Effect of symmetrical biaxial tension on the magnetic properties of the composite specimen of two steel plates with different mechanical and magnetic properties
- 作者: Mushnikov A.N.1, Povolotskaya A.M.1,2, Zadvorkin S.M.1, Kryucheva K.D.1
-
隶属关系:
- Institute of Engineering Science, Ural Branch of the Russian Academy of Sciences
- M.N. Mikheev lnstitute of Metal Physics of the Ural Branch of the Russian Academy of Sciences
- 期: 编号 9 (2024)
- 页面: 25-39
- 栏目: Electromagnetic methods
- URL: https://bakhtiniada.ru/0130-3082/article/view/265148
- DOI: https://doi.org/10.31857/S0130308224090031
- ID: 265148
如何引用文章
全文:
详细
The results of studying the behavior of the magnetic characteristics of two-layer material containing layers of annealed sheet low-carbon Steel 15 and sheet metastable austenitic 12Kh18N9Т steel, subjected to cold rolling with a compression of 50 %, under biaxial symmetric tension have been presented. Experiments on biaxial deformation were carried out on the original biaxial testing machine, allowed to determine the physical properties of materials during elastic-plastic deformation independently along two axes. It has been shown that the coercive force of the studied two-layer material vary monotonically over the entire range of elastic-plastic biaxial deformation and can be used as an informative parameter for assessing the it’s stresses and deformations.
全文:
ВВЕДЕНИЕ
Одной из актуальных задач обеспечения безопасной эксплуатации технических объектов является диагностика их напряженно-деформированного состояния. Для решения данной задачи применительно к ферромагнитным объектам представляется перспективным использование возможностей магнитной структуроскопии. Проблематике определения взаимосвязей между магнитными свойствами ферромагнетиков и параметрами их напряженного состояния с целью создания методик диагностики состояния изделий из таких материалов посвящено большое количество научных трудов, например, [1—11]. Однако преобладающая часть перечисленных работ сосредоточена на рассмотрении данного вопроса лишь для условий более простого, одноосного нагружения в упругой или пластической областях деформаций. В реальных же условиях, как правило, ферромагнитные элементы конструкций подвержены более сложным воздействиям, нежели одноосное сжатие или растяжение.
Исследования влияния двухосного напряженного состояния на магнитные характеристики начались сравнительно недавно и носят в литературе пока фрагментарный характер [12—24]. Следует отметить, что в работах [19—24] отражены также сведения и об использованных в исследованиях испытательных машинах, позволяющих получить произвольное плоское напряженное состояние.
Между тем в большинстве работ, упомянутых выше, объектом исследований служили однородные ферромагнитные материалы, такие как электротехнические и конструкционные стали. Однако в настоящее время во многих отраслях промышленности все более широкое применение находят композиционные материалы, в частности, слоистые, имеющие в своем составе слои с различными физическими, в том числе магнитными, свойствами. Среди них поверхностно упрочненные изделия, сварные соединения, биметаллические материалы и многие другие. Деформационное поведение таких материалов имеет свою специфику по сравнению с однородными материалами, поскольку различия в структуре, физико-механических и магнитных свойствах составляющих слоев в условиях внешних воздействий приводят к различному напряженному состоянию отдельных компонент.
Известен ряд публикаций, таких как, например, [25—28], в которых представлены экспериментальные результаты по изучению характера поведения магнитных характеристик многослойных материалов при силовом воздействии, однако исследования во всех этих работах ограничиваются рассмотрением простого случая одноосного нагружения. Работ, анализирующих эволюцию магнитных свойств двухслойных материалов в условиях двухосного нагружения, авторами не обнаружено.
В силу этого представляет интерес изучение влияния плоского напряженно-деформированного состояния на магнитные характеристики двухслойного составного материала, имеющего в своем составе слои различной магнитной жесткости.
МАТЕРИАЛЫ И МЕТОДИКИ ИССЛЕДОВАНИЙ
Объектом исследования в качестве модельного образца служил двухслойный составной материал «магнитотвердая сталь — магнитомягкая сталь», магнитомягкий слой которого представлял собой отожженную листовую низкоуглеродистую сталь марки 15 толщиной 6 мм, а магнитотвердый слой — листовую метастабильную аустенитную сталь 12Х18Н9Т, подвергнутую холодной прокатке с обжатием 50 %, с 12 до 6 мм. В результате прокатки содержание ферромагнитного α′-мартенсита деформации в этой стали составляло примерно 80 %.
Химический состав компонент составного материала, определенный на оптическом эмиссионном спектрометре SPECTROMAXx, приведен в табл. 1.
Таблица 1. Химический состав исследованных сталей, масс. %
Марка стали | C | Cr | Ni | Cu | Si | Mn | Mo | Co | Ti | Fe |
15 | 0,16 | 0,02 | 0,04 | 0,06 | 0,16 | 0,44 | – | 0,02 | – | Ост. |
12Х18Н9Т | 0,07 | 18,58 | 8,47 | 0,28 | 0,56 | 1,13 | 0,26 | 0,13 | 0,25 | Ост. |
Для исследований влияния напряжений и деформаций при плоском напряженном состоянии на магнитные характеристики из каждой стали были изготовлены крестообразные образцы. С целью обеспечения деформирования преимущественно центральных участков образцов с одной стороны образцов в центре были фрезерованы круговые выборки диаметром 50 мм и галтелями радиусом 5 мм. Толщина центральной части образцов каждой стали составляла 1 мм. При испытаниях составного образца их компоненты плоскими сторонами соединяли болтами в районе головок образцов.
