хлорпроизводными, предположительно, благодаря деятельности хлорирующих ферментов микроорганизмов, ассоциированных с губкой.
Данные анализа ЖК Penares sp. не только расширяют наши знания о разнообразии биомолекул, но и способствуют пониманию происхождения структурных особенностей некоторых вторичных метаболитов губок рода.
БЛАГОДАРНОСТИ
Работа выполнена с использованием оборудования Дальневосточного центра структурных молекулярных исследований (ЦСМИ) Тихоокеанского института биоорганической химии им. Г.Б. Елякова Дальневосточного отделения РАН (спектроскопия ЯМР и масс-спектрометрия).
Авторы выражают благодарность O.П. Моисеенко, к.х.н. Л.П. Пономаренко и Е.Г. Ляховой за помощь в анализе ГЖХ-МС и в выделении этиловых эфиров ЖК. Авторы признательны академику В.А. Стонику за полезное обсуждение ряда вопросов, изложенных в данной работе. Авторы также благодарны к.х.н. В.А. Денисенко и В.В. Исакову и операторам Н.В. Звягинцеву и Д.В. Денисенко за регистрацию спектров ЯМР.
ФОНДОВАЯ ПОДДЕРЖКА
Работа выполнена при финансовой поддержке Российского фонда фундаментальных исследований (грант № 20-03-00014).
СОБЛЮДЕНИЕ ЭТИЧЕСКИХ СТАНДАРТОВ
Статья не содержит описания исследований, выполненных кем-либо из авторов данной работы, с участием людей или использованием животных в качестве объектов.
КОНФЛИКТ ИНТЕРЕСОВ
Авторы заявляют об отсутствии конфликта интересов.
1 Дополнительная информация для этой статьи доступна по doi 10.31857/S0132342324020034 для авторизованных пользователей.
Сокращения: ЖК – жирные кислоты; ЭДЦ – эквивалентная длина цепи; 1Н,1Н-COSY – протон-протонная корреляционная спектроскопия; НМВС – гетероядерная многосвязная когерентность; HSQC – гетероядерная одноквантовая когерентность.
About the authors
Е. А. Santalova
G.B. Elyakov Pacific Institute of Bioorganic Chemistry, Far-Eastern Branch of Russian Academy of Sciences
Author for correspondence.
Email: santalova@piboc.dvo.ru
Russian Federation, 690022, Vladivostok, prosp. 100 let Vladivostoku 159
S. А. Kolesnikova
G.B. Elyakov Pacific Institute of Bioorganic Chemistry, Far-Eastern Branch of Russian Academy of Sciences
Email: santalova@piboc.dvo.ru
Russian Federation, 690022, Vladivostok, prosp. 100 let Vladivostoku 159
References
- Dembitsky V.M., Rezanka T., Srebnik M. // Chem. Phys. Lipids. 2003. V. 123. P. 117‒155. https://doi.org/10.1016/S0009-3084(03)00020-3
- Родькина С.А. // Биол. моря. 2005. Т. 31. С. 387–397. [Rodkina S.A. // Russ. J. Mar. Biol. 2005. V. 31. P. S49– S60]. https://doi.org/10.1007/s11179-006-0015-3
- Bergé J.-P., Barnathan G. // In: Marine Biotechnology I. Advances in Biochemical Engineering/Biotechnology/ Eds. Ulber R., Le Gal Y. Berlin, Heidelberg: Springer, 2005. V. 96. P. 49–125. https://doi.org/10.1007/b135782
- Řezanka T., Sigler K. // Prog. Lipid Res. 2009. V. 48. P. 206‒238. https://doi.org/10.1016/j.plipres.2009.03.003
- Manjari Mishra P., Sree A., Panda P.K. // In: Springer Handbook of Marine Biotechnology / Ed. Kim S.K. Berlin, Heidelberg: Springer, 2015. P. 851–868. https://doi.org/10.1007/978-3-642-53971-8_36
- Kornprobst J.-M., Barnathan G. // Mar. Drugs. 2010. V. 8. P. 2569‒2577. https://doi.org/10.3390/md8102569
- Dembitsky V.M., Srebnik M. // Prog. Lipid Res. 2002. V. 41. P. 315‒367. https://doi.org/10.1016/S0163-7827(02)00003-6
