Optical Apparatus of the Eye under Conditions of “Dry” Immersion
- Authors: Gracheva M.A.1,2, Manko O.M.1
-
Affiliations:
- Institute of Biomedical Problems of the RAS
- Institute for Information Transmission Problems (Kharkevich Institute), RAS
- Issue: Vol 50, No 2 (2024)
- Pages: 94-100
- Section: Articles
- URL: https://bakhtiniada.ru/0131-1646/article/view/260389
- DOI: https://doi.org/10.31857/S0131164624020081
- EDN: https://elibrary.ru/EFKQGO
- ID: 260389
Cite item
Full Text
Abstract
The studies of the astronauts’ vision show that after space flight various changes can occur in the visual system: flattening of the eyeball, optic disc edema, hyperopic refractive shift, and others. The mechanisms of those changes are being actively studied. Among model experiments simulating aggressive factors of space flight, experiments on modeling microgravity in conditions of “dry” immersion seem to be one of the most promising in terms of studying eye changes. The aim: to evaluate the prospects of using “dry” immersion as a model for studying intraocular changes in space flight conditions. The paper presents data on the evaluation of the eye condition of the test subjects after being in the immersion bath for 5 days (10 subjects) and 21 days (6 subjects). Refraction and dynamic accommodation were evaluated in all subjects using an autorefkeratometer Righton Speedy-i k-model with dynamic accommodation assessment function. The refraction data showed a trend toward a positive refractive shift of 0.11 diopters on average for 5 days of immersion (confidence interval (–0.06)–(+0.28)) and 0.29 diopters for 21 days of immersion (c.i. (–0.28)–(+0.86)); no statistical significance of the differences was confirmed, which may be due to the small number of subjects and the limited power of the statistical criterion. However, the trend requires further investigation. A significant individual variation was shown in the results of accommodation assessment. Preliminary data suggest that “dry” immersion may be a promising model for studying the effects of reduced gravity on the human visual system. Further studies are needed.
Full Text
Исследование космоса является одним из приоритетных направлений современной науки, и большинство исследовательских задач этой области не могут решаться без прямого участия человека. Увеличение длительности космических полетов (КП) и перспективы дальних космических экспедиций на Луну и Марс ставят новые задачи перед специалистами из области космической биологии и медицины. Ключевым приоритетом является сохранение жизни, снижение рисков травм и нарушений здоровья, поддержание работоспособности космонавтов.
Одна из актуальных тем исследования в космической медицине в настоящее время — исследование влияния КП на зрение человека. Впервые об этой проблеме активно заговорили в 2011 г. [1], когда были опубликованы первые данные о возникновении ассоциированного с КП нейро- окулярного синдрома (space associated neuro-ocular syndrome) – синдрома SANS.
На данный момент нет единого мнения ни о механизмах возникновения зрительных нарушений, ни о методах их профилактики или восстановления зрения после их возникновения, ни об их обратимости, ни о том, кто именно из космонавтов особенно подвержен таким изменениям (т.е. кто попадает в группу риска). Все эти вопросы являются актуальными направлениями исследования. При этом нарушение зрительных функций может существенно влиять на работоспособность высококвалифицированного персонала, поэтому требует тщательного контроля.
Основными симптомами SANS являются отек диска зрительного нерва, уплощение глазного яблока, появление хориоретинальных складок и ватообразных очагов, а также гиперметропический сдвиг рефракции и ухудшение зрения вблизи [2–4].
В ряде публикаций космического агентства NASA упоминается, что гиперметропический сдвиг рефракции может достигать 1.5 диоптрии после 6 мес. полета [1], что может существенно влиять на работоспособность на близком расстоянии наблюдения. По данным субъективного опроса, проведенного NASA среди 300 астронавтов, почти 50% участников длительных полетов и 23% участников краткосрочных полетов отметили ухудшение зрения вблизи в качестве заметного симптома [1]. Некоторые авторы предполагают, что гиперметропический сдвиг может быть ассоциирован с уплощением глазного яблока. Однако данные исследований показывают, что уплощение обычно происходит в зоне диска зрительного нерва, а не в зоне фовеа [5, 6].
