Пространственная структура гнездовых поселений белой совы (Bubo scandiacus, Strigiformes, Strigidae) в тундрах северо-западного Таймыра
- Авторы: Харитонов С.П.1
-
Учреждения:
- Институт проблем экологии и эволюции имени А. Н. Северцова РАН
- Выпуск: Том 103, № 5 (2024)
- Страницы: 73-84
- Раздел: Статьи
- URL: https://bakhtiniada.ru/0044-5134/article/view/268812
- DOI: https://doi.org/10.31857/S0044513424050081
- EDN: https://elibrary.ru/urhucb
- ID: 268812
Цитировать
Полный текст
Аннотация
Проанализирован материал по гнездовым поселениям и встречам белых сов за 1996–2007, 2012 и 2014–2020 гг. в окрестностях бухты Медуза (73°21ʹ с. ш., 80°32ʹ в. д.), северо-запад полуострова Таймыр. Гнездование белых сов отмечено в 1996, 1999, 2002, 2004, 2005, 2007, 2014, 2016 и 2019 гг. Пространственное распределение гнезд белых сов, найденных за эти 9 лет гнездования, оказалось групповым (конгрегационным). Это означает, что белые совы в пространственной структуре своих популяций имеют значительное количество постоянных мест гнездования – территориальных ячеек. Однако сами эти территориальные ячейки в пространстве тундры располагаются равномерно. Причина стремления птиц к одним и тем же участкам тундры, на вид ничем не отличающихся от других мест, не ясна. Попытка привлечь теорию сигнального поля для объяснения этого явления успехом не увенчалась: совы очень слабо использовали созданные предыдущими поколениями гнездовые места, явно предпочитая внутри этих территориальных ячеек каждый раз новые места расположения гнезд. При условном разбиении пространства на территориальные ячейки и выборе определенных мест для отправления жизненных функций совы ориентируются на еще неизвестные нам существенные факторы среды, нежели на видимые человеком экологические факторы или следы предыдущей активности представителей своего вида. Суммарное распределение встреч негнездящихся белых сов также носило групповой характер. Распределение этих групп встреч по равнинной тундре (в сильно пересеченной местности негнездящиеся особи встречались очень редко) становилось случайным. В разные сезоны, вне зависимости от гнездования, белые совы могут вести себя совершенно противоположным образом: то стремятся находиться ближе к особям своего вида, то, наоборот, – дальше; могут начать гнездиться при малой численности леммингов или, наоборот, – не гнездиться при видимой достаточности этой пищевого ресурса.
Ключевые слова
Полный текст
Многочисленные исследования, проведенные в разных районах тундры, от центрального Таймыра до Чукотки, показали, что численность леммингов в значительной мере влияет на характер пребывания белых сов (Стишов, 2004; Чернявский, Ткачев, 1982; Therrien et al., 2014; Ebbinge et al., 2021; Hutchison et al., 2020). Хотя литература по колебаниям численности белых сов многочисленна, детали их пространственного распределения в тундре изучены довольно слабо. Задачами данного исследования являются выяснение характера пребывания белых сов на обширном участке арктических тундр и описание пространственно-этологической структуры популяции (термин по: Шилов, 1977) этого вида с учетом уровня численности леммингов в конкретные сезоны. Данный вопрос рассмотрен здесь более подробно и на более обширном материале, чем в предыдущем сообщении (Харитонов и др., 2005). Кроме того, это сообщение представляет собой дальнейшее описание пространственной структуры популяций крупных птиц тундры. Результаты первых наших исследований по данной тематике рассмотрены в статье, посвященной длиннохвостым и средним поморникам (Харитонов, 2022).
Гнездо белых сов представляет собой либо ямку в почве до 10 см глубиной, либо яйца могут располагаться просто на плоском камне безо всякого углубления. Яйца откладываются прямо на почву или камень практически без подстилки: несколько совиных перьев, находящихся вокруг кладки из-за своей малочисленности никакой подстилкой, смягчающей положение яиц или утепляющей кладку, считаться не могут. Биология гнездования белых сов в разных районах тундры хорошо изучена (сведено, например, в Википедии, ru.wikipedia.org). Сам факт гнездования белых сов, а также высокая плотность гнездования этих птиц – хорошие индикаторы высокой численности леммингов (Харитонов и др., 2008).
По мере накопления материала по белым совам выявилась следующая закономерность: гнезда этих птиц в разные годы обнаруживались примерно в одних и тех же местах, даже если при этом были пропуски целого ряда сезонов гнездования. С точки зрения исследователя, эти места ничем не отличались от многих других в округе, тем не менее совы почему-то помещали гнезда именно здесь, игнорируя остальные возможности. Можно попытаться объяснить стремление белых сов к одним и тем же местам гнездования ориентацией именно на следы прошлого гнездования, как это постулировано в теории сигнального поля в ее текущей интерпретации (Наумов, 1977). Поскольку в нашем распоряжении имеется многолетний материал по одной и той же местности, есть возможность рассмотреть повторяемость использования одних и тех же гнездовых мест у белых сов.
МАТЕРИАЛЫ И МЕТОДЫ
Исследования проводили в 2000–2007, 2012, 2014, 2016, 2018–2020 гг. в рамках многолетнего мониторинга динамики численности крупных птиц арктических тундр и песцов в окрестностях бухты Медуза (73°21ʹ с. ш., 80°32ʹ в. д.) Диксонского р-на Таймырского Долгано-Ненецкого муниципального района (Харитонов, 2015). Кроме того, использовались опубликованные данные исследований в этом районе в сезоны 1996–1999 и 2015–2017 гг. (Головнюк и др., 2018; Tulp et al., 1997; Khomenko et al., 1999: Willems et al., 2002), а также сведения о местоположении гнезд, найденных участниками совместных экспедиций в данном районе Таймыра в 2000–2007 и 2016 гг. Наблюдения проводили с начала июня до конца июля каждого сезона.
Координаты найденных гнезд определяли при помощи GPS-навигаторов: Garmin-12 и Garmin-72. Кроме реальных “живых гнезд” картировали также точки тундры, где удавалось определить места расположения гнезд сов в прошлом, поскольку такие места обычно зарастают травой не сразу и в течение нескольких лет могут быть распознаваемы. Точность измерения координат в данном районе достигала 1.85 м по широте и 1.08 м по долготе (Харитонов и др., 2011). Плотность гнездования сов или плотность встреч негнездящихся особей вычисляли, используя расстояния между ближайшими соседями, подробно способ изложен в статье Харитонова (2007).
