Forecast of Professional Success of Employee under Stress Factor: A New Approach
- Authors: Zhukova G.V.1, Sutormin O.S.1,2, Stepanova L.V.1, Kratasyuk V.A.1,2,3
-
Affiliations:
- Siberian Federal University
- Surgut State University
- Institute of Biophysics of the Siberian Branch of the RAS
- Issue: Vol 50, No 5 (2024)
- Pages: 87-94
- Section: Articles
- URL: https://bakhtiniada.ru/0131-1646/article/view/270775
- DOI: https://doi.org/10.31857/S0131164624050092
- EDN: https://elibrary.ru/AOCSOW
- ID: 270775
Cite item
Full Text
Abstract
A new personalized approach is proposed to predict the professional suitability of railway transport workers under the influence of stressful factors, based on the study of the effect of salivary fluid of subjects before and after a work shift on the intensity of the glow of the bioenzyme reaction of luminous bacteria: NADH:FMN-oxidoreductase+luciferase. The integral method, which signals the magnitude of the stress effect, is based on changes in saliva components such as lactate, ions and cations, as well as nitrate and sulfate chlorides under the influence of stress. This made it possible to identify, using the example of Russian Railways dispatchers, a risk group and a group of stress-resistant workers, which is important to reduce accidents at Russian Railways. The conditions that reduce the stressful workload necessary for the development of effective measures for the prevention of stressful situations and the preservation of workers’ ability to work have been identified.
Full Text
Стресс, связанный с профессиональной деятельностью, является неотъемлемой частью жизни, и его влияние на здоровье и благополучие становится все более очевидным. Определение уровня стресса у людей – непростая задача, поскольку каждый человек реагирует на стрессовые факторы по-разному. Показано, что факторы окружающей среды и некоторые виды условий труда, такие как, например, посменная и ночная работа, не только могут способствовать развитию патологических состояний [1, 2], но и являются причиной повышения уровня аварийности, например, при управлении транспортным средством. Оценка состояния организма путем самоанкетирования [3, 4] часто содержит субъективную информацию. Для объективной оценки состояния организма проводится анализ маркеров стресса в биологических жидкостях (кровь, сыворотка или моча) [5]. Однако классические методы оценки действия стрессовых факторов на организм человека имеют некоторые ограничения, к которым можно отнести инвазивность, трудоемкость, длительность анализа и высокую его стоимость, что усложняет их использование для контроля на постоянной основе и в режиме реального трудового процесса. Имеются данные о связи между уровнем стресса и содержанием определенных биомаркеров в слюне [6], таких как концентрация кортизола и активность α-амилазы [7, 8], а также изменение ионного или биохимического состава слюны [9, 10]. Так, повышенная активность α-амилазы при физических нагрузках и умственных напряжениях коррелирует с повышением содержания атехоламинов (норадреналина или адреналина) [11]. Связь функционального и физиологического состояния организма человека при стрессе выражается физической усталостью, информативным биомаркером чего может служить показатель содержания лактата в слюне [12]. Таким образом, существует возможность прогнозирования стрессового состояния организма по многим параметрам, при этом результаты, полученные разными методами, часто противоречат друг другу. Так, при выборе кортизола в качестве биомаркера для оценки стрессового воздействия на организм человека во время рабочей смены в одних исследованиях отмечается, что испытываемый стресс положительно влияет на величину кортизола в образцах слюны [13], в других работах отмечается, что уровень кортизола никак не зависит от уровня стресса [14, 15]. Таким образом, для объективной оценки состояния организма при стрессовых нагрузках необходимо свести к минимуму количество измеряемых параметров и предложить сигнальный интегральный метод, учитывающий хотя бы основные маркеры стресса. Другой важной задачей является необходимость сделать этот анализ экспрессным и неинвазивным. Решение указанных задач возможно при использовании биолюминесцентного ферментативного биотеста, который был разработан и успешно применяется в экологическом мониторинге [16, 17].