Помимо описанных в литературе объективных сдвигов в сторону положительной (гиперметропической) рефракции, существуют также данные о субъективных жалобах космонавтов на ухудшение зрения вблизи. При этом зрение вблизи может зависеть не только от рефракции испытуемого, но и от его аккомодационной функции. Известно, что аккомодация с возрастом ухудшается, и часто оказывается существенно сниженной у лиц от 45 лет [7]. Учитывая, что возраст многих космонавтов превышает 35 лет, важно оценивать для исследований эффектов SANS не только рефракцию, но и динамику аккомодационной функции.
Исследования нарушений зрительных функций у космонавтов имеют ряд ограничений. Во-первых, это всегда небольшая выборка, ведь экипажи космического корабля имеют малый размер. Во-вторых, индивидуальная вариабельность испытуемых может быть очень существенной: испытуемые могут иметь разный возраст, нагрузку, длительность полета и др. В-третьих, космонавты, как правило, не расположены сообщать о начальных проблемах со здоровьем, т.е. отследить начало патологического процесса может быть проблематично.
Для исследования влияния факторов КП на организм человека успешно используются наземные модельные эксперименты. В число таких экспериментов входят изоляционные эксперименты (“Сириус”, “Марс-500” и другие), эксперименты по антиортостатической гипокинезии, эксперименты с использованием “сухой” иммерсии. Например, в ряде работ было показано, что эксперименты по антиортостатической гипокинезии могут успешно моделировать SANS-подобные эффекты [6, 8–11] и могут использоваться как для исследования механизмов, так и для изучения перспективных средств профилактики SANS.
В российской космической медицине помимо экспериментов по антиортостатической гипокинезии активно используются эксперименты в условиях “сухой” иммерсии [12]. Впервые “сухая” иммерсия была предложена в СССР, в Институте медико-биологических проблем (г. Москва) [13, 14]. В настоящее время российские экспериментальные стенды по-прежнему остаются уникальными: мало где в мире проводятся эксперименты в таких условиях. В экспериментах по “сухой” иммерсии испытуемый погружается в ванну с теплой водой, но поверхность воды покрыта водонепроницаемой пленкой большой площади, т.е. кожа испытателя не контактирует с жидкостью. Таким образом, создается безопорная среда, осевая разгрузка и условия гипокинезии. Показано, что “сухая” иммерсия может моделировать ряд эффектов, возникающих в ходе КП [15, 16]. Однако исследования зрительных функций человека в рамках модельных экспериментов по “сухой” иммерсии до сих пор проводились очень ограниченно.
Цель настоящего исследования — оценить рефракцию и аккомодацию глаза до и после нахождения испытателей в “сухой” иммерсии; оценить перспективность “сухой” иммерсии как модели для исследования ассоциированного с КП нейро-окулярного синдрома (SANS-синдрома).
МЕТОДИКА
“Сухая” иммерсия. Эксперимент “сухая” иммерсия проводили на специализированном экспериментальном стенде в Институте медико-биологических проблем РАН (г. Москва). Стенд представляет собой специальную ванну с теплой водой, в которой поверхность воды покрыта водонепроницаемой пленкой большой площади. При помещении в ванну испытатель погружается в объем жидкости, но при этом кожные покровы не соприкасаются с влагой. Таким образом, создаются условия осевой разгрузки. В течение всего времени эксперимента испытуемые находятся в ванне, кроме 15 мин в день, зарезервированных для гигиенических процедур.
В работе рассматриваются данные двух экспериментов по “сухой” иммерсии испытателей с разной длительностью иммерсии: 5 дней и 21 день.
Испытуемые. В эксперименте по 5-дневной “сухой” иммерсии были получены данные 10 испытателей мужчин в возрасте 25–45 лет. В эксперименте по 21-дневной сухой иммерсии были получены данные для 6 испытателей мужчин в возрасте 25–35 лет.
