Dental enamel differentiation quotient of modern water voles of the genus Arvicola in Azerbaijan: variation and diagnostic value
- Authors: Markova E.A.1, Nadirli L.V.2,3, Zykov S.V.4
-
Affiliations:
- Institute of Plant and Animal Ecology, Ural Branch, Russian Academy of Sciences
- Institute of Zoology, Ministry of Science and Education, Republic of Azerbaijan
- Western Caspian University
- 1 Institute of Plant and Animal Ecology, Ural Branch, Russian Academy of Sciences
- Issue: Vol 103, No 12 (2024)
- Pages: 108-124
- Section: ARTICLES
- URL: https://bakhtiniada.ru/0044-5134/article/view/280396
- DOI: https://doi.org/10.31857/S0044513424120068
- EDN: https://elibrary.ru/tfzqsy
- ID: 280396
Cite item
Full Text
Abstract
Based on a study of dental characteristics of the water vole genus Arvicola from 7 regions of Azerbaijan, captured in 1926–1965 and stored in the collection of the Institute of Zoology, Ministry of Science and Education of Azerbaijan, the range of variability of the tooth enamel differentiation index SDQ is determined. The index is calculated as the ratio of the thickness of leading to trailing cutting edges of the enamel prisms of the cheek tooth crowns. SDQ serves as a criterion for identifying chronospecies of Arvicola in the fossil record, and it has recently been proposed for diagnosing modern Eurasian and Persian water voles. As a result of measuring the SDQ index in 55 individuals from the Shemakha, Saatli, Imishli, Goygol (= Khanlar), Ordubad, and Adjikabul regions, the water voles are shown to have a plesiomorphic type of enamel differentiation, in which the SDQ index values are greater than 100. In the specimens under consideration, the values of SDQ indices assessed for the first lower and second upper teeth vary from 100 to 178. In contrast to the dimensional characteristics of the teeth, the index values do not demonstrate directional changes in postnatal development and retain the plesiomorphic pattern of dental enamel differentiation in all age classes distinguished by the degree of skull maturity. The results obtained confirm the difference in the dental characteristics of the water voles occurring in Azerbaijan from the Eurasian A. amphibius and the proximity to the west Asian water voles currently considered as an independent species or species group, A. persicus (Persian water vole). Revision of data on differential chromosome staining and an analysis of molecular markers, both mitochondrial and nuclear, are necessary to answer the question concerning the taxonomic status of water voles in Azerbaijan and other regions of Western Asia, where water voles with a negative type of differentiation of tooth enamel occur. Until a final decision is made on the taxonomic status, composition and distribution of the Persian water vole, the water voles of Azerbaijan with a plesiomorphic type of tooth enamel differentiation are proposed to be referred to as Arvicola cf. persicus.
Keywords
Full Text
Представления о систематике современного рода Arvicola на протяжении всей истории изучения оставались запутанными и дискуссионными. В разное время в составе рода выделяли от 1 до 7 видов, а в настоящее время – от 2–3 (Абрамсон, Лисовский, 2012) до 4 видов (Kryštufek, Shenbrot, 2022). Таксономический статус двух видов – евразийской водяной полевки (Arvicola amphibius (Linnaeus 1758)) и иберийской водяной полевки (Arvicola sapidus Miller 1908) – установлен по комплексу генетических и морфологических критериев. Наиболее широко распространенным видом, обитающим в Европе и Азии, является A. amphibius, фигурировавшая в таксономических сводках до 2005 г. как A. terrestris (Wilson, Reeder, 2005). A. sapidus обитает на Иберийском п-ове и на большей части территории Франции. Таксономический статус итальянской и персидской водяных полевок – A. italicus Savi 1838 и A. persicus De Filippi 1865 – находится на стадии обсуждения (Kryštufek, Shenbrot, 2022).
На протяжении 20 века считалось, что на территории Азербайджана обитает подвид евразийской полевки A. terrestris persicus De Filippi 1865 (Огнев, 1950; Алекперов, 1966; Кулиев, 1978). В ходе изучения кариотипа было установлено, что водяные полевки, обитающие в Азербайджане, не отличаются от евразийских по числу хромосом, хотя была прослежена изменчивость по результатам их дифференциального окрашивания (Кулиев и др., 1978). Относительно недавно на основании молекулярно-генетических данных из типовой местности A. persicus в Иране было предложено считать персидскую водяную полевку самостоятельным видом с ограниченной областью распространения в горной области Эльбурс (Mahmoudi et al., 2019, 2022). Было также отмечено (Maul et al., 2021), что для персидской водяной полевки Ирана, а также других регионов Западной Азии – Турции, Сирии, Израиля и Ирака – характерны отличия от евразийской водяной полевки в строении щечных зубов, в частности плезиоморфный вариант распределения типов зубной эмали. Это послужило основанием рассматривать водяных полевок в этих регионах как возможных представителей группы A. persicus, таксономический статус и состав которой требует уточнения (Maul et al., 2021).
В последней таксономической сводке по грызунам подсемейства Arvicolinae предложено расширить область распространения персидской водяной полевки на территорию Азербайджана (Kryštufek, Shenbrot, 2022). Это согласуется с представлениями о подвидовой структуре прежнего политипического вида A. terrestris (Огнев, 1950). Однако в действующих на сегодняшний день сводках вид упоминается как евразийская водяная полевка, персидская водяная полевка не упоминается (Azərbaycan faunasının taksonomik spektri (onurğalılar), 2020; Azərbaycan faunasının informasiya sistemi (onurğalılar), 2023). Возникает необходимость уточнения таксономической принадлежности водяной полевки Азербайджана с использованием критериев, предложенных для идентификации евразийской и персидской водяных полевок (Kryštufek, Shenbrot, 2022). Одним из таких критериев является индекс дифференциации зубной эмали SDQ, средние значения которого у A. persicus превышают, а у A. amphibius не превышают условное значение, равное 100 (Maul et al., 2021; Kryštufek, Shenbrot, 2022).
Индекс толщины эмали SDQ (от немецкого Schmelzband-Differenzierungs-Quotient – индекс дифференциации эмалевой ленты) введен Хайнрихом для диагностики предковых форм современной водяной полевки в ископаемой летописи (Heinrich, 1978). Для его использования пригодны как ископаемые остатки, представленные преимущественно изолированными зубами и челюстями, так и зоологические коллекции, которые обычно используются палеонтологами в качестве сравнительного материала (Röttger, 1987; Königswald, Kolfschoten, 1996; Escude et al., 2008; Ruddy, 2011; Masini et al., 2020; Maul et al., 2021; Fadeeva et al., 2021). За время применения индекса SDQ для диагностики ископаемых форм рода Arvicola среднего и позднего плейстоцена Евразии было показано, что плезиоморфным является тип дифференциации эмали, при котором ведомые эмалевые стенки щечных зубов толще ведущих, и значения индекса SDQ превышают условное значение, равное 100. Кроме того, было установлено, что значения индексов дифференциации эмали подвержены значительной возрастной и географической изменчивости (Kratochvil, 1980; Königswald, Kolfschoten, 1996; Ruddy, 2011; Fadeeva et al., 2021). При этом накоплен обширный сравнительный материал по значениям индексов SDQ как у современной евразийской водяной полевки, так и у ее предковых форм.
