The Impact of Visual Estimates of Talker-to-Listener Distance on Fundamental Frequency in Noise
- Authors: Lunichkin A.M.1, Gvozdeva A.P.1, Andreeva I.G.1
-
Affiliations:
- Sechenov Institute of Evolutionary Physiology and Biochemistry RAS
- Issue: Vol 49, No 3 (2023)
- Pages: 87-95
- Section: Articles
- URL: https://bakhtiniada.ru/0131-1646/article/view/139819
- DOI: https://doi.org/10.31857/S0131164622600987
- EDN: https://elibrary.ru/GBDNUW
- ID: 139819
Cite item
Full Text
Abstract
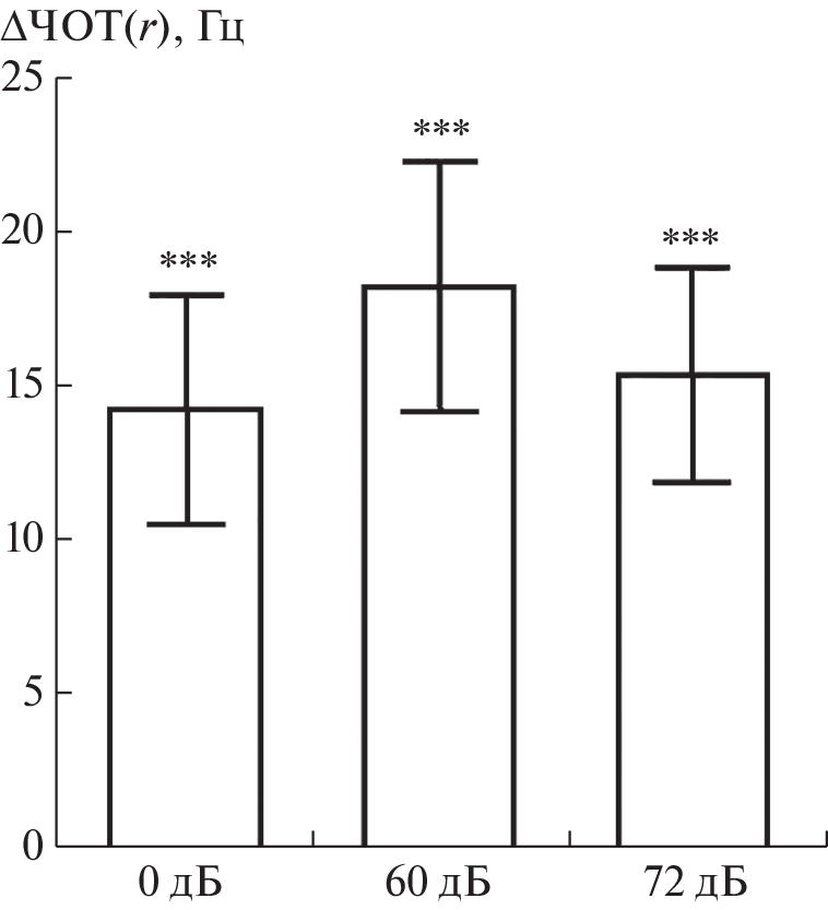
Lombard speech is an involuntary adaptive changes in voicing under the influence of noise. In the current work we examine the relationship between involuntary auditory-speech control, common for the Lombard speech, and voluntary control of phonation which occurs as a result of the visual estimation of the distance to the listener. Fundamental frequencies (F0) were estimated in 9 Russian normally hearing female speakers aged 20–35 years. An increase in F0 was obtained when the communicative conditions became more complex in both increase in surrounding background noise level and growth of talker-to-listener distance cases. In quiet and in noise of 60 and 72 dB the increase in talker-to-listener distance led to F0 increments of 14, 18 and 15 Hz, which did not differ significantly from each other (p > 0.05, n = 288). When the communicative distance held constant, babble noise of different levels led to significantly different values of ΔF0: for 1 m distance – 14 and 32 Hz (p < 0.001, n = 288), and for 4 m – 18 and 33 Hz (p < 0.001, n = 288), respectively. The data obtained evidence independent and additive impact of noise and communicative distance on phonation.
About the authors
A. M. Lunichkin
Sechenov Institute of Evolutionary Physiology and Biochemistry RAS
Author for correspondence.
Email: BolverkDC@mail.ru
Russia, St. Petersburg
A. P. Gvozdeva
Sechenov Institute of Evolutionary Physiology and Biochemistry RAS
Email: BolverkDC@mail.ru
Russia, St. Petersburg
I. G. Andreeva
Sechenov Institute of Evolutionary Physiology and Biochemistry RAS
Email: BolverkDC@mail.ru
Russia, St. Petersburg
References
- Hage S.R., Nieder A. Dual neural network model for the evolution of speech and language // Trends Neurosci. 2016. V. 39. № 12. P. 813.
