Оценка напряженно-деформированного состояния трубопроводов по результатам измерения магнитных характеристик в полевых условиях
- Авторы: Мызнов К.Е.1, Василенко О.Н.1, Костин В.Н.1, Тронза В.С.2, Бондина А.Н.2, Кукушкин С.С.2, Трякина Н.Ю.2, Саломатин А.С.2
-
Учреждения:
- Институт физики металлов имени М.Н. Михеева УрО РАН
- ООО «Газпром трансгаз Екатеринбург»
- Выпуск: № 12 (2024)
- Страницы: 69-80
- Раздел: Электромагнитные методы
- URL: https://bakhtiniada.ru/0130-3082/article/view/273547
- DOI: https://doi.org/10.31857/S0130308224120068
- ID: 273547
Цитировать
Аннотация
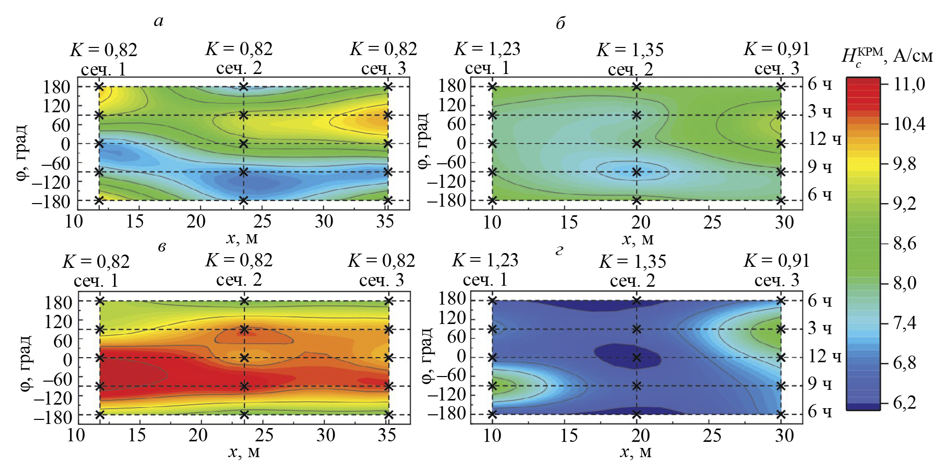
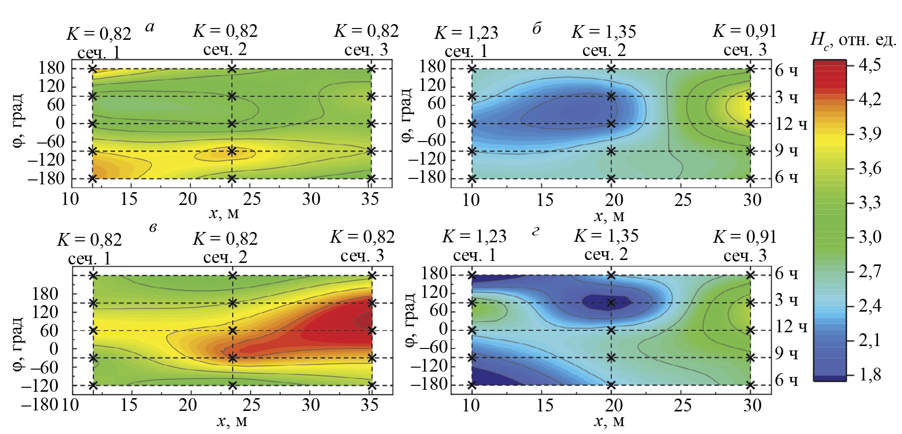
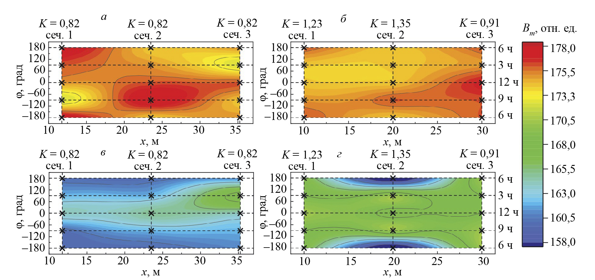
Проведена серия измерений на двух участках трубопровода из стали 17Г1С с помощью двух измерительных приборов: магнитный мультитестер ММТ-3 и магнитный структуроскоп КРМ-Ц-К2М. Получены карты распределения коэрцитивной силы, остаточной магнитной индукции и максимальной магнитной индукции по трубам. Рассчитан коэффициент нагруженности для разных поперечных сечений трубопровода. Построены графики зависимости усредненных по поперечному сечению магнитных характеристик от коэффициента нагруженности. Выявлено, что наиболее опасным для разрушения сечениям, в которых коэффициент нагруженности превысил критическое значение 1,2, соответствуют пониженные значения коэрцитивной силы и остаточной магнитной индукции, полученные при направлении измерения вдоль оси трубопровода. Показано, что измерение вдоль оси на верхней части трубопровода, т.е. на 12 ч, показывает аналогичную зависимость, как и для усредненных по сечению значений, а это означает, что в наземных переходах трубопровода может быть достаточным измерение только на 12 ч.
Полный текст
Об авторах
К. Е. Мызнов
Институт физики металлов имени М.Н. Михеева УрО РАН
Автор, ответственный за переписку.