Цель работы – определить размах изменчивости индекса дифференциации зубной эмали SDQ представителей рода Arvicola, обитающих в Азербайджане, по материалам зоологических коллекций Института зоологии Министерства науки и образования Азербайджана и ответить на вопрос, может ли индекс SDQ быть использован для отнесения водяной полевки региона исследований к A. persicus или A. amphibius.
МАТЕРИАЛ И МЕТОДЫ
Материалом послужили коллекции Института зоологии Министерства науки и образования Азербайджана, собранные разными коллекторами с 1926 по 1965 гг. на территории Азербайджана (табл. 1).
Таблица 1. Материал, включенный в анализ морфологической изменчивости водяной полевки Азербайджана
Регион | Место отлова | Всего особей | Число особей (возрастная группа по зрелости черепа) |
1 | Шемахинский р-он, с. Чухур-Юрт | 19 | 2 особи (100+) 8 особей (100) 3 особи (90) 6 особей (80) |
2 | Аджикабульский р-н, Кара-су | 3 | 1 особь (100) 2 особи (90) |
2 | Саатлинский р-н, Мильская степь, оз. Сары-су | 14 | 2 особи (100+) 9 особей (100) 2 особи (90) 1 особь (60) |
2 | Имишлинский р-н, Мильская степь, пос. Бахрамтепе | 2 | 1 особь (90) 1 особь (70) |
3 | Ордубадский р-н, р. Беюкчай (Нахичеванская АР) | 9 | 2 особи (100+) 1 особь (100) 2 особи (90) 2 особи (70) 1 особь (60) 1 особь (50) |
3 | Джульфинский р-н, с. Нургют (Нахичеванская АР) | 1 | 1 особь (100) |
3 | Нахичеванская АР | 5 | 1 особь (30) 4 особи (20) |
3 | Гёйгёльский р-н (ранее Ханларский р-н) | 2 | 2 особи (100+) |
Примечания. Регионы: 1 – Большой Кавказ, южный склон, 2 – Кура-Араксинская низменность, 3 – Малый Кавказ и Закавказское плато.
Одонтометрическая изменчивость
Методология работы основана на сочетании палеонтологических и неонтологических подходов к оценке фенотипической изменчивости. Изучены метрические признаки 55 особей водяной полевки: стандартные измерения первого нижнего (m1) и второго верхнего (M2) моляров, индекс антероконида m1 (отношение длины антероконида к длине жевательной поверхности, умноженное на 100) и три индекса дифференциации эмали, используемых для диагностики хроновидов рода Arvicola в ископаемой летописи (Heinrich, 1978; Königswald, Kolfschoten, 1996; Masini et al., 2020; Fadeeva et al., 2021 и др.).
Рис. 1. Номенклатура элементов первого нижнего и второго верхнего щечных зубов и схема оценки дентальных признаков. А – Обозначения призм зубов (по: Van der Meulen, 1973), метрические признаки жевательной поверхности и участки 1–2, где толщину эмали оценивали дополнительно с учетом ее микроструктуры с помощью электронного сканирующего микроскопа; 1 – передняя стенка, 2 – задняя стенка, масштаб 20 мкм. Б – Схема измерения индекса дифференциации эмали SDQ на одной призме (на примере Т3), В – Места измерения толщины эмали для расчета индексов m1_SDQ7, m1_SDQ3, M2_SDQ3. Г – Типы стачивания жевательной поверхности на примере одной призмы зуба: слева – лунчатый тип, справа – ступенчатый тип. Д – формулы индексов дифференциации эмали на первом нижнем и втором верхнем щечных зубах. Сокращения – см. в тексте.
Измерения размеров зубов (длины и ширины жевательной поверхности) и толщины эмали проводили с помощью окуляр-микрометра стереомикроскопа Leica M80 на первом нижнем и втором верхнем зубах в соответствии со схемой (рис. 1). В ходе измерения зубы устанавливали так, чтобы была соблюдена передне-задняя ориентация измеряемого зуба, а его жевательная поверхность была перпендикулярна оптической оси объектива. Измерения для расчета индексов брали в месте максимальной толщины эмалевой стенки передних и задних граней призм в местах, указанных на рисунке треугольными стрелками (рис. 1В). В анализ включали либо правый, либо левый зуб – в зависимости от сохранности (включали только экземпляры, у которых можно измерить все признаки).
Для описания морфологии зубов использована номенклатура элементов жевательной поверхности зубов полевочьих, предложенная Ван дер Мейленом (Van der Meulen, 1973), и терминология, используемая для характеристики режущих граней эмали как функциональных элементов зуба в этом подсемействе грызунов (Königswald, 1980; Martin, 1987).
Рассчитывали индексы дифференциации эмали по каждой призме зуба так, как это показано на примере призмы Т3 (рис. 1Б). Затем значения индексов отдельных призм усредняли для получения трех индексов дифференциации эмали первого нижнего и второго верхнего щечных зубов: m1_SDQ7, m1_SDQ3 и M2_SDQ3. Формулы расчета индексов приведены на рисунке (рис. 1Д) В некоторых публикациях признаки m1_SDQ3 и M2_ SDQ3 могут быть обозначены также как BTQ (например, Тесаков, 2004).
Определение возраста животных
Использована методика Лариной и Лапшова, позволяющая выделять возрастные группы некорнезубых грызунов подсемейства Arvicolinae по степени краниальной зрелости (Ларина, Лапшов, 1974). Согласно этой методике, степень развития признаков I–IX (рис. 2) оценивается в процентах, а сумма значений по всем признакам используется как показатель краниальной зрелости особи.
В оригинальной схеме Лариной и Лапшова (1974) описаны лишь крайние степени выраженности признаков I–IX, однако на практике часто встречаются промежуточные состояния, которые трудно отнести к минимальной или максимальной степени развития признака. Для рода Arvicola промежуточные состояния признаков VIII–IX проиллюстрированы (Hinton, 1926) и могут быть описаны на качественном уровне, что позволило включить их в схему выделения возрастных классов (рис. 2).
Рис. 2. Схема оценки зрелости краниальных структур некорнезубых Arvicolinae по признакам I–IX, выраженной для каждого признака в процентах от общей (суммарной) зрелости черепа (Ларина, Лапшов, 1974, с изменениями). Обозначение костей черепа, на которых оцениваются признаки краниальной зрелости: 1 – лобная, 2 – теменная, 3 – чешуйчатая часть височной кости, 4 – каменистая и мастоидная части височной кости, 5 – затылочная, 6 – межтеменная.
