Experimental study of ultrasonic wave propagation in a long waveguide sensor for fluid-level sensing
- Авторлар: Kumar A.1, Periyannan S.1
-
Мекемелер:
- National Institute of Technology
- Шығарылым: № 2 (2024)
- Беттер: 17-29
- Бөлім: Acoustic methods
- URL: https://bakhtiniada.ru/0130-3082/article/view/255593
- DOI: https://doi.org/10.31857/S0130308224020021
- ID: 255593
Дәйексөз келтіру
Толық мәтін
Аннотация
This work reports an ultrasonic long waveguide sensor for measuring the fluid level utilizing longitudinal L(0,1), torsional T(0,1), and flexural F(1,1) wave modes. These wave modes were transmitted and received simultaneously using stainless-steel wire. A long waveguide (>12 m) covers a broader region of interest and is suitable in the process industry's hostile environment applications, "fluid levels and temperature measurements." In this work, we used fluids "diesel, water, and glycerin" for measuring fluid levels based on the sensor's reflection factors from time domain and frequency domain signals. We examined the impact of wave modes' attenuation effects for long waveguide sensor design while changing the waveguide lengths. Initially, we obtained the L(0,1) and T(0,1) modes reflections from the 12.6 m waveguide length when one end of the long waveguide was fixed with a shear transducer at 45° orientation. Subsequently, we want to study and identify all wave modes'' (especially F mode) travel distances. Hence, we would like to investigate the guided wave propagation characteristics (attenuation, ultrasonic velocity, and frequency of all wave modes) in the long waveguide while cutting systematically at intervals of 1 meter, starting from its original length of the waveguide 12.6 meters by analyzing the A-scan signals of various lengths of a single waveguide. This simple and cost-effective technique can monitor the high fluid depths and temperature in power plants, oil, and petrochemical industries while designing a long waveguide sensor with appropriate ultrasonic parameters.
Негізгі сөздер
Толық мәтін
ВВЕДЕНИЕ
За последние несколько десятилетий возрос интерес к разработке ультразвуковых датчиков для измерения уровня жидкости в складских контейнерах, на электростанциях (котлах) и нефтехранилищах. Для решения этих задач было изучено множество подходов. Один из таких методов [1, 2] предполагает посылать электрические импульсы по одной линии в резервуар и измерять разницу во времени между выходными импульсами. Однако необходимо учитывать, что эти электрические импульсы не являются безопасными по своей природе при использовании в резервуарах для хранения нефтепродуктов. Как правило, для определения уровня жидкости в промышленности используются два метода: инвазивный и неинвазивный. В инвазивных методах датчик находится в непосредственном контакте с рассматриваемой жидкостью (например, поплавковый датчик, ультразвуковой датчик) [3—6]. Однако в неинвазивных методах датчик не контактирует с жидкостью. Поэтому неинвазивные методы используются в тех случаях, когда оператору или конечному пользователю требуется повышенная безопасность (например, во взрывоопасной среде или в труднодоступных местах). Для определения уровня жидкости используются различные типы датчиков (поплавковые, электростатические, емкостные и оптоволоконные) [3]. Поплавковые датчики обеспечивают меньшую точность, электростатические датчики не могут работать в областях с изменяющейся температурой, а емкостные системы измерения очень чувствительны к ошибкам, вызванным изменениями свойств материала [4]. Кроме того, в конкретных областях применения требуется способность выдерживать высокие температуры и давления, например, в корпусах ядерных реакторов, где температура достигает 378°C, давление до 15,4 МПа и интенсивные радиационные поля [5]. Если говорить о корпусе ядерного реактора, то очень важно контролировать уровень воды и управлять им, для чего обычно используются измерения перепада давления, полученные с помощью преобразователей, подключенных к дискретным датчикам давления, расположенным на разных высотах. Эти средства не использовались в качестве распределенных датчиков и обеспечивали меньшую точность и информативность для мониторинга и управления безопасностью. Чтобы преодолеть эти проблемы, представлен новый подход к измерению уровня жидкости с использованием ультразвукового уровнемера на основе волновода. Данный метод основан исключительно на ультразвуковых волнах, что позволяет не опасаться электрических искр и других источников возгорания. Благодаря использованию волноводов из коррозионностойкого материала «нержавеющая сталь», данная технология датчика обеспечивает устойчивость к изменениям характеристик материала.
