Speech Understanding in Primary Schoolchildren with Autism Spectrum Disorders and Its Relationship with EEG Characteristics. Part I
- Authors: Davydova E.Y.1,2, Salimova K.R.1, Davydov D.V.1, Pereverzeva D.S.1, Mamokhina U.A.1, Danilina K.K.1, Tyushkevich S.A.1, Gorbachevskaya N.L.1
-
Affiliations:
- Federal Resource Center for Comprehensive Support for Children with Autism Spectrum Disorders
- Moscow State University of Psychology and Education
- Issue: Vol 49, No 3 (2023)
- Pages: 23-33
- Section: Articles
- URL: https://bakhtiniada.ru/0131-1646/article/view/139801
- DOI: https://doi.org/10.31857/S0131164622600860
- EDN: https://elibrary.ru/GDDUAN
- ID: 139801
Cite item
Full Text
Abstract
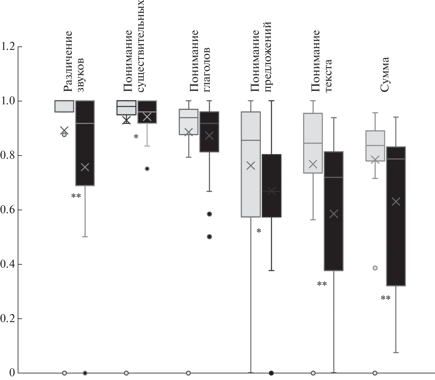
The article discussed ASD heterogeneity in terms of the severity of autistic manifestations, cognitive and speech abilities in children with different levels of functioning. We present results of a study of speech understanding at the level of phonology, vocabulary, morphosyntax and discourse in primary schoolchildren with ASD. The study revealed correlations between the severity of autistic manifestations of a socio-communicative nature and non-verbal IQ with various aspects of speech understanding. Comparison of the correlations in the subgroups of children with different levels of functioning revealed differences between the subgroups, indicating different mechanisms of disorders. The differences of the spectral characteristics of the EEG in children with ASD compared with the age norm, and characteristics in the studied subgroups are shown. We revealed differences in EEG spectral characteristics between subgroups with ASD with different levels of functioning: the subgroup with less pronounced disorders is characterized by a higher index of β2-activity, while the subgroup with more pronounced disorders – by a higher index of slow-wave activity.
About the authors
E. Yu. Davydova
Federal Resource Center for Comprehensive Support for Children with Autism Spectrum Disorders; Moscow State University of Psychology and Education
Email: salimovakr@mgppu.ru
Russia, Moscow; Russia, Moscow
K. R. Salimova
Federal Resource Center for Comprehensive Support for Children with Autism Spectrum Disorders
Author for correspondence.
Email: salimovakr@mgppu.ru
Russia, Moscow
D. V. Davydov
Federal Resource Center for Comprehensive Support for Children with Autism Spectrum Disorders
Email: salimovakr@mgppu.ru
Russia, Moscow
D. S. Pereverzeva
Federal Resource Center for Comprehensive Support for Children with Autism Spectrum Disorders
Email: salimovakr@mgppu.ru
Russia, Moscow
U. A. Mamokhina
Federal Resource Center for Comprehensive Support for Children with Autism Spectrum Disorders
Email: salimovakr@mgppu.ru
Russia, Moscow
K. K. Danilina
Federal Resource Center for Comprehensive Support for Children with Autism Spectrum Disorders
Email: salimovakr@mgppu.ru
Russia, Moscow
S. A. Tyushkevich
Federal Resource Center for Comprehensive Support for Children with Autism Spectrum Disorders
Email: salimovakr@mgppu.ru
Russia, Moscow
N. L. Gorbachevskaya
Federal Resource Center for Comprehensive Support for Children with Autism Spectrum Disorders
Email: salimovakr@mgppu.ru
Russia, Moscow
References
- Levy S.E., Giarelli E., Lee L.C. et al. Autism spectrum disorder and co-occurring developmental, psychiatric, and medical conditions among children in multiple populations of the United States // J. Dev. Behav. Pediatr. 2010. V. 31. № 4. P. 267.
- Norrelgen F., Fernell E., Eriksson M. et al. Children with autism spectrum disorders who do not develop phrase speech in the preschool years // Autism. 2015. V. 19. № 8. P. 934.
- Tager-Flusberg H., Kasari C. Minimally verbal school-aged children with autism spectrum disorder: the neglected end of the spectrum // Autism Res. 2013. V. 6. № 6. P. 468.
- Su P.L., Rogers S.J., Estes A., Yoder P. The role of early social motivation in explaining variability in functional language in toddlers with autism spectrum disorder // Autism. 2020. V. 25. № 1. P. 244.
- Weismer E.S, Lord C., Esler A. Early language patterns of toddlers on the autism spectrum compared to toddlers with developmental delay // J. Autism Dev. Disord. 2010. V. 40. № 10. P. 1259.
- Thurm A., Manwaring S.S., Swineford L., Farmer C. Longitudinal study of symptom severity and language in minimally verbal children with autism // J. Child Psychol. Psychiatry. 2015. V. 56. № 1. P. 97.
- Broome K., McCabe P., Docking K. et al. Speech Abilities in a Heterogeneous Group of Children With Autism // J. Speech Lang. Hear. Res. 2021. V. 64. № 12. P. 4599.
- Charman T., Taylor E., Drew A. et al. Outcome at 7 years of children diagnosed with autism at age 2: Predictive validity of assessments conducted at 2 and 3 years of age and pattern of symptom change over time // J. Child Psychol. Psychiatry. 2005. V. 46. № 5. P. 500.