В данной работе мы оценивали степень зрелости признаков следующим образом. I – Лобно-теменной отдел, вид сбоку: 0% – приподнят, округлой формы; 5% – спрямлен не на всем протяжении отдела; 10% – близок к прямому. II – Затылочная часть, вид сбоку: 0% – почковидная, округлая; 10% – выпрямлена, но не имеет угловатых очертаний; 20% – угловата, опускается практически под прямым углом. III – Теменные кости, верхняя поверхность, вид сзади: 0% – теменные кости округлые, смыкаются с углублением; 5% – уплощены, углубление между ними едва различимо; 10% – плоская поверхность, углубление не прослеживается. IV – Теменные кости, вид сверху: 0% – боковые поверхности округлые; 5% – боковые поверхности имеют слабо выраженный рельеф; 10% – резкие грани, идущие от верхнего наружного угла височной кости до межтеменной. V – Гребень височной кости на месте стыка чешуйчатой и каменистой костей (место крепления височной мышцы): 0% слабо выраженный валик; 5% – выступающий гребень сформирован частично; 10% – сильно выступающий гребень. VI – Верхнезатылочная поверхность: 0% – без выраженного рельефа, 5% – валик; 10% – выраженный гребень. VII – Гребень на стыке затылочной и каменистой костей: 0% – практически не различим; 5% – слабо выраженный гребень; 10% – выступ клювовидной формы. VIII – Площадка лобной кости: 0% – в межглазничной области не прослеживается ни отчетливых продольных борозд, ни единого гребня; 5% – присутствуют продольные борозды, не смыкающиеся в единый гребень; 10% – продольные борозды смыкаются, формируется единый гребень. IX – Заглазничные выступы: 0% – слабо развиты; 5% – отчетливы, но не формируют выдающихся заостренных структур; 10% – выступы заострены.
Для анализа возрастной изменчивости группы, выделяемые по зрелости черепа, были объединены в классы 1–3: 1 – зрелость черепа 20–45%, 2–50–95%, 3–100–100+%.
Определение морфологических адаптаций к образу жизни
Для водяных полевок морфологические особенности черепа и резцов иногда рассматривают в качестве косвенных признаков приспособления к образу жизни с выделением так называемых экофенотипов – полуводного и роющего (Громов, Поляков, 1977; Kryštufek, Shenbrot, 2022). Кроме того, особенности стачивания жевательной поверхности щечных зубов могут быть рассмотрены с точки зрения “жевательных адаптаций” – в понимании Громова (Громов, Поляков, 1977). Необходимость проверки связи вариабельности индексов дифференциации эмали зубов современной водяной полевки с экофенотипическими особенностями обсуждается в палеонтологических работах (например, Ruddy, 2011), однако целенаправленных исследований не проведено. До тех пор, пока существование связи характера дифференциации эмали c особенностями экологии современных животных не подтверждено и не опровергнуто, целесообразно учитывать проявление фенотипически выраженных адаптаций к образу жизни при изучении изменчивости индексов SDQ на неонтологическом материале. Это особенно важно для регионов, где сочетаются равнинные и горные ландшафты, поскольку имеются данные о связи фоссориальности водяных полевок с высокогорьями, неоднозначные для разных регионов Евразии (например, Водяная полевка…, 2001).
Прогнатизм верхних резцов (пологий изгиб, протрузию) рассматривали как показатель приспособления к роющему образу жизни, ортодонтию (без пологого изгиба и протрузии) – как отсутствие морфологических адаптаций к рытью (Громов, Поляков, 1977). На нижней челюсти в качестве косвенного показателя приспособления к рытью рассматривали наличие перегиба (“шейки”) в середине сочленовного отростка (Kryštufek, Shenbrot, 2022, fig. 154). Кроме того, зубные ряды проверяли на наличие лунчатого, углового, краевого или ступенчатого типа стирания (Громов, Поляков, 1977). В качестве критерия разделения лунчатого и ступенчатого рельефа на m1 и M2 рассматривали высоту передней и задней стенок эмали, а также дентина на призмах Т1–Т3 (рис. 1Г).
Признаки черепа, которые не связаны с зубной системой и которые исследователи иногда описывают для экологических морфотипов (Kryštufek et al., 2015; Kryštufek, Shenbrot, 2022), входят в схему оценки краниальной зрелости (Ларина, Лапшов, 1974), то есть не могут быть четко определены на фоне возрастных изменений. Связь краниального возраста с экоморфотипом представляет собой тему для отдельного специального исследования, которое не входило в задачи данной работы.
Статистическая обработка результатов измерений
Статистическую обработку результатов измерений проводили в пакете программ Statistica 8.0. Для проверки гипотезы о соответствии распределения наблюдаемых значений признаков нормальному распределению использовали критерий Колмогорова–Смирнова. При анализе возрастной и географической изменчивости индексов дифференциации эмали использован однофакторный дисперсионный анализ с повторными измерениями. В качестве постоянных факторов рассматривали возраст (по возрастным классам 1–3) и регион, в котором располагалась точка отлова. Значения индексов SDQ, оцениваемые на m1 (m1_SDQ7, m1_SDQ3) и M2 (M2_SDQ3), рассматривали как повторные измерения одного и того же показателя, измеренные в разных частях зубного ряда.
Результаты
Зрелость черепа изученных особей определена в интервале от 20 до 100% (рис. 3).
Рис. 3. Возрастные изменения черепа водяной полевки на примере трех особей с разной степенью краниальной зрелости, оцениваемой в процентах по методике Лариной и Лапшова (1974): вид черепа сбоку (а), сверху (b) и сзади (c). 1 – id 95, суммарная зрелость черепа 20%, Нахичевань, пол и дата отлова не известны; 2 – id 2, самец, зрелость черепа 60%, Имишлинский р-н, Бахрамтепе, март 1965 г.; 3 – id 8, самец, зрелость черепа 100%, Саатлинский р-н, оз. Сары-Су. Масштаб 1 см.
Среди животных со 100% зрелостью, как самцов, так и самок, были особи с массивным черепом и подчеркнуто рельефными гребнями, что позволило отнести эту категорию в отдельную группу 100+. Особи с 20% зрелости черепа имеют плоскую жевательную поверхность, однако передний отдел m1 и задний отдел M3 еще не имеют дефинитивных очертаний. У особей со зрелостью черепа 100–100+ могут наблюдаться небольшие сенильные складки эмали щечных зубов (рис. 4). Это указывает на то, что изученный материал характеризует все стадии постнатального онтогенеза от начала перехода к самостоятельному питанию до старости.
Рис. 4. Жевательная поверхность щечных зубов водяной полевки со зрелостью черепа 20% (1,2) и 100–100+% (3–5). Белые стрелки – не достигшие дефинитивных очертаний отделы m1, M1 и М3 ювенильных особей, красные стрелки – сенильная складчатость эмалевых граней, черная стрелка – “мимомисная складка”, обнаруженная единично и являющаяся проявлением индивидуальной изменчивости. 1, 2 – id 95 и id 96, Нахичевань, 20% зрелость черепа, пол и дата отлова неизвестны; 3 – id 44/3, самка, Гёйгёльский р-н, 100+% зрелость черепа, 23 июня 1964 г. (* нижний зубной ряд, ** М3), 4 – id 2854 (899), Чухур-Юрт, Шемахинский р-н, пол неизвестен, 11 октября 1926 г., 100% зрелость черепа, 5 – id 7, оз. Сары-Су, Саатлинский р-н, 18 марта 1965 г., самка, череп 100+%.