- Hwang B.S., Lee K., Yang C., Jeong E.J., Rho J.-R. // J. Nat. Prod. 2013. V. 76. P. 2355‒2359. https://doi.org/10.1021/np400793r
- Lyakhova E.G., Kolesnikova S.A., Kalinovsky A.I., Dmitrenok P.S., Nam N.H., Stonik V.A. // Steroids. 2015. V. 96. P. 37–43. https://doi.org/10.1016/j.steroids.2015.01.009
- Lyakhova E.G., Kolesnikova S.A., Kalinovsky A.I., Afiyatullov Sh.Sh., Dyshlovoy S.A., Krasokhin V.B., Minh Ch.V., Stonik V.A. // Tetrahedron Lett. 2012. V. 53. P. 6119‒6122. https://doi.org/10.1016/j.tetlet.2012.08.148
- Kobayashi J., Cheng J.-F., Ishibashi M., Wälchli M.R., Yamamura Sh., Ohizumi Y. // J. Chem. Soc., Perkin Trans. 1. 1991. P. 1135–1137. https://doi.org/10.1039/P19910001135
- Alvi Kh.A., Jaspars M., Crews Ph., Strulovici B., Oto E. // Bioorg. Med. Chem. Lett. 1994. V. 4. P. 2447‒2450. https://doi.org/10.1016/S0960-894X(01)80407-8
- Nakao Y., Maki T., Matsunaga Sh., van Soest R.W.M., Fusetani N. // J. Nat. Prod. 2004. V. 67. P. 1346‒1350. https://doi.org/10.1021/np049939e
- Takada K., Uehara T., Nakao Y., Matsunaga Sh., van Soest R.W.M., Fusetani N. // J. Am. Chem. Soc. 2004. V. 126. P. 187‒193. https://doi.org/10.1021/ja037368r
- Fujita M., Nakao Y., Matsunaga Sh., Seiki M., Itoh Y., van Soest R.W.M., Fusetani N. // Tetrahedron. 2001. V. 57. P. 1229‒1234. https://doi.org/10.1016/S0040-4020(00)01128-5
- Ushio-Sata N., Matsunaga Sh., Fusetani N., Honda K., Yasumuro K. // Tetr. Lett. 1996. V. 37. P. 225‒228. https://doi.org/10.1016/0040-4039(95)02134-5
- Ando H., Ueoka R., Okada Sh., Fujita T., Iwashita T., Imai T., Yokoyama T., Matsumoto Y., van Soest R.W.M., Matsunaga Sh. // J. Nat. Prod. 2010. V. 73. P. 1947‒1950. https://doi.org/10.1021/np1003565
- Bergquist P.R., Lawson M.P., Lavis A., Cambie R.C. // Biochem. Syst. Ecol. 1984. V. 12. P. 63–84. https://doi.org/10.1016/0305-1978(84)90012-7
- Lawson M.P., Bergquist P.R., Cambie R.C. // Biochem. Syst. Ecol. 1984. V. 12. P. 375–393. https://doi.org/10.1016/0305-1978(84)90070-X
- Будзикевич Г., Джерасси К., Уильямс Д. // Интерпретация масс-спектров органических соединений / Под ред. Вульфсона Н.С. Москва: Мир, 1966. 323 с.
- The LipidWeb. Mass Spectrometry of Alkyl Esters. Ethyl Esters of Fatty Acids. https://www.lipidmaps.org/resources/lipidweb/index.php?page=ms/others/others-arch/index.htm
- The LipidWeb. Mass Spectra of Fatty Acid Alkyl Esters – Archive. Ethyl esters of fatty acids. https://www.lipidmaps.org/resources/lipidweb/index.php?page=ms/others/others-arch/index.htm
- The LipidWeb. Mass Spectrometry of Fatty Acid Pyrrolidides. Dienoic fatty acids. Part 2. Conjugated and Bis- and Polymethylene-Interrupted Dienes. https://www.lipidmaps.org/resources/lipidweb/index.php?page=ms/pyrrolidides/pyrrol-2db-2/index.htm
- The LipidWeb. Mass Spectrometry of DMOX Derivatives. Dienoic fatty acids. Part 2. Conjugated and Bis- and Polymethylene-Interrupted Dienes. https://www.lipidmaps.org/resources/lipidweb/lipidweb_html/ms/dmox/dmox-2db-2/index.htm
- The LipidWeb. Mass Spectrometry of Fatty Acid Pyrrolidides. Saturated Branched-Chain Fatty Acids. https://www.lipidmaps.org/resources/lipidweb/lipidweb_html/ms/pyrrolidides/pyrrol-sbr/index.htm