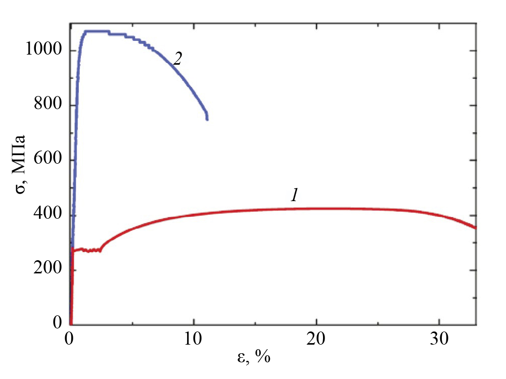
Для определения механических свойств материала были дополнительно изготовлены разрывные образцы и проведены испытания в соответствии с ГОСТ 1497—84 «Металлы. Методы испытаний на растяжение» на гидравлической испытательной машине Tinius Olsen Super L-60. Диаграммы деформирования представлены на рис. 1. Были получены следующие значения механических характеристик: у магнитомягкой компоненты (сталь 15) — предел текучести 280 МПа, временное сопротивление 430 МПа, относительное удлинение при разрыве 35 %; у магнитотвердой компоненты (прокатанная сталь 12Х18Н9Т) — условный предел текучести 1020 МПа, временное сопротивление 1070 МПа, относительное удлинение при разрыве 11 %.
Рис. 1. Диаграммы «напряжение — деформация» сталей, являющихся компонентами в исследованном составном материале. Кривые: 1 — сталь 15; 2 — сталь 12Х18Н9Т.
Эксперименты с двухосным деформированием проводили на оригинальной двухосной испытательной машине [29]. Особенность ее конструкции заключается в отсутствии в рабочей зоне элементов из ферромагнитных материалов, которые могли бы искажать результаты магнитных измерений. Конструкция машины рассчитана на максимальное усилие по каждой оси до 50 кН. В проведенных экспериментах нагрузка по каждой оси на составном образце ограничивалась 50 кН, а при испытаниях отдельных компонент — 30 кН. Фотография рабочей зоны с составным крестообразным образцом представлена на рис. 2.
Рис. 2. Фотография рабочей зоны испытательной машины с установленным двухслойным крестообразным образцом.
Магнитные свойства образцов в процессе упругопластического деформирования определяли с помощью приставного магнитного устройства (ПМУ) с намагничивающей и измерительной обмотками. Измерительная обмотка индукции была подключена к флюксметру EF-5 магнитоизмерительного комплекса Remagraph C-500, а намагничивающая катушка ПМУ — к стабилизированному источнику тока этого комплекса. Значение тока в намагничивающей обмотке, пропорциональное магнитному полю, было переведено в единицы А/см с помощью коэффициента, определенного по коэрцитивной силе материала (следует отметить, что определяемое таким образом поле не соответствует внутреннему магнитному полю во всем исследуемом диапазоне). Величина магнитного потока в измерительной обмотке переведена в значения магнитной индукции магнитопровода Br~ с учетом сечения полюса ПМУ и количества витков измерительной обмотки. Частота перемагничивания составляла 0,03 Гц. Таким образом были получены петли магнитного гистерезиса образцов, эволюция параметров которых имеет качественную (но не количественную) связь с изменением магнитных свойств исследуемых материалов. Для единообразного расположения ПМУ под различными углами на образцы были наклеены трафареты с угловой шкалой, как это показано на рис. 2. Измерения магнитных свойств составного образца осуществляли, размещая приставной электромагнит со стороны магнитотвердой компоненты (стали 12Х18Н9Т). При таком варианте расположения ПМУ магнитный поток захватывает как магнитотвердую, так и магнитомягкую части составного образца, а не локализуется, как было бы в случае расположения ПМУ со стороны стали 15, почти полностью в прилегающей к датчику магнитомягкой компоненте в силу ее более высокой магнитной проницаемости.
Выбранная система координат показана на рис. 3. Координатные оси x и y являются осями приложения нагрузок. Угол α поворота ПМУ отсчитывался от горизонтальной (см. рис. 3) оси x. Измерения магнитных характеристик проводили при варьировании угла α от 0 до 90° с шагом 15°. Подразумевая симметрию магнитных свойств, на графиках в следующих разделах данные экстраполированы на все 360°.
Рис. 3. Схема установки приставного магнитного устройства в рабочей зоне образца под углом α к оси x.
На каждом этапе нагружения с помощью приставного магнитного устройства были измерены петли магнитного гистерезиса во всех направлениях, т.е. изменении угла α от 0 до 90° с шагом 15°, и по ним определены коэрцитивная сила Hc, остаточная индукция Br~, максимальная магнитная проницаемость и дифференциальная магнитная проницаемость.
МОДЕЛИРОВАНИЕ НАПРЯЖЕННОГО СОСТОЯНИЯ
С помощью программного пакета COMSOL Multiphysics было выполнено конечно-элементное моделирование напряженно-деформированного состояния составного крестообразного образца и его отдельных частей.