За исключением ширины m1 и M2, распределения значений метрических признаков не демонстрировали статистически значимых отличий от нормального распределения (K-S d = 0.10–0.16, p > 0.05). Распределения значений ширины m1 и M2 отличались от нормального распределения (K-S d = 0.21, p < 0.05) за счет сдвига распределения в сторону больших значений, коэффициенты асимметрии приведены в табл. 2. Средние значения размеров зубов водяных полевок Азербайджана (Приложения 1–4) варьируют в тех же пределах, которые известны для евразийской водяной полевки по литературным данным (Бородин, 2009), хотя m1 животных со зрелостью черепа 100–100+ могут быть несколько крупнее (рис. 5).
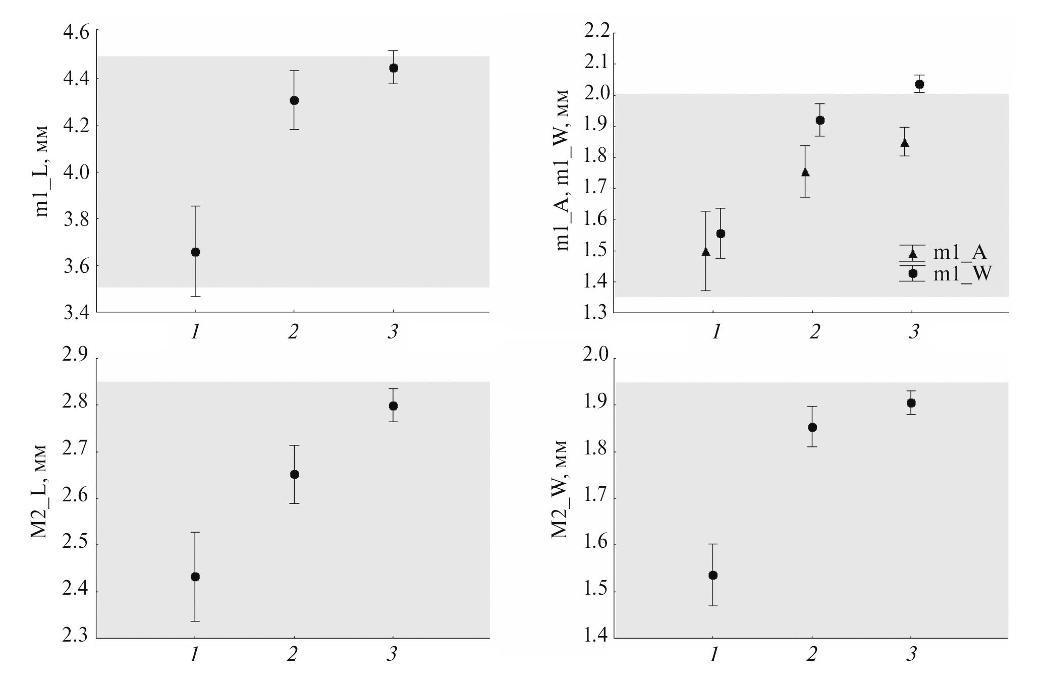
Рис. 5. Средние значения и 95% доверительный интервал значений длины и ширины m1 и M2 и длины антероконида m1 (m1_A) в возрастных классах водяной полевки из Азербайджана, выделяемых по степени зрелости черепа. Серым цветом показана область варьирования абсолютных значений длины и ширины m1 и М2 евразийской водяной полевки, известная по литературным данным (Бородин, 2009). Возрастные классы (по зрелости черепа, %): 1 – 20–45, 2 – 50–95, 3 – 100–100+.
В отличие от размеров зубов, индексы дифференциации эмали у водяной полевки из Азербайджана существенно отличаются от таковых у A. amphibius (рис. 6). По литературным данным, средние значения индексов SDQ современной водяной полевки в пределах ареала A. amphibius варьируют от 69.0 до 94 в Европе (Röttger, 1987) и от 77.6 до 92.6 на Урале (Fadeeva et al., 2021). Для современных полевок группы A. persicus – 120.14 (Maul et al., 2021). Область перекрывания размаха абсолютных значений (на примере индекса m1_SDQ7) для A. persicus и A. amphibius – от 93.7 до 104, для индекса m1_SDQ3 минимальные значения для полевок группы A. persicus могут быть ниже – от 88.4 (Maul et al., 2021). Из особей, изученных нами, лишь 1 особь (зрелость черепа 20%, отловлена в Нахичеванской Автономной Республике) имела значение m1_SDQ3, равное 100, что попадает в область перекрывания значений для евразийской и персидской полевок, однако при этом индексы m1_SDQ3 и М2_SDQ3 у этой же особи составили 117 и 139, соответственно. При всех вариантах сравнений – как по относительному возрасту, так и по регионам – индекс M2_SDQ3 оказался выше, чем индексы, оцениваемые на m1.
Однофакторный дисперсионный анализ с повторными измерениями (фактор возрастной класс включен как постоянный фактор, индексы m1_SDQ3, m1_SDQ7, M2_SDQ3 – как повторные измерения дифференциации эмали в зубном ряду) показал, что фактор возраста статистически не значим (F2;51 = 1.5, p = 0.223), тогда как индексы дифференциации эмали, оцениваемые по-разному, различаются статистически значимо (F2;102 = 36.4, p < 0.001). Значения индекса М2_SDQ3 в среднем несколько выше, чем m1_SDQ3 и m1_SDQ7 как в возрастных классах 1–3 (рис. 6), так и без разбиения выборки на возрастные классы (табл. 2).
Таблица 2. Статистические характеристики изменчивости метрических признаков зубов (мм) и индексов, рассчитанных для совокупной выборки водяной полевки из Азербайджана (сокращения в тексте)
Признак | N | M | Mdn | Min | Max | SD | Skew | K |
m1_SDQ7 | 55 | 128.55 | 126.85 | 107.99 | 149.40 | 10.40 | 0.42 | −0.48 |
m1_SDQ3 | 55 | 132.01 | 127.78 | 100.00 | 177.78 | 15.28 | 0.83 | 0.50 |
M2_SDQ3 | 54 | 144.58 | 142.96 | 121.69 | 172.22 | 13.69 | 0.30 | −0.88 |
m1_L, мм | 55 | 4.35 | 4.38 | 3.48 | 5.12 | 0.31 | −0.43 | 1.31 |
m1_W, мм | 55 | 1.97 | 2.00 | 1.51 | 2.23 | 0.16 | −1.34 | 1.69 |
m1_A, мм | 55 | 1.80 | 1.79 | 1.36 | 2.30 | 0.17 | 0.14 | 0.84 |
m1_A/L | 55 | 41.32 | 41.67 | 36.47 | 46.15 | 1.96 | −0.34 | 0.12 |
M2_L, мм | 54 | 2.73 | 2.74 | 2.30 | 3.00 | 0.16 | −0.52 | 0.02 |
M2_W, мм | 54 | 1.86 | 1.89 | 1.48 | 2.05 | 0.13 | −1.38 | 1.76 |
При включении в анализ только особей со зрелостью черепа 100–100+ (фактор регион отлова включен как постоянный фактор, индексы m1_SDQ3, m1_SDQ7, M2_SDQ3 – как повторные измерения дифференциации эмали в зубном ряду) различия между выборками из трех регионов Азербайджана достигают уровня статистической значимости (F2;24 = 4.7, p = 0.019), а также наблюдаются статистически значимые различия по значениям индексов, оцениваемых на разных зубах (F2;48 = 18.3, p < 0.001). При попарных сравнениях по регионам статистически значимые различия наблюдаются только между выборками из регионов 2 и 3 (Кура-Араксинская низменность vs. Малый Кавказ и Закавказское нагорье), при остальных вариантах сравнений различия между регионами статистически не значимы. Такая картина объясняется тем, что для животных из Кура-Араксинской низменности характерны максимальные, а для особей с Малого Кавказа и Закавказского плато – минимальные значения индексов дифференциации эмали. Однако во всех регионах значения всех индексов в SDQ в среднем превышают 100, что соответствует плезиоморфному типу дифференциации эмали (рис. 6).