Численность леммингов оценивали в баллах от 1 до 5, при этом применяли еще и промежуточные, половинные баллы (методика оценки численности леммингов подробно описана в статьях Харитонова с соавторами (2005, 2008)). Хотя балльная оценка численности леммингов смотрится довольно субъективной, ничего лучшего на данный момент не придумано. Показано, что правильно оценить численность леммингов по какому-либо одному показателю крайне сложно, надо стараться пользоваться несколькими показателями, что на практике бывает не всегда возможно. Очень неплохую оценку можно получить, учитывая число леммингов, встреченных в тундре одним человеком в течение дня (Головнюк и др., 2015). Например, в 2014 г. 17 июня за 5 часов маршрута по тундре нами встречено 53 особи сибирского лемминга (Lemmus sibiricus), это более 10 зверьков в час. При этом возле одного из гнезд белой совы лежало 40 добытых леммингов. Такие показатели для данного района Таймыра откровенно экстремальны, они указывают на то, что леммингов в 2014 г. было очень много. А в 2016 г. максимальное число леммингов, встреченных в тундре всеми четырьмя членами экспедиции, – 7 особей за день. В годы депрессии численности можно было изредка встретить лишь одного лемминга в тундре или вовсе ни одного. В оценке численности леммингов всегда есть элемент интерпретации, поскольку ни один из методов не дает полного представления. На основании ряда показателей выводили результирующую оценку – балл численности леммингов. Численность леммингов считалась высокой в годы, когда балл был не менее 3. В основном именно в эти сезоны гнездились белые совы. Особый случай гнездования сов при малой численности леммингов в 2016 г., видимо, вызван экспериментально выставленными нами макетами белых сов (Харитонов, 2019а).
Поиск человеком гнезд белых сов трудностей не представляет. Эти птицы хорошо заметны в тундре с большого расстояния. Хотя совы при приближении человека на 200–500 м слетают с гнезда, обычно эта защитная мера бывает запоздалой, поскольку место гнездования хорошо заметно до слета самки с гнезда. Признаком наличия гнезда служит также поведение самца, который при появлении человека в нескольких сотнях метрах от гнезда садится недалеко от человека, пристально на него смотрит и издает характерные звуки, напоминающие “вякание”.
При находке каждого гнезда записывалось его содержимое: количество яиц и птенцов, если удавалось, то и даты начала вылупления птенцов. Поскольку значительную часть гнезд сов, особенно недалеко от стационара, посещал неоднократно, то дату вылупления птенцов удавалось определить довольно точно, нередко до дня, поскольку птенец может вылупляться в течение долгого времени, примерно до трех дней от появления первых «звездочек» на тупом конце яйца до полного выхода из яйца. Если же во встреченном впервые гнезде были птенцы, дату вылупления определяли примерно, исходя из возраста самых старших птенцов в гнезде. Понять возраст птенцов довольно просто – известно время, когда птенец еще покрыт белым пухом, спустя несколько дней появляются маховые, затем птенец сереет, в возрасте примерно 6 недель может покинуть гнездо. Для целей данной статьи не требовалось знать точную дату вылупления, важно было лишь понять, в каких гнездах птенцы появились раньше других, в каких – позже. Поэтому точной таблицы возрастов мы не приводим, найти ее можно в доступной через Reseach Gate 6 главе книги Potapov, Sale, 2012.
Кроме гнезд, в большинстве сезонов мы при помощи GPS-навигатора фиксировали встречи этих птиц. В годы, когда совы гнездились, фиксировали встречи птиц, не связанных с гнездами. В годы, когда гнездования не было, и все совы являлись бродячими в данной местности, фиксировали встречи всех сов. Небольшое исключение составил 2018 г., когда 4 совы (два самца, одна самка и особь неизвестного пола) положительно отреагировали на выставленные нами макеты совы – птицы были привлечены этими макетами (Харитонов, 2019а). В этот сезон встречи сов около макетов не учитывали в нашем текущем анализе.
Все гнезда или места встреч в дальнейшем наносились на оцифрованные карты района исследований в программе MapInfo различных версий. Математические характеристики пространственного распределения (плотность гнездования и тип распределения гнезд и встреч негнездящихся птиц) получены при помощи компьютерной программы “Карта колонии” (“Colonmap”) (Харитонов, 1999). Методика подробно описана нами ранее (Харитонов, 2007). Для статистического анализа использовали корреляционный и факторный анализы через программы STANISTICA-10 и PAST-3. Площадь основной обследованной территории вокруг Станции им. Виллема Баренца, где базировалась экспедиция, составляла до 130 км2, хотя в первые годы работы экспедиции (1996 и 1999) обследованная площадь была гораздо меньше (Tulp et al., 1997; Volkov et al., 2000).
Всего за годы работы в пределах обследуемой площади нами закартировано 86 гнезд белых сов, включая старые. Что касается встреч сов, которые не были связаны с гнездами, то за период работы закартировано 64 такие встречи.
РЕЗУЛЬТАТЫ
Распределение гнезд белых сов в течение сезона и между сезонами. Гнездование белых сов отмечено в 1996, 1999, 2002, 2004, 2005, 2007, 2014, 2016 и 2019 гг. Расстояние между гнездами белых сов измеряется сотнями метров и километрами (табл. 1). Коэффициент Кларка–Эванса R (Clark, Evans, 1954), характеризующий тип пространственного распределения объектов, для сов в пределах отдельного года гнездования всегда больше единицы (табл. 1), что свидетельствует о тенденции сов образовывать равномерное пространственное распределение гнезд. Однако количество найденных гнезд в некоторые годы было невелико, поэтому этот коэффициент часто был недостоверен. Эта недостоверность, скорее всего, была следствием малой выборки. Тем не менее в случае, если значение коэффициента R недостоверно, статистика требует рассматривать такие распределения как случайные. Но в некоторые годы с обильным гнездованием белых сов порог достоверности был преодолен (табл. 1), что позволяло уже уверенно говорить о равномерном распределении. Равномерное распределение означает экологическое насыщение территории данным видом (Харитонов, 2007).
Таблица 1. Распределение гнездящихся белых сов в основной обследованной области 1996–2019 гг.
