Evolution of Peptide Biopharmaceuticals
- Authors: Ivanov V.T.1, Deigin V.I.1
-
Affiliations:
- Shemyakin–Ovchinnikov Institute of Bioorganic Chemistry, Russian Academy of Sciences
- Issue: Vol 49, No 3 (2023)
- Pages: 229-242
- Section: Articles
- URL: https://bakhtiniada.ru/0132-3423/article/view/139147
- DOI: https://doi.org/10.31857/S0132342323030120
- EDN: https://elibrary.ru/PDQSFB
- ID: 139147
Cite item
Full Text
Abstract
Peptides are small molecule substances involved in numerous essential physiological functions such as human growth and development, stress, regulation of the emotional state, sexual behavior, and immune responses. Their mechanisms of action are based on receptor-ligand interaction, which leads to highly selective effects. These properties and low toxicity allow them to be considered potent drugs. The production of peptide preparations became possible at the beginning of the 20th century after a method for the selective synthesis of peptides was developed. However, after the successful synthesis of the first peptide drugs, many issues related to increasing stability, bioavailability, half-life, and the ability to move through cell membranes remained unresolved. The review considers the historical path of development of the synthesis and production of peptides, as well as modern approaches to the creation of peptide drugs and their use in biopharmaceutics, including the development of original peptide drugs in Russia.
About the authors
V. T. Ivanov
Shemyakin–Ovchinnikov Institute of Bioorganic Chemistry, Russian Academy of Sciences
Email: vdeigin8@gmail.com
Russia, 117997, Moscow, ul. Miklukho-Maklaya 16/10
V. I. Deigin
Shemyakin–Ovchinnikov Institute of Bioorganic Chemistry, Russian Academy of Sciences
Author for correspondence.
Email: vdeigin8@gmail.com
Russia, 117997, Moscow, ul. Miklukho-Maklaya 16/10
References
- Fischer E. // Untersuchungen über Aminosäuren / Polypeptide und Proteïne (1899–1906). Springer, Berlin, 1906.
- Bliss M. // Discovery of Insulin. University of Chicago Press: Chicago, IL, 1982. P. 28–37.
- Padhi A., Sengupta M., Sengupta S., Roehm K.H., Sonawane A. // Tuberculosis (Edinb). 2014. V. 94. P. 363–373. https://doi.org/10.1016/j.tube.2014.03.011
- Kaspar A.A., Reichert J.M. // Drug Discov. Today. 2013. V. 18. P. 807–817. https://doi.org/10.1016/j.drudis.2013.05.011
- Schulte I., Tammen H., Selle H., Schulz-Knappe P. // Expert Rev. Mol. Diagn. 2005. V. 5. P. 145–157. https://doi.org/10.1586/14737159.5.2.145
- Deigin V.I., Semenets T.N., Zamulaeva I.A., Maliutina Ya.V., Selivanova E.I., Saenko A.S., Semina O.V. // Int. Immunopharmacol. 2007. V. 7. P. 375–382. https://doi.org/10.1016/j.intimp.2006.11.010
- Thundimadathil J. // J. Amino Acids. 2012. V. 2012. P. 967347. https://doi.org/10.1155/2012/967347
- Puente X.S., Gutierrez-Fernandez A., Ordonez G.R., Hillier LaD.W., Lopez-Otin C. // Genomics. 2005. V. 86. P. 638–647. https://doi.org/10.1016/j.ygeno.2005.07.009
- Gongora-Benitez M., Tulla-Puche J., Albericio F. // Chem. Rev. 2014. V. 114. P. 901–926. https://doi.org/10.1021/cr400031z
- Sun L. // Mod. Chem. Appl. 2013. V. 1. P. e103. https://doi.org/10.4172/mca.1000e103
- Goodwin D., Simerska P., Toth I. // Curr. Med. Chem. 2012. V. 19. P. 4451–4461. https://doi.org/10.2174/092986712803251548
- Craik D.J., Fairlie D.P., Liras S., Price D. // Chem. Biol. Drug Des. 2013. V. 81. P. 136–147. https://doi.org/10.1111/cbdd.12055
- Moore A. // EMBO Rep. 2003. V. 4. P. 114–117. https://doi.org/10.1038/sj.embor.embor748
- Mains R.E., Eipper B.A. // The Neuropeptides. 6th edition. Philadelphia: Lippincott-Raven, 1999. P. 79–92.