На рис. 4 приведены результаты моделирования напряженного состояния (эквивалентные напряжения σэкв по Мизесу [30]) каждой отдельной компоненты стали 15 (рис. 4а) и стали 12Х18Н10Т (рис. 4б) при симметричном двухосном растяжении с нагрузкой 30 кН по каждой из осей. Из рисунка следует, что напряжения в зоне выборки в центральной части образцов распределены равномерно. Это позволяет проводить исследования различных физических характеристик исследуемого материала приставными устройствами, габариты которых позволяют их размещение в этой зоне. Согласно рис. 4а, при нагрузке 30 кН образец из стали 15 достигает развитой пластической деформации. Напряжения у образца из стали 12Х18Н9Т примерно в 2,5 раза больше и тоже соответствуют стадии пластической деформации. Как видно из рис. 4, максимальные эквивалентные напряжения ориентированы под углами 45° к направлениям приложения нагрузок. При этом в центральной части образцов, где размещается ПМУ, σэкв практически одинаковы.
Рис. 4. Распределение эквивалентных напряжений при двухосном растяжении стали 15 (а) и стали 12Х18Н9Т (б). Нагрузка по каждой оси — 30 кН.
Результаты моделирования напряженного состояния составного образца при симметричном двухосном растяжении нагрузкой 50 кН представлены на рис. 5. Благодаря болтовому соединению головок образцов, деформация слоев равна — более прочная сталь 12Х18Н9Т препятствует пластическому деформированию слоя из стали 15. Напряжения в центральной зоне слоя стали 15 равны 280, что соответствует напряжениям на площадке текучести.
Рис. 5. Распределение эквивалентных напряжений при двухосном растяжении составного образца (а — в слое стали 15; б — в слое стали 12Х18Н9Т). Нагрузка по каждой оси — 50 кН.
Так как напряжения в слоях различаются, на графиках в следующем разделе приводятся зависимости магнитных характеристик составного образца от величины нагрузки и степени деформации. Связь нагрузок с эквивалентными напряжениями σэкв и деформациями εэкв центральной части составного образца и его отдельных компонент приведена в табл. 2. Как видно, в случае стали 15 максимальные эквивалентные напряжения превышают предел текучести.
Таблица 2. Связь нагрузки F по каждой из осей при симметричном двухосном растяжении с эквивалентными напряжениями σэкв и деформациями εэкв центральной части образцов
F, кН | Отдельные компоненты | Составной образец | |||||
Сталь 15 | Сталь 12Х18Н9Т | σэкв, МПа | εэкв, % | ||||
σэкв, МПа | εэкв, % | σэкв, МПа | εэкв, % | Сталь 15 | Сталь 12Х18Н9Т | ||
0 | 0 | 0 | 0 | 0 | 0 | 0 | 0 |
4 | 120 | 0,06 | 130 | 0,06 | 60 | 65 | 0,03 |
6 | 180 | 0,09 | 200 | 0,10 | 90 | 95 | 0,04 |
8 | 240 | 0,12 | 265 | 0,12 | 120 | 130 | 0,06 |
10 | 280 | 0,13 | 330 | 0,15 | 150 | 165 | 0,08 |
12 | 290 | 1,00 | 400 | 0,19 | 180 | 200 | 0,10 |
14 | 305 | 2,95 | 465 | 0,25 | 210 | 230 | 0,11 |
16 | 315 | 3,44 | 530 | 0,29 | 240 | 265 | 0,12 |
18 | 325 | 3,81 | 600 | 0,32 | 270 | 295 | 0,14 |
20 | 340 | 4,45 | 665 | 0,36 | 280 | 335 | 0,16 |
22 | 350 | 4,99 | 735 | 0,41 | 280 | 395 | 0,19 |
24 | 360 | 5,58 | 805 | 0,44 | 280 | 455 | 0,24 |
26 | 375 | 6,69 | 870 | 0,51 | 280 | 510 | 0,28 |
28 | 385 | 7,68 | 935 | 0,57 | 280 | 565 | 0,31 |
30 | 395 | 8,95 | 1010 | 0,76 | 280 | 620 | 0,33 |
36 | – | – | – | – | 280 | 780 | 0,42 |
44 | – | – | – | – | 280 | 930 | 0,57 |
50 | – | – | – | – | 280 | 995 | 0,64 |
РЕЗУЛЬТАТЫ И ИХ ОБСУЖДЕНИЕ
Результаты, полученные при испытаниях отдельного слоя из стали 15 в виде полярных диаграмм, представлены на рис. 6 и 7.
Как видно на рис. 6, в исходном состоянии стали 15 в ней отсутствует анизотропия коэрцитивной силы Нс. На начальном этапе деформирования Нс уменьшается, а затем увеличивается, что связано с особенностями проявления магнитоупругого эффекта в сталях. При дальнейшем увеличении приложенной нагрузки происходит монотонное возрастание Нс примерно на 20 % относительно минимального значения коэрцитивной силы. После снятия нагрузки коэрцитивная сила несколько возрастает, что обусловлено изменением уровня остаточных напряжений в результате пластической деформации. Следует отметить изотропию (в пределах погрешности измерений) полярных диаграмм Нс, что обусловлено следующим фактом: на эволюцию коэрцитивной силы стали соотносимое влияние оказывают нормальные и касательные напряжения [2], поэтому при измерениях в любом направлении может быть установлена корреляция коэрцитивной силы с инвариантными характеристиками напряженного состояния, например, с эквивалентными напряжениями.
Рис. 6. Влияние симметричного двухосного растяжения на коэрцитивную силу стали 15.
