Восстановление изображения отражателей методом цифровой фокусировки апертуры в толстостенных трубах малого диаметра
- Авторы: Базулин Е.Г.1
 - 
							Учреждения: 
							
- ООО «Научно-производственный центр «ЭХО+»
 
 - Выпуск: № 9 (2024)
 - Страницы: 3-14
 - Раздел: Акустические методы
 - URL: https://bakhtiniada.ru/0130-3082/article/view/265146
 - DOI: https://doi.org/10.31857/S0130308224090018
 - ID: 265146
 
Цитировать
Полный текст
Аннотация
При проведении ультразвукового контроля труб различного диаметра с использованием антенных решеток и матриц широко используются две технологии восстановления изображения отражателей: технология фокусировки антенной решеткой (ФАР) и технология цифровой фокусировки апертуры (ЦФА). Если диаметр трубы больше сотни длин волн, при восстановлении изображения отражателей можно воспользоваться методом ЦФА с учетом нескольких отражений от границ, полагая, что объект контроля плоский. Ошибки при формировании ЦФА-изображения отражателей в этом случае будут незначительные. Но если диаметр трубы несколько десятков длин волн, а толщина стенки составляет порядка половины диаметра трубы, то в этом случае для получения качественного ЦФА-изображения отражателей нужно обязательно учитывать геометрию объекта контроля. В статье рассмотрены особенности формирования изображения при регистрации эхосигналов антенной решеткой или матрицей при сканировании как по внешней, так и по внутренней поверхности объекта контроля. В численном и модельном экспериментах показано, что для получения высококачественного ЦФА-изображения отражателей при сканировании по внешней поверхности толстостенной трубы малого диаметра можно использовать как антенную решетку, так антенную матрицу. Это связано с наличиями эффекта физической фокусировки ультразвукового поля. Но при сканировании по внутренней поверхности толстостенной трубы малого диаметра из-за эффекта расфокусировки для восстановления изображения отражателей регистрировать эхосигналы надо антенной матрицей.
Полный текст
ВВЕДЕНИЕ
В настоящее время при проведении ультразвукового контроля с применением пьезоэлектрических антенных решеток широко используются две технологии восстановления изображения отражателей: технология фокусировки антенной решеткой (ФАР) [1] и технология цифровой фокусировки апертуры (ЦФА) [2]. В работе [3] обе технологии сравниваются, и делается вывод о том, что ЦФА-технология более перспективна в плане применения разнообразных алгоритмов восстановления изображения отражателей. Метод ЦФА позволяет восстановить изображения отражателей со сплошной фокусировкой во всех точках области восстановления изображения (ОВИ). На первом этапе регистрируются эхосигналы для всех комбинаций излучатель—приемник элементов антенной решетки (режим Full Matrix Capture [4]). На втором этапе по измеренным эхосигналам методом комбинационного SAFT (C-SAFT) [5, 6] восстанавливается изображение отражателей с учетом эффекта трансформации типа волны при многократном отражении импульсов от границ объекта контроля. Метод C-SAFT в зарубежной литературе, посвященной ультразвуковому контролю, называется Total Focusing Method (TFM) [7]. Линейную (одномерную) фазированную решетку, согласно ISO 23865:2021 [4], в статье будем назвать антенной решеткой, а 2D-фазированную решетку с элементами, расположеными в узлах прямоугольной сетки, будем назвать антенной матрицей.
Для повышения качества изображения, уменьшения уровня шума и повышения разрешающей способности метод ЦФА можно использовать совместно с расчетом когерентного фактора (Coherence Factor (CF)) [8, 9]. В зарубежной литературе используется термин Phase Coherence Imaging (PCI) [10].
Если диаметр трубы больше сотни длин волн, то при восстановлении изображения отражателей можно воспользоваться методом ЦФА с учетом нескольких отражений от границ, полагая, что объект контроля плоский [11—13]. Ошибки при формировании ЦФА-изображения отражателей в этом случае будут незначительные. Но если диаметр трубы несколько десятков длин волн, а толщина стенки составляет порядка половины диаметра трубы, то в этом случае для получения качественного ЦФА-изображения отражателей нужно обязательно учитывать геометрию объекта контроля при размещении антенной решетки или матрицы как снаружи, так и внутри объекта контроля. Малые значения радиусов внешней и внутренней поверхностей объекта контроля приводят к физической фокусировке и расфокусировке ультразвукового поля.
Целью данного исследования являлось изучение возможности получения высококачественного изображения отражателей методом ЦФА при использовании для регистрации эхосигналов антенной матрицы или решетки, сканирующей как по внешней, так и по внутренней поверхности толстостенной трубы малого диаметра.