В этом биотесте влияние анализируемой пробы оценивается по уменьшению интенсивности свечения биферментной системы светящихся бактерий: НАД(Ф)Н: ФМН-оксидоредуктаза + люцифераза (Р + Л). Биотест отличается экспрессностью (время анализа 1–5 мин) и позволяет оценивать токсичность анализируемых проб сложного состава (природные и сточные воды, почва), содержащих смеси нескольких токсикантов, по ограниченному числу измеряемых параметров. В качестве анализируемой пробы при оценке стрессовых перегрузок можно рассматривать слюнную жидкость, так как ранее нами было показано, что при психоэмоциональных или физических перегрузках у спортсменов изменяется кислотно-щелочной баланс слюны, активность каталазы, содержание лактата и других компонентов слюны [18, 19]. Применение такого биотеста для контроля трудовой нагрузки требует специального исследования, так как сила воздействия трудовой нагрузки на организм работника много меньше и, скорее всего, не может быть классифицирована как стрессовая. Изучения механизмов влияния слюны при трудовых перегрузках на интенсивность биолюминесценции ранее не проводилось.
Целью настоящего исследования было выявление закономерностей влияния слюны на интенсивность биолюминесценции в зависимости от изменения биохимических показателей слюны под влиянием трудовых перегрузок, необходимое для выявления группы риска и прогнозирования профессиональной пригодности работников железнодорожного транспорта.
МЕТОДИКА
В качестве анализируемых образцов была использована смешанная слюна специалистов оперативно-диспетчерского состава Красноярской железной дороги— филиала ОАО “РЖД” (n = 20). Предварительно данные об участниках испытаний были обезличены. Сбор биоматериала (смешанная слюна) производили натощак или через час после приема еды самостоятельно работники диспетчерского состава, участвующие в эксперименте, путем свободного сплевывания в пластиковую стерильную микроцентрифужную пробирку посредством пассивного слюноотделения без дополнительной стимуляции, на рабочем месте, до и после рабочей смены, на протяжении 5 нед. Хранение анализируемой жидкости осуществляли в холодильной камере при температуре 6—8 °С, не более 24 ч. Образцы слюны перед исследованием центрифугировали в течение 15 мин при частоте 5000 об./мин на центрифуге Eppendorf Centrifuge 5810r (Eppendorf, Германия) и для анализа использовали надосадочную жидкость.
Для выявления факторов, влияющих на анализ, было проведено анкетирование по самооценке состояния организма, включающее информацию о вредных привычках, режиме питания, стаже работы, самооценке стрессового состояния. Результаты медицинских осмотров, содержащие общеклинические анализы крови и мочи и другие терапевтические показатели здоровья, были предоставлены ЧУЗ “Клиническая больница "РЖД-медицина"” (г. Москва). На основании анкет и результатов медицинских осмотров работники были поделены на 2 группы. Первую группу участников составляли женщины и мужчины преимущественно без вредных привычек, имеющие стаж работы более 10 лет и показатели медицинского осмотра, соответствующие нормам здорового человека (n = 9). Участниками второй группы были женщины и мужчины, имеющие разный стаж работы, отклонения в показателях медицинского осмотра и вредные привычки (n = 11).
В работе использовали следующие реактивы: ФМН (Serva, Германия), НАДН (Gerbu, Германия), тетрадеканаль (Merck, Германия) и лиофилизированные препараты ферментов (набор реактивов КРАБ производства лаборатории нанобиотехнологии и биолюминесценции Института биофизики СО РАН, г. Красноярск). Один флакон препарата содержал 0.5 мг люциферазы (КФ 1.14.14.3) из рекомбинантного штамма E. coli и НАД(Ф)Н:ФМН-оксидоредуктазы (КФ 1.5.1.29) из Vibrio fischeri (активность 3 нкат). Для приготовления растворов ферментов использовали 0.05 М калий-фосфатный буфер, pH 7.0.