Рис. 6. Средние значения и 95% доверительный интервал значений трех индексов дифференциации эмали щечных зубов водяной полевки из Азербайджана по возрастным классам (слева) и по регионам отлова для животных возрастного класса 3 (справа). Серым цветом показана область перекрывания размаха абсолютных значений индексов SDQ евразийской и персидской водяных полевок, установленная по литературным данным (Röttger, 1987; Fadeeva et al., 2021; Maul et al., 2021). Возрастные классы (по зрелости черепа, %): 1 – 20–45, 2 – 50–95, 3 – 100–100+; регионы: 1 – южный склон Большого Кавказа, 2 – Кура-Араксинская низменность, 3 – Малый Кавказ и Закавказское плато.
По косвенным показателям адаптаций к образу жизни у изученных экземпляров не обнаружено признаков приспособления к рытью. Не обнаружено протрузии резцов и тенденций к образованию альвеолярного отростка с характерным для роющего экоморфотипа перегибом шейки в основании мыщелкового отростка. Однако у двух особей со зрелостью черепа 100+, отловленных в июне в Гёйгёльском р-не, сформирован альвеолярный бугор, что может быть связано как с максимальной для рассматриваемого материала степенью зрелости этих животных, то есть с возрастом, так и с особенностями экологии, т. к. в других локалитетах альвеолярного бугра не обнаружено даже в возрастной группе 100+ (Приложение 5). У всех особей щечные зубы стачиваются по лунчатому типу, ступенчатый вариант не обнаружен.
ОБСУЖДЕНИЕ
Таким образом, у всех изученных особей водяной полевки Азербайджана наблюдается плезиоморфный тип дифференциации эмали, при котором утолщены так называемые ведомые грани эмали – передние на верхних зубах и задние на нижних. Для рода Arvicola это считается плезиоморфным признаком (Königswald, Kolfschoten, 1996; Maul et al., 2021), однако такой же тип дифференциации эмали наблюдается и у другого современного вида – иберийской полевки. Сравнение с литературными данными (Masini et al., 2020) показывает, что средние значения индекса m1_A/L у водяной полевки в Азербайджане (рассчитанные по возрастным классам и по регионам) оказываются также близки иберийской полевке (рис. 7).
Рис. 7. Сравнение выборок современной водяной полевки из Азербайджана с литературными данными (Königswald, Kolfschoten, 1996; Masini et al., 2020; Fadeeva et al., 2021) по современным видам (включая A. sapidus, A. amphibius и спорный таксон A. italicus) и среднеплейстоценовой форме A. mosbachensis по значениям индексов m1_SDQ7 и m1_A/L. Точки – средние значения двух индексов, линии – размах изменчивости индекса m1_SDQ7. Возрастные классы – см. в тексте, данные по регионам – без учета возраста животных.
Как иберийская, так и персидская полевки ведут исключительно водный образ жизни, что отражается на особенностях их черепа. Все изученные особи имели ортодонтные верхние резцы и подавляющее большинство имело строение заднего отдела нижней челюсти, типичное для водных форм рода. Лишь у двух особей из Гёйгёльского (=Ханларского) р-на со зрелостью черепа 100+, отловленных в марте 1964 г., присутствовал заметный альвеолярный бугор. Однако этот бугор не формировал отростка, при котором выражена так называемая шейка, характерная для роющих форм водяной полевки (Kryštufek, Shenbrot, 2022, fig. 154a). Это указывает на то, что водяная полевка, обитающая в Азербайджане, может отличаться от эврибионтной евразийской водяной полевки экологически, и ее связь с околоводными биотопами выражена сильнее.
У всех изученных особей отмечен лунчатый рельеф жевательной поверхности m1 и М2: передние и задние стенки призм оказываются сточены на одном уровне. При этом значения индекса M2_SDQ3 на изученном материале в среднем выше, чем значения индекса дифференциации эмали на m1. Вероятно, более толстая эмаль призм Т1–Т3 на М2 по сравнению с m1 также может являться плезиоморфной чертой водяной полевки в Азербайджане, поскольку для полевочьих с таким типом дифференциации эмали отмечены различия толщины эмали на призмах коронки, повторяющие особенности распределения эмали хомякообразных предков. В частности, как отмечено Громовым (Громов, Поляков, 1977), “различия в толщине эмали на бугорках у зубов некоторых хомяков, описанные Воронцовым (1967), обеспечивающие самозатачивание жевательной поверхности бугорчатых коренных при стачивании, оказались унаследованными у части полевок, а именно у тех форм, у которых на верхних коренных толще передние стенки, а на нижних задние”. Другим возможным объяснением может служить разница угла стачивания m1 и M2 (о зависимости расчетных значений индексов дифференциации эмали от угла наклона коронки и угла стачивания m1 см. Ruddy, 2011).
Морфологические отличия водяной полевки, обитающей в Азербайджане, от евразийской водяной полевки по признакам дифференциации эмали проявляются во всех возрастных группах – от ювенильных до старых. На изученном материале не выявлено статистически значимых различий между возрастными классами по значениям индексов SDQ. Это отличается от результатов по современной A. amphibius (Kratochvil, 1980) и согласуется с данными о существовании разных онтогенетических траекторий изменения толщины ведущих и ведомых граней призм m1 у представителей рода Arvicola (Ruddy, 2011).
Различия между выборками из разных регионов Азербайджана статистически значимы, и максимальные значения индексов дифференциации эмали обнаружены в равнинных районах. Для выборок из горных районов значения индексов дифференциации эмали в среднем ниже, но не достигают значений, характерных для евразийской водяной полевки. Немногочисленные сравнительные данные по изменчивости индексов дифференциации эмали современного рода Arvicola Закавказья и Большого Кавказа включают несколько особей с территории Азербайджана из окрестностей оз. Аггель на Кура-Араксинской низменности и две выборки с северного макросклона Большого Кавказа – из Кабардино-Балкарии (Ruddy, 2011). Методические особенности цитируемой работы не позволяют напрямую сравнивать абсолютные значения индексов дифференциации эмали с нашими данными и результатами других исследований по индексам SDQ рода Arvicola из-за несопоставимости методики измерения. Однако проведенные географические сравнения позволили установить, что на оз. Аггель и в одной из выборок из Кабардино-Балкарии (окрестности г. Прохладный) у водяной полевки обнаружен также плезиоморфный тип дифференциации эмали, а во второй выборке из Кабардино-Балкарии индексы дифференциации эмали были близки по значениям к A. amphibius (Ruddy, 2011).