ВОССТАНОВЛЕНИЕ ИЗОБРАЖЕНИЯ ОТРАЖАТЕЛЕЙ В ТОЛСТОСТЕННОЙ ТРУБЕ МАЛОГО ДИАМЕТРА МЕТОДОМ TFM
2.1. Особенности проведения контроля с внешней или внутренней стороны трубы
На рис. 1а схематически показан фрагмент толстостенной трубы с установленной на ее внешнюю поверхность антенной решетки с притертой призмой. Внешний диаметр трубы равен rout, а внутренний — rin. Положение призмы в плоскости xz определяется координатой xw вдоль оси xs, совпадающей с поверхностью трубы. Элементы антенной решетки и ось y расположены перпендикулярно плоскости рисунка. При такой ориентации антенной решетки изображение отражателей в плоскости xz в ОВИ, отмеченной на рис. 1а прямоугольником с пунктирной границей красного цвета, будет формироваться как при работе с обычным одноэлементным пьезопреобразователем, сканирующим вдоль окружности по оси xs, без учета специфики антенной решетки. По эхосигналам, измеренным в разных точках по оси xs, с помощью метода TFM можно сформировать изображение отражателей. При этом возникнет два эффекта. Во-первых, из-за выпуклой цилиндрической поверхности возникнет эффект фокусировки, эхосигналы будут регистрироваться на апертуре размерами около четверти длины окружности, которая схематически показана на рис. 1а утолщенной линией красного цвета. Во-вторых, отражатели будут находится в ближней зоне одного элемента антенной решетки, и это приведет к повышенному влиянию краевых волн [14, 15]. На рис. 1а путь распространения краевого импульса от левого края элемента антенной решетки показан двумя пунктирными стрелками зеленого цвета. На рис. 1 поле элемента антенной решетки и матрицы схематически показаны многоугольником с зеленой полупрозрачной заливкой. Отражатель будет находится в ближней зоне поля элемента антенной решетки, а дальнее поле элемента антенной матрицы может сформироваться уже в притертой призме, как показано на рис. 1б.
Рис. 1. К расчету траекторий в толстостенной трубе малого диаметра.
Если использовать антенную матрицу скажем с четырьмя элементами в плоскости xz (см. рис. 1б), то даже в одном положении матрицы xw можно будет получить сфокусированную индикацию отражателя на ЦФА-изображении, так как для фокусировки будут использоваться четыре элемента матрицы. На рис. 1б сплошными стрелками зеленого цвета показаны две лучевых траектории для первого и третьего элемента. Уменьшение размеров элемента матрицы в несколько раз приводит к увеличению ширины диаграммы направленности, поэтому пространственная апертура, на которой элементом будет «виден» отражатель, увеличится, что приведет к росту поперечной разрешающей способности ЦФА-изображения. На рис. 1б активная апертура при сканировании антенной матрицей схематически показана утолщенной линией красного цвета.
При размещении антенной решетки или матрицы внутри трубы высказанные соображения сохранят свою силу. Однако на вогнутой поверхности из-за эффекта расфокусировки активная апертура уменьшится при сканировании вдоль оси xs. Поэтому разрешающая способность ЦФА-изображения будет хуже, чем в случае сканирования по внешней поверхности трубы.
2.2. Метод ЦФА с учетом когерентного фактора
На первом этапе процесса восстановления изображения отражателей регистрируются эхосигналы для всех комбинаций излучатель—приемник элементов антенной решетки или матрицы (режим FMC). Набор эхосигналов при излучении одним элементом матрицы и регистрацией всеми элементами называется выстрелом. Набор эхосигналов, состоящий из всех выстрелов, будем называть залпом. На втором этапе по измеренным эхосигналам изображение отражателей восстанавливается методом TFM по заданной акустической схеме, которую будем обозначать как as. Под акустической схемой будем подразумевать описание лучевой траектории распространения импульса от излучателя до отражателя и до приемника при отражении импульса от неровных границ объекта контроля. Акустическая схема будет определяться последовательностью букв L (продольная волна), T (вертикально поляризованная поперечная волна) и буквы d (отражение от несплошности). Например, запись TTdTT означает работу с поперечной волной с одним отражением от дна при излучении и приеме.
Пусть антенная решетка или матрица находится в точке rw (см. рис. 1) и регистрация эхосигналов p(rt,m, rt,n, t) проводится в режиме FMC, где m и n-номера излучающего и принимающего элемента. Перед восстановлением изображения обычно измеренные эхосигналы переводят в комплексный вид с помощью преобразования Гильберта. Обозначим через Im(ri; as, rw) комплексное изображение, восстановленное в точках ri ОВИ по выстрелу номер m, то есть по эхосигналам, измеренным всеми элементами АР при излучении элементом номер m. Тогда обычное ЦФА-изображение можно получить, сложив когерентно все изображения по выстрелам:
(1)
где Ne — число элементов антенной решетки или матрицы, а парциальное повыстрельное изображение рассчитывается по формуле:
(2)
где tdel(rr, rt, ri, as) — время пробега импульса от излучателя rt до точки ri и к приемнику rr для заданной акустической схемы as; tmax — время нарастания импульса.