Год | Число гнезд | Среднее расстояние до ближайшего соседа±стандартная ошибка, м | Число гнезд на 100 км2 | Минимальное расстояние до ближайшего соседа, м | Среднее число яиц в кладке | Коэффициент Кларка–Эванса (R) | P (достоверность коэффициента Кларка–Эванса) | Балл численности леммингов |
1996* | 4 | 2714±658 | 5.1 | 1596 | 6.50 | 1.22 | 0.4606 | 5.0 |
1999* | 8 | 1467±118 | 22.7** | 1121 | 7.75 | 1.40 | 0.0685 | 4.0 |
2002 | 9 | 2853±597 | 4.1 | 971 | 5.25 | 1.15 | 0.4012 | 3.0 |
2004 | 7 | 3631±1203 | 2.3 | 1989 | 3.67 | 1.11 | 0.6005 | 3.5 |
2005 | 22 | 1977±229 | 8.6 | 558 | 6.91 | 1.17 | 0.1724 | 5.0 |
2007 | 7 | 4047±707 | 2.3 | 2036 | 4.86 | 1.24 | 0.2765 | 3.5 |
2014 | 10 | 2490±270 | 5.3 | 1291 | 6.11 | 1.14 | 0.4084 | 5.0 |
2016 | 3 | 10420±2549 | 0.5 | 7870 | 4.00 | 1.45 | 0.2716 | 2.5 |
2019 | 6 | 2675±109 | 4.4 | 2339 | 6.33 | 1.12 | 0.5743 | 3.0 |
Примечания. *За 1996 и 1999 гг. данные получены из статей Tulp et al., 1997; Volkov et al., 2000.
** В 1999 г. учет сов проведен только возле станции, поэтому плотность получилась завышенной по сравнению с показателями других сезонов.
Если нанести на карту все рассматриваемые нами 86 гнезд белых сов во все сезоны наблюдений (рис. 1), то распределение точек гнездования окажется достоверно групповым (R = 0.83, P = 0.0038). Это означает, что белые совы имеют тенденцию из года в год гнездиться примерно в одних и тех же местах. Используя приемы, подобные тем, которые были применены при рассмотрении структуры поселения длиннохвостых и средних поморников (Харитонов, 2022), и задавая различные ключевые расстояния, можно выделить группы точек гнездования. Логично использовать в качестве такого ключевого расстояния среднее расстояние до ближайшего соседа для всей выборки гнезд за рассматриваемый период лет. Для белой совы в исследуемой области оно было равно 675.24 м. Учитывая, что это значение близко к 680 м – ключевому расстоянию, которое мы уже использовали при рассмотрении совместного гнездования белых сов и черных казарок (Харитонов и др., 2008), – решено было выбрать именно последнее в качестве ключевого. Если между соседними точками гнездования расстояние не превышает эту величину, то данные точки гнездования рассматриваются как принадлежащие к одной группе. Получилась 51 группа, от 1 до 6 гнезд в каждой, в среднем, 1.69 точек в группе. Распределение таких групп становится равномерным (R = 1.303, P = 0.0001), хотя достоверно равномерное распределение центров этих ассоциаций гнездований в разные годы начинает проявляться уже с ключевого расстояния 317 м, средний размер группы при этом 1.41 гнезда (рис. 2). При увеличении ключевого расстояния для выделения групп число групп становится меньше, но равномерное распределение между центрами большинства групп остается (рис. 2). Среднее минимальное расстояние между центрами групп при ключевом расстоянии 680 м составило 1373.65±77.14 м. Это расстояние оказалось близко к удвоенному ключевому расстоянию, которое использовано для выделения групп гнезд (680 м × 2 = 1360 м), то есть среднему минимальному расстоянию в самом плотном поселении сов, зафиксированном в ближайших окрестностях станции им. Виллема Баренца в 1999 г. (Харитонов и др., 2008).
Рис. 1. Карта-схема размещения точек гнездования и центров территориальных ячеек белых сов. Красные точки – точки гнездования белых сов, зеленые кружки – центры территориальных ячеек белых сов. Размер квадрата 4 × 4 км.
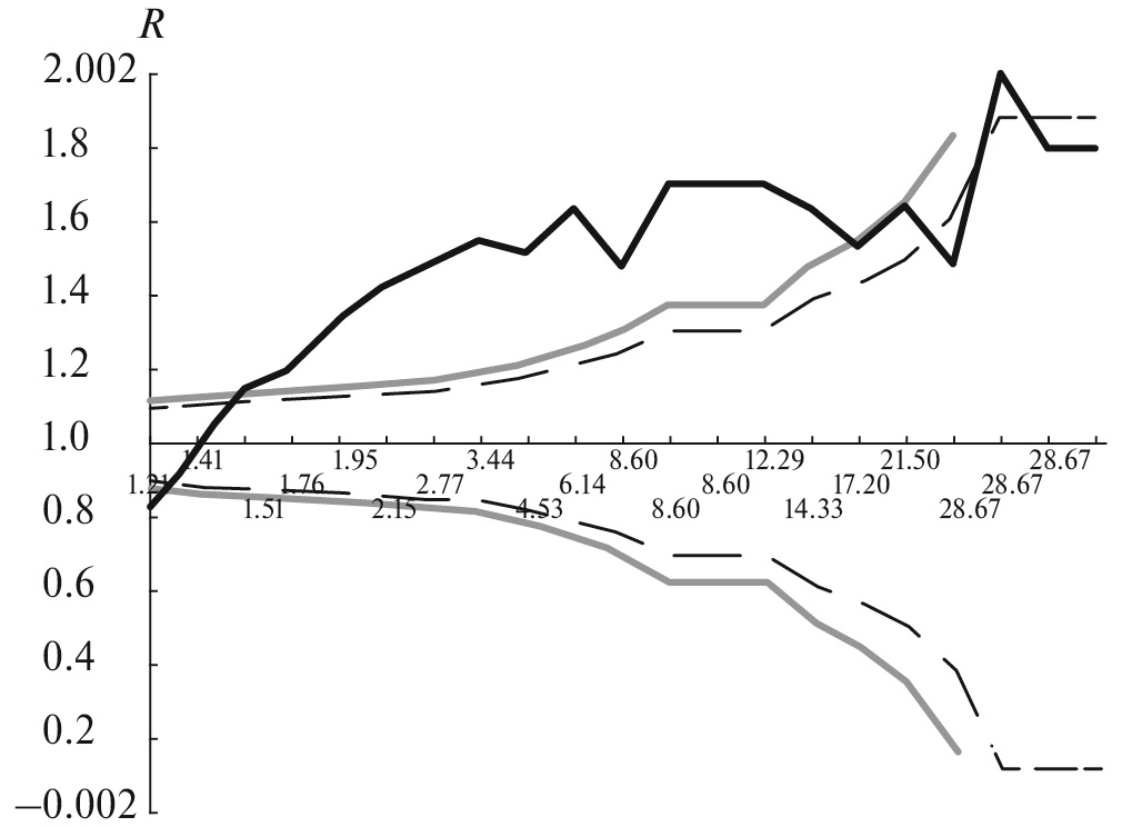
Рис. 2. Величина R (Коэффициент Кларка–Эванса) в зависимости от среднего размера группы точек гнездования (сплошная черная линия) у белых сов. Ось абсцисс – средний размер группы точек гнездования. Область между верхней и нижней черными штриховыми линиями, – область значений R, при которых распределение точек гнездования не отличается от случайного при пороге достоверности P = 0.1. Область между верхней и нижней сплошными серыми линиями, – область значений R, при которых распределение точек гнездования не отличается от случайного при пороге достоверности P = 0.05.