- Skwerer D., Jordan S.E., Brukilacchio B.H., Tager-Flusberg H. Comparing methods for assessing receptive language skills in minimally verbal children and adolescents with autism spectrum disorders // Autism. 2016. V. 20. № 5. P. 591.
- Gernsbacher M.A., Morson E.M., Grace E.J. Language development in autism / Neurobiology Language. Publisher: Elsevier, 2015. P. 879.
- Goodwin A., Fein D., Naigles L.R. Comprehension of wh-questions precedes their production in typical development and autism spectrum disorders // Autism Res. 2012. V. 5. № 2. P. 109.
- Виноградова К.Н. Речь и коммуникация при расстройствах аутистического спектра // Аутизм и нарушения развития. 2015. Т. 47. № 2. С. 17.
- Key A.P., D’Ambrose S.K. Speech Processing in Autism Spectrum Disorder: An Integrative Review of Auditory Neurophysiology Findings // J. Speech Lang. Hear. Res. 2021. V. 64. № 11. P. 4192.
- Möttönen R, Adank P., Skipper J.I. Sensorimotor Speech Processing: A Brief Introduction to the Special Issue // Brain Lang. 2018. V. 187. P. 18.
- Saltuklaroglu T., Bowers A., Harkrider A.W. et al. EEG mu rhythms: Rich sources of sensorimotor information in speech processing // Brain Lang. 2018. V. 187. P. 41.
- Мамохина У.А. Особенности речи при расстройствах аутистического спектра // Аутизм и нарушения развития. 2017. Т. 15. № 3. С. 24.
- Салимова К.Р. Нейрофизиологические корреляты нарушения развития при расстройствах аутистического спектра (РАС) // Успехи современной биологии. 2021. Т. 141. № 6. С. 557. Salimova K.R. [Neurophysiological correlates of impared development in autism spectrum disorders (ASD)] // Uspehi Sovremennoi Biologii. 2021. V. 141. № 6. P. 557.
- Xiao Y., Wen T.H., Kupis L. et al. Neural responses to affective speech, including motherese, map onto clinical and social eye tracking profiles in toddlers with ASD // Nat. Hum. Behav. 2022. V. 6. № 3. P. 443.
- Kujala T., Lepistö T., Näätänen R. The neural basis of aberrant speech and audition in autism spectrum disorders // Neurosci. Biobehav. Rev. 2013. V. 37. № 4. P. 697.
- Galilee A., Stefanidou C., McCleery J.P. Atypical speech versus non-speech detection and discrimination in 4- to 6- yr old children with autism spectrum disorder: An ERP study // PLoS One. 2017. V. 12. № 7. P. e0181354.
- Lopukhina A., Chrabaszcz, A., Khudyakova et al. Test for assessment of language development in Russian “KORABLIK” / Proceedings of the Satellite of AMLaP conference “Typical and Atypical Language Development Symposium”. Moscow: HSE University, 2019. P. 30.
- Лорд К., Раттер М., ДиЛаворе П. и др. ADOS-2: План диагностического обследования при аутизме, 2-я версия: Руководство / Пер. с англ. Сорокина А.Б., Давыдовой Е.Ю., Салимовой К.Р., Пшеничной Е. [Б.м.]: Western Psychological Services: Giunti O.S., 2016. 446 с. Lord K., Ratter M., DiLavore P. et al. ADOS-2: Plan diagnosticheskogo obsledovaniya pri autizme, 2-ya versiya: Rukovodstvo [The Autism Diagnostic Observation Schedule. 2nd Edition: Manual]. Western Psychological Services: Giunti O.S., 2016. 446 p.
- Сорокин А.Б., Давыдова Е.Ю., Самарина Л.В. и др. Стандартизированные методы диагностики аутизма: опыт использования ADOS-2 и ADI-R // Аутизм и нарушения развития. 2021. Т. 19. № 1. С. 12.
- Горбачевская Н.Л., Митрофанов А.А. Роль количественных методов анализа электроэнцефалограммы в детской психиатрии // Медицинский алфавит. 2008. Т. 4. № 17. С. 13.
- Переверзева Д.С., Мамохина У.А., Давыдова Е.Ю. и др. Особенности понимания речи у детей с расстройствами аутистического спектра младшего школьного возраста [Электронный ресурс] // Клиническая и специальная психология. 2021. Т. 10. № 4. С. 137.
- Masi A., DeMayo M.M., Glozier N., Guastella A.J. An Overview of Autism Spectrum Disorder. Heterogeneity and Treatment Options // Neurosci. Bull. 2017. V. 33. № 2. P. 183.
- Marotta R., Risoleo M.C., Messina G. et al. The Neurochemistry of Autism // Brain Sci. 2020. V. 10. № 3. P. 163.
- Kozhushko N.J., Nagornova Z.V., Evdokimov S.A. et al. Specificity of spontaneous EEG associated with different levels of cognitive and communicative dysfunctions in children // Int. J. Psychophysiol. 2018. V. 128. P. 22.
- Bernier R., Dawson G., Webb S. et al. EEG mu rhythm and imitation impairments in individuals with autism spectrum disorder // Brain Cogn. 2007. V. 64. № 3. P. 228.
- Благосклонова Н.К., Новикова Л.А. Детская клиническая электроэнцефалография. М.: Медицина, 1994. 204 с.
- Горбачевская Н.Л. Особенности формирования ЭЭГ у детей в норме и при разных типах общих (первазивных) расстройств развития. Автореф. дис. … докт. биол. наук. М.: МГУ, 2000. 43 с.
Supplementary files