- The LipidWeb. Pyrrolidine Derivatives of Fatty Acids. Archive of Mass Spectra. https://www.lipidmaps.org/resources/lipidweb/index.php?page=ms/pyrrolidides/pyrrol-arch/index.htm
- Santalova E.A., Denisenko V.A. // Nat. Prod. Commun. 2017. V. 12. P. 1913–1916. https://doi.org/10.1177/1934578X1701201225
- Dérien S., Klein H., Bruneau Ch. // Angew. Chem. Int. Ed. Engl. 2015. V. 54. P. 12112–12115. https://doi.org/10.1002/anie.201505144
- Gunstone F.D. // Chem. Phys. Lipids. 1993. V. 65. P. 155–163. https://doi.org/10.1016/0009-3084(93)90049-9
- Akasaka K., Shichijyukari S., Meguro H., Ohrui H. // Biosci. Biotechnol. Biochem. 2002. V. 66. P. 1719– 1722. https://doi.org/10.1271/bbb.66.1719
- Santalova E.A., Denisenko V.A., Dmitrenok P.S. // Molecules. 2020. V. 25. P. 6047. https://doi.org/10.3390/molecules25246047
- Andersson B.A. // Prog. Chem. Fats Other Lipids. 1978. V. 16. P. 279–308. https://doi.org/10.1016/0079-6832(78)90048-4
- Santalova E.A., Denisenko V.A. // Lipids. 2017. V. 52. P. 73–82. https://doi.org/10.1007/s11745-016-4214-1
- Knothe G. // Lipids. 2006. V. 41. P. 393–396. https://doi.org/10.1007/s11745-006-5110-x
- Zhang J.Y., Yu Q.T., Huang Z.H. // J. Mass Spectrom. Soc. Japan. 1987. V. 35. P. 23–30. https://doi.org/10.5702/massspec.35.23
- The LipidWeb. Mass Spectrometry of Dimethyloxa- zoline and Pyrrolidine Derivatives. Cyclic Fatty Acids. https://www.lipidmaps.org/resources/lipidweb/index.php?page=ms/dmox/dmox-cyclic/index.htm
- The LipidWeb. Mass Spectrometry of Methyl Esters. Saturated Branched-Chain Fatty Acids. https://www.lipidmaps.org/resources/lipidweb/index.php?page=ms/methesters/me-0dbbr/index.htm
- The LipidWeb. Unesterified (Free) Fatty Acids. https://www.lipidmaps.org/resources/lipidweb/index.php?page=lipids/simple/ffa/index.htm
- Thiel V., Jenisch A., Wörheide G., Löwenberg A., Reitner J., Michaelis W. // Org. Geochem. 1999. V. 30. P. 1–14. https://doi.org/10.1016/S0146-6380(98)00200-9
- The LipidWeb. Fatty Acids: Branched-Chain. https://www.lipidmaps.org/resources/lipidweb/index.php?page=lipids/fa-eic/fa-branc/index.htm
- The LipidWeb. Fatty Acids: Natural Cyclic. https://www.lipidmaps.org/resources/lipidweb/index.php?page=lipids/fa-eic/fa-cycl/index.htm
- Reiswig H.M. // Mar. Ecol. 1981. V. 2. P. 273–293. https://doi.org/10.1111/j.1439-0485.1981.tb00271.x
- Hedrick D.B., Peacock A.D., Long Ph., White D.C. // Lipids. 2008. V. 43. P. 843–851. https://doi.org/10.1007/s11745-008-3206-1
- Fejzagić A.V., Gebauer J., Huwa N., Classen T. // Molecules. 2019. V. 24. P. 4008. https://doi.org/10.3390/molecules24214008
- Bayer K., Scheuermayer M., Fieseler L., Hentschel U. // Mar. Biotechnol. 2013. V. 15. P. 63–72. https://doi.org/10.1007/s10126-012-9455-2
- Wang J., Pang X., Chen Ch., Gao Ch., Zhou X., Liu Y., Luo X. // Chin. J. Chem. 2022. V. 40. P. 1729–1750. https://doi.org/10.1002/cjoc.202200064
- Vetter W., Walther W. // J. Chromatogr. А. 1990. V. 513. P. 405–407. https://doi.org/10.1016/S0021-9673(01)89466-8
- The LipidWeb. Mass Spectrometry of Methyl Esters. Derivatization of Double Bonds in Fatty Acids for Structural Analysis. https://www.lipidmaps.org/resources/lipidweb/index.php?page=ms/methesters/me-dbderivs/index.htm
- Santalova E.A., Svetashev V.I. // Nat. Prod. Commun. 2022. V. 17. P. 1–8. https://doi.org/10.1177/1934578X221131408
Supplementary files