- Harris R.M., Dijkstra P.D., Hofmann H.A. // Gen. Com. Endocrinol. 2014. V. 195. P. 107–1015. https://doi.org/10.1016/j.ygcen.2013.10.007
- Cati K.J., Dufau M.I. // Biol. Reprod. 1976. V. 14. P. 1–15. https://doi.org/10.1095/biolreprod14.1.1
- Schulz-Knappe P., Schrader M., Zucht H.-D. // Comb. Chem. High Throughput Screen. 2005. V. 8. P. 697–704. https://doi.org/10.2174/138620705774962418
- Lau J.L., Dunn M.K. // Bioorg. Med. Chem. 2017. V. 25. P. 2700–2707. https://doi.org/10.1016/j.bmc.2017.06.052
- Rodland K.D. // Clin. Biochem. 2004. V. 37. P. 579–583. https://doi.org/10.1016/j.clinbiochem.2004.05.011
- Veenstra T.D., Prieto D.A., Conrads T.P. // Drug Discov. Today. 2004. V. 9. P. 889–897. https://doi.org/10.1016/s1359-6446(04)03246-5
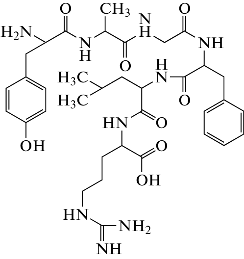
- Levy O.E., Jodka C.M., Ren S.S., Mamedova L., Sharma A., Samant M., D’Souza L.J., Soares C.J., Yuskin D.R., Jin L.J., Parkes D.G., Tatarkiewicz K., Ghosh S.S. // PLoS One. 2014. V. 9. P. e87704. https://doi.org/10.1371/journal.pone.0087704
- Vlieghe P., Lisowski V., Martinez J., Khrestchatisky M. // Drug Discov. Today. 2010. V. 15. P. 40–56. https://doi.org/10.1016/j.drudis.2009.10.009
- Henninot A., Collins J.C., Nuss J.M. // J. Med. Chem. 2018. V. 61. P. 1382–1414. https://doi.org/10.1021/acs.jmedchem.7b00318
- Smith A.J. // J. Biomol. Screen. 2015. V. 20. P. 437–453. https://doi.org/10.1177/1087057114562544
- Li D. // AAPS J. 2015. V. 17. P. 134–143. https://doi.org/10.1208/s12248-014-9687-3
- Ahmed H.B., Teruna J.S. // Clin. Immunol. 2012. V. 144. P. 127–138. https://doi.org/10.1016/j.clim.2012.05.010
- Agyei D., Ahmed I., Akram Z., Iqbal H.M.N., Danquah M.K. // Protein Pept. Lett. 2017. V. 24. P. 94–101. https://doi.org/10.2174/0929866523666161222150444
- Agyei D., Danquah M.K. // Biotechnol. Adv. 2011. V. 29. P. 272–277. https://doi.org/10.1016/j.biotechadv.2011.01.001
- Romani L., Moretti S., Fallarino F., Bozza S., Ruggeri L., Casagrande A., Aversa F., Bistoni F., Velardi A., Garaci E. // Ann. N.Y. Acad. Sci. 2012. V. 1269. P. 1–6. https://doi.org/10.1111/j.1749-6632.2012.06716.x
- Craik D.J., Fairlie D.P., Liras S., Price D. // Chem. Biol. Drug Des. 2013. V. 81. P. 136–147. https://doi.org/10.1111/cbdd.12055
- Fosgerau K., Hoffmann T. // Drug Discov. Today 2015. V. 20. P. 122–128. https://doi.org/10.1016/j.drudis.2014.10.003
- du Vigneaud V., Ressler C., Swan J.M., Roberts C.W., Katsoyannis P.G. // J. Am. Chem. Soc. 1954. V. 76. P. 3115–3121. https://doi.org/10.1021/ja01641a004
- The Nobel Prize in Chemistry 1955. NobelPrize.org. Nobel Media AB 2018. https://www.nobelprize.org/prizes/chemistry/1955/ summary
- Belgi A., Hossain M., Tregear G.W., Wade J.D. // Immun. Endoc. Metab. Agents Med. Chem. 2011. V. 11. P. 40–47. https://doi.org/10.2174/187152211794519412
- Vargesson N. // Birth Defect. Res. C Embryo Today. 2015. V. 105 P. 140–156. https://doi.org/10.1002/bdrc.21096
- Zompra A.A., Galanis A.S., Werbitzky O., Albericio F. // Future Med. Chem. V. 1. P. 361–372. https://doi.org/10.4155/fmc.09.23
- Bray B.L. // Nat. Rev. Drug Discov. 2003. V. 2. P. 587–593. https://doi.org/10.1038/nrd1133
- Lax R. // Int. Pept. Rev. 2010. V. 2. P. 10–15. https://doi.org/10.3390/md15040124
- Di L. // AAPS J. 2015. V. 17. P. 134–143. https://doi.org/10.1208/s12248-014-9687-3
- Zhou X.H., Li W., Po A. // Int. J. Pharm. 1991. V. 75. P. 117–130.