Изменения свойств окружающей среды могут влиять на акустический импеданс волновода, который определяет соотношение между активным акустическим давлением и результирующей скоростью. Для ультразвуковых волноводных датчиков были выбраны различные конфигурации и сечения (включая прямоугольные, ромбовидные и круглые формы) [7—21]. В этих датчиках используются моды L(0, 1) и T(0, 1) с волноводами ограниченной длины. В основном в них применяются ультразвуковые методики для измерения таких параметров, как уровень жидкости, вязкость расплава стекла, плотность жидкости и температура окружающих жидкостей. Кроме того, предлагаемый датчик позволяет измерять уровень жидкости по всей линии датчика, что превосходит ограничения обычных датчиков. Эта система ультразвуковых датчиков имеет полностью разделенные между датчиками функциональные способности и повышает их точность и эффективность. Кроме того, разработанные методы можно использовать в сложных условиях, выбрав подходящий материал волновода для конструкции датчика [15, 19]. Ультразвуковые волны для определения уровня жидкости и высокотемпературных измерений используются уже несколько десятилетий. Однако большинство подходов основано на фундаментальных модах L(0, 1) и T(0, 1). В работе Spratt и др. [10] рассматривается определение уровня жидкости и измерение температуры с помощью моды T(0, 1) на основе эхозеркального метода. Subhash и др. [22] описали измерение уровня с использованием моды L(0, 1) в стержне и волны S0 в пластине с помощью импульсного эхометода. Shilei и др. [23] использовали волновод круглого сечения для контроля уровня жидкости при различных углах наклона, используя волновую моду L(0, 1) на основе импульсного эхометода. Iwao и др. [24] разработали волноводный датчик трапециевидной конфигурации, использующий клиновые волны для контроля уровня жидкости.
Suresh и др. [11—14] сообщили о различных конфигурациях волноводов, таких как прямые, изогнутые, спиральные и винтовые, с несколькими отражателями для контроля высокой температуры с использованием мод L(0, 1) и T(0, 1). Dhayalan и др. [25] разработали ультразвуковой датчик на основе трубки для мониторинга колебаний уровня воды и смеси жидкого натрия с использованием продольной волны утечки L(0, 2) на основе импульсного эхометода. Roger и Kim и др. [26, 27] продемонстрировали конструкции волноводов прямоугольной и ромбовидной формы, которые повышают чувствительность датчика для контроля уровня, плотности и вязкости жидкости с использованием крутильной акустической моды. Кроме того, Suresh и др. показали, что разъем датчика сдвига и ось волновода ориентированы под углом 45°, что приводит к одновременному использованию мод L(0, 1), T(0,1) и F(1, 1). Различные методы, включая ультразвуковые датчики с воздушной связью и погружного типа (объемные волны), также могут измерять уровень жидкости. Как показано в предыдущих исследованиях [28, 29], эти методы зависят от эффектов затухания и изменения продолжительности полета. Эти волноводные датчики обычно находятся в непосредственном контакте с целевой областью для измерений. Температура и давление в области измерения не влияют на датчик, что является преимуществом ультразвуковых волноводных методов. Мы убедились, что датчик надежно подключен к одному концу волновода, и поддерживали его температуру на уровне температуры окружающей среды. Чуприн и др. [30] определили характеристики контроль уровня жидкости/потока жидкости с помощью нормальных ультразвуковых волн. Муравьев и др. [31—33] сообщают об ультразвуковом подходе с использованием электромагнитно-акустических (ЭМА) методов для оценки остаточных напряжений в ободах вагонных колес. Они также продемонстрировали термообработку стальных прутков с использованием ультразвукового метода ЭМА. Контроль осуществлялся с использованием режимов продольных и поперечных волн на основе измерения скорости и затухания ультразвуковых сигналов. Кроме того, они изучили влияние рабочей частоты и конструктивных особенностей противофазного ЭМА-преобразователя на его характеристики направленности. Растегаев и др. [34] предложили волноводный метод с использованием акустико-эмиссионного подхода для мониторинга/обследования промышленных деталей, работающих при высоких температурах. Мы не можем генерировать все три волновые моды одновременно в тонком проводе, используя подход ЭМА, из-за сложной связи между катушкой ЭМА и тонким волноводом при различной ориентации. Тем не менее в данной работе были использованы обычные ультразвуковые приборы.
Данное исследование посвящено разработке ультразвукового волноводного датчика длиной 12,6 м. Чтобы упростить измерение глубины жидкости, используются одновременно три моды (L(0, 1), T(0, 1) и F(1, 1)). Для передачи и приема этих мод использовался сдвиговый преобразователь, расположенный под углом 45° к оси волновода. В литературе не было найдено подходящих данных для понимания поведения различных мод направляемых волн (L, T, F) при одновременном распространении этих мод L(0, 1), T(0, 1), F(1, 1) в длинном волноводе (>12 м). При этом было обнаружено, что сигнал моды F(1, 1) не может быть получен из волновода длиной 12,6 м. В дальнейшем планируется исследовать поведение сигнала F(1, 1) при изменении длины волновода. Вначале были проведены измерения уровня жидкости с использованием волновых мод L(0, 1) и T(0, 1) через волновод длиной 12,6 м. Затем определили подходящую длину волновода для распространения всех трех волновых мод с достаточным уровнем сигнала.