Оценку ингибирующего действия слюнной жидкости на активность биферментной системы — НАД(Ф)Н:ФМН-оксидоредуктаза + люцифераза (Р + Л), проводили в присутствии образцов слюны по величине максимальной интенсивности свечения согласно методике, описанной ранее [16—19]. Биолюминесцентное тестирование проводили на планшетном люминометре TriStar LB 941 (Berthold Technologies, Германия). В ячейку планшета последовательно вносили реакционную смесь с добавлением 40 мкл буфера (контрольное измерение) или 40 мкл слюны (экспериментальное измерение) и регистрировали величину максимальной интенсивности свечения биолюминесцентной реакции. Показателем влияния слюнной жидкости на активность биферментной Р + Л системы была остаточная интенсивность свечения, которую рассчитывали как отношение максимальной интенсивности свечения в присутствии слюны к контрольному (в %). Каждая экспериментальная точка — результат не менее трех последовательных измерений.
Концентрацию лактата, мочевины, активность каталазы, уровень триеновых конъюгатов определяли спектрофотометрически. Концентрацию лактата в образцах слюны определяли в кювете объемом 1 мл при смешивании 250 мкл слюны, 740 мкл дистиллированной воды и 10 мкл 0.4 М раствора хлорида железа (III) (Solins, Россия) [20]. При этом происходило окрашивание раствора в бледно-желтый цвет (реакция Ван ден Берга). Оптическую плотность раствора регистрировали на спектрофотометре UV-1800 (Shimadzu, Япония). Содержание лактата в пробе рассчитывали с помощью калибровочной кривой, построенной по разведениям 0.01 М водного раствора лактата лития.
Активность каталазы определяли путем смешивания слюнной жидкости с 0.03% раствором перекиси водорода и 4% молибдата аммония и измерения при длине волны 410 нм [21]. Уровень триеновых конъюгатов определяли по степени светопоглощения в гептан-изопропанольных экстрактах [22].
Определение неорганических катионов и анионов в слюне производилось методом капиллярного электрофореза. Для определения катионов (ионы аммония, калия, натрия, магния, кальция) использовали ведущий электролит – 20 мМ бензимидазол, 5 мМ винная кислота, 2 мМ 18-краун-6 (“Флука”, Швейцария), для определения анионов (хлориды, нитриты, нитраты, фосфаты) использовали ведущий электролит – 10 мМ CrO3, 30 мМ диэтаноламин (ДЭА, “Флука”, Швейцария), 2 мМ цетилтриметиламмония гидроксид (ЦТА-ОН, “Флука”, Швейцария) [23].
Статистическую обработку данных с подсчетом среднего арифметического значения и стандартного отклонения, а также многофакторный, корреляционный анализ проводили по критерию Спирмена в программе Statistica 10 (StatSoft Inc., США). Уровень статистической значимости считали достоверными при p ≤ 0.05.
РЕЗУЛЬТАТЫ ИССЛЕДОВАНИЯ И ИХ ОБСУЖДЕНИЕ
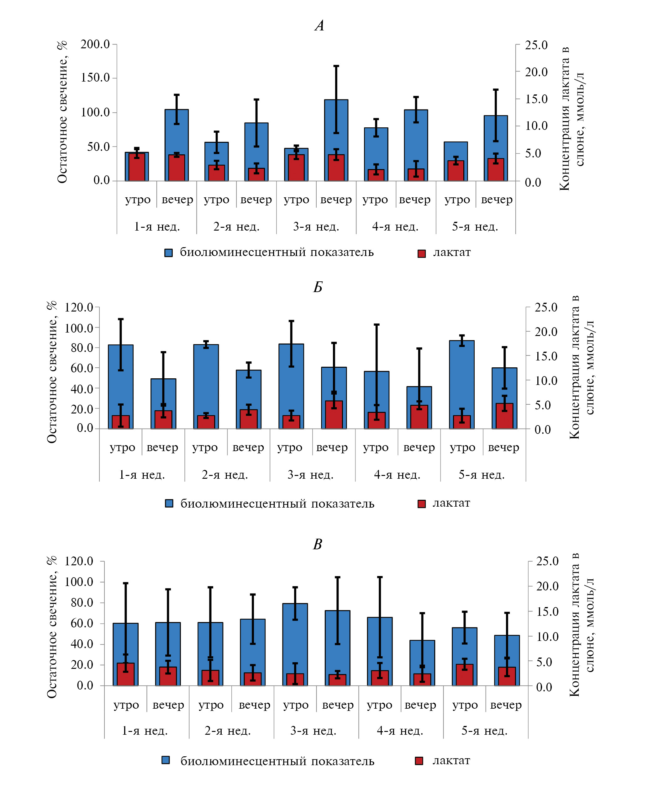
