Synthetic Transformations of Higher Terpenoids. 42. Synthesis of New 18-Nor-4-(Carboxyethyl)Isopimara-7,15-Diene Derivatives and Study of Their Cytotoxicity on MCF7, U-87 MG and DU 145 Cancer Cell Lines
- Authors: Gromova M.A.1,2, Kharitonov Y.V.2, Rybalova Т.V.2, Larionov V.А.3, Golubeva T.S.4, Shults E.E.2
-
Affiliations:
- Novosibirsk State Pedagogical University (NSPU),
- Vorozhtsov Novosibirsk Institute of Organic Chemistry, Siberian Branch of the Russian Academy of Sciences
- Nesmeyanov Institute of Organoelement Compounds of Russian Academy of Sciences (INEOS RAS)
- The Federal Research Center Institute of Cytology and Genetics SB RAS (ICG SB RAS)
- Issue: Vol 49, No 5 (2023)
- Pages: 509-522
- Section: Articles
- URL: https://bakhtiniada.ru/0132-3423/article/view/139255
- DOI: https://doi.org/10.31857/S0132342323050032
- EDN: https://elibrary.ru/BLXECA
- ID: 139255
Cite item
Full Text
Abstract
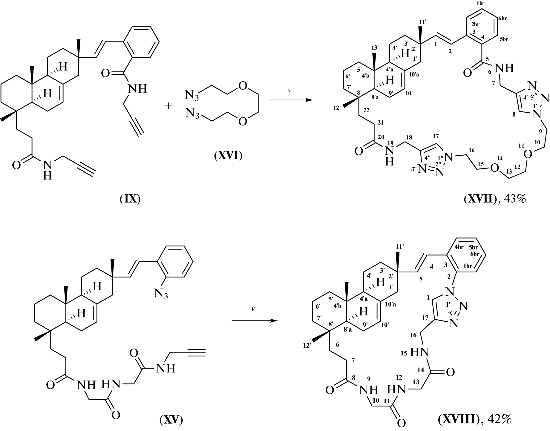
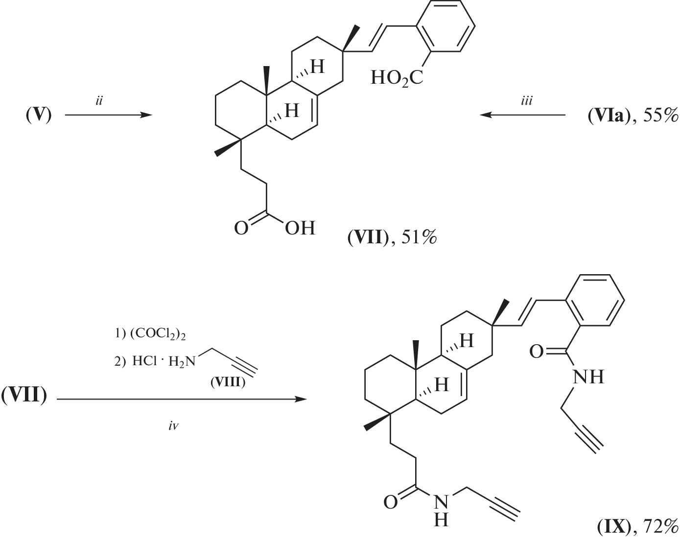
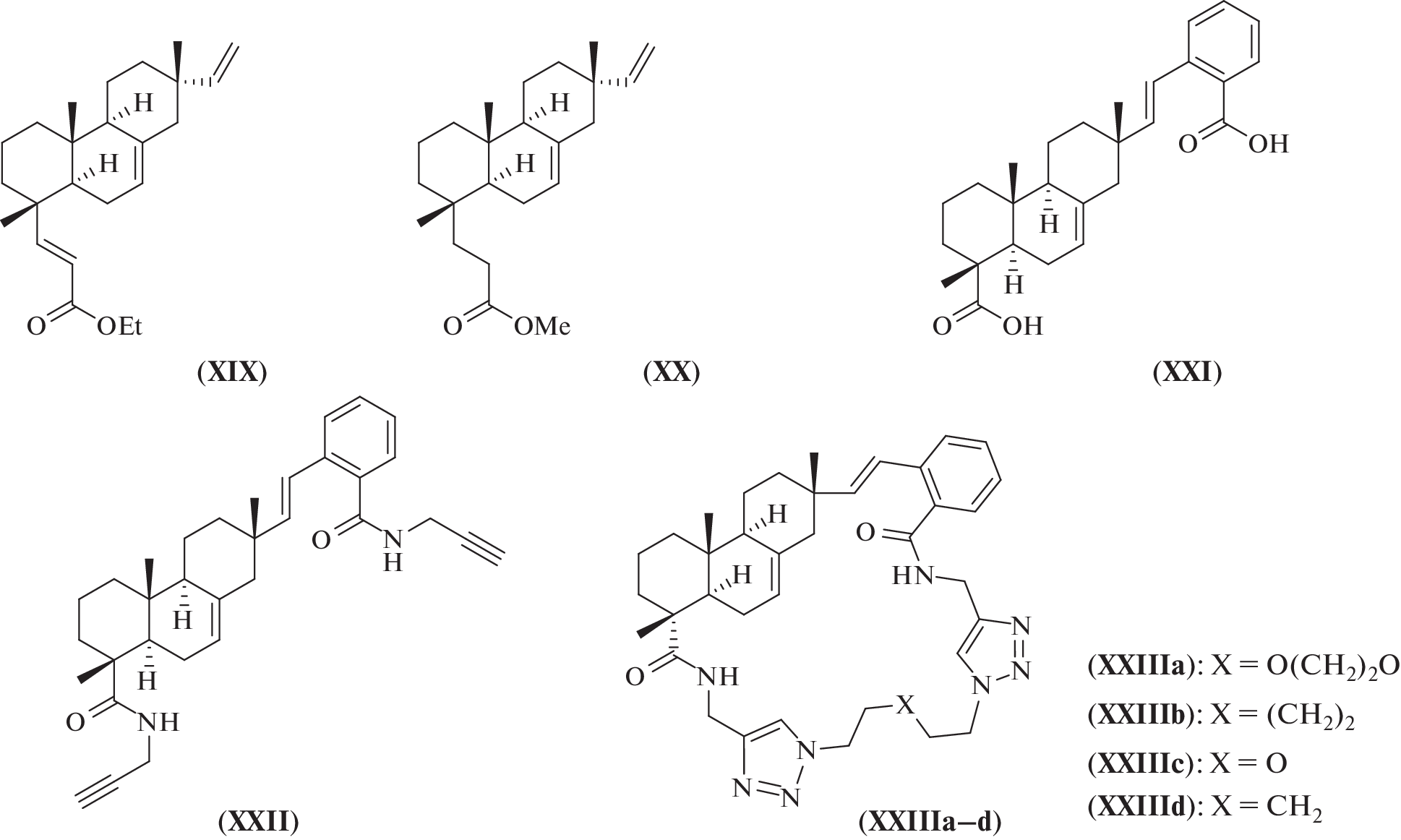
(E)-16-Aryl-substituted derivatives of tricyclic diterpenoids were synthesized by cross-coupling of isopimaric acid derivatives with substituted iodorenes catalyzed by palladium acetate in the presence of silver carbonate. Condensation of (E)-18-nor-4-(carboxyethyl)-16-(2-carboxyethyl)isopimar-7,15-diene dichloride with propargylamine hydrochloride leads to the corresponding dialkine, which readily reacts with diazide in the Cu(I) catalyzed cycloaddition (CuAAC) reaction, with the formation of macroheterocyclic compound containing a pimaran type tricyclic diterpenoid core and 1,2,3-triazole rings in the linker chain. Reaction of in situ prepared (E)-18-nor-16-azido-4-(carboxyethyl)isopimar-7,15-diene acid chloride with propargylamine hydrochloride or an alkynyl-substituted derivative of the protected Gly-Gly dipeptide leads to the corresponding azidoalkynes. The intramolecular CuAAC reaction of azidodipeptidylalkine afforded a macroheterocyclic derivative containing a dipeptide and triazole moiety in the linker chain. The obtained compounds showed higher (compared with the isopimaric acid) cytotoxicity on tumor cells MCF-7 and were less toxic to non-cancer cells than the reference drug doxorubicin. The GI50 value of the most active compound is 6.3 μM, selectivity index >15) (MTT test). The synthesized derivatives of the tricyclic diterpenoid isopimaric acid can be used to develop new antitumor agents.