Методы измерения. Для оценки влияния экспериментальных условий “сухой” иммерсии на оптический аппарат глаза использовали авторефкератометр Righton Speedy-i k-model (Япония) с функцией аккомодографии. В начале измерения оценивали рефракцию каждого глаза отдельно, без циклоплегии, затем, методом оптического увеличения аккомодационной нагрузки, оценивали коэффициент аккомодационного ответа и частоту микрофлуктуаций аккомодации, также для каждого глаза отдельно. Оценки авторефкератометром проводили однократно до погружения в “сухую” иммерсию и однократно после выхода из эксперимента. У одного испытуемого из группы 21-дневной иммерсии оценка аккомодации была повторно проведена через пять дней после выемки из иммерсионной среды. Для количественной оценки данных оценивали сфероэквивалент рефракции (СЭР) по формуле [17]:
(1)
где Sph — сферический компонент рефракции, Cyl — цилиндрический компонент рефракции (независимо от угла оси цилиндрического компонента). Для сравнения полученных данных использовали средние значения и доверительные интервалы, медианы распределений, а также критерии сравнения средних.
РЕЗУЛЬТАТЫ ИССЛЕДОВАНИЯ
Оценка рефракции. Результаты оценки рефракции для двух групп испытуемых представлены в табл. 1 и на рис. 1.
Таблица 1. Изменения показателей рефракции в двух экспериментах по “сухой” иммерсии
Статистика | 5-дневная иммерсия | 21-дневная иммерсия |
Разность медиан после и до иммерсии, диоптрии | 0.19 | 0.24 |
Среднее изменение рефракции после иммерсии, диоптрии | 0.11 | 0.29 |
Доверительный интервал среднего изменения, диоптрии | (–0.06) (+0.28) | (–0.28)(+0.86) |
Рис. 1. Данные оценки рефракции до и после иммерсии в двух экспериментах: 5-дневной и 21-дневной “сухих” иммерсиях.
Распределение данных для обоих экспериментов не отличается от нормального (тест Колмогорова-Смирнова, p = 0.2, p = 0.2, p = 0.08, p = 0.09 для 5 дней до, 5 дней после, 21 дня до, 21 дня после, соответственно).
При рассмотрении графиков на рис. 1 можно видеть, что после иммерсии медианы распределений имеют смещение в сторону положительной (гиперметропической) рефракции, аналогично подобным смещениям после КП. Та же динамика видна и при оценке средних значений распределений (табл. 1). Однако сравнение средних не выявило значимых различий распределения ни в 5-дневной (p > 0.05), ни в 21-дневной иммерсии (p > 0.05), что может быть связано также с недостаточной мощностью критерия из-за малых размеров выборок и малой величины эффекта.
