The Structure of Sulfated Polysaccharides from the Sea Cucumber Holothuria (Stauropora) fuscocinerea
- Authors: Bilan M.I.1, Usov A.I.1, Van T.T.2, Trung D.T.2, Thinh P.D.2, Hang C.T.2, Ustyuzhanina N.E.1, Tsvetkova E.A.1, Nikogosova S.P.1, Dmitrenok A.S.1, Nifantiev N.E.1
-
Affiliations:
- Zelinsky Institute of Organic Chemistry, Russian Academy of Sciences
- NhaTrang Institute of Technology Research and Application, Vietnam Academy of Science and Technology
- Issue: Vol 49, No 4 (2023)
- Pages: 392-402
- Section: Articles
- URL: https://bakhtiniada.ru/0132-3423/article/view/139173
- DOI: https://doi.org/10.31857/S0132342323040309
- EDN: https://elibrary.ru/ODDRCN
- ID: 139173
Cite item
Full Text
Abstract
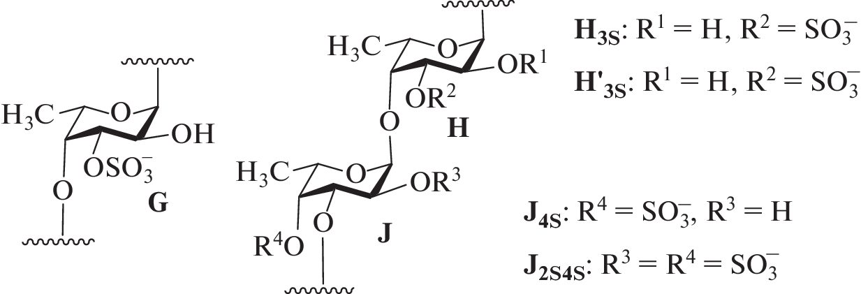
Fucosylated chondroitin sulfate FCS-Hf and preparations of fucan sulfates Hf-Fuc1 and Hf-Fuc2 were isolated from the Vietnamese sea cucumber Holothuria (Stauropora) fuscocinerea. Separation of the polysaccharides was carried out using anion-exchange chromatography on DEAE-Sephacel. The structure of polysaccharides was established by determinations of the content of monosaccharides and sulfate, as well as by NMR spectra. It was shown that FCS-Hf was built of the repeating trisaccharide fragments, with alternating 3‑linked N-acetyl-β-D-galactosamine and 4-linked β-D-glucuronic acid residues forming the main polymer chain, which carries α-L-fucose residues as side branches attached to O3 of glucuronic acid. The regular structure of polymer is masked by an uneven distribution of sulfate groups attached to fucose residues (2,4-disulfate, 3,4-disulfate and 4-monosulfate in a ratio of 2 : 2 : 1) and galactosamine residues (4,6-disulfate and 4-monosulfate in a ratio of 3 : 1). It was also shown that fucan sulfate Hf-Fuc1 contained predominantly linear molecules built of 4-linked α-L-fucose 3-sulfate residues, while Hf-Fuc2 appeared to be a mixture of several related linear and branched fucan sulfates containing 3-linked and 4-linked α-L-Fuc residues sulfated at different positions.