Keywords
About the authors
M. A. Gromova
Novosibirsk State Pedagogical University (NSPU),; Vorozhtsov Novosibirsk Institute of Organic Chemistry, Siberian Branch of the Russian Academy of Sciences
Email: schultz@nioch.nsc.ru
Russia, 630126, Novosibirsk, ul. Vilyuskaja 28; Russia, 630090, Novosibirsk, prosp. Akad. Lavrentyevа 9
Y. V. Kharitonov
Vorozhtsov Novosibirsk Institute of Organic Chemistry, Siberian Branch of the Russian Academy of Sciences
Email: schultz@nioch.nsc.ru
Russia, 630090, Novosibirsk, prosp. Akad. Lavrentyevа 9
Т. V. Rybalova
Vorozhtsov Novosibirsk Institute of Organic Chemistry, Siberian Branch of the Russian Academy of Sciences
Email: schultz@nioch.nsc.ru
Russia, 630090, Novosibirsk, prosp. Akad. Lavrentyevа 9
V. А. Larionov
Nesmeyanov Institute of Organoelement Compounds of Russian Academy of Sciences (INEOS RAS)
Email: schultz@nioch.nsc.ru
Russia, 119334, Moscow, ul. Vavilova 28
T. S. Golubeva
The Federal Research Center Institute of Cytology and Genetics SB RAS (ICG SB RAS)
Email: schultz@nioch.nsc.ru
Russia, 630090, Novosibirsk, prosp. Akad. Lavrentyevа 9
E. E. Shults
Vorozhtsov Novosibirsk Institute of Organic Chemistry, Siberian Branch of the Russian Academy of Sciences
Email: schultz@nioch.nsc.ru
Russia, 630090, Novosibirsk, prosp. Akad. Lavrentyevа 9
References
- Gromova M.A., Kharitonov Yu.V., Borisov S.A., Rybalova T.V., Tolstikova T.G., Shults E.E. // Chem. Nat. Compd. 2022. V. 58. P. 55–64. https://doi.org/10.1007/s10600-022-03596-y
- Keeling C.I., Bohlmann J. // Phytochemistry. 2006. V. 67. P. 2415–2423. https://doi.org/10.1016/j.phytochem.2006.08.019
- Толстиков Г.A., Толстикова Т.Г., Шульц Э.Э., Толстиков С.E., Хвостов M.В. // Смоляные кислоты хвойных России. Химия и фармакология / Pед. Трофимов Б.A. Новосибирск: Гео, 2011. С. 207–242.
- Kugler S., Ossowicz P., Malarczyk-Matusiak K., Wierzbicka E. // Molecules. 2019. V. 24. P. 1651. https://doi.org/10.3390/molecules24091651
- Smith E., Williamson E., Zloh M., Gibbons S. // Phytother. Res. 2005. V. 19. P. 538–542. https://doi.org/10.1002/ptr.1711
- Coté H., Boucher M.-A., Pichette A., Roger B., Legault J. // J. Ethnopharmacology. 2016. V. 194. P. 684–689. https://doi.org/10.1016/j.jep.2016.10.035
- Pferschy-Wenzig E.M., Kunert O., Presser A., Bauer R. // J. Agric. Food Chem. 2008. V. 56. P. 11688–11693. https://doi.org/10.1021/jf8024002
- Imaizumi Y., Sakamoto K., Yamada A., Hotta A., Ohya S., Muraki K., Uchiyama M., Ohwada T. // Mol. Pharmacol. 2002. V. 62. P. 836–846. https://doi.org/10.1124/mol.62.4.836
- Salari S., Silvera Ejneby M., Brask J., Elinder F. // Acta Physiol. (Oxf.). 2018. V. 222. P. e12895. https://doi.org/10.1111/apha.12895
- Ge L., Hoa N.T., Wilson Z., Arismendi-Morillo G., Kong X.-T., Tajhya R.B., Beeton C., Jadus M.R. // Int. Immunopharmacol. 2014. V. 22. P. 427–443. https://doi.org/10.1016/j.intimp.2014.06.040