Полярные диаграммы остаточной индукции Br~ и максимальной магнитной проницаемости μмакс при различных приложенных эквивалентных напряжениях (рис. 7) качественно подобны, отличаются лишь численные значения этих параметров. На диаграммах хорошо заметна анизотропия Br~ и μмакс в исходном состоянии стали 15. Различие величин Br~ и μмакс в разных направлениях достигает 10 %, максимальные значения зафиксированы вдоль координатных осей x и y, а минимальные — под углом 45° к ним. В процессе нагружения анизотропия этих характеристик усиливается, причем неоднократно меняются направления, вдоль которых наблюдаются экстремальные значения остаточной индукции Br~ и максимальной магнитной проницаемости μмакс. При больших степенях деформации максимальные значения Br~ и μмакс наблюдаются в направлениях, соответствующих максимальным значениям σэкв (см. рис. 4а). После снятия нагрузки направления, вдоль которых наблюдаются максимальные и минимальные значения Br~ и μмакс, соответствуют таковым в исходном состоянии, а анизотропия этих параметров значительно усиливается. Такое поведение Br~ и μмакс обусловлено, вероятно, тем, что касательные напряжения менее, чем нормальные влияют на их эволюцию.
Рис. 7. Влияние симметричного двухосного растяжения на остаточную индукцию Br~ (а), на максимальную относительную магнитную проницаемость (б) стали 15.
Полярные диаграммы коэрцитивной силы холоднокатаной стали 12Х18Н9Т при разных эквивалентных напряжениях показаны на рис. 8. Как видно, прокатка не привела к существенной анизотропии коэрцитивной силы — величина Нс при различных значениях угла α изменяется в пределах ±1 %, т.е. существенно меньше погрешности измерения напряженности магнитного поля (3 %). Приложенные напряжения слабо влияют на величину Нс — максимальное и минимальное значения отличаются всего на 8 % (Нс 11,8 А/см вдоль оси x при σэкв = 130 МПа, а также σэкв = 0 после снятия нагрузки и Нс 10,9 А/см вдоль оси y при σэкв = 1010 МПа соответственно). Вероятно, этот факт объясняется «суперпозицией» остаточных и приложенных напряжений. Можно отметить тенденцию к увеличению коэрцитивной силы вдоль направления прокатки и ее уменьшению в поперечном направлении в условиях симметричного двухосного растяжения при приближении к пределу текучести.
Рис. 8. Влияние симметричного двухосного растяжения на коэрцитивную силу холоднокатаной стали 12Х18Н9Т. Направление прокатки — горизонталь.
Полярная диаграмма остаточной индукции Br~ стали 12Х18Н9Т в исходном состоянии (рис. 9а) тоже свидетельствует об изотропии этой характеристики, как и коэрцитивной силы. Однако в условиях двухосного растяжения проявляется анизотропия Br~ — при максимальной нагрузке в направлении, поперечном прокатке, Br~ на 12 % больше, чем вдоль направления прокатки. Полярная диаграмма Br~ после снятия нагрузки свидетельствует об изотропии этого параметра, как и в исходном состоянии стали 12Х18Н9Т, но с несколько большей величиной.
Рис. 9. Влияние симметричного двухосного растяжения на остаточную индукцию Br~ холоднокатаной стали 12Х18Н9Т (а) и на максимальную относительную магнитную проницаемость (б) холоднокатаной стали 12Х18Н9Т. Направление прокатки — горизонталь.
Полярная диаграмма максимальной магнитной проницаемости μмакс стали 12Х18Н9Т в исходном состоянии (рис. 9б) имеет более сложный вид, чем аналогичные диаграммы для Нс и Br~, величина μмакс вдоль направления прокатки и под углами 45° к ней заметно меньше, чем в поперечном направлении. Кроме того, имеются локальные максимумы μмакс под углами примерно 25° к направлению прокатки. Полярная диаграмма μмакс после снятия нагрузки имеет форму, близкую к эллипсоидальной, с короткой осью вдоль направления прокатки и длинной — в поперечном направлении.
Полярные диаграммы коэрцитивной силы составного образца «сталь 15 — сталь 12Х18Н9Т» приведены на рис. 10. Величина Нс этого образца в исходном состоянии примерно равна среднеарифметическому значению коэрцитивных сил его компонент. Но при этом зафиксирована значительная анизотропия коэрцитивной силы составного образца — величины Нс вдоль направления прокатки стали 12Х18Н9Т и в поперечном направлении различаются примерно на 10 %. В процессе двухосного симметричного растяжения коэрцитивная сила составного образца монотонно увеличивается, а ее анизотропия исчезает, в пределах погрешности измерений Нс соответствующие полярные диаграммы имеют вид окружности (рис. 10). После снятия нагрузки с составного образца его коэрцитивная сила заметно уменьшилась по сравнению с деформированным состоянием при максимальной нагрузке, но с сохранением изотропии этого параметра. Возможно, на характер эволюции коэрцитивной силы составного образца сказывается преимущественно состояние магнитомягкой компоненты, в которой пластическая деформация начинается при существенно меньших нагрузках (см. табл. 2).
Рис. 10. Влияние симметричного двухосного растяжения на коэрцитивную силу составного материала «сталь 15 — сталь 12Х18Н9Т». Направление прокатки стали 12Х18Н9Т — горизонталь.