Но объединить парциальные повыстрельные изображения Im(ri; as, rw) можно и иными способами. Например, можно рассчитать когерентный фактор [16, 9] для каждой точки ri набора по набору повыстрельных изображений:
(3)
а в качестве восстановленного изображения рассматривать функцию:
(4)
Такое представление результатов контроля возможно из-за важного свойства когерентного фактора, которое заключается в том, что при отсутствии шума амплитуды ICF(ri; as, rw) индикаций отражателей разной силы близки к единице. Поэтому амплитуды индикаций изображения, полученные по формуле (1) или (4), будут примерно одинаковы. Такой подход позволяет увеличить отношение сигнал/шум и разрешающую способность изображения отражателей.
В режиме сканирования антенной решетки или матрицы вдоль оси xs итоговое изображение можно получить по формулам (1) или (4), но в качестве парциальных изображений будут использоваться Np изображений IS(ri; as, rw) или ICF(ri; as, rw), восстановленных для каждого положения антенной решетки или матрицы:
(5)
По этой же формуле можно получить изображение отражателей и при дополнительном сканировании по оси y.
2.3. Расчет времени пробега импульса с использованием принципа Ферма
В методе ЦФА ключевым моментом является расчет времени пробега импульса tdel(rtrm, ri; as) от центра элемента антенной решетки rtrm до точки ОВИ ri по заданной акустической схеме as (см. рис. 1б). Для этого можно воспользоваться различными методами построения траекторий луча. Широко развиты методы построения лучевых трубок [17, 18], в том числе для неоднородных анизотропных сред [19, 20]. Но для такого простого случая, как расчет траектории при многократном отражении от границ однородного изотропного цилиндрического объекта, можно воспользоваться вариационным принципом Ферма [21], который гласит, что импульс распространяется по траектории с минимальным временем пробега.
Пусть излучение происходит из точки rtrm = (r1, φ1, y1), координаты которой задаются в полярных координатах, а координаты точки ОВИ после отражений NR равны ri = (rNR+2, φNR+2, yNR+2) (рис. 2). Траектория луча описывается NR + 2 точками и состоит из NR + 1 прямых, скорость распространения звука на которых задана списком {c} = {cw,l, {cobj}}, где c1 = cw,l — скорость продольной волны в призме, а {cobj} — список, состоящий из произвольной последовательности скоростей продольной или поперечной волны в объекте контроля. У четных точек траектории первая координата приравнивается rin, а у нечетных точек — rout.
Время пробега импульса вдоль траектории, заданной в полярных координатах, можно рассчитать по формуле:
где (6)
Найти неизвестные наборы координаты пересечения траектории распространения импульса стенок объекта контроля {{φ},{y}} = {{φ2, …, φNR-1}, {y2, …, yNR-1}} можно, решив задачу оптимизации:
(7)
Для повышения скорости сходимости для решения задачи минимизации методами первого порядка нужно задать градиент функции tdel(rtrm, ri; as) по формулам:
(8)
На рис. 2 показан пример расчета траектории при двукратном отражении луча от границ объекта контроля (NR = 3) для профиля скорости {c} = {2,33; 5,9; 5,9; 5,9} мм/мкс. Время пробега по траектории при приеме рассчитывается аналогичным образом, только задаются координаты центра элемента антенной решетки при приеме. Понятно, что акустическая схема на прием asrcv может отличаться от акустической схемы при излучении astrm. Для цилиндрических объектов контроля одинаковой толщины или объектов контроля с плоскопараллельными границами акустическая схема определяется списком скоростей, то есть можно полагать, что as = {astrm, asrcv} = {{c}trm, {c}rcv}. Комбинация рассчитанных времен пробега при излучении и приеме позволяет определить все варианты суммарных задержек для восстановления изображения отражателей методом TFM независимо от того, использовалась ли антенная решетка или антенная матрица.
Рис. 2. К расчету траектории при двукратном отражении от границ стенок трубы (точка ri находится ближе к читателю, чем точка rtrm).
ЧИСЛЕННЫЕ ЭКСПЕРИМЕНТЫ
Для проведения численных экспериментов использовались эхосигналы, рассчитанные с помощью теории лучевых трубок программой CIVA [22]. Объект контроля представлял собой трубу с внешним диаметром, равным 35 мм, и внутренним диаметром, равным 15 мм, то есть толщина стенка равна 20 мм. Эхосигналы рассчитывались от сферы радиусом 0,25 мм, расположенной в точке с полярными координатами, равными (32 мм, 0 град, 0 мм).