- Maher S., Brayden D.J. // Drug Discov. Today Technol. 2012. V. 9. P. e113–e119. https://doi.org/10.1016/j.ddtec.2011.11.006
- Diao L., Meibohm B. // Clin. Pharmacokinet. 2013. V. 52. P. 855–868. https://doi.org/10.1007/s40262-013-0079-0
- Chin J., Foyez Mahmud K.A., Kim S.E., Park K., Byun Y. // Drug Dis. Today Technol. 2012. V. 9. P. e105–e112. https://doi.org/10.1007/s40199-019-00316-w
- Rader A.F.B., Reichart F., Weinmüller M., Kessler H. // Bioorg. Med. Chem. 2018. V. 26. P. 2766–2773. https://doi.org/10.1016/j.bmc.2017.08.031
- Ratnaparkhi M.P., Chaudhari S.P., Pandya V.A. // Int. J. Curr. Pharmaceut. Res. 2011. V. 3. P. 1–9.
- Wohr T., Wahl F., Nefzi A., Rohwedder B., Sato T., Sun X., Mutter M. // J. Am. Chem. Soc. 1996. V. 118. P. 9218–9227. https://doi.org/10.1021/ja961509q
- Harris P.W.R., Kowalczyk R., Hay D.L., Brimble M.A. // Int. J. Pept. Res. Ther. 2013. V. 19. P. 147–155. https://doi.org/10.1007/s10989-012-9325-9
- Munegumi T. // Chem. Biodivers. 2010. V. 7. P. 1670–1679. https://doi.org/10.1002/cbdv.200900370
- Ano R., Kimura Y., Shima M., Matsuno R. // Bioorg. Med. Chem. 2004. V. 12. P. 257–264. https://doi.org/10.1016/j.bmc.2003.10.002
- Sato A.K., Viswanathan M., Kent R.B., Wood C.R. // Curr. Opin. Biotechnol. 2006. V. 17. P. 638–642. https://doi.org/10.1016/j.copbio.2006.10.002
- Rand A.C., Leung S.S.F., Eng H., Rotter C.J., Sharma R., Kalgutkar A.S., Zhang Y., Varma M.V., Farley K.A., Khunte B., Limberakis C., Price D.A., Liras S., Mathiowetz A.M., Jacobson M.P., Lokey R.S. // MedChemComm. 2012. V. 3. P. 1282–1289. https://doi.org/10.1039/c2md20203d
- Jevsevar S., Kunstelj M., Porekar V.G. // Biotechnol. J. 2010. V. 5. P. 113–128. https://doi.org/10.1002/biot.200900218
- Ward B.P., Ottaway N.L., Perez-Tilve D., Ma D., Gelfanov V.M., Tschop M.H., DiMarchi R.D. // Mol. Metab. 2013. V. 2. P. 468–479. https://doi.org/10.1016/j.molmet.2013.08.008
- Verdine G.L., Hilinski G.J. // Method. Enzymol. V. 503. P. 3–34. https://doi.org/10.1016/b978-0-12-396962-0.00001-x
- Rink R., Arkema-Meter A., Baudoin I., Post E., Kuipers A., Nelemans S.A., Akanbi M.H.J., Moll G.N. // J. Pharmacol. Toxicol. Methods. 2010. V. 61. P. 210–218. https://doi.org/10.1016/j.vascn.2010.02.010
- Tugyi R., Uray K., Ivan D., Fellinger E., Perkins A., Hudecz F. // Proc. Natl. Acad. Sci. USA. 2005. V. 102. P. 413–418. https://doi.org/10.1073/pnas.0407677102
- Sharman A., Low J. // Pain. 2008. V. 8. P. 134–137.