About the authors
M. I. Bilan
Zelinsky Institute of Organic Chemistry, Russian Academy of Sciences
Email: nen@ioc.ac.ru
Russia, 119991, Moscow, Leninsky prospect 47
A. I. Usov
Zelinsky Institute of Organic Chemistry, Russian Academy of Sciences
Email: nen@ioc.ac.ru
Russia, 119991, Moscow, Leninsky prospect 47
Tran Thi Thanh Van
NhaTrang Institute of Technology Research and Application, Vietnam Academy of Science and Technology
Email: nen@ioc.ac.ru
Socialist Republic of Vietnam, 650000, Nhatrang,, 02 Hung Vuong Street
Dinh Thanh Trung
NhaTrang Institute of Technology Research and Application, Vietnam Academy of Science and Technology
Email: nen@ioc.ac.ru
Socialist Republic of Vietnam, 650000, Nhatrang,, 02 Hung Vuong Street
Pham Duc Thinh
NhaTrang Institute of Technology Research and Application, Vietnam Academy of Science and Technology
Email: nen@ioc.ac.ru
Socialist Republic of Vietnam, 650000, Nhatrang,, 02 Hung Vuong Street
Cao Thi Thuy Hang
NhaTrang Institute of Technology Research and Application, Vietnam Academy of Science and Technology
Email: nen@ioc.ac.ru
Socialist Republic of Vietnam, 650000, Nhatrang,, 02 Hung Vuong Street
N. E. Ustyuzhanina
Zelinsky Institute of Organic Chemistry, Russian Academy of Sciences
Email: nen@ioc.ac.ru
Russia, 119991, Moscow, Leninsky prospect 47
E. A. Tsvetkova
Zelinsky Institute of Organic Chemistry, Russian Academy of Sciences
Email: nen@ioc.ac.ru
Russia, 119991, Moscow, Leninsky prospect 47
S. P. Nikogosova
Zelinsky Institute of Organic Chemistry, Russian Academy of Sciences
Email: nen@ioc.ac.ru
Russia, 119991, Moscow, Leninsky prospect 47
A. S. Dmitrenok
Zelinsky Institute of Organic Chemistry, Russian Academy of Sciences
Email: nen@ioc.ac.ru
Russia, 119991, Moscow, Leninsky prospect 47
N. E. Nifantiev
Zelinsky Institute of Organic Chemistry, Russian Academy of Sciences
Author for correspondence.
Email: nen@ioc.ac.ru
Russia, 119991, Moscow, Leninsky prospect 47
References
- Sea Cucumbers. A Global Review of Fisheries and Trade / Eds. Toral-Granda V., Lovatelli A., Vasconcellos M. Rome: FAO, 2008. 317 p.
- Khotimchenko Y. // Int. J. Mol. Sci. 2018. V. 19. P. 1342. https://doi.org/10.3390/ijms19051342
- Pomin V.H. // Mar. Drugs. 2014. V. 12. P. 232–254. https://doi.org/10.3390/md12010232
- Ustyuzhanina N.E., Bilan M.I., Nifantiev N.E., Usov A.I. // Pure Appl. Chem. 2019. V. 91. P. 1065–1071. https://doi.org/10.1515/pac-2018-1211
- Liu X., Zhang Z., Mao H., Wang P., Zuo Z., Gao L., Shi X., Yin R., Gao N., Zhao J. // Mar. Drugs. 2020. V. 18. P. 286. https://doi.org/10.3390/md18060286
- Yang J., Wang Y., Jiang T., Lv Z. // Int. J. Biol. Macromol. 2015. V. 72. P. 911–918. https://doi.org/10.1016/j.ijbiomac.2014.10.010
- Ustyuzhanina N.E., Bilan M.I., Dmitrenok A.S., Shashkov A.S., Kusaykin M.I., Stonik V.A., Nifantiev N.E., Usov A.I. // Glycobiology. 2016. V. 26. P. 449–459. https://doi.org/10.1093/glycob/cwv119
- Mao H., Cai Y., Li S., Sun H., Lin L., Pan Y., Yang W., He Z., Chen R., Zhou L., Wang W., Yin R., Zhao J. // Carbohydr. Polym. 2020. V. 245. P. 116503. https://doi.org/10.1016/j.carbpol.2020.116503
- Li S., Zhong W., Pan Y., Lin L., Cai Y., Mao H., Zhang T., Li S., Chen R., Zhou L., Wang W., Cui Q., Yin R., Huang S., Zhao J. // Carbohydr. Polym. 2021. V. 269. P. 118290. https://doi.org/10.1016/j.carbpol.2021.118290
