Changes in magnetic characteristics of pipes during hydraulic and pneumatic tests of trunk pipelines
- 作者: Myznov K.E.1, Vasilenko O.N.1, Kostin V.N.1, Tronza V.S.2, Bondina A.N.2, Kukushkin S.S.2, Tryakina N.Y.2
-
隶属关系:
- M.N. Mikheev Institute of Metal Physics of Ural Branch of Russian Academy of Sciences
- LLC “Gazprom transgas Ekaterinburg”
- 期: 编号 7 (2024)
- 页面: 67-71
- 栏目: По материалам XXXV Уральской конференции «Физические методы неразрушающего контроля (Янусовские чтения)»
- URL: https://bakhtiniada.ru/0130-3082/article/view/262269
- DOI: https://doi.org/10.31857/S0130308224070082
- ID: 262269
如何引用文章
全文:
详细
To identify the zones with the highest tensile stresses and deformations, a two-parameter magnetic method based on the measurement of coercive force and residual magnetic induction was applied. For realization of the method a mobile hardware and software complex DIUS-1.21M with an electromagnetic U-transducer was used, which was located along the pipe axis and along the pipe ring. Measurements were carried out on three pipes: in the first one magnetic characteristics were measured in the absence and under the influence of internal pressure; in the second and third ones — before the test and after the pipe fracture. It was revealed that internal pressure leads to the growth of residual magnetic induction in all zones both along the axis and along the ring, which indicates the occurrence of axial and circular tensile stresses in these zones, and the change of coercivity occurred ambiguously. It was found that fracture significantly increases the scatter of magnetic characteristics, which is explained by the complex nature of the stress-strain state of the fractured object.
全文:
ВВЕДЕНИЕ
Оценка напряженно-деформированного состояния действующих трубопроводов является важной и давно изучаемой проблемой [1—4]. Напряженно-деформированное состояние каждой единицы объема трубы можно описать двумя составляющими тензора механических напряжений: осевой и кольцевой. Основным фактором, вызывающим кольцевые напряжения в действующем трубопроводе, является внутреннее давление [5, 6]. Большие кольцевые напряжения могут привести к разрушению объекта, особенно при присутствии в стенке трубы дефекта. Поэтому существует необходимость в определении местоположения наиболее опасных концентраторов напряжений в трубе при действии в ней внутреннего давления [1, 7].
Цель работы — определить взаимосвязь магнитных характеристик с напряженно-деформированным состоянием участков магистральных трубопроводов при гидро- и пневмоиспытаниях.
ОБЪЕКТЫ КОНТРОЛЯ И МЕТОДИКА ИЗМЕРЕНИЙ
Гидроиспытания проводились на двух изначально одинаковых трубах из стали класса прочности К80 (Х100) с внешним диаметром 1220 мм и толщиной стенки 20 мм. На первой трубе измерения проводились до испытания без давления и при давлении 20 кгс/см2, которое вызывало напряжения, не превышающие предел упругости. Во второй трубе был создан искусственный дефект (типа надрез) продольного шва посередине трубы (сеч. 2 на рис. 1 и 2). На этой трубе проводились гидроиспытания вплоть до разрыва, а измерения магнитных характеристик проводились до испытания и после разрыва.
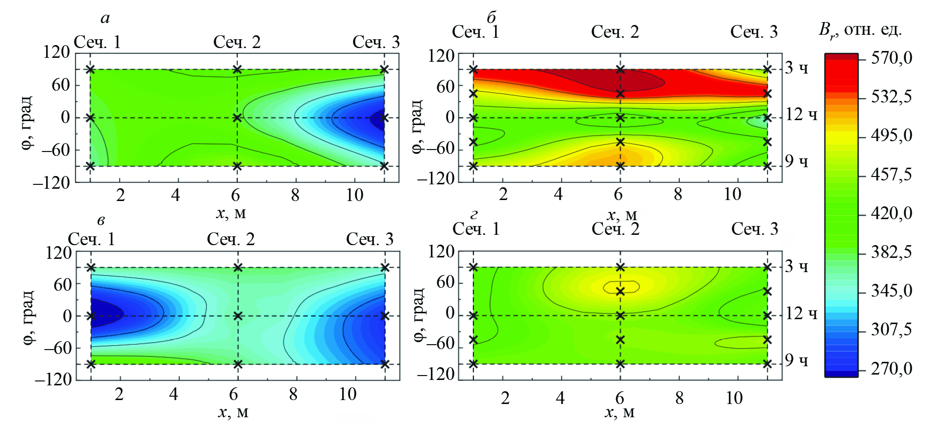
Рис. 1. Распределение коэрцитивной силы по трубе до гидроиспытания (а, в) и во время гидроиспытания (б, г), измеренной по оси (а, б) и по кольцу (в, г); × — точки, в которых проводились измерения.