Изначально были выбраны 2 группы участников, слюна которых изучалась всеми вышеперечисленными методами. По результатам биолюминесцентного тестирования участники, входящие в первую группу относительно здоровых сотрудников, отличались устойчивой реакцией на нагрузку. Это выражалось в том, что величина остаточного свечения для каждого испытуемого либо всегда увеличивалась после рабочей смены, либо всегда уменьшалась. Поэтому участники первой группы разделились на 2 подгруппы. Для обследуемых первой подгруппы характерно устойчивое повышение уровня остаточного свечения после рабочего дня (рис. 1, А). Для обследуемых второй подгруппы относительно здоровых сотрудников характерно устойчивое понижение величины остаточного свечения после рабочего дня (рис. 1, Б). Измерение концентрации лактата в слюне участников первой группы показало отсутствие физических перегрузок или усталости (рис. 1, А и Б). Такие результаты хорошо согласуются с результатами анкетирования данных работников, где они утверждают, что не испытывают перегрузок на рабочем месте.
Рис. 1. Изменение усредненного показателя остаточного свечения для слюны и концентрации лактата в слюне до и после рабочей смены в течение 5 нед. у сотрудников, относящихся к 1-й подгруппе (А), 2-й подгруппе (Б) и 3-й группе (В) обследуемых
Различия для первой и второй подгрупп, возможно, объясняются особенностями окислительно-восстановительного метаболизма организма испытуемых. Схожие результаты были получены при исследовании влияния образцов слюны спортсменов на активность биферментной системы Р + Л. Слюнная жидкость спортсменов классических (анаэробных) видов спорта (конькобежный, легкая атлетика), вызывала повышение остаточной интенсивности свечения Р + Л системы, в отличие от исследованных образцов слюны спортсменов, занимающихся восточными единоборствами (аэробная нагрузка, кунг-фу, айкидо) [24]. Важным было получение стабильного ответа показателя на стрессовую нагрузку.
При исследовании влияния слюны испытуемых второй группы на активность Р + Л системы было выявлено как повышение, так и понижение величины остаточного свечения биферментной биолюминесцентной Р + Л системы после трудового дня (рис. 1, В). При этом содержание лактата в слюне уменьшалось после рабочей смены во всех изученных случаях, что свидетельствовало о наличии физической нагрузки на организм. Такая неустойчивая реакция биолюминесцентной Р + Л системы на добавление слюны испытуемых второй группы может быть следствием большого числа факторов, к которым можно отнести и небольшой опыт работы в профессии, курение, частое употребление кофе, привычка не завтракать перед сменой и др. Все эти факторы позволяют отнести испытуемых этой группы к группе риска, так как организм участников эксперимента не был адаптирован по разным причинам к трудовым нагрузкам. Положительная корреляция между характеристиками этой группы работников и неустойчивой реакций на рабочую нагрузку показывает возможности биолюминесцентного теста для выявления профессиональной неуспешности работника.
Таким образом, по результатам биолюминесцентного анализа образцов слюны работников железнодорожного транспорта на активность Р + Л системы была показана возможность первичной экспрессной оценки стрессового состояния организма сотрудника, вызванного выполнением трудовых функций. Продемонстрирована также допустимость выявления группы риска по изменению интегрального биолюминесцентного показателя слюнной жидкости, а также мониторинга состояния организма в течение рабочей смены.