- Agerso H., Larsen L.S., Riis A., Lovgren U., Karlsson M.O., Senderovitz T. // Br. J. Clin. Pharmacol. 2004. V. 58. P. 352–358. https://doi.org/10.1111/j.1365-2125.2004.02175.x
- Harris A.G. // Gut. 1994. V. 35 (Suppl. 3). P. S1–S4. https://doi.org/10.1136/gut.35.3_suppl.s1
- Anthony L., Freda P.U. // Curr. Med. Res. Opin. 2009. V. 25. P. 2989–2999. https://doi.org/10.1185/03007990903328959
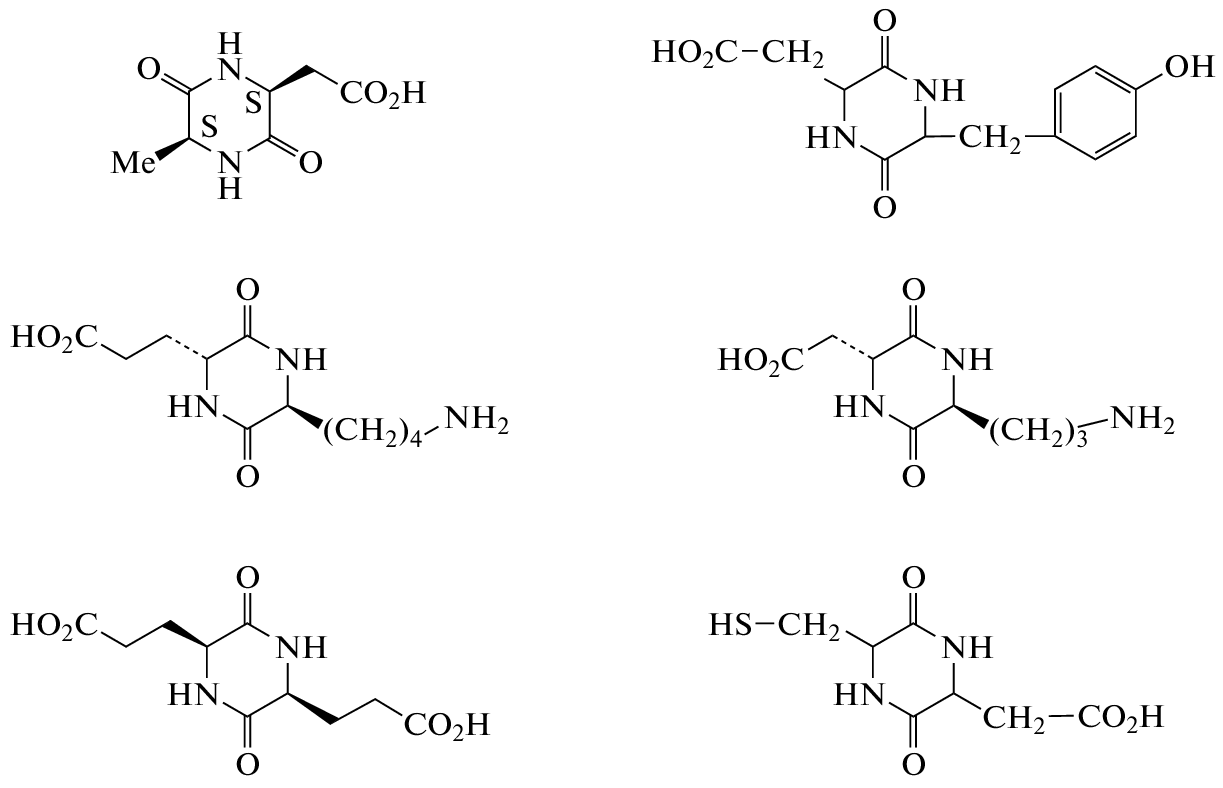
- Milne P.J., Kilian G. // Diketopiperazines. Compr. Nat. Prod. II. Elsevier: Amsterdam, 2010. V. 5. P. 657–698. https://doi.org/10.3390/biom11101515
- Dictionary of Antibiotics and Related Substances / Ed. Bycroft B.W. Chapman Hall: London, 1988. P. 906.