Точками представлены данные индивидуальных измерений; горизонтальными линиями представлены медианы распределений.
Для более точных оценок наличия и величины данного смещения в условиях “сухой” иммерсии требуются дополнительные исследования.
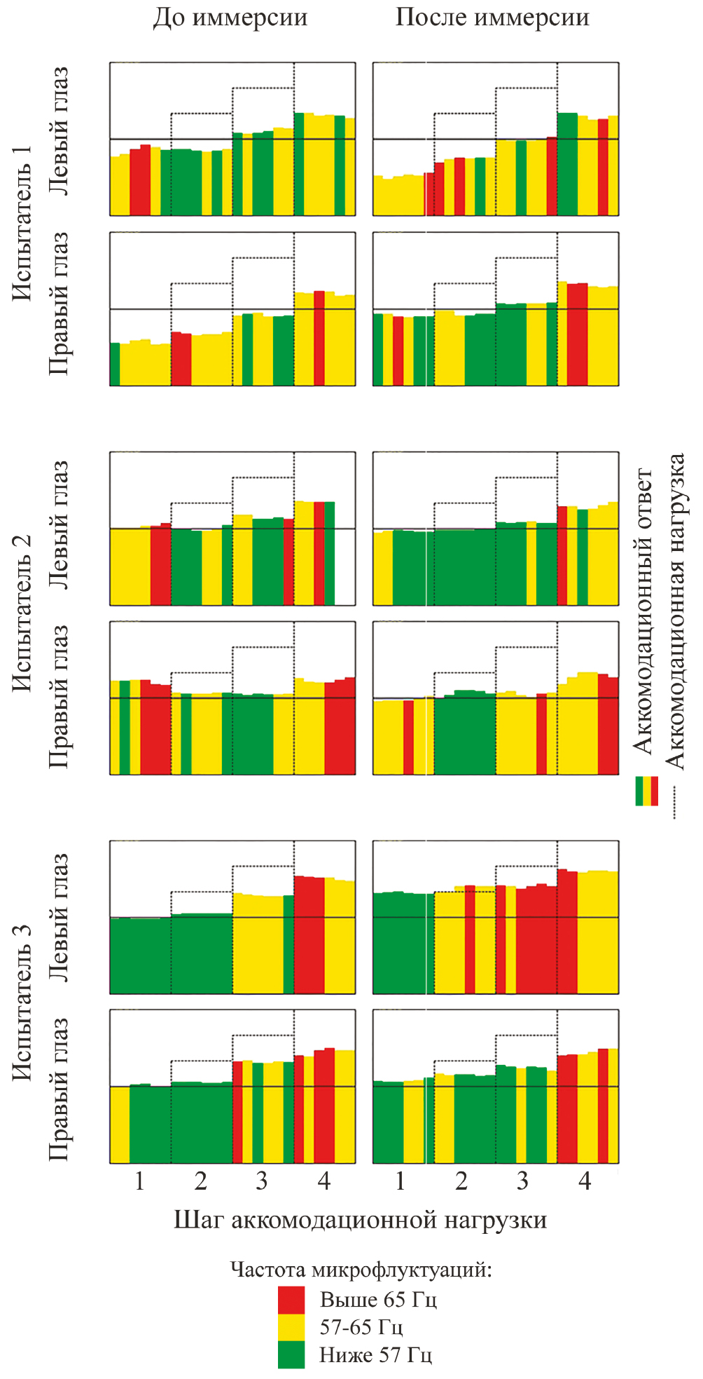
Оценка аккомодации. Оценка аккомодации проводилась для показателей аккомодационного ответа и частоты микрофлуктуаций аккомодации. В обоих экспериментах мы не обнаружили значимых изменений показателей для большинства испытателей. На рис. 2 приведены примеры типичных аккомодограмм для трех испытателей из эксперимента по 21-дневной иммерсии. Из рис. 2 видно, что как аккомодационный ответ, так и спектр микрофлуктуаций до и после иммерсии близки. (Важно понимать, что аккомодационный ответ в данном типе тестов никогда не достигает уровня аккомодационной нагрузки, обозначенной пунктирной линией; этот эффект называется accommodation lag и присутствует даже у здоровых испытателей с хорошей аккомодационной функцией).
Рис. 2. Данные оценки динамики аккомодационной функции у трех испытателей из группы 21-дневной иммерсии.
Пунктирные столбцы отражают аккомодационную нагрузку, задаваемую прибором (в измерении было 4 ступени нагрузки). Высота сплошных столбцов отражает аккомодационный ответ глаза на нагрузку. Цвет сплошных столбцов отражает частоту микрофлуктуаций. Для всех трех испытателей выраженных изменений после пребывания в иммерсионной среде не выявлено.
Для одного испытуемого аккомодограмма после иммерсии существенно изменилась (рис. 3). Из рис. 3 видно, что не только спектр частот микрофлуктуаций оказался значительно выше, но и аккомодационный ответ на нагрузку растет немонотонно (на графике для правого глаза в первый день после иммерсии имеются выраженные пики). Оценка аккомодации через пять дней после иммерсии показывает лучшую динамику аккомодационного ответа (нет патологических пиков в ответ на нагрузку), однако спектр микрофлуктуаций аккомодации по-прежнему имеет больше высокочастотных компонент, чем спектр до иммерсии. Это может говорить об остаточном напряжении аккомодации и о неполном восстановлении зрительной системы спустя пять дней после выхода испытателя из иммерсии.
Рис. 3. Данные оценки динамики аккомодационной функции у одного испытателя из группы 21-дневной иммерсии до иммерсии, в первый день после выемки из иммерсионной среды и в пятый день после выемки из иммерсионной среды. Обозначения см. рис. 2.