В комплексе, полученные результаты указывают на то, что значения индексов дифференциации эмали водяных полевок Азербайджана попадают в размах изменчивости персидской полевки, известный по литературным данным (Maul et al., 2021), близки иберийской полевке (Masini et al., 2020) и практически не перекрываются по значениям с опубликованными данными по изменчивости индексов SDQ для водяной полевки из области распространения A. amphibius в Западной, Центральной и Восточной Европе (Königswald, Kolfschoten, 1996), а также на Урале (Fadeeva et al., 2021). Если рассматривать индекс дифференциации эмали в качестве таксономического по аналогии с тем, как это принято в палеонтологии, то полученные результаты можно рассматривать как подтверждение обоснованности исключения водяных полевок, обитающих в Азербайджане, из состава вида A. amphibius, предпринятого в последней таксономической сводке (Kryštufek, Shenbrot, 2022). Однако в неонтологии при определении таксономического статуса морфологический критерий не является ведущим и должен быть использован совместно с генетическими и/или гибридологическими критериями. В настоящее время таксономический статус A. persicus подтвержден по комплексу генетических и морфологических данных лишь для типовой области в Иране (Mahmoudi et al., 2019, 2022), а в остальных регионах Передней Азии полевки этой группы изучены недостаточно. В связи с этим мы считаем целесообразным придерживаться осторожной таксономической интерпретации с использованием обозначений, отражающих степень изученности группы. Маулем с соавторами (Maul et al., 2021) переднеазиатские водяные полевки с плезиоморфным типом дифференциации эмали рассматриваются в широком смысле – как группа A. persicus. Получение новых молекулярно-генетических данных, как митохондриальных, так и ядерных, прольет свет на состав этой группы. Однако до тех пор, пока этого не сделано, целесообразно учитывать нерешенный вопрос о таксономическом статусе переднеазиатских водяных полевок с плезиоморфным типом дифференциации эмали за пределами Ирана.
На территории Азербайджана при использовании дентальных характеристик целесообразно определять современных водяных полевок с плезиоморфным типом дифференциации эмали как Arvicola cf. persicus. Квалификатор conformis (cf.) в данном случае означает, что морфологические диагностические критерии указывают на принадлежность к персидской полевке, но требуются дальнейшие исследования – генетические и гибридологические. Актуальной задачей является также изучение биологии вида вблизи границы с областью распространения евразийской водяной полевки в восточной части Большого Кавказа. Индекс дифференциации эмали при этом перспективен для определения первичного материала и может быть использован на практике в качестве диагностического признака. Однако таксономическое значение этого морфологического критерия требует проверки с привлечением генетических маркеров.
Обозначения и сокращения
Терминология зубной системы: A – длина антероконида, AC – головка передней непарной петли, AL – передняя непарная лопасть, A/L – индекс антероконида, L – длина жевательной поверхности, leet – ведущая режущая грань эмали, m1 – первый нижний, M2 – второй верхний, M3 – третий верхний щечные зубы, PL – задняя непарная петля, SDQ – индекс дифференциации эмали (Heinrich, 1978), T1–T5 – призмы щечных зубов в соответствии с порядковым номером (по: van der Meulen, 1973), teet – ведомая грань эмали, W – ширина жевательной поверхности.
Статистическая терминология: F – критерий Фишера, K – эксцесс, K-S d – критерий Колмогорова – Смирнова, М – среднее арифметическое, Max – максимальное значение, Mdn – медиана, Min – минимальное значение, N – число зубов в выборке, p – вероятность, SD – стандартное отклонение, Skew – коэффициент асимметрии.
Благодарности
Авторы благодарны Л. Э. Ялковской и А. Т. Галимову (ИЭРиЖ УрО РАН, Екатеринбург) за помощь в ходе работы с коллекционными материалами Института зоологии Министерства науки и образования Азербайджана, а также анонимным рецензентам за конструктивные замечания.
Финансирование работы
Работа выполнена при финансовой поддержке Российского научного фонда, грант № 22-14-00332.
Соблюдение этических стандартов
В данной работе отсутствуют исследования человека или животных, соответствующих критериям Директивы 2010/63/EU.
Конфликт интересов
Авторы данной работы заявляют, что у них нет конфликта интересов.
ПРИЛОЖЕНИЯ 1–5
Приложение 1. Основные статистические характеристики изменчивости метрических признаков зубов (мм) и индексов, рассчитанные для выборок водяной полевки из трех регионов Азербайджана без учета возраста особей
Регион | Признак | N | M | Min | Max | SD |
1 | m1_SDQ7 | 19 | 125.22 | 110.97 | 147.17 | 10.236 |
m1_SDQ3 | 19 | 133.27 | 117.86 | 177.78 | 16.319 | |
M2_SDQ3 | 19 | 145.07 | 125.00 | 166.67 | 14.258 | |
m1_L, мм | 19 | 4.35 | 4.10 | 4.86 | 0.179 | |
m1_W, мм | 19 | 2.04 | 1.89 | 2.15 | 0.077 | |
m1_A, мм | 19 | 1.82 | 1.69 | 1.95 | 0.073 | |
m1_A/L | 19 | 41.81 | 38.95 | 43.90 | 1.236 | |
M2_L, мм | 19 | 2.74 | 2.56 | 2.92 | 0.091 | |
M2_W, мм | 19 | 1.90 | 1.84 | 2.00 | 0.056 | |
2 | m1_SDQ7 | 19 | 136.17 | 119.64 | 149.40 | 9.589 |
m1_SDQ3 | 19 | 139.59 | 116.67 | 166.67 | 14.355 | |
M2_SDQ3 | 18 | 150.14 | 126.79 | 172.22 | 14.268 | |
m1_L, мм | 19 | 4.51 | 4.15 | 4.99 | 0.225 | |
m1_W, мм | 19 | 2.00 | 1.77 | 2.20 | 0.105 | |
m1_A, мм | 19 | 1.88 | 1.56 | 2.30 | 0.194 | |
m1_A/L | 19 | 41.52 | 36.90 | 46.15 | 2.509 | |
M2_L, мм | 18 | 2.81 | 2.51 | 2.97 | 0.133 | |
M2_W, мм | 18 | 1.90 | 1.74 | 2.05 | 0.084 | |
3 | m1_SDQ7 | 17 | 123.75 | 107.99 | 131.79 | 6.098 |
m1_SDQ3 | 17 | 122.14 | 100.00 | 142.22 | 9.123 | |
M2_SDQ3 | 17 | 138.14 | 121.69 | 161.11 | 9.838 | |
m1_L, мм | 17 | 4.16 | 3.48 | 5.12 | 0.409 | |
m1_W, мм | 17 | 1.85 | 1.51 | 2.23 | 0.228 | |
m1_A, мм | 17 | 1.69 | 1.36 | 2.15 | 0.181 | |
m1_A/L | 17 | 40.55 | 36.47 | 42.95 | 1.781 | |
M2_L, мм | 17 | 2.64 | 2.30 | 3.00 | 0.190 | |
M2_W, мм | 17 | 1.78 | 1.48 | 2.02 | 0.184 |
Примечания. N – число зубов, M – среднее арифметическое, min – минимальное значение, max – максимальное значение, St. Dev. – стандартное отклонение.