3.1. Сканирование по внешней поверхности трубы
3.1.1. Антенная решетка 16 элементов
Эхосигналы рассчитывались для антенной решетки с частотой 5 МГц, состоящей из 16 элементов размерами 0,75×5 мм с зазором 0,25 мм, установленной на рексолитовую призму с углом наклона 35 град. Антенная решетка располагалась снаружи трубы, была ориентирована вдоль оси y и для повышения разрешающей способности в плоскости xz перемещалась по поверхности цилиндра (ось φ) 21 раз с шагом 2 град, начиная с –20 град (см. рис. 1а). По оси y антенная решетка перемещалась 6 раз с шагом 5 мм, начиная с положения –25 мм. На рис. 3 показаны ЦФА-изображения сферы, восстановленные по формулам (2) и (5) по акустическим схемам: TdT (а), TdTT (б), TTdTT (в). Оси на этих изображениях совпадают с показанными на рис. 1, а линией черного цвета показан внутренний диаметр трубы. На рис. 3а ложные индикации из-за наличия краевых волн имеют заметную амплитуду порядка –16 дБ от максимальной амплитуды индикации сферы. На изображениях, восстановленных на акустических схемах TdTT и TTdTT, ложные индикации из-за наличия краевых волн так же хорошо заметны. Из-за эффекта фокусировки разрешающая способность вдоль оси x достаточно высокая и равна примерно 1,5 мм. Отметим, что на плоскопараллельном объекте разрешающаяся способность ЦФА-изображения вдоль оси x была бы около 5 мм, что примерно соответствует размеру пьезопластины. Если бы расчеты проводились для типовых антенных решеток с размером элемента равным 0,75×10 мм, то разрешающая способность была бы около 10 мм. Изображения вне границ образца можно не восстанавливать, тогда не будет ложной индикации, сформированной эхосигналам по акустической схеме TTdTT.
Рис. 3. ЦФА-изображения сферы, восстановленные по акустическим схемам, при использовании антенной решетки: TdT (а); TdTT (б); TTdTT (в).
3.1.2. Антенная матрица 16 на 4 элемента
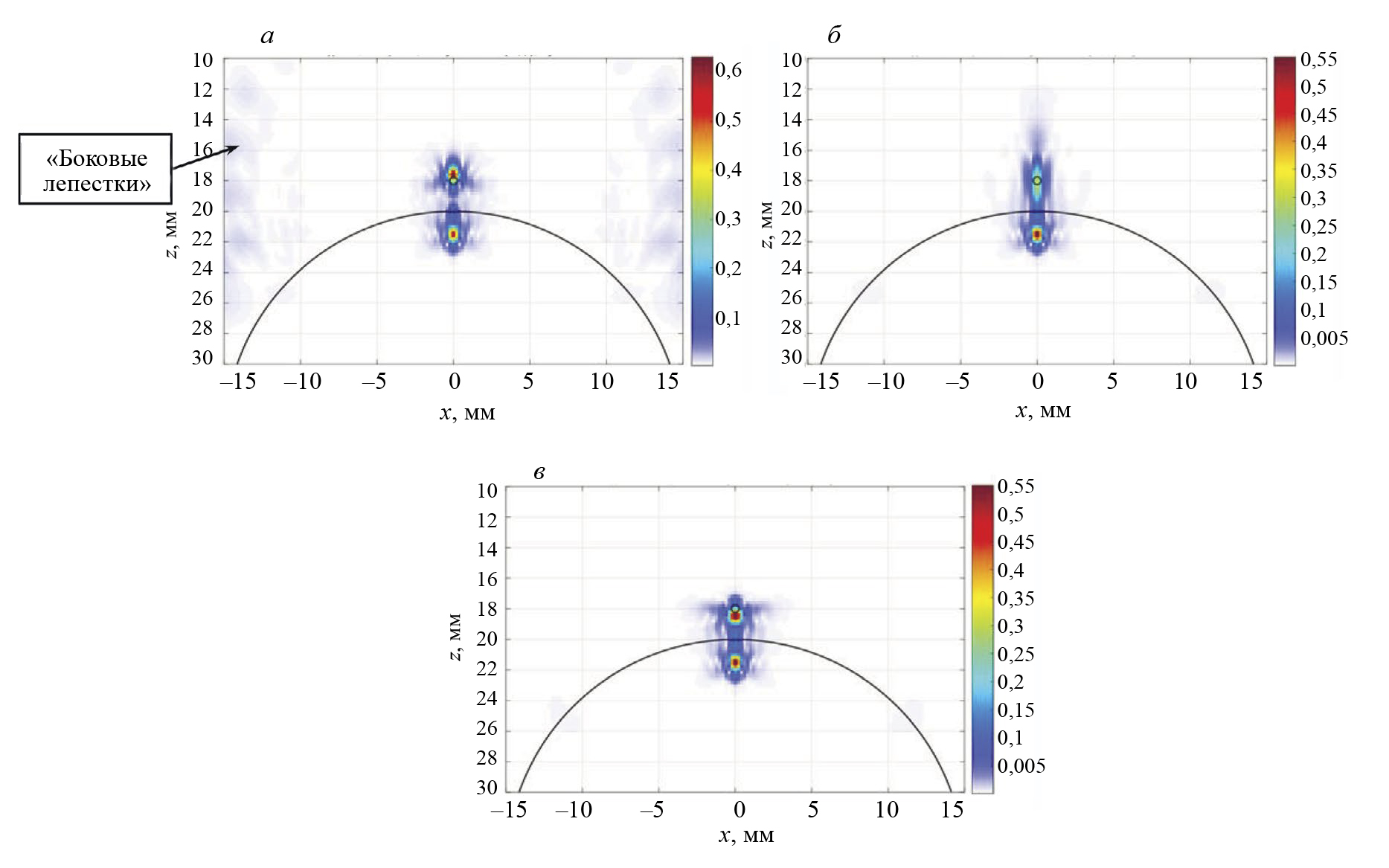
Эхосигналы рассчитывались для антенной матрицы с частотой 5 МГц, состоящей из 16×4 элементов размерами 0,75×1,25 мм с зазором 0,25 мм по обеим осям, установленной на рексолитовую призму с углом наклона 35 град. Апертура антенной матрицы была примерно равна апертуре антенной решетки, описанной в разделе 3.1.1. Антенная матрица располагалась снаружи трубы, была ориентирована вдоль оси y и для повышения разрешающей способности перемещалась по