- Sizemore G., McLaughlin S., Newman M., Brundage K., Ammer A., Martin K., Pugacheva E., Coad J., Mattes M.D., Yu H.-G. // BMC Cancer. 2020. V. 20. P. 595. https://doi.org/10.1186/s12885-020-07071-1
- Lu Y., Zhao Z., Chen Y., Wang J. // Lett. Org. Chem. 2021. V. 18. P. 950–956. https://doi.org/10.2174/1570178618666210813121953
- Lu Y.-J., Zhao Z.-D., Chen Y.-X., Wang J., Xu S.-C., Gu Y. // J. Asian Nat. Prod. Res. 2020. V. 23. P. 545–555. https://doi.org/10.1080/10286020.2020.1810668
- Liu J., Lu Y., Wang J., Bi L., Zhao Z. // Chin. J. Org. Chem. 2017. V. 37. P. 731–738. https://doi.org/10.6023/cjoc201610017
- Gromova M.A., Kharitonov Yu.V., Pokrovskii M.A., Bagryanskaya I.Yu., Pokrovskii A.G., Shul’ts E.E. // Chem. Nat. Compd. 2019. V. 55. P. 52–59. https://doi.org/10.1007/s10600-019-02613-x
- Gromova M.A., Kharitonov Yu.V., Golubeva T.S., Shults E.E. // Macroheterocycles. 2021. V. 14. P. 231–239. https://doi.org/10.6060/mhc210945s
- Gromova M.A., Kharitonov Yu.V., Rybalova T.V., Shults E.E. // Monatsh. Chem. 2020. V. 151. P. 1817–1827. https://doi.org/10.1007/s00706-020-02713-3
- Gromova M.A., Kharitonov Y.V., Rybalova T.V., Shults E.E. // Macroheterocycles. 2021. V. 14. P. 105–111. https://doi.org/10.6060/mhc200817s
- Zhao S., Wang Z-P., Wen X., Li S., Wei G., Guo J., He Y. // Org. Lett. 2020. V. 22. P. 6632–6636. https://doi.org/10.1021/acs.orglett.0c02403
- Thirumurugan P., Matosiuk D., Jozwiak K. // Chem. Rev. 2013. V. 113. P. 4905–4979. https://doi.org/10.1021/cr200409f
- Klein E., DeBonis S., Thiede B., Skoufias D.A., Kozielski F., Lebeau L. // Bioorg. Med. Chem. 2007. V. 15. P. 6474–6488. https://doi.org/1016/j.bmc.2007.06.016
- Spek A.L. // J. Appl. Cryst. 2003. V. 36. P. 7–13. https://doi.org/10.1107/S0021889802022112
- Wilson J.K., Sargent J.M., Elgie A.W., Hill J.G., Taylor C.G. // Br. J. Cancer. 1990. V. 62. P. 189–194. https://doi.org/10.1038/bjc.1990.258
- Kharitonov Yu.V., Shakirov M.M., Shul’ts E.E. // Chem. Nat. Compd. 2014. V. 49. P. 1067–1075. https://doi.org/10.1007/s10600-014-0823-1
- Zhang Z., Xiao F., Huang B., Hu J., Fu B., Zhang Z. // Org. Lett. 2016. V. 18. P. 908–911. https://doi.org/10.1021/acs.orglett.6b00607
- Wang H., He C., Pan Y., Yao C., Wu Q., Deng H. // J. Incl. Phenom. Macrocycl. Chem. 2012. V. 73. P. 177–183. https://doi.org/10.1007/s10847-011-0040-5
- Larionov V.A., Adonts H.V., Gugkaeva Z.T., Smol’yakov A.F., Saghyan A.S., Miftakhov M.S., Kuznetsova S.A., Maleev V.I., Belokon Yu.N. // ChemistrySelect. 2018. V. 3. P. 3107–3110. https://doi.org/10.1002/slct.201800228
- Krause L., Herbst-Irmer R., Sheldrick G.M., Stalke D. // J. Appl. Cryst. 2015. V. 48. P. 3–10. https://doi.org/10.1107/S1600576714022985
- Sheldrick G.M. // Acta Crystallogr. 2015. A71. P. 3–8. https://doi.org/10.1107/S2053273314026370
Supplementary files