У белых сов, в отличие от поморников, возможно гнездование двух пар в одной территориальной ячейке одновременно. Такое гнездование наблюдалось только в годы, когда балл численности леммингов был 5 (“очень много”) и только в сильно пересеченной местности на берегах рек Максимовка и Ефремова. Вероятно, для птиц, гнезда которых расположены на местности с таким рельефом, обзор соседних гнездящихся пар был в значительной степени ограничен или полностью исключен. Это наблюдалось в одной и той же территориальной ячейке на р. Максимовка в 2005 и 2014 гг. Расстояния между гнездами в этих случаях были 1228 и 1291 м соответственно, т. е. гнезда располагались на противоположных краях этой ячейки (размер ячейки при использованном ключевом расстоянии 680 м, также равен 680 м × 2 = 1360 м). На р. Ефремова в 2005 г., где местность с крутыми берегами настолько пересеченная, что ее можно считать горной, два гнезда находились на расстоянии 558 м друг от друга – это было минимальное расстояние между гнездами сов за все годы наблюдений (табл. 1).
“Равномерность” распределения гнезд достигает пика в R = 2.0017, P = 0.08 при ключевом расстоянии в 3064.45 м, средний размер группы при этом равен 28.67 гнезд. Таких групп получается только три, и если пренебречь одиночным гнездом, при расчетах попавшим в отдельную группу, то в исследованной местности обнаруживается две большие “зоны гнездования” сов в 51 и 34 гнезда: первая – окрестности Станции до 8 км на север и 10 км на юг от нее, включая долину и берега р. Лемберова; вторая – совокупно долины и берега рек Максимовка и Ефремова (рис. 1). При этом то самое одно гнездо (это было старое гнездо белой совы), расположенное на удалении от остальных гнезд, по своему положению вполне могло быть отнесено к первой группе, состоящей из 51 гнезда. В этом случае эта первая группа включала бы в себя 52 гнезда.
Распределение встреч негнездящихся белых сов. В годы, когда отмечалось гнездование сов, встречались и бродячие негнездящиеся совы. Чаще всего, судя по более темной окраске, это молодые особи прошлого года вывода. В годы, когда совы не гнездились, бродячие особи, как молодые, так и взрослые, тоже встречались. За сезон в нашем районе наблюдалось от нуля (в 2020 г. не встречено ни одной белой совы) до 11 (2003 г.) таких особей. Если сравнить места встреч с расположением гнезд сов, то видно, что в районах гнездования по берегам больших рек со скальными берегами (Лемберова, Максимовка и Ефремова) совы во внегнездовые сезоны почти не встречались, хотя исследования в этих районах проводились все эти годы. Подавляющее число встреч сов во внегнездовые годы, а также в гнездовые годы, но негнездящихся особей, отмечены в равнинной тундре (рис. 3).
Рис. 3. Карта-схема размещения точек встреч и центров групп точек встреч негнездящихся белых сов. Красные треугольники – точки встреч белых сов, бирюзовые кружки – центры групп точек встреч белых сов, черные точки – точки гнездования (рис. 1). Размер квадрата 4 × 4 км.
Если все встречи за все годы наблюдений, не связанные с гнездами белых сов, нанести на карту, то их распределение тоже получается групповым (R = 0.75, P = 0.0003). Однако при удалении из выборки трех отдаленных встреч на востоке обследованного региона (рис. 3) распределение встреч остается групповым, но уровень достоверности становится низким (R = 0.88, P = 0.09). Если для выделения групп встреч использовать расстояние до ближайшего соседа между этими встреченными совами, а именно 723.95 м, то распределение таких групп оказывается случайным с недостоверной тенденцией к равномерному распределению, поскольку R становится больше единицы (R = 1.09, P = 0.31). С закартированными точками встреч белых сов можно провести ту же процедуру, какова была проведена с точками гнездования (рис. 2). Суть этой процедуры – найти, какие получаются группы при постепенном увеличении ключевого расстояния. При увеличении ключевого расстояния становится видно, что распределение групп встреч из группового становится случайным для значительно большего числа групп встреч, чем это отмечено для гнезд (рис. 4). Все это свидетельствует о преимущественно случайном характере встреч негнездящихся сов в равнинной тундре.
Рис. 4. Величина R (Коэффициент Кларка–Эванса) в зависимости от среднего размера группы точек встреч (сплошная черная линия графика) негнездящихся белых сов. Ось абсцисс – средний размер группы точек встреч. Область между верхней и нижней черными штриховыми линиями, – это область значений R, при которых распределение точек встреч не отличается от случайного при пороге достоверности P = 0.1. Область между верхней и нижней сплошными серыми линиями – это область значений R, при которых распределение точек встреч не отличается от случайного при пороге достоверности P = 0.05.
Параметры биологии гнездования и пространственной структуры белых сов в зависимости от численности леммингов. При изучении особенностей гнездования или присутствия белых сов на местности необходимо изучить величину их пищевой базы – численность леммингов. Для этого рассмотрена возможная связь параметров пространственной структуры в зависимости от балла численности леммингов (табл. 1). В ходе этого анализа коэффициенты корреляции Пирсона и Спирмена получились сходными, поэтому мы приводим здесь коэффициенты Пирсона, тем более они используются и в факторном анализе. Средняя дистанция до ближайшего соседа не столь сильно коррелирует с баллом численности лемминга, как можно было бы ожидать: r = –0.6, P = 0.088, N везде равно 9 (табл. 1). Понятно, что чем больше балл численности, тем меньше расстояние до ближайшего соседа. Корреляция балла численности леммингов с плотностью гнездования белой совы оказалась средней (r = 0.5), однако при этом недостоверной. Средний размер кладки коррелировал с численностью леммингов (r = 0.59, P = 0.09) примерно в той же степени, как и расстояние до ближайшего соседа, но, в противоположность ситуации с численностью леммингов, связь здесь положительная. Высокая положительная корреляция оказалась между плотностью гнездования сов и размером кладки: r = 0.78, P = 0.01. При этом для размера кладки, соответственно, была отмечена достоверная отрицательная корреляция со средним расстоянием до ближайшего соседа (r = –0.67, P = 0.044) и, что особенно интересно, со стандартной ошибкой среднего расстояния до ближайшего соседа r = –0.77, P = 0.015. Достоверная отрицательная корреляция размера кладки со средним расстоянием до ближайшего соседа свидетельствует, что в более плотных поселениях сов размер кладки был больше. Достоверная отрицательная корреляция размера кладки со стандартной ошибкой среднего расстояния до ближайшего соседа указывает на тот факт, что совы предпочитают гнездится на более или менее одинаковых расстояниях друг от друга.