поверхности цилиндра (ось φ) 5 раз с шагом 10 град, начиная с –20 град. По оси y антенная матрица перемещалась 6 раз с шагом 5 мм, начиная с положения –25 мм. Апертура сканирования была примерно такая же, что и в разделе 3.1.1. На рис. 4 показаны ЦФА-изображения сферы, восстановленные по формулам (2) и (5) по акустическим схемам: TdT (а), TdTT (б), TTdTT (в). Оси на этих изображениях совпадают с показанными на рис. 1, а линией черного цвета показан внутренний диаметр трубы. На рис. 4а ложные индикации из-за наличия краевых волн исчезли, но стали заметны индикации из-за грубого шага антенной решетки. Эти индикации имеют амплитуду порядка –22 дБ от амплитуды индикации сферы. По сравнению с изображением на рис. 3, изображения, полученные с использованием антенной матрицы (см. рис. 4), имеют очень высокую разрешающую способность вдоль оси x, равную примерно 0,7 мм, а уровень ложных индикаций из-за наличия краевых волн практически равен нулю.
Рис. 4. Изображения сферы, восстановленные по акустическим схемам, при использовании антенной матрицы: TdT (а); TdTT (б); TTdTT (в).
3.2. Сканирование по внутренней поверхности трубы
3.2.1. Антенная решетка 16 элементов
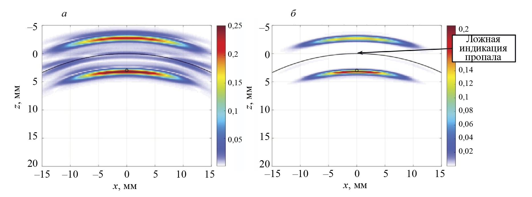
Эхосигналы рассчитывались для антенной решетки с частотой 5 МГц, состоящей из 16 элементов размерами 0,75×5 мм с зазором 0,25 мм, установленной на рексолитовую призму с углом наклона 35 град. Антенная решетка располагалась внутри трубы на вогнутой поверхности, была ориентирована вдоль оси y и для повышения разрешающей способности растровым образом перемещалась по поверхности цилиндра (ось φ) 21 раз с шагом 2 град, начиная с –20 град. По оси y антенная решетка перемещалась 6 раз с шагом 5 мм, начиная с положения с –25 мм. На рис. 5а показано ЦФА-изображение сферы, восстановленное по формулам (2) и (5) по акустической схеме TdT, а на рис. 5б показано ЦФА-CF-изображение с учетом когерентного фактора, восстановленное по формулам (4) и (5). Оси на этих изображениях совпадают с показанными на рис. 1. В отличии от изображения на рис. 3а, из-за отсутствия эффекта фокусировки фронтальное разрешение даже ЦФА-CF-изображения на рис. 5б ухудшилось примерно в десять раз и равно 15 мм.
Рис. 5. ЦФА-изображение сферы при использовании антенной решетки по акустической схеме TdT (а); ЦФА-CF-изображение с учетом когерентного фактора (б).