- Borthwick A.D. // Chem. Rev. 2012. V. 112. P. 3641–3716. https://doi.org/10.1021/cr200398y
- Deigin V., Ksenofontova O., Khrushev A., Yatskin O., Goryacheva A., Ivanov V. // ChemMedChem. 2016. V. 11. P. 1974–1977. https://doi.org/10.1002/cmdc.201600157
- Zhao S., Smith K.S., Deveau A.M. // J. Med. Chem. 2002. V. 45. P. 1559. https://doi.org/10.1016/j.bmc.2008.02.050
- Prasad C. // Peptides. 1995. V. 16. P. 1151.
- Shiosaki K., Craig R., Lin C. // Peptides / Ed. Marshall G.R. ESCOM: Leiden, Holland, 1990. P. 978.
- Pierschbacher M.D., Ruoslahti E. // Nature. 1984. V. 309. P. 30–33. 10.1038/309030a0' target='_blank'>https://doi.org/doi: 10.1038/309030a0
- Deigin V., Ksenofontova O., Yatskin O., Goryacheva A., Ignatova A., Feofanov A., Ivanov V. // Int. Immunopharmacol. 2020. V. 81. P. 106185. https://doi.org/10.1016/j.intimp.2020.106185
- Шубина Т.А., Мясоедов Н.Ф., Андреева Л.А., Ляпина Л.А., Ульянов А.М., Оберган Т.Ю., Пасторова В.Е. // Бюлл. эксперим. биол. мед. 2012. Т. 153. С. 304–307.
- Tsai S.J. // // Med. Hypotheses. 2007. V. 68. P. 1144–1146. https://doi.org/10.1016/j.mehy.2006.07.017
- Lasukova T.V., Maslov L.N., Podoksenov Y.K., Podoksenov A.Y., Platonov A.A., Ovchinnikov M.V., Bespalova Zh.D. // Bull. Exp. Biol. Med. 2004. V. 137. P. 27–30. https://doi.org/10.1023/b:bebm.0000024378.48252.fb
- Клиническая фармакология Тимогена / Под ред. Смирнова В.С. СПб.: ФАРМин-декс, 2004. 172 с.
- Tukhovskaya E.A. Shaykhutdinova E.R., Ismailova A.M., Slashcheva G.A., Prudchenko I.A., Mikhaleva I.I., Khokhlova O.N., Murashev A.N., Ivanov V.T. // Biomedicines. 2021. V. 9. P. 407–422. https://doi.org/10.3390/biomedicines9040407
- Meshcheryakova E., Guryanova S., Makarov E., Alekseeva L., Andronova T., Ivanov V. // Int. Immunopharmacol. 2001. V. 1. P. 1857–1865. https://doi.org/10.1016/s1567-5769(01)00111-4
- Lebedev V.V., Danilina A.V., Sgibova I.V. // Int. J. Immunorehabilitat. 2000. V. 2. P. 146–151.
- Виноградова Ю.Е., Замулаева И.А., Павлов В.В., Селиванова Е.И., Дейгин В.И., Смирнова С.Г., Орлова Н.В., Саенко А.С. // Терапевтический архив. 2002. № 8. С. 64–67.
- Телешова Е.С., Бочкарев В.К., Сюняков Т.С., Бугаева Т.П., Незнамов Г.Г. // Психиатрия. 2010. № 4. С. 26–35.
- Амелин А.В., Илюхина А.Ю., Шмонин А.А. // Журн. невролог. психиатр. им. С.С. Корсакова. 2011. Т. 111. С. 44–46.
Supplementary files