ОБСУЖДЕНИЕ РЕЗУЛЬТАТОВ
В исследовании оценивались рефракция глаза и аккомодационная функция глаза для двух групп испытуемых, принимавших участие в экспериментах по “сухой” иммерсии длительностью 5 дней и 21 день. Полученные в обоих экспериментах данные хорошо согласуются между собой: несмотря на то, что мы не смогли обнаружить статистически значимых различий, в обеих выборках наблюдается тенденция к гиперметропическому сдвигу рефракции, аналогично тому, как это происходит в условиях КП. Однако для подтверждения и уточнения показанных эффектов требуются дополнительные исследования.
В одной из первых же публикаций, подробно освещающих возникновение зрительных нарушений после КП, авторы упоминают возможное влияние аккомодационной функции на снижение качества зрения вблизи, а также высказывают предположения о возможной связи этих нарушений с возрастом испытателей [1]. Однако до сих пор существует очень мало данных об исследовании аккомодационной функции в КП или в модельных экспериментах. В данной работе была проведена оценка динамической аккомодации испытателей до и после нахождения в иммерсионной среде. Значимого влияния эксперимента на аккомодационную функцию выявлено не было, хотя была существенная индивидуальная вариабельность результатов. Для одного испытуемого показатели микрофлуктуаций аккомодации оказались выше после эксперимента, что может говорить о спазме или повышенном напряжении аккомодации.
Несмотря на то, что наземные модельные эксперименты (например, “сухая” иммерсия) дают более широкие возможности исследовать физиологию человека, чем исследования в КП, тем не менее, и в рамках подобных экспериментов существует множество ограничений. Поэтому важно представить полученные данные, так как они могут быть свидетельством перспективности “сухой” иммерсии для моделирования и исследования синдрома SANS.
ЗАКЛЮЧЕНИЕ
В настоящей работе получены данные рефракции и аккомодации глаза у испытателей в 5-дневной и 21-дневной “сухой” иммерсии. Показано, что данные рефракции имеют тенденцию к гиперметропическому сдвигу, аналогично сдвигу, обнаруживаемому у космонавтов после КП. По показателям аккомодации до и после иммерсии различия были обнаружены только для одного испытателя.
Предварительные данные позволяют предположить, что “сухая” иммерсия может оказаться перспективной моделью для изучения влияния сниженной гравитации на зрительный аппарат. Для уточнения возможных эффектов требуются дополнительные исследования.
Изучение факторов, способных влиять на организм человека в длительных КП, тестирование методов профилактики нарушений и выявление групп риска среди членов экипажа является важной задачей космической медицины. Исследование зрительных функций является важнейшим направлением в данной области, так как зрение может существенно влиять и на качество жизни, и на работоспособность космонавтов.
Финансирование работы. Исследование выполнено при финансовой поддержке в рамках научной темы ИМБП РАН FVFR-2024-0034 (1023022700092-0-3.1.4;3.1.9;5.1.1) и в рамках государственного задания ИППИ РАН (НИОКТР Тема № 1.2.1-0028/24, регистрационный номер 1021061609839-4-1.2.1;1.6.23 от 18 апреля 2023 г.).
Соблюдение этических стандартов. Все исследования проводились в соответствии с принципами биомедицинской этики, изложенными в Хельсинкской декларации 1964 г. и последующих поправках к ней. Они также были одобрены локальным этическим комитетом ИМБП РАН (Москва), протоколы № 483 от 03.08.2018 г. и № 471 от 15.03 2018 г.
Информированное согласие. Каждый участник исследования представил добровольное письменное информированное согласие, подписанное им после разъяснения ему потенциальных рисков и преимуществ, а также характера предстоящего исследования.
Конфликт интересов. Авторы декларируют отсутствие явных и потенциальных конфликтов интересов, связанных с публикацией данной статьи.
Благодарности. Авторы выражают благодарность сотрудникам ИМБП РАН, организовавшим и круглосуточно поддерживавшим сложные иммерсионные эксперименты, а также испытуемым, принимавшим участие в обоих экспериментах.
Вклад авторов в публикацию. Авторы в равной степени внесли вклад в сбор материала, организацию исследования, обзор литературы и написание текста статьи
About the authors
M. A. Gracheva
Institute of Biomedical Problems of the RAS; Institute for Information Transmission Problems (Kharkevich Institute), RAS
Author for correspondence.