Определены условия, снижающие влияние рабочей нагрузки на работников и необходимые для создания эффективных мер профилактики перегрузок и сохранения трудоспособности работников. Биолюминесцентный показатель для слюны после рабочей смены был постоянно повышен или понижен вследствие особенностей окислительно-восстановительного метаболизма организма для стрессоустойчивых работников, которые способны справляться с перегрузками. Величина биолюминесцентного показателя взаимосвязана с пониженной концентрацией лактата, минеральным обменом и продуктами перекисного окисления липидов. При этом концентрация лактата после трудовой нагрузки у женщин в отличие от мужчин всегда понижена, что характеризовало их способность адаптироваться к трудовой нагрузке в течение дня.
Постоянно изменяющийся биолюминесцентный показатель слюны был характерен для работников группы риска, имеющих хронические заболевания и вредные привычки. Изменение биолюминесцентного показателя было взаимосвязано с повышением концентрации лактата, сдвигом рН, накоплением продуктов перекисного окисления липидов, нарушением баланса “свободные радикалы — АОЗ” и минерального обмена.
Статистический анализ результатов исследования показал, что прогностическими критериями и биомаркерами состояния организма участников под влиянием трудовых нагрузок может быть изменение биолюминесцентного показателя для слюны, коррелирующего с разницей в концентрации лактата в слюне (r = –0.6) р = 0.05 (разница концентрации лактата повышена для пониженного биолюминесцентного показателя, и наоборот) и с отклонением в весе (r = –0.6) р = 0.05 (биолюминесцентный показатель понижен для участников с повышенным индексом массы тела вследствие высокой концентрации холестерина и глюкозы) [25]. При этом компонентный состав слюны участников при трудовой нагрузке может содержать пониженную концентрацию мочевины (r = 0.9) за счет денатурации белков снижение интенсивности перекисного окисления липидов за счет повышения активности каталазы (r = –0,8), вследствие чего понижается концентрация триеновых конъюгатов (продуктов перекисного окисления липидов) (r = –0.8), а также концентрация хлоридов (r = –0.8) из-за нарушения кислотно-щелочного баланса организма, вызванного наличием вредных привычек, в частности курения.
К участникам, предрасположенным к трудовым перегрузкам, можно отнести людей, у которых частое употребление кофейных напитков связано с обратной зависимостью со стажем работы (r = –0.5), степенью утомления (r = 0.5) и волнения (r = –0.5), вследствие чего понижается концентрация натрия в слюне (r = –0.9), что может спровоцировать нервные заболевания. Причиной снижения адаптаций к трудовым нагрузкам может быть курение, вызывающее понижение концентрации нитратов (r = –0.8) и повышение концентрации лактата (r = 0.6) в слюне.
Пониженная концентрация общего белка (r = –0.8), потеря ионов калия (r = –0.9), отклонения в весе (r = –0.8), связанные с отсутствием завтраков, также являются факторами, увеличивающими влияние на организм трудовых нагрузок.
ЗАКЛЮЧЕНИЕ
Таким образом, контроль состояния организма участников может быть осуществлен биолюминесцентным ферментативным биотестом. Были выявлены факторы, усиливающие и снижающие влияние трудовых нагрузок на организм, на основе которых возможно создание условий для эффективной работы (временные интервалы для отдыха во время смены, обеспечение завтраком, освещенность рабочего места, температура и кондиционирование, психологическая совместимость и т. п.). Полученные результаты могут быть основой для разработки персонифицированного биосенсора для оценки функционального состояния организма у работников, находящихся в напряженных условиях труда.
Предлагаемый подход позволяет также разработать “паспорт здоровья” для каждого работника с учетом полного набора характеристик, когда отклонение от “нормальных” показателей позволяет прогнозировать его профессиональную успешность в условиях воздействия трудовой нагрузки. Автоматизация анализа может быть сделана в рамках портативной биолюминесцентной лаборатории или путем создания индивидуального биосенсора. Применение биолюминесцентного тестирования с целью динамического контроля функционального состояния работников ОАО “РЖД” будет способствовать повышению качества и эффективности работы на железнодорожном транспорте, снижению профессиональной заболеваемости и рациональному использованию трудовых ресурсов. Предложенный системный подход, разработанный на примере РЖД, может быть использован для контроля трудоспособности и профессионального долголетия в других организациях, где работники подвержены повышенным стрессовым нагрузкам.