Email: myznov@imp.uran.ru
Россия, Екатеринбург
О. Н. Василенко
Институт физики металлов имени М.Н. Михеева УрО РАН
Email: vasilenko@imp.uran.ru
Россия, Екатеринбург
В. Н. Костин
Институт физики металлов имени М.Н. Михеева УрО РАН
Email: kostin@imp.uran.ru
Россия, Екатеринбург
В. С. Тронза
ООО «Газпром трансгаз Екатеринбург»
Email: myznov@imp.uran.ru
Россия, Екатеринбург
А. Н. Бондина
ООО «Газпром трансгаз Екатеринбург»
Email: myznov@imp.uran.ru
Россия, Екатеринбург
С. С. Кукушкин
ООО «Газпром трансгаз Екатеринбург»
Email: myznov@imp.uran.ru
Россия, Екатеринбург
Н. Ю. Трякина
ООО «Газпром трансгаз Екатеринбург»
Email: myznov@imp.uran.ru
Россия, Екатеринбург
А. С. Саломатин
ООО «Газпром трансгаз Екатеринбург»
Email: myznov@imp.uran.ru
Россия, Екатеринбург
Список литературы
- Игнатик А.А. Расчетно-экспериментальная оценка напряженного состояния трубопровода под воздействием изгибающей нагрузки и внутреннего давления // Известия высших учебных заведений. Нефть и газ. 2021. № 2 (146). С. 114—126.
- Игнатик А.А. Характеристика напряженно-деформированного состояния стенки трубопровода под воздействием внутреннего давления, изгиба и кручения // Газовая промышленность. 2020. № 4 (799). С. 102—107.
- Рекомендации по оценке прочности и устойчивости эксплуатируемых МГ и трубопроводов КС / дата введения 24.11.2006. М.: Газпром ВНИИГАЗ, 2007. 42 с.
- СНиП 2.05.06-85. Магистральные трубопроводы. М.: ФГУП ЦПП, 2005. 60 с.
- СП 36.13330.2012. Магистральные трубопроводы. М.: Госстрой, 2013. 93 с.
- Захаров В.А., Ульянов А.И., Горкунов Э.С. Коэрцитивная сила ферромагнитных сталей при двухосном симметричном растяжении материала // Дефектоскопия. 2011. № 6. С. 3—15.
- Безлюдько Г.Я., Соломаха Р.Н., Савлук С.В., Сирота В.Е., Сивирюк В.Л. Коэрцитиметрия для мониторинга напряженного и усталостного состояния кожуха доменной печи // В мире неразрушающего контроля. 2021. Т. 24. № 3 (93). С. 32—35.
- Безлюдько Г.Я., Мужицкий В.Ф., Ремезов В.Б. Серия портативных приборов-структуроскопов, основанных на измерении величины коэрцитивной силы // Дефектоскопия. 2003. № 4. С. 43—51.
- IEC 60404-4 Magnetic materials — Part 4: Methods of measurement of d.c. magnetic properties of magnetically soft materials.
- Горкунов Э.С., Мушников А.Н. Магнитные методы оценки упругих напряжений в ферромагнитных сталях (обзор) // Контроль. Диагностика. 2020. Т. 23. № 12 (270). С. 4—23.
- Агиней Р.В., Теплинский Ю.А., Кузьбожев А.С., Богданов Н.П. Применение магнитного метода для оценки напряженного состояния стальных конструкций // Вестник Самарского государственного технического университета. Серия: Физико-математические науки. 2004. № 27. С. 95—97.
- Андронов И.Н., Агиней Р.В., Леонов И.С. Анализ плосконапряженного состояния стальных трубопроводов по лепестковым диаграммам коэрцитивной силы // Заводская лаборатория. Диагностика материалов. 2013. Т. 79. № 12. С. 50—52.
- Stashkov A.N., Schapova E.A., Nichipuruk A.P., Korolev A.V. Magnetic incremental permeability as indicator of compression stress in low-carbon steel // NDT & E International. 2021. V. 118. P. 102398.
- Schapova E.A., Stashkov A.N., Tsar’kova T.P., Sazhina E.Y., Kochnev A.V. The comparison of two data processing techniques of magnetic method for elastic compressive stress determination // AIP Conference Proceedings: The VI International Young Researchers Conference Physics, Technologies Innovation, Ekaterinburg, May 20—23, 2019 / Ural Federal University. V. 2174. Ekaterinburg: American Institute of Physics, 2019. P. 020167.
- Костин В.Н., Василенко О.Н., Бызов А.В. Мобильная аппаратно-программная система магнитной структуроскопии DIUS-1.15M // Дефектоскопия. 2018. № 9. С. 47—53.
- Костин В.Н., Смородинский Я.Г. Многоцелевые аппаратно-программные системы активного электромагнитного контроля как тенденция // Дефектоскопия. 2017. № 7. С. 23—34.
- Костин В.Н., Василенко О.Н., Михайлов А.В., Лукиных Н.П., Ксенофонтов Д.Г. О преимуществах локального измерения коэрцитивной силы ферромагнитных объектов по внутреннему полю // Дефектоскопия. 2020. № 7. С. 21—27.
- Ничипурук А.П., Бида Г.В., Шанаурин А.М., Сташков А.Н. О функциональных возможностях магнитного структуроскопа СМ-401 // Дефектоскопия. 2003. № 1. С. 3.
- Костин В.Н., Царькова Т.П., Ничипурук А.П., Лоскутов В.Е., Лопатин В.В., Костин К.В. Необратимые изменения намагниченности как индикаторы напряженно-деформированного состояния ферромагнитных объектов // Дефектоскопия. 2009. № 11. С. 54—87.
- ГОСТ 19281—2014 Прокат повышенной прочности. Общие технические условия.
- Горкунов Э.С., Захаров В.А. Коэрцитиметры с приставными магнитными устройствами (Обзор) // Дефектоскопия. 1995. № 8. С. 69—88.
- ГОСТ Р 57512—2017 Магистральный трубопроводный транспорт нефти и нефтепродуктов. Термины и определения.
Дополнительные файлы


















