Neurofunctional Organization of Working Memory on the Basic Characteristics of Visual Space in Males and Females
- Authors: Mikhailova E.S.1, Kushnir A.B.1, Moshnikova N.Y.1
-
Affiliations:
- Institute of Higher Nervous Activity and Neurophysiology of RAS
- Issue: Vol 49, No 1 (2023)
- Pages: 28-41
- Section: Articles
- URL: https://bakhtiniada.ru/0131-1646/article/view/139795
- DOI: https://doi.org/10.31857/S0131164622600379
- EDN: https://elibrary.ru/APBDJU
- ID: 139795
Cite item
Full Text
Abstract
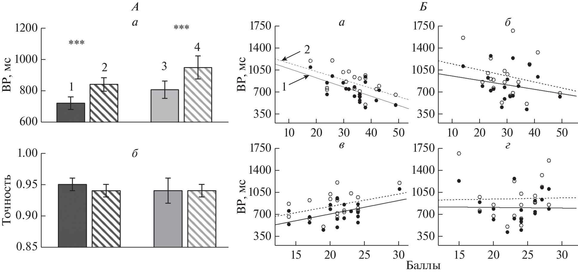
Thirty eight subjects (19 males and 19 females) performed the working memory task on orientations. In males, the higher sensitivity of the early occipito-temporal negativity N150 to the match/mismatch between current and stored orientations indicates the more effective early detection of changes in orientations. A higher amplitude of the P200 component of the occipital-temporal ERPs and central positivity of 400–500 ms in males compared to females is considered as indicator of the higher selective attention to orientations and the potential possibility of retaining in memory a larger information about the spatial properties of the environment. In was found a statistically significant relationship between the reaction time of the working memory performance and assessments of navigational behavior strategies according self-report questionnaires. It was suggested that the more effective visual-spatial working memory on the orientations is the important biological factor underlying the more effective navigation strategy that based on global spatial environmental characteristics.
About the authors
E. S. Mikhailova
Institute of Higher Nervous Activity and Neurophysiology of RAS
Author for correspondence.
Email: esmikhailova@mail.ru
Russia, Moscow
A. B. Kushnir
Institute of Higher Nervous Activity and Neurophysiology of RAS
Email: esmikhailova@mail.ru
Russia, Moscow
N. Yu. Moshnikova
Institute of Higher Nervous Activity and Neurophysiology of RAS
Email: esmikhailova@mail.ru
Russia, Moscow
References
- Cahill L. Why sex matters for neuroscience // Nat. Rev. Neurosci. 2006. V. 7. № 6. P. 477.
- Voyer D., Voyer S.D., Saint-Aubin J. Sex differences in visual-spatial working memory: A meta-analysis // Psychon. Bull. Rev. 2017. V. 24. № 2. P. 307.
- Shaqiri A., Roinishvili M., Grzeczkowski L. et al. Sex-related differences in vision are heterogeneous // Sci. Rep. 2018. V. 8. № 1. P. 7521.
- Voyer D., Voyer S., Bryden M.P. Magnitude of sex differences in spatial abilities: A meta-analysis and consideration of critical variables // Psychol. Bull. 1995. V. 117. № 2. P. 250.
- Galea L.A., Kimura D. Sex differences in route-learning // Pers. Individ. Dif. 1993. V. 14. № 1. P. 53.
- Moffat S.D., Hampson E., Hatzipantelis M. Navigation in a virtual maze: sex differences and correlation with psychometric measures of spatial ability in humans // Evol. Hum. Behav. 1998. V. 19. P. 73.
- Christie G.J., Cook C.M., Ward B.J. et al. Mental rotational ability is correlated with spatial but not verbal working memory performance and P300 amplitude in males // PLoS One. 2013. V. 8. № 2. P. e57390.
- Крылова М.А., Изъюров И.В., Герасименко Н.Ю. и др. Моделирование источников компонентов зрительных вызванных потенциалов человека в задаче определения ориентации отрезков линий // Журн. высш. нерв. деят. им. И.П. Павлова. 2015. Т. 65. № 6. С. 685. Krylova M.A., Izyurov I.V., Gerasimenko N.Yu. et al. [The Modeling of Human Visual ERPs Sources in the Task of Line Orientation Identification] // Zh. Vyssh. Nerv. Deiat. im. I.P. Pavlova. 2015. V. 65. № 6. P. 685.