Приложение 2. Основные статистические характеристики изменчивости метрических признаков зубов (мм) и индексов, рассчитанные для выборок водяной полевки Азербайджана – по возрастным классам, без учета региона отлова
Возрастной класс | Признак | N | M | Min | Max | SD |
1 | m1_SDQ7 | 5 | 122.07 | 107.99 | 130.95 | 9.526 |
m1_SDQ3 | 5 | 117.38 | 100.00 | 128.57 | 12.656 | |
M2_SDQ3 | 5 | 143.85 | 138.89 | 150.79 | 6.028 | |
m1_L, мм | 5 | 3.66 | 3.48 | 3.81 | 0.120 | |
m1_W, мм | 5 | 1.56 | 1.51 | 1.64 | 0.055 | |
m1_A, мм | 5 | 1.50 | 1.36 | 1.64 | 0.108 | |
m1_A/L | 5 | 40.95 | 38.89 | 42.95 | 1.897 | |
M2_L, мм | 5 | 2.43 | 2.30 | 2.51 | 0.077 | |
M2_W, мм | 5 | 1.54 | 1.48 | 1.59 | 0.040 | |
2 | m1_SDQ7 | 12 | 125.81 | 110.97 | 142.93 | 9.206 |
m1_SDQ3 | 12 | 130.58 | 117.86 | 153.17 | 11.907 | |
M2_SDQ3 | 12 | 143.27 | 125.00 | 158.73 | 11.199 | |
m1_L, мм | 12 | 4.31 | 3.99 | 4.86 | 0.227 | |
m1_W, мм | 12 | 1.92 | 1.77 | 2.00 | 0.085 | |
m1_A, мм | 12 | 1.76 | 1.59 | 1.89 | 0.105 | |
m1_A/L | 12 | 40.76 | 36.90 | 42.77 | 1.630 | |
M2_L, мм | 12 | 2.65 | 2.51 | 2.76 | 0.092 | |
M2_W, мм | 12 | 1.85 | 1.79 | 2.00 | 0.057 | |
3 | m1_SDQ7 | 38 | 130.27 | 115.00 | 149.40 | 10.571 |
m1_SDQ3 | 38 | 134.39 | 116.67 | 177.78 | 15.686 | |
M2_SDQ3 | 37 | 145.10 | 121.69 | 172.22 | 15.254 | |
m1_L, мм | 38 | 4.45 | 4.10 | 5.12 | 0.222 | |
m1_W, мм | 38 | 2.04 | 1.79 | 2.23 | 0.093 | |
m1_A, мм | 38 | 1.85 | 1.56 | 2.30 | 0.155 | |
m1_A/L | 38 | 41.55 | 36.47 | 46.15 | 2.060 | |
M2_L, мм | 37 | 2.80 | 2.51 | 3.00 | 0.114 | |
M2_W, мм | 37 | 1.91 | 1.69 | 2.05 | 0.082 |
Приложение 3. Основные статистические характеристики изменчивости метрических признаков зубов (мм) и индексов, рассчитанные для выборок водяной полевки из трех регионов Азербайджана для возрастного класса 3
Регион | Признак | N | M | Min | Max | SD |
1 | m1_SDQ7 | 10 | 125.39 | 115.00 | 147.17 | 10.192 |
m1_SDQ3 | 10 | 131.22 | 118.33 | 158.73 | 14.119 | |
M2_SDQ3 | 10 | 141.24 | 125.00 | 166.67 | 17.059 | |
m1_L, мм | 10 | 4.35 | 4.10 | 4.51 | 0.138 | |
m1_W, мм | 10 | 2.08 | 1.89 | 2.15 | 0.078 | |
m1_A, мм | 10 | 1.82 | 1.69 | 1.95 | 0.080 | |
m1_A/L | 10 | 41.74 | 40.00 | 43.18 | 1.207 | |
M2_L, мм | 10 | 2.78 | 2.61 | 2.92 | 0.096 | |
M2_W, мм | 10 | 1.93 | 1.84 | 2.00 | 0.056 | |
2 | m1_SDQ7 | 12 | 135.68 | 119.64 | 146.60 | 9.495 |
m1_SDQ3 | 12 | 139.29 | 116.67 | 155.56 | 15.676 | |
M2_SDQ3 | 11 | 152.60 | 126.79 | 172.22 | 14.954 | |
m1_L, мм | 12 | 4.57 | 4.15 | 4.99 | 0.219 | |
m1_W, мм | 12 | 2.03 | 1.92 | 2.10 | 0.058 | |
m1_A, мм | 12 | 1.96 | 1.56 | 2.30 | 0.180 | |
m1_A/L | 12 | 42.69 | 37.65 | 46.15 | 2.138 | |
M2_L, мм | 11 | 2.87 | 2.76 | 2.97 | 0.076 | |
M2_W, мм | 11 | 1.90 | 1.79 | 1.97 | 0.060 | |
3 | m1_SDQ7 | 6 | 123.38 | 117.14 | 127.89 | 4.868 |
m1_SDQ3 | 6 | 123.09 | 120.00 | 132.87 | 5.081 | |
M2_SDQ3 | 6 | 132.80 | 121.69 | 143.06 | 7.944 | |
m1_L, мм | 6 | 4.50 | 4.22 | 5.12 | 0.318 | |
m1_W, мм | 6 | 2.01 | 1.79 | 2.23 | 0.172 | |
m1_A, мм | 6 | 1.77 | 1.59 | 2.15 | 0.196 | |
m1_A/L | 6 | 39.40 | 36.47 | 42.00 | 2.023 | |
M2_L, мм | 6 | 2.82 | 2.66 | 3.00 | 0.137 | |
M2_W, мм | 6 | 1.86 | 1.69 | 2.02 | 0.127 |
Приложение 4. Значения индексов дифференциации эмали m1_SDQ7, m1_SDQ3, M2_SDQ3 водяной полевки из Азербайджана в зависимости от краниальной зрелости особей
Примечания. Неединичные наблюдения усреднены, число особей – см. Табл. 1.
Приложение 5. Варианты строения заднего отдела нижней челюсти водяной полевки из Азербайджана в возрастной группе 100+: id 44/3, самка, Гёйгёльский р-н, 100+% зрелость черепа, 23 июня 1964 г. (слева) и id 7, оз. Сары-Су, Саатлинский р-н, 18 марта 1965 г., самка, череп 100+% (справа)
About the authors
E. A. Markova
Institute of Plant and Animal Ecology, Ural Branch, Russian Academy of Sciences
Email: emrk@yandex.ru
Russian Federation, st. March 8, 202, Yekaterinburg, 620144
L. V. Nadirli
Institute of Zoology, Ministry of Science and Education, Republic of Azerbaijan; Western Caspian University
Author for correspondence.