Полярные диаграммы магнитной индукции и максимальной магнитной проницаемости составного образца в исходном состоянии качественно подобны диаграмме коэрцитивной силы – минимальные значения этих характеристик наблюдаются в направлении прокатки стали 12Х18Н9Т, максимальные — в поперечном направлении (рис. 11). В условиях двухосного растяжения анизотропия Br~ и μмакс несколько уменьшается, особенно в случае остаточной индукции. После снятия нагрузки с составного образца величина Br~ примерно на том же уровне, что и под действием максимальной нагрузки, а максимальная магнитная проницаемость увеличилась в среднем примерно на 17 %. Причем после снятия нагрузки практически исчезла анизотропия μмакс.
Рис. 11. Влияние симметричного двухосного растяжения на остаточную индукцию Br~ (а) и максимальную относительную магнитную проницаемость (б) составного материала «сталь 15 — сталь 12Х18Н9Т». Направление прокатки стали 12Х18Н9Т — горизонталь.
Следует отметить, что в отличие от коэрцитивной силы, увеличение приложенной нагрузки слабо влияет на остаточную индукцию Br~, а максимальная магнитная проницаемость при этом изменяется немонотонно. Эти обстоятельства обуславливают неэффективность использования остаточной индукции Br~ и максимальной магнитной проницаемости μмакс для диагностики напряженного состояния исследованного образца и аналогичных по составу двухслойных материалов.
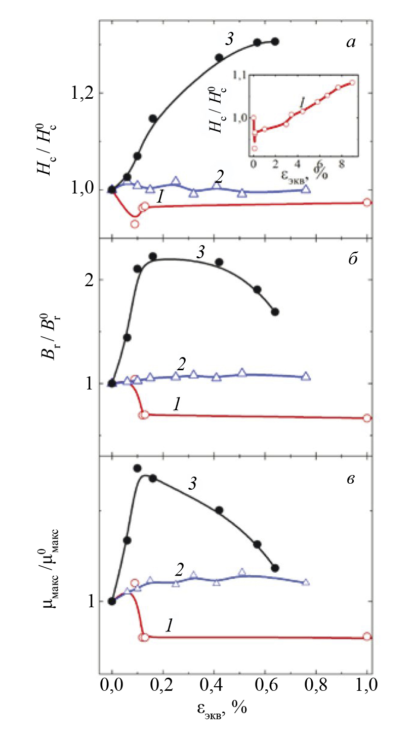
Для большей наглядности на рис. 12 показаны зависимости магнитных характеристик, приведенных к значениям в исходном состоянии до нагружения, в зависимости от степени эквивалентных деформаций для всех трех исследованных материалов (составного образца и его отдельных компонент) при ориентации магнитного поля вдоль оси x. Как видно, коэрцитивная сила составного образца демонстрирует монотонный рост значений во всем исследованном диапазоне степеней деформации (изменение составляет порядка 30 %).
Рис. 12. Значения коэрцитивной силы Hc (а), остаточной индукции Br~ (б) и максимальной магнитной проницаемости μмакс (в), приведенные к значениям этих величин в исходном состоянии, в зависимости от степени эквивалентных деформаций. Кривые 1 — сталь 15; 2 — сталь 12Х18Н9Т; 3 — составной материал «сталь 15 — сталь 12Х18Н9Т». Угол ɑ равен 0º.
Остаточная индукция Br~ и максимальная магнитная проницаемость μмакс составного образца изменяются немонотонно, при этом максимумы величин локализуются в диапазоне деформаций 0,12—0,13 %. По-видимому, на характер изменения магнитных характеристик составного образца при степенях деформации, не превышающих 0,12 %, оказывает заметное влияние магнитотвердый слой. В то время, как при εэкв > 0,13 %, основной вклад в формирование измеряемых магнитных характеристик составного материала вносит магнитомягкая составляющая, в которой в диапазоне величин степени эквивалентной деформации 0,12—0,13 % начинается переход в стадию пластической деформации. Это приводит к росту коэрцитивной силы и снижению Br~ и μмакс как самой компоненты, так и всего двухслойного образца в целом.
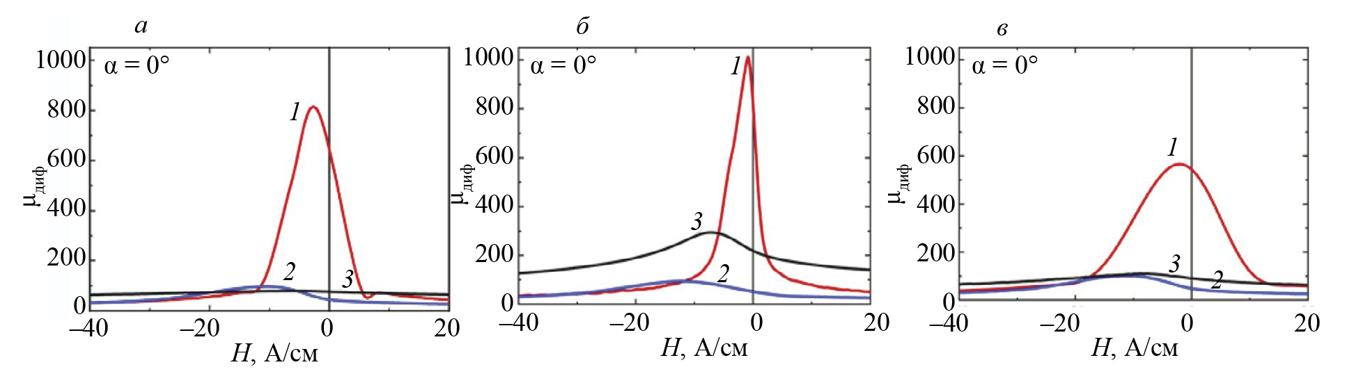
На рис. 13 представлены полевые зависимости дифференциальной магнитной проницаемости μдиф(H) составного образца и материалов, его составляющих, при различных степенях деформации (на рис. 13а — кривые μдиф(H) для трех материалов в исходном недеформированном состоянии; 13б — при степенях деформации, приблизительно равных 0,1 %; 13в – при максимальной для составного образца деформации, εэкв ≈ 0,64 %). Для отдельных компонент приведены графики со значениями деформаций, ближайших к указанным.