- Михайлова Е.С., Герасименко Н.Ю., Крылова М.А. и др. Механизмы ориентационной чувствительности зрительной системы человека. Сообщение II. Корковые механизмы ранних этапов переработки информации об ориентации линий // Физиология человека. 2015. Т. 41. № 3. С. 5. Mikhailova E.S., Gerasimenko N.Yu., Krylova M.A. et al. Mechanisms of orientation sensitivity of human visual system: Part II. Neural patterns of early processing of information about line orientation // Human Physiology. 2015. V. 41. № 3. P. 229.
- Михайлова Е.С., Герасименко Н.Ю., Кушнир А.Б. Психофизические и нейрофизиологические характеристики оценки наклонных ориентаций у мужчин и женщин // Сенсорные системы. 2020. Т. 34. № 4. С. 283. Mikhailova E.S., Gerasimenko N.Yu., Kushnir A.B. Psychophysical and neurophysiological characteristics of the assessment of tilted orientations in men and women // Neurosci. Behav. Physiol. 2021. V. 51. № 6. P. 820.
- Barkley C.L., Jacobs L.F. Sex and species differences in spatial memory in food-storing kangaroo rats // Anim. Behav. 2007. V. 73. № 2. P. 321.
- Gaulin S.J.C., Fitzgerald R.W. Sex-differences in spatial ability – an evolutionary hypothesis and test // Am. Nat. 1986. V. 127. P. 74.
- Langley C.M. Spatial memory in the desert kangaroo rat (Dipodomys deserti) // J. Comp. Psychol. 1994. V. 108. № 1. P. 3.
- Williams C.L., Barnett A.M., Meck W.H. Organizational effects of early gonadal secretions on sexual differentiation in spatial memory // Behav. Neurosci. 1990. V. 104. № 1. P. 84.
- Sandstrom N.J., Kaufman J., Huettel S.A. Males and females use different distal cues in a virtual environment navigation task // Brain Res. Cogn. Brain Res. 1998. V. 6. № 4. P. 351.
- Jones C.M., Healy S.D. Differences in cue use and spatial memory in men and women // Proc. R. Soc. B Biol. Sci. 2006. V. 273. № 1598. P. 2241.
- Kelly D.M., Bischof W.F. Reorienting in images of a three-dimensional environment // J. Exp. Psychol. Hum. Percept. Perform. 2005. V. 31. № 6. P. 1391.
- Jacobs L.F., Schenk F. Unpacking the cognitive map: the parallel map theory of hippocampal function // Psychol. Rev. 2003. V. 110. № 2. P. 285.
- Kemp A., Manahan-Vaughan D. The hippocampal CA1 region and dentate gyrus differentiate between environmental and spatial feature encoding through long-term depression // Cereb. Cortex. 2008. V. 18. № 4. P. 968.
- Chai X.J., Jacobs L.F. Sex differences in directional cue use in a virtual landscape // Behav. Neurosci. 2009. V. 123. № 2. P. 276.
- Lejbak L., Crossley M., Vrbancic M. A male advantage for spatial and object but not verbal working memory using the n-back task // Brain Cogn. 2011. V. 76. № 1. P. 191.
- Lawton C.A., Kallai J. Gender differences in wayfinding strategies and anxiety about wayfinding: A cross-cultural comparison // Sex Roles. 2002. V. 47. № 9–10. P. 389.
- Chen C.-C., Kuo J.-C., Wang W.-J. Distinguishing the visual working memory training and practice effects by the effective connectivity during n-back tasks: A DCM of ERP study // Front. Behav. Neurosci. 2019. V. 13. P. 84.
- Pasternak T., Greenlee M.W. Working memory in primate sensory systems // Nat. Rev. Neurosci. 2005. V. 6. № 2. P. 97.
- Postle B.R. Working memory as an emergent property of the mind and brain // Neuroscience. 2006. V. 139. № 1. P. 23.