3.2.2. Антенная матрица 16 на 4 элемента
Эхосигналы рассчитывались для антенной матрицы с частотой 5 МГц, состоящей из 16×4 элементов размерами 0,75×1,25 мм с зазором 0,25 мм по обеим осям, установленной на рексолитовую призму с углом наклона 35 град. Апертура антенной матрицы была примерно равна апертуре антенной решетки, описанной в разделе 3.2.1. Антенная матрица располагалась внутри трубы на вогнутой поверхности, была ориентирована вдоль оси y и для повышения разрешающей способности растровым образом перемещалась по поверхности цилиндра (ось φ) 5 раз с шагом 10 град, начиная с –20 град. По оси y антенная матрица перемещалась 6 раз с шагом 5 мм, начиная с положения с –25 мм. Апертура сканирования была примерно такая же, что и в разделе 3.2.1. На рис. 6а показано ЦФА-изображение сферы, восстановленное по формулам (2) и (5) по акустической схеме TdT, а на рис. 6б показано ЦФА-CF-изображение с учетом когерентного фактора, восстановленное по формулам (4) и (5). Оси на этих изображениях совпадают с показанными на рис. 1. В отличии от изображений на рис. 5, фронтальная разрешающая способность возросла примерно раз в пять раз и равна 3 мм, но из-за эффекта расфокусировки на вогнутой поверхности по сравнению с изображением на рис. 4а она хуже примерно в четыре раза.
Рис. 6. ЦФА-изображение сферы при использовании антенной матрицы по акустической схеме TdT (а); ЦФА-CF-изображение с учетом когерентного фактора (б).
МОДЕЛЬНЫЕ ЭКСПЕРИМЕНТЫ
Модельные эксперименты проводились с использованием дефектоскопа «АВГУР АРТ», разработанного и изготовляемого в «Научно-производственном центре «ЭХО+» [23].
4.1. Объект контроля
В практике ультразвукового неразрушающего контроля встречаются объекты в виде протяженных труб малого радиуса 29 мм и толщиной стенки 20 мм. Причем на внешней поверхности трубы может быть сделана проточка с конусом и ступенькой, разделенными цилиндрической проточкой длиной около 20 мм и толщиной около 12 мм. При изготовлении и эксплуатации такого объекта на границе ступеньки и конуса с цилиндрической проточкой могут возникать трещины. Их можно достаточно просто обнаружить при контроле на прямом луче изнутри трубы. Однако при длине трубы в несколько метров система доставки и сканирования антенной решеткой на призме будет достаточно сложная. Несколько усложняет задачу изготовление специальных призм и антенных решеток или матриц, которые должны поместится в достаточно узкую трубу диаметром 18 мм. При контроле снаружи нет необходимости изготавливать специализированные антенные решетки или матрицы, а конструирование систем сканирования для труб диаметром около 60 мм достаточно проработанная тема. Для повышения достоверности контроля целесообразно размещать одну призму со стороны ступеньки, а вторую призму со стороны конуса внешней проточки. Однако при контроле снаружи на прямом луче на фоне индикаций больших амплитуд от конуса индикацию трещины можно пропустить. Но, если использовать сканирующую антенную матрицу, то можно надеяться, что на ЦФА- или на ЦФА-CF-изображении по акустической схеме TTdTT удастся уверенно обнаружить корень трещины.
На рис. 7 показана фотография упомянутого выше фрагмента толстостенной трубы, антенной решетки на призме со стороны ступеньки, установленной в прижим системы сканирования, которая перемещает призму вдоль оси y и вдоль оси xs. В образце электроэрозионным способом было изготовлено два паза в области пересечения конуса и цилиндрической проточки. Пазы отмечены на рис. 7 выносками. Паз 1 имел длину 15 мм, ширину 0,5 мм и глубину 5 мм, а паз 2 был длиной 2 мм, шириной 0,2 мм, высотой 2 мм (см. увеличенную врезку на рис. 7, полученную при другом освещении и при размещении матрицы со стороны конуса). Как показали модельные эксперименты, обнаружение паза 1 оказалось достаточно простой задачей, поэтому внимание было сосредоточено на получении изображения паза 2. Для регистрации эхосигналов использовалась антенная матрица с частотой 5 МГц, состоящей из 16×8 элементов размерами 0,75×1,25 мм с зазором 0,25 мм по обеим осям, установленная на рексолитовую призму с углом наклона 35 град.
Рис. 7. Фотография толстостенной трубы, антенной решетки на призме, зажатой в прижим и расположенной со стороны ступеньки.