Рис. 13. Полевые зависимости дифференциальной магнитной проницаемости при различных величинах эквивалентной степени деформации. Кривые 1 — сталь 15; 2 — сталь 12Х18Н9Т; 3 — составной материал «сталь 15 — сталь 12Х18Н9Т». Угол ɑ равен 0º.
На каждой из кривых наблюдается один пик: на кривых 1 пики отвечает ферриту в стали 15, на кривых 2 — сформированному при прокатке мартенситу деформации в стали 12Х18Н9Т. Поля пиков отдельных компонент соответствуют значениям их коэрцитивных сил и локализуются в полях примерно 2,7 и 11,6 А/см соответственно. Расположение пиков на кривых 3, отвечающих составному образцу, принимает промежуточное значение между аналогичными величинами отдельных компонент. По мере увеличения нагрузки появляются следующие изменения на зависимостях μдиф(H) для всех трех исследованных материалов: амплитуда пика на полевой зависимости стали 15 сначала увеличивается (см. рис. 13б), а при максимальной для составного образца нагрузке ее величина уменьшается по сравнению с аналогичной величиной в исходном состоянии примерно на 28 %. При этом положение максимума дифференциальной магнитной проницаемости магнитомягкого слоя сдвигается в сторону более слабых полей. На кривых μдиф(H) для образца из стали 12Х18Н9Т величина максимума практически не изменятся.
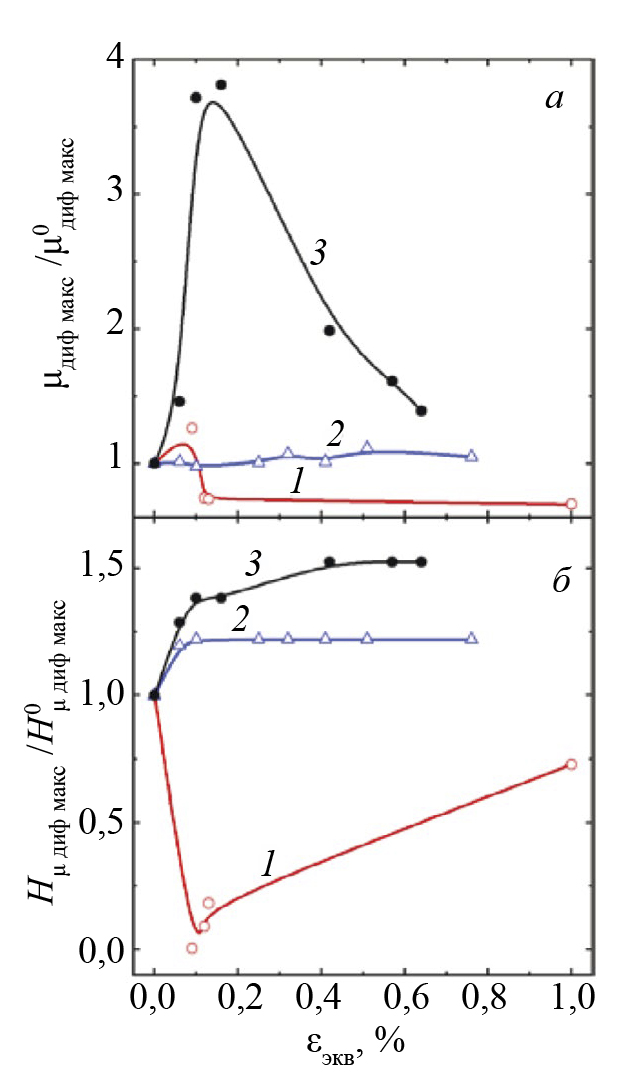
Изменение амплитуды пиков µдиф макс с ростом степени эквивалентной деформации и поля, в которых пики локализуются, приведенные к значениям в исходном состоянии, более наглядно показаны на рис. 14. Анализ поведения μдиф макс (εэкв) и H μдиф макс(εэкв) составного образца подтверждает вывод о том, что на уровень его магнитных характеристик при εэкв < 0,13 % влияет магнитотвердый слой, при εэкв > 0,13 % — магнитомягкая составляющая, в которой начинается переход в пластическую область деформации.
Рис. 14. Зависимости максимумов полевых зависимостей дифференциальной магнитной проницаемости (а) и значений полей, в которых максимумы локализованы (б), от степени эквивалентных деформаций. Кривые 1 — сталь 15; 2 — сталь 12Х18Н9Т; 3 — составной материал «сталь 15 — сталь 12Х18Н9Т». Угол ɑ равен 0º.