Финансирование работы. Исследование выполнено за счет РНФ (грант № 23-25-10039), https://rscf.ru/project/23-25-10039/ совместно с Красноярским краевым фондом науки (Красноярский край).
Соблюдение этических стандартов. Все исследования проводились в соответствии с принципами биомедицинской этики, изложенными в Хельсинкской декларации 1964 г. и последующих поправках к ней. Они также были одобрены локальным этическим комитетом Сибирского федерального университета (Красноярск), протокол № 5 от 11.11.2019 г.
Каждый участник исследования дал добровольное письменное информированное согласие после получения разъяснений о потенциальных рисках и преимуществах, а также о характере предстоящего исследования.
Конфликт интересов. Авторы данной работы заявляют, что у них нет конфликта интересов.
Благодарности. Авторы выражают благодарность сотрудникам Красноярской железной дороги— филиала ОАО “РЖД” за помощь в проведении экспериментальной части и предоставленные данные.
Данная разработка проведена в рамках соглашения о сотрудничестве по долгосрочной программе развития Российских железных дорог и нацпроектах между ОАО “РЖД” и “СФУ”.
Вклад авторов в публикацию. Г.В. Жукова, О.С. Сутормин, Л.В. Степанова, В.А. Кратасюк – анализ и обобщение результатов исследования, работа с текстом рукописи. Г.В. Жукова – создание модели исследования, планирование исследований, сбор и систематизация данных. О.С. Сутормин – анализ и обобщение данных литературы, сбор данных литературы. Л.В. Степанова – проведение экспериментального исследования. В.А. Кратасюк – обоснование концепции исследования (формулирование идеи, исследовательских целей и задач), разработка методологии исследования.
About the authors
G. V. Zhukova
Siberian Federal University
Author for correspondence.
Email: gvivanova@sfu-kras.ru
Russian Federation, Krasnoyarsk
O. S. Sutormin
Siberian Federal University; Surgut State University
Email: gvivanova@sfu-kras.ru
Russian Federation, Krasnoyarsk; Surgut
L. V. Stepanova
Siberian Federal University
Email: gvivanova@sfu-kras.ru
Russian Federation, Krasnoyarsk
V. A. Kratasyuk
Siberian Federal University; Surgut State University; Institute of Biophysics of the Siberian Branch of the RAS
Email: gvivanova@sfu-kras.ru
Russian Federation, Krasnoyarsk; Surgut; Krasnoyarsk
References
- Vetter C., Dashti H.S., Lane J.M. et al. Night shift work, genetic risk, and type 2 diabetes in the UK Biobank // Diabetes Care. 2018. V. 41. № 4. P. 762.
- Shan Z., Li Y., Zong G. et al. Rotating night shift work and adherence to unhealthy lifestyle in predicting risk of type 2 diabetes: Results from two large US cohorts of female nurses // BMJ. 2018. V. 363. P. k4641.
- Karasek R., Brisson C., Kawakami N. et al. The Job Content Questionnaire (JCQ): An instrument for internationally comparative assessments of psychosocial job characteristics // J. Occup. Health Psychol. 1998. V. 3. № 4. P. 322.
- Siegrist J. Adverse health effects of high-effort/low-reward conditions // J. Occup. Health Psychol. 1996. V. 1. № 1. P. 27.
- Streckfus C., Bigler L. Saliva as a diagnostic fluid // Oral Dis. 2002. V. 8. № 2. P. 69.
- Marvin R.K., Saepoo M.B., Ye S. et al. Salivary protein changes in response to acute stress in medical residents performing advanced clinical simulations: A pilot proteomics study // Biomarkers. 2017. V. 22. № 3—4. P. 372.
- Henckens M.J.A.G., Klumpers F., Everaerd D. et al. Interindividual differences in stress sensitivity: Basal and stress-induced cortisol levels differentially predict neural vigilance processing under stress // Soc. Cogn. Affect. Neurosci. 2016. V. 11. № 4. P. 663.