Email: mg.iitp@gmail.com
Russian Federation, Moscow; Moscow
O. M. Manko
Institute of Biomedical Problems of the RAS
Email: mg.iitp@gmail.com
Russian Federation, Moscow
References
- Mader T.H., Gibson C.R., Pass A.F. et al. Optic disc edema, globe flattening, choroidal folds, and hyperopic shifts observed in astronauts after long-duration space flight // Ophthalmology. 2011. V. 118. № 10. P. 2058.
- Lee A.G., Mader T.H., Gibson C.R. et al. Space flight-associated neuro-ocular syndrome (SANS) // Eye. 2018. V. 32. № 7. P. 1164.
- Lee A.G., Mader T.H., Gibson C.R. et al. Spaceflight associated neuro-ocular syndrome (SANS) and the neuro-ophthalmologic effects of microgravity: a review and an update // NPJ Microgravity. 2020. V. 6. P. 7.
- Wojcik P., Batliwala S., Rowsey T. et al. Spaceflight-Associated Neuro-ocular Syndrome (SANS): a review of proposed mechanisms and analogs // Expert Rev. Ophthalmol. 2020. V. 15. № 4. P. 249.
- Kramer L.A., Sargsyan A.E., Hasan K.M. et al. Orbital and intracranial effects of microgravity: findings at 3-T MR imaging // Radiology. 2012. V. 263. № 3. P. 819.
- Sater S.H., Natividad G.C., Seiner A.J. et al. MRI-based quantification of posterior ocular globe flattening during 60 days of strict 6° head-down tilt bed rest with and without daily centrifugation // J. Appl. Physiol. 2022. V. 133. № 6. P. 1349.
- [Akkomodatsiya: rukovodstvo dlya vrachei] (Accommodation: A guide for physicians). Ed. Katargina L.A. M.: “Aprel’”, 2012. 136 p.
- Laurie S.S., Macias B.R., Dunn J.T. et al. Optic disc edema after 30 days of strict head-down tilt bed rest // Ophthalmology. 2019. V. 126. № 3. P. 467.
- Laurie S.S., Lee S.M., Macias B.R. et al. Optic disc edema and choroidal engorgement in astronauts during spaceflight and individuals exposed to bed rest // JAMA Ophthalmol. 2020. V. 138. № 2. p. 165.
- Laurie S.S., Greenwald S.H., Pardon G.L.P. et al. Optic disc edema and chorioretinal folds develop during strict 6° head‐down tilt bed rest with or without artificial gravity // Physiol. Rep. 2021. Т. 9. № 15. P. e14977.
- Hargens A.R., Vico L. Long-duration bed rest as an analog to microgravity // J. Appl. Physiol. 2016. V. 120. № 8. P. 891.
- Tomilovskaya E.S., Shigueva T.A., Sayenko D.G. et al. Dry immersion as a ground-based model of microgravity physiological effects // Front. Physiol. 2019. V. 10. P. 284.
- Shulzhenko E.B., Vil-Villiams I.F. [Possibility of long term water immersion performance by the method of “dry” immersion] // Kosm. Biol. Aviakosm. Med. 1976. V. 10. № 9. P. 82.
- Space Physiology and Medicine: From Evidence to Practice. Eds. Nicogossian A.E., Huntoon C.L., Polk J.D., Williams R.S., Doarn C.R., Schneider V.S. New York: Springer, 2016. 509 p.
- Tomilovskaya E.S., Rukavishnikov I.V., Amirova L.E. et al. [21-day dry immersion: design and primary results] // Aviakosm. Ekolog. Med. 2020. V. 54. № 4. P. 5.
- Navasiolava N.M., Custaud M.A., Tomilovskaya E.S. et al. Long-term dry immersion: Review and prospects // Eur. J. Appl. Physiol. 2011. V. 111. № 7. P. 1235.
- Myagkov A.V., Parfenova N.P., Demina E.I. [Rukovodstvo po meditsinskoi optike. Chast’ 1. Osnovy optometrii] (Manual of medical optics. Part 1. Fundamentals of Optometry). M.: “Aprel’”, 2016. 205 p.
Supplementary files