ЗАКЛЮЧЕНИЕ
Проведены испытания на упругопластическое симметричное двухосное деформирование модельного двухслойного материала, составленного из компонент с различной магнитной твердостью (магнитомягкий слой — сталь 15, магнитотвердый слой — сталь 12Х18Н9Т, подвергнутая холодной прокатке на 50 %), а также его отдельных компонент. Определены закономерности изменения магнитных характеристик от действующих нагрузок.
Установлено, что в качестве информативного параметра для оценки изменений напряженно-деформированного состояния изделий из исследованного двухслойного материала в условиях двухосного симметричного растяжения может быть использована его коэрцитивная сила, демонстрирующая однозначный характер изменения во всем диапазоне упругопластического деформирования.
Показано, что основной вклад в формирование уровня магнитных характеристик составного материала на начальном этапе деформирования вносит магнитотвердая компонента, в дальнейшем с ростом нагрузки — магнитомягкая компонента, что связано с переходом данной составляющей в стадию пластической деформации.
Результаты представляют интерес для технической диагностики двухслойных элементов конструкций, работающих в условиях плосконапряженного состояния.
Работа выполнена в рамках государственного задания МИНОБРНАУКИ России по темам № 124020600045-0 и «Диагностика» № 122021000030-1. При выполнении работы было использовано оборудование ЦКП «Пластометрия» при ИМАШ УрО РАН.
作者简介
A. Mushnikov
Institute of Engineering Science, Ural Branch of the Russian Academy of Sciences
编辑信件的主要联系方式.
Email: mushnikov@imach.uran.ru
俄罗斯联邦, Ekaterinburg
A. Povolotskaya
Institute of Engineering Science, Ural Branch of the Russian Academy of Sciences; M.N. Mikheev lnstitute of Metal Physics of the Ural Branch of the Russian Academy of Sciences
Email: anna.povolotskaya.68@mail.ru
俄罗斯联邦, Ekaterinburg; Ekaterinburg
S. Zadvorkin
Institute of Engineering Science, Ural Branch of the Russian Academy of Sciences
Email: kristina.kryucheva@mail.ru
俄罗斯联邦, Ekaterinburg
K. Kryucheva
Institute of Engineering Science, Ural Branch of the Russian Academy of Sciences
Email: kristina.kryucheva@mail.ru
俄罗斯联邦, Ekaterinburg
参考
- Kostin V.N., Tsar’kova T.P., Loskutov V.E., Kostin K.V., Nichipuruk A.P., Lopatin V.V., Kostin K.V. Irreversible Changes in the Magnetization as Indicators of Stressed-Strained State of Ferromagnetic Objects // Defectoskopiya. 2009. No. 11. P. 54—67.
- Gorkunov E.S., Mushnikov A.N. Magnetic methods for estimating elastic stresses in ferromagnetic steels (review) // Kontrol’. Diagn. 2020. No. 12. P. 4—23.
- Roskosz M., Fryczowski K. Magnetic methods of characterization of active stresses in steel elements // Journal of Magnetism and Magnetic Materials. 2020. V. 499. Art. no. 166272.
- Perevertov O. Influence of the applied elastic tensile and compressive stress on the hysteresis curves of Fe–3%Si non-oriented steel // Journal of Magnetism and Magnetic Materials. 2017. V. 428. P. 223—228. doi: 10.1016/j.jmmm.2016.12.040
- Leuning N., Steentjes S., Schulte M., Bleck W., Hameyer K. Effect of elastic and plastic tensile mechanical loading on the magnetic properties of NGO electrical steel // Journal of Magnetism and Magnetic Materials. 2016. V. 417. P. 42—48. doi: 10.1016/j.jmmm.2016.05.049
- Murav’ev V.V., Volkova L.V., Platunov A.V., Kulikov V.A. An electromagnetic–acoustic method for studying stress-strain states of rails // Defectoskopiya. 2016. No. 7. P. 12—20.
- Gorkunov E.S., Povolotskaya A.M., Zadvorkin S.M., Putilova E.A., Mushnikov A.N., Bazulin E.G., Vopilkin A.Kh. Some Features in the Behavior of Magnetic and Acoustic Characteristics of Hot-Rolled 08G2B Steel under Cyclic Loading // Defectoskopiya. 2019. No. 11. P. 21—31.
- Gorkunov E.S., Povolotskaya A.M., Zadvorkin S.M., Putilova E.A., Mushnikov A.N. The Effect of Cyclic Preloading on the Magnetic Behavior of the Hot-Rolled 08G2B Steel Under Elastic Uniaxial Tension // Research in Nondestructive Evaluation. 2021. V. 32. No. 6. P. 276—294. doi: 10.1080/09349847.2021.2002487
- Mushnikov A.N., Povolotskaya A.M., Zadvorkin S.M., Goruleva L.S., Putilova E.A. Effect of Elastic-Plastic Deformation by Biaxial Tension on the Magnetic Characteristics of Nickel // Defectoskopiya. 2023. No. 11. P. 32—42.
- Aginey R.V., Islamov R.R., Mammadova E.A. Determination of the stress-strain state of the pipeline section under pressure based on the results of the coercive force measurement // Nauka Tekhnol. Truboprovodn. Transp. Nefti Nefteprod. 2019. V. 9. No. 3. P. 284—294.
- Berdnik M.M., Berdnik A.G. Prospects for the use of coercimetry to assess the parameters of the stressstrain state of structures // Tekhnol. Mashinostr. 2019. No. 1. P. 37—43.