- Yin R., Zhou L., Gao N., Lin L., Sun H., Chen D., Cai Y., Zuo Z., Hu K., Huang S., Liu J., Zhao J. // Biomacromolecules. 2021. V. 22. P. 1244–1255. https://doi.org/10.1021/acs.biomac.0c01739
- Yin R., Pan Y., Cai Y., Yang F., Gao N., Ruzemaimaiti D., Zhao J. // Carbohydr. Polym. 2022. V. 294. P. 119826. https://doi.org/10.1016/j.carbpol.2022.119826
- Qiu P., Wu F., Yi L., Chen L., Jin Y., Ding X., Ouyang Y., Yao Y., Jiang Y., Zhang Z. // Carbohydr. Polym. 2020. V. 240. P. 116337. https://doi.org/10.1016/j.carbpol.2020.116337
- Ustyuzhanina N.E., Bilan M.I., Panina E.G., Sanamyan N.P., Dmitrenok A.S., Tsvetkova E.A., Ushakova N.A., Shashkov A.S., Nifantiev N.E., Usov A.I. // Mar. Drugs. 2018. V. 16. P. 389. https://doi.org/10.3390/md16100389
- Vieira R.P., Mulloy B., Mourão P.A.S. // J. Biol. Chem. 1991. V. 266. P. 13530–13536. https://doi.org/10.1016/S0021-9258(18)92730-4
- Ustyuzhanina N.E., Bilan M.I., Dmitrenok A.S., Nifantiev N.E., Usov A.I. // Carbohydr. Polym. 2017. V. 164. P. 8–12. https://doi.org/10.1016/j.carbpol.2017.01.034
- Li H., Yuan Q., Lv K., Ma H., Gao C., Liu Y., Zhang S., Zhao L. // Carbohydr. Polym. 2021. V. 251. P. 117034. https://doi.org/10.1016/j.carbpol.2020.117034
- Ustyuzhanina N.E., Anisimova N.Y., Bilan M.I., Donenko F.V., Morozevich G.E., Yashunskiy D.V., Usov A.I., Siminyan N.G., Kirgisov K.I., Varfolomeeva S.R., Kiselevskiy M.V., Nifantiev N.E. // Pharmaceuticals. 2021. V. 14. P. 1074. https://doi.org/10.3390/ph14111074
- Киселевский М.В., Анисимова Н.Ю., Билан М.И., Усов А.И., Устюжанина Н.Е., Петкевич А.А., Шубина И.Ж., Морозевич Г.Е., Нифантьев Н.Э. // Биоорг. химия. 2022. Т. 48. С. 633–647. [Kiselevskiy M.V., Anisimova N.Yu., Bilan M.I., Usov A.I., Ustyuzhanina N.E., Petkevich A.A., Shubina I.Zh., Morosevich G.E., Nifantiev N.E. // Russ. J. Bioorg. Chem. 2022. V. 39. P. 1109–1122.] https://doi.org/10.1134/S1068162022060152
- Pereira M.S., Mulloy B., Mourão P.A.S. // J. Biol. Chem. 1999. V. 274. P. 7656–7667. https://doi.org/10.1074/jbc.274.12.7656
- Ustyuzhanina N.E., Bilan M.I., Dmitrenok A.S., Borodina E.Y., Nifantiev N.E., Usov A.I. // Carbohydr. Res. 2018. V. 456. P. 5–9. https://doi.org/10.1016/j.carres.2017.12.001
- Shang S., Mou R., Zhang Z., Gao N., Lin L., Li Z., Wu M., Zhao J. // Carbohydr. Polym. 2018. V. 195. P. 257–266. https://doi.org/10.1016/j.carbpol.2018.04.117
- Ustyuzhanina N.E., Bilan M.I., Dmitrenok A.S., Tsvetkova E.A., Nikogosova S.P., Cao T.T.H., Pham D.T., Dinh T.T., Tran T.T.V., Shashkov A.S., Usov A.I., Nifantiev N.E. // Mar. Drugs. 2022. V. 20. P. 380. https://doi.org/10.3390/md20060380
- Ning Z., Wang P., Zuo Z., Tao X., Gao L., Xu C., Wang Z., Wu B., Gao N., Zhao J. // Mar. Drugs. 2022. V. 20. P. 377. https://doi.org/10.3390/md20060377
- Mourão P.A.S. // Mar. Drugs. 2015. V. 13. P. 2770–2784. https://doi.org/10.3390/md13052770
- Fonseca R.J.C., Mourão P.A.S. // Mar. Drugs. 2021. V. 19. P. 425. https://doi.org/10.3390/md19080425
- Lu W., Yang Z., Chen J., Wang D., Zhang Y. // Carbohydr. Polym. 2021. V. 272. P. 118526. https://doi.org/10.1016/j.carbpol.2021.118526
- Pham D.T., Ly B.M., Usoltseva R.V., Shevchenko N.M., Rasin A.V., Anastyuk S.D., Malyarenko O.S., Zvyagintseva T.N., San P.T., Ermakova S.P. // Int. J. Biol. Macromol. 2018. V. 117. P. 1101–1109. https://doi.org/10.1016/j.ijbiomac.2018.06.017
- Teo S., Ng C.S.L., Loh K.S. // Nat. Singapore. 2010. V. 3. P. 133–137.