- Brumm H., Zollinger S.A. The evolution of the Lombard effect: 100 years of psychoacoustic research // Behaviour. 2011. V. 148. № 11–13. P. 1173.
- Luo J., Hage S.R., Moss C.F. The Lombard effect: from acoustics to neural mechanisms // Trends Neurosci. 2018. V. 41. № 12. P. 938.
- Liénard J.S., Di Benedetto M.G. Effect of vocal effort on spectral properties of vowels // J. Acoust. Soc. Am. 1999. V. 106. № 1. P. 411.
- Traunmüller H., Eriksson A. Acoustic effects of variation in vocal effort by men, women, and children // J. Acoust. Soc. Am. 2000. V. 107. № 6. P. 3438.
- Koenig L.L., Fuchs S. Vowel formants in normal and loud speech // J. Speech Lang. Hear. Res. 2019. V. 62. № 5. P. 1278.
- Nonaka S., Takahashi R., Enomoto K. et al. Lombard reflex during PAG-induced vocalization in decerebrate cats // Neurosci. Res. 1997. V. 29. № 4. P. 283.
- Hage S.R., Jürgens U., Ehret G. Audio–vocal interaction in the pontine brainstem during self-initiated vocalization in the squirrel monkey // Eur. J. Neurosci. 2006. V. 23. № 12. P. 3297.
- Garnier M., Henrich N., Dubois D. Influence of Sound Immersion and Communicative Interaction on the Lombard Effect // J. Speech Lang. Hear. Res. 2010. V. 53. № 3. P. 588.
- Pick H.L., Jr., Siegel G.M., Fox P.W. et al. Inhibiting the Lombard effect // J. Acoust. Soc. Am. 1989. V. 85. № 2. P. 894.
- Therrien A.S., Lyons J., Balasubramaniam R. Sensory attenuation of self-produced feedback: the Lombard effect revisited // PLoS One. 2012. V. 7. № 11. P. e49370.
- Tonkinson S. The Lombard effect in choral singing // J. Voice. 1994. V. 8. № 1. P. 24.
- Bottalico P., Graetzer S., Hunter E.J. Effect of training and level of external auditory feedback on the singing voice: volume and quality // J. Voice. 2016. V. 30. № 4. P. 434.
- Weisser A., Miles K., Richardson M.J., Buchholz J.M. Conversational distance adaptation in noise and its effect on signal-to-noise ratio in realistic listening environments // J. Acoust. Soc. Am. 2021. V. 149. № 4. P. 2896.
- Fux T., Feng G., Zimpfer V. Talker-to-listener distance effects on the variations of the intensity and the fundamental frequency of speech / 2011 IEEE International Conference on Acoustics, Speech and Signal Processing (ICASSP), May 22–27, 2011. P. 4964.
- Hage S.R., Jürgens U. On the role of the pontine brainstem in vocal pattern generation: a telemetric single-unit recording study in the squirrel monkey // J. Neurosci. 2006. V. 26. № 26. P. 7105.
- Pieper F., Jürgens U. Neuronal activity in the inferior colliculus and bordering structures during vocalization in the squirrel monkey // Brain Res. 2003. V. 979. № 1–2. P. 153.
- Pelegrín-García D., Smits B., Brunskog J., Jeong C.H. Vocal effort with changing talker-to-listener distance in different acoustic environments // J. Acoust. Soc. Am. 2011. V. 129. № 4. P. 1981.
- Keith R.W. Development and standardization of SCAN-C Test for Auditory Processing Disorders in Children // J. Acoust. Soc. Am. 2000. V. 11. № 8. P. 438.
- Andreeva I.G., Dymnikowa M., Gvozdeva A.P. et al. Spatial separation benefit for speech detection in multi-talker babble-noise with different egocentric distances // Acta. Acust. United Acust . 2019. V. 105. № 3. P. 484.
- Marks L.E. Binaural summation of loudness: Noise and two-tone complexes // Percept. Psychophys. 1980. V. 27. № 6. P. 489.
- Coleman P.D. An analysis of cues to auditory depth perception in free space // Psychol. Bull. 1963. V. 60. № 3. P. 302.
- Shih C., Lu H.Y.D. Effects of talker-to-listener distance on tone // J. Phon. 2015. V. 51. P. 6.
- Cheyne H.A., Kalgaonkar K., Clements M., Zurek P. Talker-to-listener distance effects on speech production and perception // J. Acoust. Soc. Am. 2009. V. 126. № 4. P. 2052.
- Meekings S., Evans S., Lavan N. et al. Distinct neural systems recruited when speech production is modulated by different masking sounds // J. Acoust. Soc. Am. 2016. V. 140. № 1. P. 8.
- Meekings S., Scott S.K. Error in the Superior Temporal Gyrus? A Systematic Review and Activation Likelihood Estimation Meta-Analysis of Speech Production Studies // J. Cogn. Neurosci. 2021. V. 33. № 3. P. 422.
Supplementary files