- Zakharov V.A., Ul’yanov A.I., Gorkunov E.S. Coercive force of ferromagnetic steels under the biaxial symmetrical tension of a material // Defectoskopiya. 2011. No. 6. P. 3—15.
- Novikov V.F., Sorokina S.V., Kudryashov M.E., Zakharov V.A., Ul’yanov A.I. The influence of biaxial elastic deformation on the coercive force and local remanent magnetization of construction steels // Defectoskopiya. 2010. No. 7. P. 59—68.
- Shulu Feng, Zhijiu Ai, Jian Liu, Jiayi He, Yukun Li, Qifeng Peng, Chengkun Li. Study on Coercivity-Stress Relationship of X80 Steel under Biaxial Stress // Advances in Materials Science and Engineering. 2022. V. 2022. Art. no. 2510505. doi: 10.1155/2022/2510505
- Yongjian Li, Shiping Song, Yu Dou, Tao Chen. Influence of tensile stress on the magnetic properties of ultra-thin grain-oriented electrical steel // AIP Advances. 2023. V. 13. Art. no. 025223. doi: 10.1063/9.0000468
- Langman R.A. Magnetic properties of mild steel under conditions of biaxial stress // IEEE Transactions on Magnetics. 1990. V. 26. Is. 4. P. 1246—1251.
- Hubert O., Maazaz Z., Taurines J., Crepinge R.,van den Berg F., Celada-Casero C. Influence of biaxial stress on magnetostriction — Experiments and modeling // Journal of Magnetism and Magnetic Materials. 2023. V. 568. Art. no. 170389. doi: 10.1016/j.jmmm.2023.170389
- Mushnikov A.N., Povolotskaya A.M., Zadvorkin S.M., Goruleva L.S., Putilova E.A. Effect of Elastic-Plastic Deformation by Biaxial Tension on the Magnetic Characteristics of Nickel // Defectoskopiya. 2023. No. 11. P. 3—16.
- Pearson J., Squire P.T., Maylin M.G., Gore J.G. Apparatus for magnetic measurements under biaxial stress // IEEE Transactions on magnetics. 2000. V. 36. Is. 5. P. 3599—3601.
- Vengrinovich Valeriy, Vintov Dmitriy, Prudnikov Andrew, Podugolnikov Pavel, Ryabtsev Vladimir. Magnetic Barkhausen Effect in Steel under Biaxial Strain/Stress: Influence on Stress Measurement // Journal of Nondestructive Evaluation. 2019. V. 38. Art. no. 52. doi: 10.1007/s10921-019-0576-7
- Kai Y., Enokizono M. Effect of arbitrary shear stress on vector magnetic properties of non-oriented electrical steel sheets // IEEE Transactions on magnetics. 2017. V. 53. Is. 11. P. 2002304.
- Kai Y., Tsuchida Y., Todaka T., Enokizono M. Influence of biaxial stress on vector magnetic properties and 2-D magnetostriction of a nonoriented electrical steel sheet under alternating magnetic flux conditions // IEEE Transactions on magnetics. 2014. V. 50. Is. 4. P. 6100204.
- Aydin U., Rasilo P., Martin F., Belahcen A.,Daniel L., Arkkio A. Modeling of multi-axial stress dependent iron losses in electrical steel sheets // Journal of Magnetism and Magnetic Materials. 2020. V. 504. Art. no. 166612.
- Aydin U., Martin F., Rasilo P., Belahcen A., Haavisto A., Singh D., Daniel L., Arkkio A. Rotational single sheet tester for multiaxial magneto-mechanical effects in steel sheets // IEEE Transactions on magnetics. 2019. V. 55. Is. 3. P. 2001810.
- Mitropol’skaya S.Y. Certification of Hardened Surface Layers by Magnetic and Electromagnetic Methods // Metal Science and Heat Treatment. 2013. V. 55. No. 3—4. P. 157—162.
- Gorkunov E.S., Subachev Y.V., Povolotskaya A.M., Zadvorkin S.M. The influence of elastic deformations on the hysteresis properties of a two-layer ferromagnet composed of components with magnetostrictions of opposite signs // Defectoskopiya. 2014. No. 8. P. 42—56.
- Gorkunov E.S., Zadvorkin S.M., Putilova E.A., Povolotskaya A.M., Goruleva L.S., Veretennikova I.A., Kamantsev I.S. The Application of Magnetic Structural Phase Analysis for the Diagnostics of the State of a 08X18H10T Steel—C 3 Steel Composite Material and Its Components That Were Subjected to Plastic Deformation // Defectoskopiya. 2012. No. 6. P. 30—43.
- Gorkunov E.S. Magnetic Evaluation of the Structural and Phase Changes in Individual Layers of Multilayer Products // Diagnostics, Resource and Mechanics of materials and structures. 2017. Is. 2. P. 6—27.
- Mushnikov A.N., Zadvorkin S.M., Perunov E.N., Vyskrebencev S.V., Izmajlov R.F., Vichuzhanin D.I., Soboleva N.N., Igumnov A.S. Experimental Facility for Studying the Physical Properties of Materials in a Plane Stress State // Diagnostics, Resource and Mechanics of materials and structures. 2022. Is. 4. P. 50—60.
- Mises R.V. Mechanik der festen Körper im plastisch-deformablen Zustand // Nachrichten von der Gesellschaft der Wissenschaften zu Göttingen, Mathematisch-Physikalische Klasse. 1913. P. 582—592.
补充文件
