В факторном анализе были использованы следующие характеристики (параметры) гнездования сов: календарный год (факторная нагрузка этого параметра равна 0.622518); среднее расстояние до ближайшего соседа (факторная нагрузка 0.913717); минимальное расстояние до ближайшего соседа (0.879536); плотность гнездования сов, выраженная как число гнезд на 100 км2 (–0.725886); среднее число яиц в кладке (–0.830292) и балл численности лемминга (–0.746632). Факторный анализ выявил лишь одну главную компоненту, которая объясняет 62.8% изменчивости указанных параметров. Определить эту компоненту можно так: “динамика гнездования белых сов по годам”. Значение факторных нагрузок пяти из этих шести параметров превышает порог 0.7 в положительной области и составляет меньше –0.7 в случае обратного (отрицательного) влияния. Согласно общепринятому критерию, влияние этих факторов можно считать существенным, то есть они обусловливают реальность выявленной главной компоненты (Jeffers, 1978). Действительно, балл численности леммингов, а также такие сильно связанные с этим баллом параметры, как размер кладки и плотность гнездования сов существенным образом связаны со средним и минимальным расстояниями до ближайшего соседа. Связь здесь обратная, поскольку факторные нагрузки размера кладки и плотности гнездования имеют отрицательные значения. Факторная нагрузка календарных годов лишь немного не доходит до величины 0.7 – существенности влияния на остальные параметры. Тем не менее при сопоставлении периодичности годов с разными значениями баллов численности леммингов удается заметить, что с годами баллы численности леммингов уменьшаются. Хотя корреляция значения календарного года с баллом численности леммингов невелика и недостоверна (r = –0.41, P = 0.27), данная факторная нагрузка все же может свидетельствовать о затухании колебаний численности леммингов в будущем.
ОБСУЖДЕНИЕ
Постоянные места многолетнего гнездования – “территориальные ячейки”. Получены данные о том, что для пространственной структуры популяций белых сов, как и для описанных нами ранее длиннохвостых и средних поморников (Харитонов, 2022), характерно конгрегационное (групповое) распределение точек гнездования суммарно за все годы работ. Таким образом, у этих видов в пространственной структуре популяций имеется значительное количество постоянных мест гнездования. Биотопы этих мест разные: скальные гряды, травянистые склоны тундровых неровностей, вершины крутых берегов рек. Получается, что в пространственной структуре популяций белых сов есть постоянные территориальные ячейки, где в каждый конкретный год могут либо быть гнезда данного вида, либо их может и не быть. Территориальная ячейка – это постоянный на протяжении ряда лет участок местности, на котором в какие-то сезоны (не обязательно каждый год, а белые совы – в норме один раз в несколько лет) пара птиц образует гнездовую территорию. При этом гнездо в такой ячейке может находиться как в одном и том же месте, так и в разных местах. Постоянство территориальных ячеек состоит в том, что на протяжении ряда лет птицы занимают территорию в одном и том же ограниченном районе тундры, по своим размерам сравнимым с гнездовой территорией белой совы (в годы высокой численности леммингов совы могут атаковать песца на расстоянии 800 м от гнезда (Ebbinge et al., 2021)). Поселение птиц может быть рассмотрено как совокупность таких ячеек. Ячейки существуют много лет, положение их резко не меняется. Прилетающие птицы лишь “заполняют” эти территориальные ячейки. Численность и плотность гнездящихся или территориальных пар может меняться от сезона к сезону, но общее число вместилищ территорий в данной местности год от года постоянно.
Среднее расстояние смены места гнезда внутри территориальной ячейки у белых сов за весь период исследований составило 476.1 ± 70.0 м, N = 35, что значительно меньше, чем диаметр этих ячеек (1360 м). У белых сов, в отличие от поморников, нет связи между числом гнездований (то есть сколько раз зафиксировано гнездование) в одной и той же ячейке (исключены двойные гнездования в одной ячейке в один и тот же год) и расстояниями между точками последовательных гнездований. Коэффициент корреляции Пирсона между числом гнездований и расстояниями между последовательными гнездованиями невелик и недостоверен – r = 0.37, N = 16, P = 0.15, непараметрический коэффициент корреляции Спирмена r = 0.41, P = 0.22.
Однако важнее узнать, как меняется расстояние в зависимости от числа лет, прошедших после предыдущего гнездования в одной и той же ячейке. Оказалось, что расстояние от точки предыдущего гнездования до точки текущего гнездования достоверно не связано с числом лет, прошедших между этими событиями: коэффициент корреляции Пирсона исчезающе мал, всего r = –0.002, N = 32 (исключены двойные гнездования в одной ячейке в один и тот же год), P = 0.99. Во всяком случае, наблюдения показывают, что постоянными в тундре являются именно определенные места, куда птицы прилетают в разные годы, видимо, основном, разные птицы. Тем не менее они выбирают одни и те же места гнездования, хотя вокруг такая же однотипная, с точки зрения наблюдателя, тундра.
Для объяснения самого факта существования территориальных ячеек попробовали привлечь теорию сигнального поля Н. П. Наумова. Основное положение теории гласит, что: “сигнальное поле представляет собой пространство событий, запечатленных в следах жизнедеятельности многих поколений животных, ранее занимавших данную территорию, с имеющимися на ней ресурсами. Эти следы жизнедеятельности (норы, тропы, скопления помета и т. п.), ставшие атрибутом ландшафта, были названы “стабильными элементами сигнального поля”, а весь их комплекс – “матрицей стабильных элементов”. Матрица стабильных элементов образует зрительно-запаховый образ пространства” (Наумов, 1977). Как видно из определения, эта теория опирается на выделяемые на местности, в том числе, и зрительные ориентиры, понятные даже человеку.