УЛЬТРАЗВУКОВОЙ ДАТЧИК С ДЛИННЫМ ВОЛНОВОДОМ
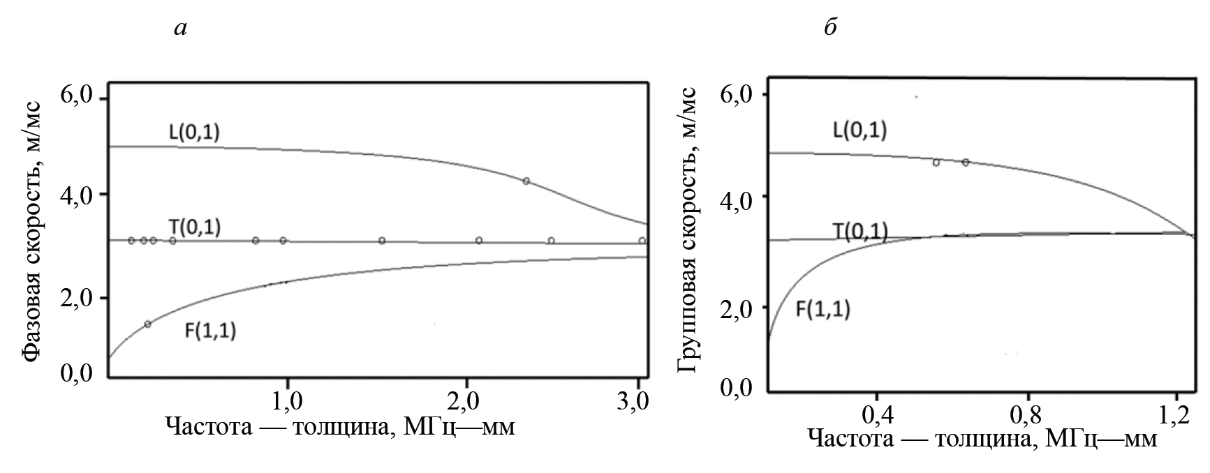
Для данной работы был выбран волновод из стальной проволоки. В табл. 1 приведены свойства материалов волноводов, их размеры и рабочая частота. Толщина волновода и рабочая частота были выбраны на основе дисперсионного соотношения [35] для нержавеющей стали, показанного на рис. 1. Одновременно все три моды L(0, 1), T(0, 1) и F(1, 1) передавались и принимались в проволоке из нержавеющей стали. Это достигалось при использовании преобразователя сдвиговой волны, соединенного под углом 45° с осью волновода, как показано на рис. 2, где также хорошо видна фотография ультразвукового возбуждения. Мы выбрали диапазон рабочих частот от 200 до 500 кГц для этой конструкции датчика, чтобы минимизировать эффект дисперсии. Для соединения с волноводом без воздушных зазоров был использован обычный датчик сдвиговой волны с кремниевым соединителем. В данном случае датчик отслеживает различные глубины уровня жидкости, такой как глицерин, вода и дизельное топливо. В табл. 2 представлены свойства этих жидкостей.
Рис. 1. Дисперсионное соотношение для нержавеющей стали: фазовая скорость (а); групповая скорость (б)
Рис. 2. Ориентация волновода и датчика под углом 45° для распространения мод F(1,1), T(0,1) и L(0,1) в эксперименте и фото возбуждения мод
Таблица 1. Материалы волновода и параметры эксперимента
Материал волновода | Нержавеющая сталь |
Длина волновода | 12,6 м |
Диаметр волновода | 1,2 м |
Модуль Юнга | 219 ГПа |
Плотность | 7800 кг/м3 |
Частота | 300 Мвыб/с |
Частота дискретизации | 125 МГц |
Ориентация | 45° |
Таблица 2. Свойства жидкостей
Жидкость | Плотность, кг/м3 | Объемный модуль упругости, ГПа |
Глицерин | 1260 | 4,36 |
Вода | 1000 | 2,2 |
Дизельное топливо | 810 | 1,35 |
ЭКСПЕРИМЕНТАЛЬНЫЕ ИЗМЕРЕНИЯ УРОВНЯ ЖИДКОСТИ
Были проведены эксперименты по измерению уровня жидкости с помощью ультразвукового датчика с волноводом по импульсному эхометоду. В волноводной конструкции датчика использовались моды L(0, 1), T(0, 1) и F(1, 1), которые могут генерироваться при ориентации оси волновода на 45° с помощью сдвигового преобразователя, как показано на схеме рис. 3а. Здесь датчик был надежно соединен с волноводом с соответствующим давлением (через стопорные винты) с помощью изготовленного на заказ держателя датчика без воздушного зазора с использованием тонкого слоя кремниевой смазки. Этот держатель может быть изготовлен в общем виде на основе нашей требуемой конструкции с четкими деталями, как показано на рис. 3б. Это простая конструкция и концепция для соединения датчика и одного из волноводов при различных ориентациях. Однако эта концепция была хорошо описана в ранних работах [16, 20, 35]. На рис. 3в показана реальная экспериментальная установка и оборудование, состоящее из сдвигового датчика (Olympus, V151, 0,5 МГц), длинного волновода из нержавеющей стали (диаметр 1,2 мм, длина 12,6 м), приемника импульсов (JSR Ultrasonic DPR300), пикоскопа (серия 3000, Pico Technology) и компьютера. Сигналы мод L(0, 1) и T(0, 1) передаются и принимаются приемником ультразвуковых импульсов. Для генерации ультразвукового импульса, распространяющегося по всей длине волновода, использовался преобразователь с частотой 0,5 МГц. Во время контроля уровня жидкости волновод вертикально располагался внутри контейнера. Конец волновода был соединен с датчиком сдвига, а другой конец датчика находился в жидкой среде. Первоначально волновод держали в воздушной среде и получали сигнал А-скана, показанный на рис. 4, который рассматривали как опорный сигнал. Затем были проведены эксперименты по измерению уровня жидкости с тремя различными жидкостями: глицерином (а), водой (б) и дизельным топливом (в). Как показано на рис. 4, отраженный сигнал А-скана был получен от волновода, когда он был окружен воздушной средой (непосредственно перед заполнением жидкостью).