- Agam Y., Sekuler R. Interactions between working memory and visual perception: an ERP/EEG study // Neuroimage. 2007. V. 36. № 3. P. 933.
- Михайлова Е.С., Герасименко Н.Ю., Славуцкая А.В. Сенсорные механизмы ранней дискриминации ориентаций в модели зрительной рабочей памяти // Журн. высш. нерв. деят. им. И.П. Павлова. 2019. Т. 69. № 5. С. 577. Mikhailova E.S., Gerasimenko N.Yu., Slavutskaya A.V. Sensory mechanisms in early orientation discrimination in a model of visual working memory // Neurosci. Behav. Physiol. 2020. V. 50. № 6. P. 700.
- Gur R.C., Alsop D., Glahn D. et al. An fMRI study of sex differences in regional activation to a verbal and a spatial task // Brain Lang. 2000. V. 74. № 2. P. 157.
- Lefebvre C.D., Marchand Y., Eskes G.A. et al. Assessment of working memory abilities using an event-related brain potential (ERP)-compatible digit span backward task // Clin. Neurophysiol. Off. J. Int. Fed. Clin. Neurophysiol. 2005. V. 116. № 7. P. 1665.
- Wang A.L., Mouraux A., Liang M. et al. The enhancement of the N1 wave elicited by sensory stimuli presented at very short inter-stimulus intervals is a general feature across sensory systems // PLoS One. 2008. V. 3. № 12. P. e3929.
- Lenartowicz A., Escobedo-Quiroz R., Cohen J.D. Updating of context in working memory: an event-related potential study // Cogn. Affect. Behav. Neurosci. 2010. V. 10. № 2. P. 298.
- Phillips S., Takeda Y. An EEG/ERP study of efficient versus inefficient visual search / Proceedings of the Annual Meeting of the Cognitive Science Society. 2009. P. 383.
- Coenen A. Modelling of auditory evoked potentials of human sleep-wake states // Int. J. Psychophysiol. Off. J. Int. Organ. Psychophysiol. 2012. V. 85. № 1. P. 37.
- Zhang X., Yang S., Jiang M. Rapid implicit extraction of abstract orthographic patterns of Chinese characters during reading // PLoS One. 2020. V. 15. № 2. P. e0229590.
- Freunberger R., Klimesch W., Doppelmayr M. et al. Visual P2 component is related to theta phase-locking // Neurosci. Lett. 2007. V. 426. № 3. P. 181.
- Cepeda-Freyre H.A., Garcia-Aguilar G., Eguibar J.R. et al. Brain processing of complex geometric forms in a visual memory task increases P2 Amplitude // Brain Sci. 2020. V. 10. № 2. P. 114.
- Föcker J., Mortazavi M., Khoe W. et al. Neural correlates of enhanced visual attentional control in action video game players: An event-related potential study // J. Cogn. Neurosci. 2019. V. 31. № 3. P. 377.
- Linnert S., Reid V., Westermann G. ERP correlates of two separate top-down mechanisms in visual categorization // Int. J. Psychophysiol. 2016. V. 108. P. 83.
- Vogel E.K., Machizawa M.G. Neural activity predicts individual differences in visual working memory capacity // Nature. 2004. V. 428. № 6984. P. 748.
- Bianco V., Berchicci M., Quinzi F. et al. Females are more proactive, males are more reactive: neural basis of the gender-related speed/accuracy trade-off in visuo-motor tasks // Brain Struct. Funct. 2020. V. 225. № 1. P. 187.
- Picton T.W. The P300 wave of the human event-related potential // J. Clin. Neurophysiol. Off. Publ. Am. Electroencephalogr. Soc. 1992. V. 9. № 4. P. 456.
- Bledowski C., Cohen Kadosh K., Wibral M. et al. Mental chronometry of working memory retrieval: a combined functional magnetic resonance imaging and event-related potentials approach // J. Neurosci. Off. J. Soc. Neurosci. 2006. V. 26. № 3. P. 821.
- Rawdon C., Murphy J., Blanchard M.M. et al. Reduced P300 amplitude during retrieval on a spatial working memory task in a community sample of adolescents who report psychotic symptoms // BMC Psychiatry. 2013. V. 13. № 1. P. 125.