Рис. 2. Распределение остаточной магнитной индукции по трубе до гидроиспытания (а, в) и во время гидроиспытания (б, г), измеренной по оси (а, б) и по кольцу (в, г); × — точки, в которых проводились измерения.
Пневмоиспытание проводилось на трубе из стали класса прочности К70 с внешним диаметром 1440 мм и толщиной стенки 36 мм, на которой по продольному сварному шву был создан надпил глубиной в половину толщины стенки.
Магнитные измерения проводились с помощью мобильной аппаратно-программной системы DIUS-1.21M [8]. При измерении магнитных характеристик прибор устанавливался на внешнюю поверхность объекта контроля таким образом, чтобы перемагничивание и измерение происходило вдоль направления хода трубы (по оси) и поперек хода трубы (по кольцу).
Зоны контроля первой трубы находились на пересечении трех поперечных сечений и трех продольных сторон (на 3, 9, 12 ч) до испытания при отсутствии внутреннего давления в трубе, а во время гидроиспытания при давлении 20 кгс/см2 — трех поперечных сечений и пяти сторон (на 1,5; 3; 9; 10,5 и 12 ч). Зоны контроля второй трубы располагались возле продольного сварного шва. На трубе для пневмоиспытания измерения проводились на расстоянии 50 мм от надпила.
РЕЗУЛЬТАТЫ И ИХ ОБСУЖДЕНИЕ
По полученным результатам измерений магнитных характеристик первой трубы из стали К80 были построены карты распределения коэрцитивной силы Hc и остаточной магнитной индукции Br по поверхности трубы, показанные на рис. 1 и 2.
При гидроиспытании воздействие внутреннего давления на стенки трубы вызывает в них напряжения двустороннего растяжения [4, 9]: осевые и кольцевые напряжения. Осевые напряжения направлены вдоль оси трубопровода, а кольцевые — поперек. Причем кольцевые напряжения по теории [4, 9] в два раза больше осевых.
Как видно по рис. 1, коэрцитивная сила Hc при воздействии давления изменилась неоднозначно, что затрудняет использование коэрцитиметрии в определении напряженно-деформированного состояния разных зон трубы. Согласно рис. 2, значения остаточной магнитной индукции Br увеличились во всех зонах трубы при измерениях как по оси, так и по кольцу, что говорит о возникновении во всей трубе кольцевых и осевых растягивающих напряжений. Отсутствие падения Br во всех зонах говорит о том, что эти напряжения не являются критически опасными (т.е. не являются близкими к пределу прочности) [10, 11]. Однако для определения зон с напряжениями, вызывающими слабые пластические деформации, одной лишь остаточной магнитной индукции недостаточно из-за неоднозначного изменения этой характеристики [11], что требует проведения дальнейших исследований.
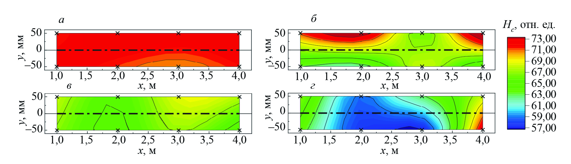
На рис. 3 показано распределение магнитных характеристик, измеренных на второй трубе из стали К80 возле места разрушения. Координата φ = 0 соответствует продольному шву, по которому и произошло разрушение трубы.
Рис. 3. Распределение коэрцитивной силы (а), остаточной (б) и максимальной (в) магнитной индукции по трубе после разрушения в результате гидроиспытаний, измеренных по направлению ось; ― — сварной шов; × — точки, в которых проводились измерения.
Из рис. 3 видно, что характеристики Hc и Br после разрушения имеют большой разброс. Значения Hc находились в диапазоне от 70,2 до 111,9, а Br — от 250,5 до 587,7. Наименьшее значение Br находятся в точке R, которая расположена близко к месту нанесения искусственного дефекта. Этой точке также характерно пониженное значение Hc. Точке R соответствует место наибольшего изгиба трубы после разрушения.