Рис. 3. Блок-схема экспериментальной установки (а): 1 — сдвиговый преобразователь; 2 — волновод; 3 — генератор-приемник; 4 — PicoScope; 5 — компьютер; 6 — контролируемый резервуар; 7 — контролируемый образец. Держатель преобразователя (б); реальная экспериментальная установка для измерения уровня жидкости (в): держатель преобразователя (1); сдвиговый преобразователь с волноводом при 45° (2); соединитель (3); длинный волновод (4); образец и контролируемая труба (5); генератор/приемник (6); PicoScope (7); ПК (8)
Рис. 4. Полученный сигнал А-скана (волновод в воздушной среде)
Волновод погружали в жидкую среду, изменяя уровень заполнения жидкостью. При этом один конец волновода погружался в жидкую среду, а другой соединялся со сдвиговым датчиком, находящимся в условиях окружающей среды. Был проведен эксперимент по измерению уровня в различных жидкостях, таких как глицерин, вода и дизельное топливо. Наблюдалось уменьшение амплитуды при увеличении уровня погружения волновода в жидкую среду. Здесь было замечено, что изменение амплитуды полученных сигналов А-скана относительно невелико. Следовательно, изменение амплитуды сигнала было минимальным при изменении длины погружения волновода в различные жидкости. Таким образом, определить амплитуду сигнала от пика до пика с помощью ранее описанной идеи отслеживания пиков [27, 28] было сложно. Поэтому преобразование Гильберта (ПГ) было признано альтернативным инструментом для отслеживания пиковой амплитуды принимаемых отраженных сигналов при погружении волновода в различные уровни различных жидкостей, как показано на рис. 5.
Рис. 5. Преобразование Гильберта полученного сигнала А-скана и его увеличенное изображение для глицерина (а) и дизельного топлива (б)
Измерения уровня в ранних работах в основном изучались с помощью анализа сигналов во временной области различных волновых режимов [22, 25]. На данном этапе разработки датчика было замечено, что амплитудное падение демонстрирует сходство как при анализе во временной, так и в частотной области. Поэтому для обнаружения небольших изменений уровня жидкости было решено использовать подход, основанный на частотной области, с помощью быстрого преобразования Фурье (БПФ). Этот метод оказался более наглядным, чем анализ сигналов во временной области при различных уровнях жидкости. Из сигналов A-скана (во временной области) были извлечены различные волновые моды, а для получения частотных спектров применялась нулевая подстановка. На рис. 6 и рис. 7 представлены частотные спектры, причем для каждого сигнала рассматривалось одинаковое количество образцов при погружении датчика в глицерин или воду. Амплитуда мод L(0, 1) и T(0, 1) уменьшается при погружении датчика на различную глубину в глицериновую и водную среду. При измерении уровня жидкости не обнаружено заметных частотных сдвигов, поскольку волноводный датчик был разработан на основе фундаментальных или низких частот.