- Maciejewska K., Drzazga Z. Differences in spatio‑temporal distribution of the visual P3b event-related potential between young men and women // Acta Neurobiol. Exp. (Wars). 2019. V. 79. P. 25.
- Vaquero E., Cardoso M.J., Vázquez M. et al. Gender differences in event-related potentials during visual-spatial attention // Int. J. Neurosci. 2004. V. 114. № 4. P. 541.
- Deldin P.J., Duncan C.C., Miller G.A. Season, gender, and P300 // Biol. Psychol. 1994. V. 39. № 1. P. 15.
- Steffensen S.C., Ohran A.J., Shipp D.N. et al. Gender-selective effects of the P300 and N400 components of the visual evoked potential // Vision Res. 2008. V. 48. № 7. P. 917.
- Morrison R.G., Reber P.J., Bharani KL. et al. Dissociation of category-learning systems via brain potentials // Front. Hum. Neurosci. 2015. V. 9. P. 389.
- Rabi R., Joanisse M.F., Zhu T. et al. Cognitive changes in conjunctive rule-based category learning: An ERP approach // Cogn. Affect. Behav. Neurosci. 2018. V. 18. № 5. P. 1034.
- Gevins A., Smith M.E. Neurophysiological measures of working memory and individual differences in cognitive ability and cognitive style // Cereb. Cortex. 2000. V. 10. № 9. P. 829.
- Nittono H., Nageishi Y., Nakajima Y. et al. Event-related potential correlates of individual differences in working memory capacity // Psychophysiology. 1999. V. 36. № 6. P. 745.
- Hill A.C., Laird A.R., Robinson J.L. Gender differences in working memory networks: a BrainMap meta-analysis // Biol. Psychol. 2014. V. 102. P. 18.
- Alarcón G., Cservenka A., Fair D.A. et al. Sex differences in the neural substrates of spatial working memory during adolescence are not mediated by endogenous testosterone // Brain Res. 2014. V. 1593. P. 40.
- Zilles D., Lewandowski M., Vieker H. et al. Gender differences in verbal and visuospatial working memory performance and networks // Neuropsychobiology. 2016. V. 73. № 1. P. 52.
- Yin J., Gao Z., Jin X. et al. Tracking the mismatch information in visual short term memory: an event-related potential study // Neurosci. Lett. 2011. V. 491. № 1. P. 26.
- Михайлова Е.С., Герасименко Н.Ю., Славуцкая А.В. и др. Временны́е и топографические характеристики вызванных потенциалов в ситуации конфликта двух последовательных зрительных стимулов в задаче на зрительную память // Физиология человека. 2017. Т. 43. № 3. С. 13. Mikhailova E.S., Gerasimenko N.Yu., Slavutskaya A.V. et al. Temporal and topographic characteristics of evoked potentials in the conflict of two consecutive visual stimuli in a working memory task // Human Physiology. 2017. V. 43. № 3. P. 248.
- Coluccia E., Louse G. Gender differences in spatial orientation: A review // J. Environ. Psychol. 2004. V. 24. № 3. P. 329.
- Lawton C.A. Strategies for indoor way-finding:the role of orientation // J. Environ. Psychol. 1996. V. 16. P. 137.
- Saucier D.M., Green S.M., Leason J. et al. Are sex differences in navigation caused by sexually dimorphic strategies or by differences in the ability to use the strategies? // Behav. Neurosci. 2002. V. 116. № 3. P. 403.
- Garden S., Cornoldi C., Logie R.H. Visuo-spatial working memory in navigation // Appl. Cogn. Psychol. 2002. V. 16. № 1. P. 35.
- Pazzaglia F., Cornoldi C. The role of distinct components of visual-spatial working memory in the processing of texts // Memory. 1999. V. 7. № 1. P. 19.
- Bosco A., Longoni A.M., Vecchi T. Gender effects in spatial orientation: Cognitive profiles and mental strategies // Appl. Cogn. Psychol. 2004. V. 18. № 5. P. 519.
Supplementary files