В другом географическом регионе, на острове Врангеля, совы в подавляющем большинстве случаев следуют элементам сигнального поля, так называемым вторичным аттракторам: следам наличия прошлых совиных гнезд (Менюшина, Овсяников, 2013). В обследованном нами районе Таймыра ситуация оказалась принципиально иной. Из 17 ячеек, где отмечены повторные гнездования сов (до 6 раз одной ячейке), было всего два места, где совы гнездились точно в одном и том же месте несколько лет подряд. Это отмечено на скалах р. Максимовка. В одном месте на скале на небольшом количестве грунта была устойчивая многолетняя лунка, где совы могли гнездиться до начала наших работ, а в период обследования именно на этой полке скалы гнездо было отмечено трижды – в 2005, 2014 и 2019 гг. Расстояния здесь между разными гнездованиями зафиксированы до 1 м 91 см, что в пределах точности GPS можно считать практически в одном месте. Во втором таком месте совы гнездились не столь четко в одной точке: в одной и той же лунке гнездо было устроено в 2002 и 2007 гг. Эта лунка находилась в 76 м от старого гнезда совы, а в 2005 здесь было еще одно гнездо в 38 м от старого гнезда совы. Кроме того, еще в одной ячейке два гнезда совы отмечены на расстоянии 7.5 м одно от другого, а в еще одной ячейке – два старых гнезда совы на расстоянии 17.3 м одно от другого. Во всех других случаях совы гнездились на большем расстоянии от прежних мест. Еще в одном случае сова загнездилась в старом гнезде зимняка (Buteo lagopus), было ли само гнездо зимняка привлекающим фактором для совы – не ясно.
В результате получается интересная картина: в небольшой степени совы при выборе места гнездования могут положительно реагировать на места прошлых гнездований особей своего вида. Однако в большинстве случаев отношение сов к местам прошлого гнездования было либо нейтральным, либо даже отрицательным. Например, места ряда гнезд, особенно на каменном основании, уже на следующий год оказывались в некоторых случаях не видны. Например, на каменной гряде в 3.1 км на юго-восток от стационара совы гнездились в 2014 и 2019 гг. Оба года местом для гнезда служил плоский камень. Однако, если в 2014 г. это был один камень, то в 2019 – другой, в 75 м от первого. А всего в этой территориальной ячейке было 3 гнездования, еще раз здесь сова гнездилась в 1999 г. тоже на камне, но на другом каменном выступе, в 260 м от первого.
Ряд мест, где в прошедшие годы были гнезда сов, в открытой тундре на траве бывают видны в течение нескольких лет. Таких точек найдено 10 за все годы (из 86 точек гнездования и 51 территориальной ячейки) в данном районе. Восемь из этих десяти были устроены в открытой тундре на травяных склонах, где птенцы во время гнездования полностью растоптали растительность на месте гнезда, она могла потом зарастать в течение нескольких лет. Около двух найденных нами старых гнезд гнездования сов в период нашей работы не отмечено вовсе. В остальных шести случаях совы гнездились на расстояниях 17–240 м от старых гнезд. Остальные пространственно обособленные группы гнезд (всего 41 группа, от 1 до 6 гнездований в ячейке) при ключевом расстоянии выделения групп 680 м не содержали старых гнезд.
Дополнительным подтверждением отрицательного отношения сов к местам прошлого гнездования служит изобилие многолетних лунок на берегах больших рек, особенно р. Максимовка. Эти многолетние лунки когда-то были произведены разными видами крупных птиц тундры: теми же белыми совами, а также сапсанами (Falco peregrinus), белолобыми гусями (Anser albifrons), краснозобыми казарками (Branta ruficollis) и таймырскими серебристыми чайками (Larus argentatus taimyrensis). Бóльшая часть этих лунок каждый год остаются пустыми. Однако время от времени в таких лунках гнездятся птицы, причем разные виды. На реках Масимовка и Лемберова в лунках, где как-то гнездился сапсан, гнездились белолобые гуси. На скальной гряде возле бухты Слободской в многолетней лунке на одном из каменных выступов в 2003 и 2006 гг. (привожу годы обследования этого места) гнездилась пара гумеников (Anser fabalis). В 2012 г. здесь никого не было, в 2014 в этой лунке было гнездо белолобого гуся, а в 2016 – гнездо сапсана. Стойкую тенденцию гнездиться в многолетних лунках демонстрируют сапсаны. Эти соколы редко гнездятся на совершенно новом месте. Зимняки часто гнездятся в старых гнездах своего вида или рядом с ними. Для сов данного района это оказалось нехарактерно. Совы даже в тех же ячейках, где были их предшественники, явно предпочитают новые точки гнездования, а не стремятся занять именно старые. Таким образом, вторичные аттракторы (элементы сигнального поля) существуют, но для сов в данном районе Таймыра они не имеют большого значения.
Получается, что сов для гнездования привлекают одни и те же территориальные ячейки, а вот собственно сигнальные точки (гнезда прошлых лет) – в основном, нет. Поэтому факторы привлечения в ячейку, вероятно, не зависят от наличия элементов сигнального поля в этих территориальных ячейках. Следовательно, мы имеем дело с виртуальной расчерченностью пространства тундры, которая в неполной мере или в очень незначительной степени зависит от свойств ландшафта и прежних следов жизнедеятельности вида. При этом расчерченность именно виртуальная, поскольку границы гнездовых территорий никак не выражены в природе, а существуют только в восприятии птиц конкретного вида. Таким образом, существующая теория сигнального поля не в состоянии удовлетворительно объяснить это явление. Повторим: сигнальное поле, на которое ориентируются животные во время отправления необходимых жизненных функций, в действительности сложнее, чем представляется ныне. Птицы могут не использовать информацию о следах жизнедеятельности, оставленных животными в предыдущие сезоны. Вероятно, на ячеистость пространственной структуры популяций влияет фактор, который человек не улавливает. Расчерченность пространства без постоянных ориентиров известна и для других групп птиц и даже насекомых. Такая расчерченность кратко рассмотрена нами в сообщении о поморниках в тундре (Харитонов, 2022).