Рис. 6. БПФ для полученных мод L(0, 1) (а), T(0, 1) (б) сигналов от глицерина
Рис. 7. БПФ для полученных мод L(0, 1) (а), T(0, 1) (б) сигналов от воды
Волноводный датчик был откалиброван по коэффициенту отражения, полученному в результате анализа в частотной области на основе падения амплитуды. Коэффициент отражения (КО) имеет решающее значение для исследования свойств жидкости, таких как уровень, вязкость и плотность [11, 18, 21]. Коэффициент отражения — это отношение амплитуды отраженного сигнала в жидкой среде к амплитуде сигнала в воздушной среде. Как показано на рис. 6 и рис. 8, в густой жидкости (глицерин) наблюдается более значительное снижение амплитуды и большее уменьшение коэффициента отражения (КО) из-за высокого затухания. Однако в текучих жидкостях (дизельное топливо или вода) наблюдалось незначительное снижение амплитуды и меньшее уменьшение КО вследствие меньшего затухания, как показано на рис. 7 и рис. 8. Коэффициент отражения (КО) мод L(0, 1) и T(0, 1) был измерен путем анализа падения амплитуды полученного сигнала при различных уровнях погружения. Кроме того, из-за большей чувствительности для измерения уровня жидкости был использован сигнал второго прохождения моды L(0, 1) [20], хотя результаты измерений уровня жидких сред (дизельное топливо, вода) оказались неудовлетворительными. Особенно чувствительность мод L(0,1) была ниже в прямых волноводах [21, 22] при измерении уровня жидкости на малой глубине. Следовательно, длинный прямой волновод может быть преобразован в датчик с изогнутым или спиральным волноводом [18, 20] для эффективного измерения текучей среды при микроизменениях уровня (≤ 0,5 мм) благодаря высокой чувствительности, несмотря на то, что моды L и T могут измерять большую глубину/уровень жидкости из-за постепенного падения [20] КО сигнала при заполнении больших глубин и типов жидкостей. Падение/затухание амплитуды сигнала датчика происходит на границе волновода (твердой среды) и жидкой среды из-за несоответствия импеданса между ними. Как правило, в текучих жидкостях потери (затухание) волн были меньше из-за низкой вязкости или меньшего затухания. Однако в густых жидкостях возникает большее затухание волн из-за большего демпфирования (высокой вязкости). Следовательно, ослабление/падение амплитуды сигнала датчика прямо пропорционально вязкости жидкости. Однако чувствительность датчика хорошо объясняется на основе коэффициента отражения при использовании различных жидкостей в ранних работах [18, 20].
Рис. 8. Зависимость коэффициента отражения от уровня различных жидкости
На основании полученных результатов (см. рис. 8) были составлены эмпирические уравнения, основанные на фактическом уровне заполненной жидкости (объемным методом с помощью шприца объемом 20 мл) и соответствующем коэффициенте отражения L- и T-волновых мод датчика. Коэффициенты эмпирических уравнений и коэффициент корреляции (R2) приведены в табл. 3, x и y представляют собой коэффициент отражения (КО) и уровень жидкости в мм соответственно.
Таблица 3. Коэффициенты аппроксимации с помощью полинома второго порядка для уровня жидкости (y) = ax2 + bx +c
Моды/ жидкость | L(0,1) | T(0,1) | L(0,1) — 2-й проход |
a b c R2 | a b c R2 | a b c R2 | |
Вода | 86009 –176590 90579 0,995 | 144796 –295753 150954 0,984 | 12573 –26347 13773 0,994 |
Дизельное топливо | 50176 –104488 54310 0,993 | 84312 –172840 88524 0,986 | 21278 –43918 22639 0,986 |
Глицерин | –1541,7 2109,6 –568,23 0,996 | 175,43 –579,07 399,81 0,984 | 137,56 –766,86 625,21 0,986 |
Уровень жидкости измерялся по эмпирическим уравнениям с использованием мод L- и T-волн. Графики погрешностей (рис. 9) были получены при использовании измеренного уровня жидкости с фактическим уровнем жидкости, и средняя погрешность составляет от 2,2 до 3,3 %.
Рис. 9. Границы погрешности для L(0,1), T(0,1) 1-го прохода и L(0,1) 2-го прохода в воде (a); дизельном топливе (б); глицерине (в)
ИССЛЕДОВАНИЕ ЯВЛЕНИЯ ЗАТУХАНИЯ В ДЛИННОМ ВОЛНОВОДЕ ИЗ НЕРЖАВЕЮЩЕЙ СТАЛИ
При разработке длинного датчика был исследован эффект затухания в длинном волноводе из нержавеющей стали путем проведения экспериментов с использованием всех трех мод волны. В этом эксперименте было определено затухание распространения волн для трех режимов, а именно F(1, 1), T(0, 1) и L(0, 1). Для проведения исследования затухания мы рассматривали волновод начальной длины 12,6 м. Полученный сигнал А-скана включал моды L(0, 1) и T(0, 1) на длине 12,6 м, как показано на рис. 10а. После этого длинный волновод отрезали через каждые 1 м, чтобы определить эффект затухания при уменьшении длины волновода от 12,6 м. Во время этого эксперимента датчик сдвига надежно и плотно подсоединили с ориентацией 45 град [20, 35] и приложили соответствующее давление, чтобы получить все три волновые моды. Длина волновода была уменьшена (путем отрезания) с 12,6 до 1,72 м. Волновые моды F(1, 1), T(0, 1) и L(0, 1) совместно наблюдались (см. рис. 10б—г) на определенных длинах волновода (от 6,6 до 1,72 м). Амплитуды сигналов волновых мод L(0, 1) и T(0, 1) увеличивались при одновременном уменьшении длины волновода с 12,6 до 1,72 м.