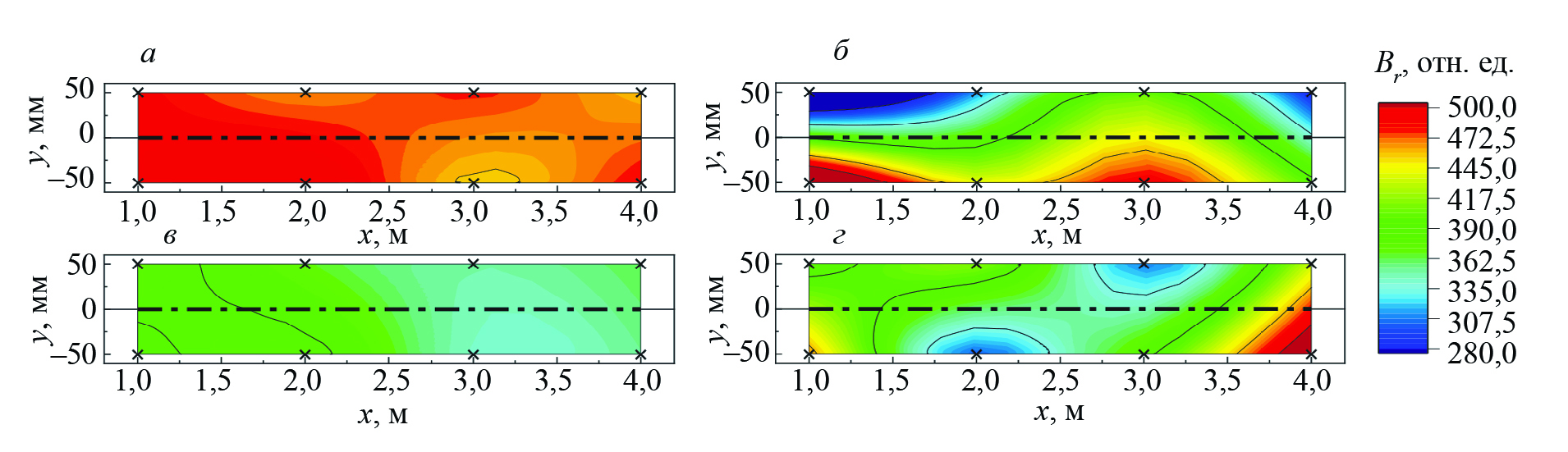
Карты распределения, полученные по результатам измерений магнитных характеристик на трубе из стали К70, показаны на рис. 4 и 5.
По рис. 4 и 5 обнаружено, что Hc и Br, полученные вдоль оси, до испытания находились в диапазоне от 70,6 до 73 и от 455 до 498,5 отн. ед., а после разрушения — от 62,1 до 75,7 и от 280 до 568 отн. ед. А вдоль кольца эти же характеристики до испытания находились в диапазоне от 64 до 68,7 и от 342,5 до 400,5 отн. ед., а после разрушения от 56,8 до 72,9 и от 302,3 до 532,3 отн. ед. То есть вследствие разрушения сильно увеличился разброс магнитных характеристик как по оси, так и по кольцу, в большинстве точек характеристики изменились в сторону уменьшения. Аналогичный разброс характеристик виден возле области разрыва на трубе, разрушенной в результате гидроиспытания (см. рис. 3).
Рис. 4. Распределение коэрцитивной силы по трубе-инициатору до пневмоиспытания (а, в) и после разрушения (б, г), измеренной по оси (а, б) и по кольцу (в, г); ― . ― — надпил; × — точки, в которых проводились измерения.
Рис. 5. Распределение остаточной магнитной индукции по трубе-инициатору до пневмоиспытания (а, в) и после разрушения (б, г), измеренной по оси (а, б) и по кольцу (в, г); ― . ― — надпил; × — точки, в которых проводились измерения.
ВЫВОДЫ
Сложный характер разрушения трубы внутренним давлением показал существенный разброс магнитных характеристик, но при присутствии точечного инициатора разрушения, в данном случае надреза продольного сварного шва, возле этого инициатора возникает зона сильных изгибающих деформаций, сопровождающаяся значительным уменьшением коэрцитивной силы и остаточной магнитной индукции.
Установлено, что при слабом внутреннем давлении индикатором повышения растягивающих напряжений является остаточная магнитная индукция, но для определения напряжений одной лишь остаточной магнитной индукции недостаточно, для обеспечения достоверного контроля напряжений необходимо проводить многопараметровый неразрушающий контроль.