- Birditt K.S., Tighe L.A., Nevitt M.R., Zarit S.H. Daily social interactions and the biological stress response: Are there age differences in links between social interactions and alpha-amylase? // Gerontologist. 2018. V. 58. № 6. P. 1114.
- Sarf E., Bel’skaya L. [Assessing the level of psycho-emotional stress in students using biochemical analysis of saliva] // Science for Education Today. 2023. V. 13. № 4. Р. 218.
- Bel’skaya L., Kosenok V., Sarf E. Chronophysiological features of the normal mineral composition of human saliva // Arch. Oral Biology. 2017. V. 82. Р. 286.
- Briguglio G., Teodoro M., Italia S. et al. Salivary biomarkers and work-related stress in night shift workers // Int. J. Environ. Res. Public Health. 2021. V. 18. № 6. P. 3184.
- Feijen S., Tate A., Kuppens K. et al. Monitoring the swimmer’s training load: A narrative review of monitoring strategies applied in research // Scand. J. Med. Sci. Sports. 2020. V. 30. № 11. Р. 2037.
- Maina G., Bovenzi M., Palmas A., Larese Filon F. Associations between two job stress models and measures of salivary cortisol // Int. Arch. Occup. Environ. Health. 2009. V. 82. № 9. P. 1141.
- Bellingrath S., Weigl T., Kudielka B.M. Cortisol dysregulation in school teachers in relation to burnout, vital exhaustion, and effort-reward-imbalance // Biol. Psychol. 2008. V. 78. № 1. P. 104.
- Ota A., Mase J., Howteerakul N. et al. The Effort-reward Imbalance work-stress model and daytime salivary cortisol and dehydroepiandrosterone (DHEA) among Japanese women // Sci. Rep. 2015. V. 4. P. 6402.
- Kolosova E.M., Sutormin O.S., Shpedt A.A. et al. Bioluminescent-inhibition-based biosensor for full-profile soil contamination assessment // Biosensors. 2022. V. 12. № 5. P. 353.
- Esimbekova E.N., Torgashina I.G., Kalyabina V.P., Kratasyuk V.A. [Enzymatic biotesting: Scientific basis and application] // Contemp. Probl. Ecol. 2021. V. 14. № 3. P. 290.
- Kratasyuk V.A., Stepanova L.V., Ranjan R. et al. A noninvasive and qualitative bioluminescent assay for express diagnostics of athletes’ responses to physical exertion // Luminescence. 2020. V. 36. № 2. P. 384.
- Zhukova G.V., Sutormin O.S., Sukovataya I.E. et al. Bioluminescent-triple-enzyme-based biosensor with lactate dehydrogenase for non-invasive training load monitoring // Sensors. 2023. V. 23. № 5. P. 2865.
- Khramov V.A., Savin G.A. [A simple method for determining lactate in biological fluids] // Hygiene and Sanitation. 1995. № 4. Р. 52.
- Bel’skaya L.V., Sarf E.A., Kosenok V.K. [Saliva biochemistry: Research methods]. Methodological guide. Omsk, 2015. P. 70.
- Volchegorskiĭ I.A., Nalimov A.G., Iarovinskiĭ B.G., Lifshits R.I. [Comparison of various approaches to the determination of the products of lipid peroxidation in heptane-isopropanol extracts of blood] // Problems of Medical Chemistry. 1989. V. 35. № 1. P. 127.
- Bel’skaya L.V. [Application of capillary electrophoresis to determine the mineral composition of human saliva] // Bulletin of Science and Practice. 2017. № 2. P. 132.
- Vyshedko A.M., Stepanova L.V., Kolenchukova O.A., Kratasyuk V.A. [Benefits of biophysical tests of saliva for athletic functionality rating tests] // Teor. Prak. Fiz. Kult. 2019. № 7. P. 22.
- Mandra Yu.V., Kaminskaya L.A., Svetlakova E.N. et al. [Dynamics of changes in the biochemical composition of saliva under the influence of carbohydrate “fast food” products] // Actual Problems in Dentistry. 2016. V. 12. № 4. P. 10.
Supplementary files