Рис. 10. Преобразование Гильберта для полученных сигналов А-скана при длинах волновода 12,6; 6,6; 3,4 и 1,7 м
Направление сдвигового датчика и приложенное давление не менялись в процессе резки волновода. Кроме того, датчик не подвергался помехам, поскольку находился далеко от стороны отреза длинного волновода. Был обнаружен сигнал моды F(1, 1) с небольшой/слабой амплитудой, соответствующий длине волновода 8,6 м при отрезании волновода от 12,6 м. Однако мода F(1, 1) распространялась по всей длине волновода, но ее энергия могла быть ослаблена или затухать на длине волновода 12,6 м. Кроме того, в данном исследовании использовались максимальные настройки усилителя 60 дБ и импульсное напряжение 450 В нашего прибора (импульсный приемник; доступные настройки) для поиска/отслеживания волновой моды F(1, 1) в длинном волноводе. Однако отражение сигнала волновой моды F(1, 1) на длине 12,6 м получить не удалось. В дальнейшем амплитуда сигнала моды F(1, 1) постепенно увеличивалась по мере уменьшения длины волновода. Также было проведено тестирование датчика при уменьшении длины волновода (от длины 12,6 м) на 6,6; 3,42 и 1,7 м. Амплитуда отраженного сигнала, в частности L(0, 1), T(0, 1) и F(1, 1), увеличивалась по мере уменьшения длины волновода. Проведя анализ, было обнаружено, что мода F(1, 1) не обладает достаточной способностью распространяться на большие расстояния в длинном волноводе, в отличие от мод L(0, 1) и T(0, 1). Кроме того, сигнал моды F(1, 1) (слабый уровень сигнала) был зафиксирован на соответствующей длине волновода 8,6 м при применении максимального напряжения и усиления. Ранее сообщалось [20], что мода F(1, 1) была более чувствительной, чем другие моды волн, при измерении уровня жидкости. Поэтому целью нашего исследования было изучение длины волновода, по которому можно передавать и принимать сигнал распространения моды F(1,1) для создания ультразвуковых датчиков. Поэтому уровни сигналов всех трех волновых мод были исследованы при различных длинах волновода (от 12,6 до 1,7 м волновода) с помощью преобразования Гильберта и отслеживания пиковых сигналов, как показано на рис. 11. Здесь амплитуда каждой волновой моды была увеличена при уменьшении длины волновода путем обрезания почти на каждой длине 1 м.
Рис. 11. Изменение амплитуды сигналов мод волн L, T, F при изменении длины волновода
Дисперсные соотношения [36] могут быть использованы для определения рабочей частоты волноводного датчика на основе диаметра волновода и при этом не указывают на зависимость рабочей частоты от длины волновода. Поэтому предполагалось исследовать значения частот, связанных с волноводными модами L(0, 1), T(0, 1) и F(1, 1) при изменении длины волновода от 12,6 до 1,7 м (путем сокращения длины волновода до 12,6; 10,6; 8,6; 6,6; 4,4; 3,4 и 1,7 м). Первоначально мы рассмотрели волновод длиной 12,6 м и установили, что в нем присутствуют только моды L(0, 1) и T(0, 1). На рис. 12 показано изменение частоты мод L(0, 1), T(0, 1) и F(1, 1), что подчеркивает их зависимость от длины волновода. В этом опыте было замечено, что с увеличением длины волновода соответствующая частота полученных сигналов мод L(0, 1) и T(0, 1) уменьшается. В случае сигнала моды F(1,1) частота немного увеличивается при увеличении длины волновода. Кроме того, недисперсионное поведение сигнала моды F(1, 1) может быть эффективно использовано для дальнейшей разработки ультразвукового датчика с использованием моды F. Значительное изменение частоты (fc) наблюдалось на каждой длине волновода, однако скорости волн L, T и F-мод были практически одинаковыми на соответствующих длинах волновода, как показано в табл. 4. В ранних работах ультразвуковые датчики уровня и температуры [14, 17, 18, 20] были разработаны (с использованием волноводов длиной ≤ 2,7 м) и использовались для измерения уровня жидкости и температуры горячей камеры на основе падения амплитуды (затухания), сдвига времени пролета (δTOF) и ненаблюдаемого сдвига частоты. Таким образом, предлагается разработчикам волноводных датчиков более внимательно относиться к рабочей частоте датчика (недисперсионной, с меньшим значением fc) при внедрении нескольких отражателей в длинный волновод.