Работа выполнена в рамках государственного задания Минобрнауки России по теме «Диагностика», № 122021000030-1.
作者简介
K. Myznov
M.N. Mikheev Institute of Metal Physics of Ural Branch of Russian Academy of Sciences
编辑信件的主要联系方式.
Email: myznov@imp.uran.ru
俄罗斯联邦, 620108 Yekaterinburg, S. Kovalevskaya Street, 18
O. Vasilenko
M.N. Mikheev Institute of Metal Physics of Ural Branch of Russian Academy of Sciences
Email: vasilenko@imp.uran.ru
俄罗斯联邦, 620108 Yekaterinburg, S. Kovalevskaya Street, 18
V. Kostin
M.N. Mikheev Institute of Metal Physics of Ural Branch of Russian Academy of Sciences
Email: vasilenko@imp.uran.ru
俄罗斯联邦, 620108 Yekaterinburg, S. Kovalevskaya Street, 18
V. Tronza
LLC “Gazprom transgas Ekaterinburg”
Email: myznov@imp.uran.ru
俄罗斯联邦, 620075 Yekaterinburg, Clara Zetkin Street, 14
A. Bondina
LLC “Gazprom transgas Ekaterinburg”
Email: myznov@imp.uran.ru
俄罗斯联邦, 620075 Yekaterinburg, Clara Zetkin Street, 14
S. Kukushkin
LLC “Gazprom transgas Ekaterinburg”
Email: myznov@imp.uran.ru
俄罗斯联邦, 620075 Yekaterinburg, Clara Zetkin Street, 14
N. Tryakina
LLC “Gazprom transgas Ekaterinburg”
Email: myznov@imp.uran.ru
俄罗斯联邦, 620075 Yekaterinburg, Clara Zetkin Street, 14
参考
- Aginei R.V. Development of a methodology for estimating the stressed state of oil and gas pipelines by the coercive force of metal: specialty 25.00.19 “Construction and operation of oil and gas pipelines, bases and storages” / abstract of the dissertation for the degree of Candidate of Technical Sciences. Ukhta, 2005, 21 p.
- Popov B.E., Levin E.A., Kotelnikov V.S., Bezlyud’ko G.Ya., Dolinsky V.M., Zarudnyi A.V. Magnetic control of stress-strain state and residual resource of pressure vessels // Occupational Safety in Industry. 2001. No. 3. P. 27—36.
- Kulak S.M., Novikov V.F., Probotyuk V.V., Vatsenkov S.M., Fursov, E.S. Magnetic testing of stressed state of hydrotested gas-separator wall // Defectoskopyia. 2019. No. 3. P. 38—45.
- Ignatik A.A. A computational and experimental assessment of the pipeline stress state under bending load and internal pressure // Oil and Gas Studies. 2021. No. 2 (146). P. 114—126.
- SNiP (Building Codes and Regulations) 2.05.06-85. Trunk pipelines, Moscow: FGUP TSPP, 2005, 60 p.
- SP (Set of Rules) 36.13330.2012. Trunk pipelines. Moscow: Gosstroy, 2013. 93 p.
- Arumugam T., Mohamad Rosli M.K.A., Karuppanan S., Ovinis M., Lo M. Burst capacity analysis of pipeline with multiple longitudinally aligned interacting corrosion defects subjected to internal pressure and axial compressive stress // SN Appl. Sci. 2020. V. 2 (1201). P. 1—11.
- Kostin V.N., Vasilenko O.N., Byzov A.V. DIUS-1.15M Mobile Hardware–Software Structuroscopy System // Defectoskopyia. 2018. No. 9. P. 47—53.
- Feodosiev V.I. Strength of Materials: Textbook for Higher Education Institutions. 10th edition, revision and additions. Moscow: Bauman MSTU, 1999. 592 p.
- Gorkunov E.S., Zadvorkin S.M., Mushnikov A.N., Smirnov S.V., Yakushenko E.I. Effect of mechanical stresses on the magnetic characteristics of pipe steel // Journal of Applied Mechanics and Technical Physics. 2014. V. 55. No. 3. P. 530—538.
- Kostin V.N., Tsar’kova T.P., Loskutov V.E., Kostin K.V., Nichipuruk A.P., Lopatin V.V. Irreversible changes in the magnetization as indicators of stressed-strained state of ferromagnetic objects // Defectoskopyia. 2009. No. 11. P. 54—67.
补充文件