4.2. Паз 2 со стороны ступеньки
На рис. 8а показано ЦФА-изображение паза при размещении антенной матрицы со стороны ступеньки, как показано на рис. 7, восстановленное по формулам (2) и (5) по акустической схеме TTdTT, а на рис. 8б показано ЦФА-CF-изображение с учетом когерентного фактора, восстановленное по формулам (4) и (5). Для повышения разрешающей способности антенная решетка перемещалась по поверхности цилиндра (ось xs) по пяти положениям, показанными стрелками красного цвета. Координата y была зафиксирована и равна 0 мм. На изображения сплошными линиями черного цвета нанесены границы внутренней и внешней поверхности, а пунктирной линией черного цвета показана цилиндрическая проточка диаметром около 20 мм. На обоих изображениях хорошо обнаруживается индикация корня трещины. Но на ЦФА-CF-изображении отношение сигнал/шум увеличилось более чем на 12 дБ, а возросшая разрешающая способность позволяет оценить размеры трещины примерно как 2 мм. Изображения вне границ образца можно не восстанавливать и тогда не будет ложной индикации, сформированной эхосигналам по акустической схеме TTTdTTT.
Рис. 8. ЦФА-изображение паза по акустической схеме TTdTT (а); ЦФА-CF-изображение с учетом когерентного фактора (б) при установке антенной матрицы со стороны ступеньки.
4.3. Паз 2 со стороны конуса
На рис. 9а показаны виды B- и D-типа ЦФА-изображения паза при размещении антенной матрицы со стороны конуса, восстановленное по формулам (2) и (5) по акустической схеме TTdTT. Для повышения разрешающей способности антенная решетка перемещалась по поверхности цилиндра (ось xs) по девяти положениям при y = 0 мм. При контроле со стороны конуса ось y будет развернута на 180 град, а ось xs будет проходить так, как показано на врезке рис. 7. На изображения сплошными линиями черного цвета нанесена граница проточки на виде D-типа, а пунктирной линией черного цвета на виде B-типа показана цилиндрическая проточка диаметром около 20 мм. На изображениях индикация корня паза хорошо обнаруживается на фоне индикации конусного перехода проточки и размер паза можно оценить примерно как 2 мм. Индикация вершины трещины, сформированная дифракционными эхосигналами, не видна на виде D-типа из-за недостаточной лучевой разрешающей способности.
Рис. 9. ЦФА-изображение паза по акустической схеме TTdTT при установке матрицы со стороны конуса: вид B-типа (а); вид D-типа (б).
ВЫВОДЫ
Таким образом, по результатам исследований, изложенных в данной статье, можно сделать следующие выводы.
При контроле толстостенных труб малого диаметра на формирование ЦФА-изображения сильное влияние оказывает кривизна поверхности: при контроле с внешней поверхности ультразвуковое поле физически фокусируется, а при контроле изнутри поле физически расфокусируется.
Поэтому при контроле с внешней поверхности из-за эффекта фокусировки можно использовать антенную решетку, но использование антенной матрицы в численных экспериментах позволило повысить разрешающую способность более чем в два раза.
Контроль толстостенных труб малого диаметра неэффективен изнутри при применении антенных решеток из-за очень низкой разрешающей способности (см. рис. 5). Использование антенной матрицы позволяет получить ЦФА-изображения в режиме 3D с разрешающей способностью на порядок выше (см. рис. 6).
ЦФА-CF-изображения, полученные с учетом когерентного фактора, по сравнению с ЦФА-изображениями позволяют повысить разрешающую способность примерно в 1,5 раза и уменьшить уровень шума примерно на 9 дБ. Такой подход позволил в модельном эксперименте обнаружить паз длиной и высотой 2 мм на границе конусного переходи и внутренней проточки (см. рис. 9).
Об авторах
Е. Г. Базулин
ООО «Научно-производственный центр «ЭХО+»
							Автор, ответственный за переписку.
							Email: bazulin@echoplus.ru
				                					                																			                												                	Россия, 							123458 Москва, ул. Твардовского, 8, Технопарк «Строгино»						
Список литературы
- Advances in Phased Array Ultrasonic Technology Applications. Publisher: Waltham, MA: Olympus NDT, 2007. URL: https://www.olympus-ims.com/en/books/pa/pa-advances/ (дата обращения: 07.07.2023).
 - Воронков В.А., Воронков И.В., Козлов В.Н., Самокрутов А.А., Шевалдыкин В.Г. О применимости технологии антенных решеток в решении задач ультразвукового контроля опасных производственных объектов // В мире неразрушающего контроля. 2011. № 1. С. 64—70.
 - Базулин Е.Г. Сравнение систем для ультразвукового неразрушающего контроля, использующих антенные решётки или фазированные антенные решётки // Дефектоскопия. 2013. № 7. С. 51—75.
 - ISO 23865:2021. Non-destructive testing – Ultrasonic testing – General use of full matrix capture/total focusing technique (FMC/TFM) and related technologies. URL:https://www.iso.org/standard/78034.html (дата обращения: 28.07.2024).
 - Ковалев А.В., Козлов В.Н., Самокрутов А.А., Шевалдыкин В.Г., Яковлев Н.Н. Импульсный эхо-метод при контроле бетона. Помехи и пространственная селекция // Дефектоскопия. 1990. № 2. С. 29—41.