Рис. 12. Зависимость частоты сигнала L(0, 1), T(0, 1), F(1, 1) от длины волновода
Таблица 4. Скорости волн мод L(0, 1), T(0, 1) и F(1, 1) при различных длинах L волновода, м/с
L, м | L(0, 1) | T(0, 1) | F(1, 1) |
1,72 | 5158 | 2971 | 2656 |
3,4 | 5146 | 2963 | 2669 |
6,6 | 5154 | 2972 | 2723 |
8,6 | 5150 | 2983 | 2752 |
12,6 | 5162 | 2990 | ‒ |
ЗАКЛЮЧЕНИЕ
Был разработан ультразвуковой датчик из нержавеющей стали с длинным волноводом для определения уровня жидкости. Моды L(0, 1) и T(0, 1) передавались и принимались ( импульсный эхометод) с помощью сдвигового преобразователя в волноводе длиной 12,6 м. Длинный волноводный датчик длиной 12,6 м был сконструирован с использованием режимов L и T и с его помощью измерялись уровни жидкостей (воды, глицерина и дизельного топлива). Мода F(1, 1) не наблюдалась в волноводе длиной 12,6 м с использованием длинной проволоки из нержавеющей стали. Были проведены исследования затухания на разных длинах с использованием ультразвукового длинного волновода со всеми тремя модами. Волновод разрезался с интервалом в 1 м для наблюдения за поведением сигнала и одновременного отслеживания моды F(1, 1). Были определены подходящие длины волноводов для получения желаемой мощности моды F(1, 1), определенной при длине волноводов ≤ 8,6 м, которые могут быть использованы для разработки датчика уровня на основе моды F. Также было обнаружено, что при увеличении длины волновода частота полученных мод L(0, 1) и T(0, 1) постепенно уменьшается. Однако в случае F(1, 1) частота сигнала моды немного увеличивалась при увеличении длины волновода. Кроме того, данная технология может быть использована для измерения уровня жидкости, температуры и плотности и обладает многочисленными преимуществами по сравнению с традиционными методами. Более того, несколько отражателей («изгибов и вырезов») могут быть размещены в нужном месте по всей длине волновода для различных применений. Ультразвуковые датчики на длинных волноводах отличаются более высокой долговечностью и экономичностью по сравнению с традиционными устройствами.
Авторы заявляют об отсутствии конфликта интересов.
Авторлар туралы
Abhishek Kumar
National Institute of Technology
Хат алмасуға жауапты Автор.
Email: abhik@student.nitw.ac.in
Үндістан, 506004, Telangana
Suresh Periyannan
National Institute of Technology
Email: sureshp@nitw.ac.in
Үндістан, 506004, Telangana
Әдебиет тізімі
- Cummings D.D., Wartmann G., Perdue K.L. Sensor apparatus for process measurement. U.S. Patent 5 661 251. Aug. 26. 1997.
- Grieger B.D., Cummings D.D. Sensor apparatus for process measurement. U.S. Patent 5 827 985. Oct. 27. 1998.
- Pelczarl C., Meiners M., Gould D., Lang W., Benecke W. Contactless liquid level sensing using wave damping phenomena in free-space / TRANSDUCERS 2007 — 2007 International Solid-State Sensors, Actuators and Microsystems Conference, Lyon, France. 2007. P. 2353—2356. doi: 10.1109/SENSOR.2007.4300642
- Xiaowei D., Ruifeng Z. Detection of liquid-level variation using a side-polished fiber Bragg grating // Opt. Laser Technol. 2010. V. 42. P. 214—218.
- Peng G., He J., Yang S., Zhou W. Application of the fiber-optic distributed temperature sensing for monitoring the liquid level of producing oil wells // Meas. J. Int. Meas. Confed. 2014. V. 58. P. 130—137.
- Ran Y., Xia L., Niu D., Wen Y., Yu C., Liu D. Design and demonstration of a liquid level fiber sensor based on self-imaging effect // Sensors Actuators. A Phys. 2016. V. 237. P. 41—46.
- Rogers S.C., Miller G.N. Level, temperature, and density sensor*. 1982.
- Lynnworth L.C. Ultrasonic Measurements for Process Control: Theory, Techniques, Applications. Acad. Press, 2013.
- Kim J.O. et al. Torsional Sensor Applications in Two-Phase Fluids // IEEE Trans. Ultrason. Ferroelectr. Freq. Control. 1993. V. 40. P. 563—576.
- Spratt W.K., Vetelino J.F., Lynnworth L.C. Torsional Ultrasonic Waveguide Sensor / 2010 IEEE International Ultrasonics Symposium Proceedings. 978-1-4577-0381-2/10/$25.00 ©2010 IEEE.
- Balasubramaniam K., Periyannan S. A novel ultrasonic waveguide technique for distributed sensing and measurements of physical and chemical properties of surrounding media. US Patent No: US 10520370B2. 2019.
- Periyannan S., Rajagopal P., Balasubramaniam K. Torsional mode ultrasonic helical waveguide sensor for re-configurable temperature measurement // AIP Advances. 2016. No. 6. P. 065116.
- Periyannan S., Balasubramanian K. Multi-level temperature measurements using ultrasonic waveguides // Measurement. 2015. V. 61. P. 185—191.
- Periyannan S., Rajagopal P., Balasubramaniam K. Re-configurable Multi-Level Temperature Sensing by Ultrasonic Spring-like Helical Waveguide // J. App. Phy. 2016. V. 119. P. 144502.
- Rose J.L. Ultrasonic Waves in solid Media. Cambridge, UK: Cambridge University Press, 1999. P. 143—152.
- Periyannan S., Balasubramaniam K. Simultaneous moduli measurement of elastic materials at elevated temperatures using an ultrasonic waveguide method // Review of Scientific Instruments. 2015. V. 86. P. 114903.