Распределение встреч негнездящихся особей. Малое число встреч сов по скальным берегам больших рек (Лемберова, Максимовка и Ефремова) может означать, что в годы общей депрессии леммингов численность леммингов в “горных” районах много меньше, чем в равнинной тундре. Хотя, в ряде случаев в равнинной тундре негнездящиеся совы встречались на прежних местах гнездования, в основном совы отмечены вне мест гнездования. В некоторых случаях встречи сов действительно концентрируются в тех территориальных ячейках, где имело место гнездование в прошлом и ожидается в будущем (рис. 3), однако закономерность здесь не наблюдается.
Особенности гнездования, встречаемости и поведения белых сов в разные сезоны. Для белых сов известно, что характер их гнездования и/или присутствия не всегда соответствует численности леммингов. Например, в нашем исследовании для баллов численности лемминга 2 и 1 число встреченных сов не соответствовало баллу численности леммингов. В 2001 г. численность леммингов по всем нашим показателям была меньше, чем в 2000 г., однако число встреченных белых сов (или, точнее, число встреч белых сов в разных местах) более чем в 2 раза превышало показатель 2000 г. Численность леммингов может варьировать в огромных пределах – на Таймыре от 0 до 300 особей на 1 га (Ebbinge et al., 2021). В разных географических районах нижний порог, когда совы начинают гнездиться, различается радикально. Например, на северо-востоке канадской Арктики совы начинали гнездиться при численности леммингов 2 особи на 1 га (Gauthier, Therrien, 2020). В нашем районе в период 1999–2005 г., когда производился учет плотности леммингов живоловками, совы гнездились при минимальной плотности леммингов 11 особей на 1 га. Не очень понятно, почему в районе наших работ не было гнездования сов в 2003 г. при 6 или более леммингов на 1 га (Харитонов и др., 2005, 2008). В канадской Арктике из семи рассматриваемых лет, когда численность леммингов оценивалась как высокая, совы гнездились лишь четыре года (Seyer et al., 2020). Мало того, на востоке Северной Канады одиночная пара сов однажды загнездилась при численности леммингов всего 0.5 особей на 1 га, при этом два года перед этим совы в том районе не гнездились ни при 1.5 особях на 1 га, ни при 1 особи на 1 га (Therrien et al., 2014).
Кроме того, на реакцию сов в конкретной ситуации в сезоне может влиять состояние самих сов. Например, в данном районе в конкретный сезон могут оказаться совы определенной категории. Подобное отмечено нами у зимняков, когда в 2018 г. в наш район прибыли зимняки с другими, нежели в нашем обследованном районе, требованиями к месту гнездования (Харитонов, 2019). Возможно также, что в разные сезоны совы имеют разный физиологический “настрой”. Это может проявляться в реакции на особей своего вида. В 2012 г. мы в районе обследования установили ряд макетов белых сов. В 2014, 2019 и 2020 гг., когда мы непосредственно за макетами наблюдали, реакция совы на них отсутствовала. Однако в 2016 г., гнездование двух пар белых сов в нашем районе при малой численности леммингов (только одно из этих гнезд оказалось успешным) было обусловлено, по нашему мнению, присутствием макетов (Харитонов, 2019а). Кроме того, в 2018 г., когда совы здесь не гнездились, четыре особи (всего в этот год были еще только три встречи сов, кроме четырех указанных) держались значительное время возле макетов, разные особи – от нескольких часов до шести дней.
Представляется, что поведение сов зависит не только от внешних факторов, важнейшим из которых является численность леммингов, но и от некоего внутреннего состояния сов. В частности, возможное долгое предыдущее негнездование может стимулировать гнездование при малой численности леммингов или, наоборот, – гнездование в течение нескольких сезонов подряд может обусловить пропуск сезона вне зависимости от численности леммингов. Среди сов могут быть такие категории особей, как “индивидуалисты” и “коллективисты”, отмеченные у других видов птиц (Сапельников и др., 2006, 2007). Из-за номадного образа жизни (Hutchison et al., 2020) в какой-либо местности в разные годы могут оказываться разные категории сов. Можно допустить даже такое явление, как смена состояния одних и тех же особей в разные сезоны – один год они индивидуалисты, в другой год – коллективисты, причем эта смена может быть слабо связана с численностью и распределением леммингов. Вычисленные коэффициенты корреляции показывают, что более плотное поселение смотрится более выгодным, поскольку в плотных поселениях достоверно большие кладки. Тем не менее в отдельные годы поселение состояло из одних “индивидуалистов”. Например, 2019 г. все совы гнездились на больших расстояниях друг от друга при малой изменчивости этих расстояний (табл. 1), то есть территории соседних пар не соприкасались одна с другой.
На величине кладки сказывается не только балл численности леммингов, но и их доступность. Причина сильной отрицательной связи размера кладки с ошибкой среднего расстояния до ближайшего соседа фактически означает, что совы “не любят” большого разброса этих расстояний. Объяснить это явление пока не представляется возможным.
ЗАКЛЮЧЕНИЕ
В пространственной структуре популяций белых сов в совершенно разных ландшафтах тундры северо-западного Таймыра существуют постоянные территориальные ячейки, где в каждый конкретный год могут либо быть, либо могут не быть гнезда данного вида. Наличие этих территориальных ячеек не объясняется существующей теорией сигнального поля. В основе разделения пространства на территориальные ячейки и выбора определенных мест для отправления жизненных функций лежит нечто более сложное, чем ориентация на чисто экологические характеристики среды и следы предыдущей активности животных.
В результате анализа можно заключить, что белые совы, хотя и занимают гнездовые места рано, когда еще не стаял снег, тем не менее, в тундре всегда много пригодных для гнездования белых сов бесснежных мест, экологические особенности конкретного места гнездования большого значения не имеют. Выбор места в данном районе Таймыра – иногда то же самое, что и в прошлые года, однако чаще в другой точке гнездования в пределах виртуально наличествующих в тундре одних и тех же территориальных ячеек. На выбор места гнездования заметное влияние оказывают не только численность леммингов, но и индивидуальные или групповые особенности сов, которые при своем номадном образе жизни оказались в данном районе тундры. Кроме того, возможно, от физиологического состояния (готовность гнездиться в разные сезоны может быть разной) сов в конкретный сезон зависит их реакция на численность леммингов и выбор конкретного места гнездования.
БЛАГОДАРНОСТИ
Авторы выражают искреннюю благодарность директору заповедника “Большой Арктический” В. Л. Чупрову и директорам “Объединенной дирекции заповедников Таймыра” В. В. Матасову и К. А. Просекину за предоставленную возможность работать на северо-западном Таймыре и поддержку данных исследований. Большую признательность выражаем инспекторам отдела охраны вышеуказанных заповедников – С. А. Дудко, А. А. Белешову и И. Н. Корниенко, которые в разные годы непосредственно помогали нашим исследовательским группам во время полевых сезонов 2000–2020 гг. Без их помощи и поддержки данное исследование едва ли было возможно.