 - Научно-производственная компания «Акустические Контрольные Системы»: Дефектоскоп А1550 IntroVisor: офиц. сайт: URL: https://acsys.ru/vyisokochastotnyij-ultrazvukovoj-defektoskop-tomograf-a1550-introvisor/ (дата обращения: 23.07.2024).
 - Holmes C., Drinkwater B.W., Wilcox P.D. Post-processing of the full matrix of ultrasonic transmit-receive array data for non-destructive evaluation // NDT&E International. 2005. V. 38. P. 701—711.
 - Kang S., Lee J., Chang J.H. Effectiveness of synthetic aperture focusing and coherence factor weighting for intravascular ultrasound imaging // Ultrasonics. 2021. V. 113. P. 106364. doi: 10.1016/j.ultras.2021.106364
 - Gauthier Baptiste, Painchaud Guillaume, Le Duff Alain, Belanger Pierre. Lightweight and Amplitude-Free Ultrasonic Imaging Using Single-Bit Digitization and Instantaneous Phase Coherence // IEEE Transactions on Ultrasonics, Ferroelectrics, and Frequency Control. 2022. P. 1—1. ISSN 1525-8955. doi: 10.1109/TUFFC.2022.3163621
 - Camacho Jorge, Fritsch Carlos, Fernandez-Cruza Jorge, Parrilla Montserrat. Phase Coherence Imaging: Principles, applications and current developments // Proceedings of Meetings on Acoustics. September 2019. V. 38 (1). P. 055012. doi: 10.1121/2.0001201. URL: https://asa.scitation.org/doi/abs/10.1121/2.0001201 (дата обращения: 28.07.2024).
 - Базулин Е.Г. Ультразвуковой контроль сварных соединений трубопровода типа Ду800. Часть 1. Восстановление изображения отражателей методом ЦФА // Дефектоскопия. 2017. № 3. С. 12—26.
 - Chen T., Du Q., Li W., Sheng S., Zhou H. Ultrasonic Imaging Detection of Welding Joint Defects of Pressure Pipeline Based on Phased Array Technology / In 2023 International Conference on Mechatronics, IoT and Industrial Informatics (ICMIII), 2023. Melbourne, Australia. P. 375—379. doi: 10.1109/ICMIII58949.2023.00078
 - Hampson Rory, Zhang Dayi, Gachagan Anthony, Dobie Gordon. Modelling and characterisation ultrasonic phased array transducers for pipe inspections. September 2022 // International Journal of Pressure Vessels and Piping. V. 200 (7). P. 104808. doi: 10.1016/j.ijpvp.2022.104808
 - Schmerr L.W. Jr. Fundamentals of Ultrasonic Nondestructive Evaluation. A Modeling Ap-proach. Second Edition. Springer. 2016. 492 p. doi: 10.1007/978-3-319-30463-2
 - Крохмаль А.А., Николаев Д.А., Цысарь С.А., Сапожников О.А. Создание эталонной плоской ультразвуковой волны в жидкости с помощью плоского пьезоэлектрического преобразователя большого волнового размера // Акуст. журн. 2020. Т. 66. № 5. С. 475—488.
 - Kang S., Lee J., Chang J. H. Effectiveness of synthetic aperture focusing and coherence factor weighting for intravascular ultrasound imaging // Ultrasonics. 2021. V. 113. P. 106364. doi: 10.1016/j.ultras.2021.106364
 - Červený V. Seismic ray theory. New York: Cambridge University Press, 2001. 713 p.
 - Бабич В.М., Киселев А.П. Упругие волны. Высокочастотная теория. СПб.: БХВ-Петербург, 2014. C. 320.
 - Moon S., Kang T., Han S., Kim K.-M., Jin H.-H., Kim S.-W., Kim M., Seo H. FEA-Based Ultrasonic Focusing Method in Anisotropic Media for Phased Array Systems // Appl. Sci. 2021. No. 11. P. 8888. doi: 10.3390/app11198888
 - Kalkowski M.K., Lowe M.J.S., Samaitis V., Schreyer F., Robert S. Weld map tomography for determining local grain orientations from ultrasound // Proc. R. Soc. 2023. A 479. P. 20230236. https://doi.org/10.1098/rspa.2023.0236.
 - Борн М., Вольф Э. Основы оптики / Пер. с англ. Изд. 2, испр. М.: Наука, 1973. 720 с.
 - Фирма EXTENDE: офиц. сайт URL: https://www.extende.com/ndt (дата обращения: 11.05.2024).
 - Научно-производственный центр «ЭХО+»: офиц. сайт URL: https://echoplus.ru/ (дата обращения: 11.05.2024).
 
Дополнительные файлы
				
			
						
						
						
					
						
									