Email: leyla_h-va@list.ru
Azerbaijan, st. A. Abbaszade 1128, Baku, AZ1004 Azerbaijan; st. Istiglaliyyat, Baku, AZ1001 Azerbaijan
S. V. Zykov
1 Institute of Plant and Animal Ecology, Ural Branch, Russian Academy of Sciences
Email: svzykov@yandex.ru
Russian Federation, st. March 8, 202, Yekaterinburg, 620144
References
- Абрамсон Н.И., Лисовский А.А., 2012. Подсемейство Arvicolinae. Млекопитающие России: систематико-географический справочник. Сборник трудов Зоологического музея МГУ. М.: Товарищество научных изданий КМК. Т. 52. С. 127–141.
- Алекперов Х.М., 1966. Млекопитающие юго-западного Азербайджана. Баку: Изд-во АН АзССР. 148 с.
- Бородин А.В., 2009. Определитель зубов полевок Урала и Западной Сибири (поздний плейстоцен-современность). Екатеринбург: УрО РАН. 98 с.
- Воронцов Н.Н., 1967. Эволюция пищеварительной системы грызунов (Мышеобразные). Новосибирск: Наука. 239 с.
- Водяная полевка: Образ вида, 2001. М.: Наука. 527 с.
- Громов И.М., Поляков И.Я., 1977. Полевки (Microtinae). В серии: Фауна СССР. Млекопитающие. Т. 3. № 8. Ленинград: Наука. 504 с.
- Кулиев Г.Н., Кулиев Г.К., Раджабли С.И., 1978. Кариотипические различия между разными популяциями водяной полевки // Зоологический журнал. Т. 57. № 9. С. 1409–1411.
- Ларина Н.И., Лапшов В.А., 1974. К методике выделения возрастных групп у некорнезубых полевок // Физиологическая и популяционная экология животных. Саратов: Изд-во Саратовского ун-та. Вып 2. № 4. С. 92–97.
- Огнев С.И., 1950. Звери Восточной Европы и Северной Азии: Грызуны. М.–Л.: Изд-во АН СССР. 752 с. (Звери СССР и прилежащих стран. Т. 7).
- Тесаков А.С., 2004. Биостратиграфия среднего плиоцена-эоплейстоцена Восточной Европы (по мелким млекопитающим). М.: Наука. 247 с.
- Escude E., Montuire S., Desclaux E., Quéré J.-P., Renvoisé E., Jeannet M., 2008. Reappraisal of “chronospecies” and the use of Arvicola for biochronology // J. Archaeol. Sci. 35. P. 1867–1879.
- Fadeeva T., Kosintsev P., Chirkova E., 2021. The enamel characteristics of fossil and modern first lower molars of the European water vole (Arvicola amphibius, Arvicolinae, Rodentia) of the Perm Pre-Urals // Journal of the International Union for Quaternary Research. P. 277-286.
- Heinrich W.D., 1978. Biometrische Untersuchungen an fossilen Klainsaugetieren aus einer jungpleistozanen Dachkschichtenfolge uber dem interglazialen Travertin von Burgtonnan Turingen // Quartarpalaontol. S. 255– 268.
- Hinton M.A.C., 1926. Monograph of the voles and lemmings (Microtinae) living and extinct. British Museum. Natural History. London. V. 1. 488 pp. + 15 plates.
- Königswald W. von, van Kolfschoten T., 1996. The Mimomys-Arvicola boundary and the enamel thickness quotient (SDQ) of Arvicola as stratigraphic markers in the Middle Pleistocene. In: Turner C., editor. The early Middle Pleistocene in Europe. Rotterdam: A.A. Balkema. P. 211–226.
- Königswald W. von, 1980. Schmeltzstruktur und Morphologie in den Molaren der Arvicolidae (Rodentia) // Abhandlungen der Senckenbergische Naturforschende Gesellschaft. H. 239. S. 1–139.
- Kratochvil J., 1980. The phylogeny and ontogeny in Arvicola terrestris (Rodentia, Arvicolidae) // Folia Zoologica. V. 29 (3). P. 209–224.
- Kryštufek B., Koren T., Engelberger S., Horvath G.F., Purger J.J., et al., 2015. Fossorial morphotype does not make a species in water voles // Mammalia. V. 79. № 3. P. 293–303.
- Kryštufek B., Shenbrot. G.I., 2022. Voles and Lemmings (Arvicolinae) of the Palaearctic Region. University of Maribor, University Press, 1st edition. 437 p.
- Mahmoudi A., Arslan A., Khoshyar M., Kryštufek B., 2022. C-heterochromatin and NOR distribution in the karyotype of Persian water vole, Arvicola persicus (Mammalia; Rodentia) from Iran // Journal of Animal Diversity. V. 4. № 2. P. 110–114.
- Mahmoudi A., Maul L.C., Khoshyar M., Darvish J., Aliabadian M., Kryštufek B., 2019. Evolutionary history of water voles revisited: confronting a new phylogenetic model from molecular data with the fossil record // Mammalia. V. 84. № 2. P. 171–184.
- Martin R.A., 1987. Notes on the classification and evolution of some North American fossil Microtus (Mammalia; Rodentia) // Journal of Vertebrate Paleontology. V. 7. № 3. P. 270–283.
- Masini F., Maul L.C., Abbazzi L., Petruso D., Savorelli A., 2020. Independent water vole (Mimomys savini, Arvicola: Rodentia, Mammalia) lineages in Italy and Central Europe // Fossil Imprint. V. 76. № 1. P. 59–83.
- Maul L.C., Rabinovich R., Biton R., 2021. At the southern fringe: extant and fossil water voles of the genus Arvicola (Rodentia, Cricetidae, Arvicolinae) from Israel, with the description of a new species // Historical Biology. V. 33. № 11. P. 2773–2793.
- Röttger U., 1987. Schmelzbandbreiten an Molaren von Schermäusen (Arvicola Lacepede, 1799) // Bonn. Zool. Beitr. V. 38. № 2. P. 95–105.
- Ruddy M., 2011. The Western Palaearctic Evolution of the Water Vole Arvicola (Ph.D. dissertation). Royal Holloway College, University of London. 396 p.
- Van der Meulen A.J., 1973. Middle Pleistocene smaller mammals from the Monte Pegalia (Orvieto, Italy) with special reference to the phylogeny of Microtus (Arvicolidae, Rodentia) // Quaternaria. V. 17. P. 1–144.
- Wilson D.E., Reeder D.M., 2005. Mammal species of the world: a taxonomic and geographic reference. 3rd edition. Baltimore: The John Hopkins University Press. V. 2. 142 p. [http://www.departments.bucknell.edu/biology/resources/msw3/browse.asp?s=y&id=13000176].
- Azərbaycan faunasının informasiya sistemi (onurğalılar), 2023. Bakı: Tərəqqi MMC. 598 s. [Информационная система фауны Азербайджана (позвоночные), 2023. Баку: Терегги ООО. 598 с.]
- Azərbaycan faunasının taksonomik spektri (onurğalılar), 2020. Bakı: AMEA Zoologiya Institutu. 141 s. [Таксономический спектр фауны Азербайджана (позвоночные), 2020. Баку: Институт зоологии НАНА. 141 с.]
Supplementary files