- Periyannan S., Rajagopal P., Balasubramaniam K. Multiple Temperature Sensors Embedded in an Ultrasonic Spiral-like waveguide // AIP Advances. 2017. V. 7. P. 035201.
- Kumar A., Periyannan S. Helical waveguide sensor for fluid level sensing using L(0,1), T(0,1) and F(1,1) wave modes simultaneously // IEEE Sensors Journal. Jul. 2023. V. 23 (17). P. 19002—19011. doi: 10.1109/JSEN.2023.3296931
- Periyannan S., Rajagopal P., Balasubramanian K. Ultrasonic Bent Waveguides Approach for Distributed Temperature Measurement // Ultrasonics. 2017. V. 74. P. 211—220.
- Kumar A., Periyannan S. Enhancing the ultrasonic waveguide sensor’s fluid level sensitivity using through-transmission and pulse-echo techniques simultaneously // Review of scientific Instrumnents. 2023. V. 94 (6). P. 065007. https://doi.org/10.1063/5.0145684
- Raja N., Balasubramaniam K., Periyannan S. Ultrasonic waveguide based level measurement using flexural mode F(1,1) in addition to the fundamental modes // Rev. Sci. Instrum. 2019. V. 90. https://doi.org/10.1063/1.5054638
- Subhash N.N., Balasubramaniam K. Fluid level sensing using ultrasonic waveguides // Insight-Nondestructive and condition monitoring. 2014. V. 56 (6). P. 607—612. DOI: doi.org/10.184/insi.2014.56.11.607
- Huang S. et al. An Optimized Lightweight Ultrasonic Liquid Level Sensor Adapted to the Tilt of Liquid Level and Ripple // IEEE Sensors Journal. Jan.1. 2022. V. 22. No. 1. P. 121—129. doi: 10.1109/JSEN.2021.3127127
- Matsuya I., Honma Y., Mori M., Ihara I. Measuring Liquid-Level Utilizing Wedge Wave // Sensors. 2018. V. 18 (1). P. 2. https://doi.org/10.3390/s18010002
- Dhayalan R., Saravanan S., Manivannan S., Rao B.P.C. Development of ultrasonic waveguide sensor for liquid level measurement in loop system // Electronics Letters. 2020. V. 56 (21). P. 1120—1122.
- Rogers S.C., Miller G.N. Ultrasonic level, temperature, and density sensor // IEEE Trans. Nucl. Sci. Feb. 1982. V. 29. No. 1. P. 665—668.
- Kim J.O. et al. Torsional sensor applications in two-phase fluids // IEEE Trans. Ultrason., Ferroelectr., Freq. Control. Sep. 1993. V. 40. No. 5. P. 563—576.
- Li P., Cai Y., Shen X., Nabuzaale S., Yin J., Li J. An accurate detection for dynamic liquid level based on MIMO ultrasonic transducer array // IEEE Trans. Instrum. Meas. 2015. V. 64. P. 582—595.
- Zhang et al. A novel ultrasonic method for liquid level measurement based on the balance of echo energy // Sensors (Switzerland). 2017. V. 17. https://doi.org/10.3390/s17040706
- Chuprin V.A. Control of liquid media using ultrasonic normal waves. Moscow: Spectrum, 2015. 216 p. ISBN 978-5-4442-0101-5.
- Muravyev V.V., Muravyeva O.V. et al. Evaluation of Residual Stresses in Rims of Wagon Wheels Using the Electromagnetic-Acoustic Method // Russian Journal of Nondestructive Testing. 2011. V. 47. No. 8. P. 512—521.
- Muravyev V.V., Muravyeva O.V., Kokorina E.N. Quality Control of Heat Treatment of 60C2A Steel Bars Using the Electromagnetic-Acoustic Method // Russian Journal of Nondestructive Testing. 2013. V. 49. No. 1. P. 15—25.
- Murav’eva O.V., Murav’ev V.V., Myshkina A.V. The Influence of the Design Features of Antiphased Electromagnetic-Acoustic Transducers on the Formation of Directivity Characteristics // Russian Journal of Nondestructive Testing. 2014. V. 50. No. 9. P. 531—538.
- Rastegaev I.A., Merson D.L., Danyuk A.V., Afanas’ev M.A., Khrustalev A.K. Universal Waveguide for the Acoustic-Emission Evaluation of High-Temperature Industrial Objects // Russian Journal of Nondestructive Testing. 2018. V. 54. No. 3. P. 164—173.
- Balasubramaniam K., Periyannan S. Ultrasonic waveguide technique for distribute sensing and measurements of physical and chemical properties of surrounding media. US Patent 11 022 502. June 1. 2021.
- Pavlakovic B.N., Lowe M.J.S., Cawley P. Disperse: A general purpose program for creating dispersion curves // Quant. Non-Destructive Eval. 1997. V. 16. P. 185—192.
Қосымша файлдар