- Maya-Alvarado B., Calva-Benítez L.G., Granja- Fernández R., Pérez-López J., López-Pérez A. // Rev. Biol. Tropical. 2021. V. 69 (S1). P. 66–79. https://doi.org/10.15517/rbt.v69isuppl.1.46328
- Gao N., Chen R., Mou R., Xiang J., Zhou K., Li Z., Zhao J. // Int. J. Biol. Macromol. 2020. V. 164. P. 3421–3428. https://doi.org/10.1016/j.ijbiomac.2020.08.150
- Ma Y., Gao N., Zuo Z., Li S., Zheng W., Shi X., Liu Q., Ma T., Yin R., Li X., Zhao J. // Int. J. Biol. Macromol. 2021. V. 186. P. 535–543. https://doi.org/10.1016/j.ijbiomac.2021.07.049
- Pomin V.H. // Carbohydr. Res. 2015. V. 413. P. 41–50. https://doi.org/10.1016/j.carres.2015.05.004
- Ustyuzhanina N.E., Bilan M.I., Dmitrenok A.S., Borodina E.Y., Stonik V.A., Nifantiev N.E., Usov A.I. // Carbohydr. Polym. 2017. V. 167. P. 20–26. https://doi.org/10.1016/j.carbpol.2017.02.101
- Ustyuzhanina N.E., Bilan M.I., Nifantiev N.E., Usov A.I. // Carbohydr. Res. 2019. V. 476. P. 8–11. https://doi.org/10.1016/j.carres.2019.02.008
- Ustyuzhanina N.E., Bilan M.I., Anisimova N.Y., Dmitrenok A.S., Tsvetkova E.A., Kiselevskiy M.V., Nifantiev N.E., Usov A.I. // Carbohydr. Polym. 2022. V. 281. P. 119072. https://doi.org/10.1016/j.carbpol.2021.119072
- Bilan M.I., Grachev A.A., Ustuzhanina N.E., Shashkov A.S., Nifantiev N.E., Usov A.I. // Carbohydr. Res. 2002. V. 337. P. 719–730. https://doi.org/10.1016/S0008-6215(02)00053-8
- Билан М.И., Захарова А.Н., Грачев А.А., Шашков А.С., Нифантьев Н.Э., Усов А.И. // Биоорг. химия. 2007. Т. 33. С. 44–53. [Bilan M.I., Zakharova A.N., Grachev A.A., Shashkov A.S., Nifantiev N.E., Usov A.I. // Russ. J. Bioorg. Chem. 2007. V. 33. P. 38–46.] https://doi.org/10.1134/S1068162007010049
- Usov A.I., Bilan M.I., Klochkova N.G. // Bot. Mar. 1995. V. 38. P. 43–51. https://doi.org/10.1515/botm.1995.38.1-6.43
- Dubois M., Gilles K.A., Hamilton J.K., Rebers P.A., Smith, F. // Anal. Chem. 1956. V. 28. P. 350–356. https://doi.org/10.1021/ac60111a017
Supplementary files