Большое спасибо всем товарищам по экспедиции, сначала российско-голландской (2000–2007 гг.), затем коллегам из разных организаций (2012–2019 гг.). Особая благодарность Hans Schekkerman, Ingrid Tulp, Damian Nowak, Даниилу Осипову, Ольге Натальской, Виктору Головнюку, Михаилу Соловьеву, Анастасии Поповкиной, с которыми шел постоянный обмен информацией во время совместных экспедиций с общей базой на станции им. Виллема Баренца.
ФИНАНСИРОВАНИЕ РАБОТЫ
В 2000–2007 гг. работа проводилась в рамках совместной российско-голландской экспедиции на станцию им. Виллема Баренца, исследование поддерживалось Министерством сельского хозяйства, природы и качества продуктов питания Нидерландов. В 2012 гг. работа проводилась на личные средства автора, в 2014–2020 гг. исследование частично финансировалось ФГБУ “Заповедники Таймыра” по программе “Характеристики размножения и пространственное распределение птиц тундры в окрестностях станции им. Виллема Баренца”. Обработка и анализ собранного материала проводился за счет средств бюджета Института проблем экологии и эволюции им. А. Н. Северцова РАН.
СОБЛЮДЕНИЕ ЭТИЧЕСКИХ СТАНДАРТОВ
В данной работе отсутствуют и экспериментальные, и лабораторные исследования человека и животных.
КОНФЛИКТ ИНТЕРЕСОВ
Автор данной работы заявляет, что у него нет конфликта интересов.
Об авторах
С. П. Харитонов
Институт проблем экологии и эволюции имени А. Н. Северцова РАН
Автор, ответственный за переписку.
Email: serpkh@gmail.com
Россия, Москва
Список литературы
- Головнюк В.В., Соловьев М.Ю., Поповкина А.Б., 2018. Характер пребывания и численность птиц в окрестностях арктической станции биологических исследований «Виллем Баренц» по наблюдениям 2015–2017 гг. // Научные труды Федерального государственного бюджетного учреждения “Объединенная Дирекция заповедников Таймыра”. Вып. 2. Норильск: АПЕКС. С. 79–105.
- Менюшина И.Е., Овсяников Н.Г., 2013. Роль биологического сигнального поля в формировании репродуктивных поселений белой совы (Nyctea scandiaca) // Биологическое сигнальное поле млекопитающих. (Никольский А.А., Рожнов В.В. ред.). М.: Товарищество научных изданий КМК. С. 138–143.
- Наумов Н.П., 1977. Биологические (сигнальные) поля и их значение в жизни млекопитающих // Успехи современной териологии. М.: Наука. С. 93–110.
- Сапельников С.Ф., Сапельникова И.И., Харитонов С.П., Власов А.А., Сапельникова А.С., 2006. К вопросу о колониальности и успешности размножения лугового луня // Развитие современной орнитологии в Северной Евразии: Труды XII Международной орнитологической конференции Северной Евразии. Ставрополь: Изд-во СГУ. С. 530–552.
- Сапельников С.Ф., Сапельникова А.С., Харитонов С.П., 2007. Ворон в Каменной степи и его территориальные отношения с канюком, тетеревятником и коршуном // Экология врановых в естественных и антропогенных ландшафтах. Материалы международной конференции. VIII Международная конференция по врановым птицам, Якорная Щель, Краснодарский край, 21–25 сентября 2007 года, Москва-Ставрополь, Московский педагогический государственный университет. С. 163–166.
- Стишов М.С., 2004. Остров Врангеля – эталон природы и природная аномалия. Йошкар-Ола: Издательство Марийского полиграфкомбината. 596 с.
- Харитонов С.П., 1999. Компьютерная программа “Карта колонии”, исполняемый файл – colonmap.exe.
- Харитонов С.П., Бубличенко А.Г., Коркина С.А., 2005. Экология гнездования белых сов на северо-западном Таймыре: сопоставление с фазами динамики численности леммингов и пространственное распределение // Совы Северной Евразии (Волков С.В., Морозов В.В., Шариков А.В. ред.). Москва. С. 23–31.
- Харитонов С.П., 2007. Изучение пространственного распределения гнезд в колонии // Методы и теоретические аспекты исследований морских птиц. Материалы V Всероссийской школы по морской биологии (25–27 октября 2006 г., г. Ростов-на-Дону). Ростов-на-Дону. Издательство ЮНЦ РАН. C. 83–104.
- Харитонов С.П., Волков А.Е., Виллемс Ф., Клейф Х. ван, Клаассен Р.Х.Г. и др., 2008. Колонии черных казарок возле белых сов: расстояния между гнездами в зависимости от численности леммингов и песцов. // Известия РАН. Серия Биологическая. № 3. C. 313–323.
- Харитонов С.П., Иваненко Н.Ю., Чухарева И.П., Анисимов Ю.А., 2011. Использование GPS-навигатора для картирования колоний птиц: методическая проверка // Поволжский экологический журнал. № 1. С. 59–69.
- Харитонов С.П., 2015. Птицы и млекопитающие окрестностей бухты Медуза, Диксонский район, северо-западный Таймыр // Научные труды Федерального государственного бюджетного учреждения “Объединенная Дирекция заповедников Таймыра”. Вып. 1. Норильск: АПЕКС. С. 173–200.
- Харитонов С.П., 2019. Предъявленные альтернативы – вероятный механизм ускоренного действия естественного отбора: к биологии зимняка Buteo lagopus на западном Таймыре // Русский орнитологический журнал. Экспресс-выпуск. Т. 28. № 1853. С. 5471–5480.
- Харитонов С.П., 2019a. “Рациональное” и “иррациональное” в поведении птиц: сочетание рационально-вероятностной и релизерной моделей поведения при принятии решения о выборе места гнездования // Вестник Тверского государственного университета. Биология и экология. № 1(53). С. 233–250.
- Харитонов С.П., 2022. Пространственная структура гнездовых поселений длиннохвостого (Stercorarius longicaudus) и среднего (Stercorarius pomarinus) поморников (Charadriiformes, Stercorariidae) в тундрах Таймыра // Зоологический журнал. Т. 101. № 9. С. 1015–1031.
- Шилов И.А., 1977. Эколого-физиологические основы популяционных отношений у животных. М.: МГУ. 262 с.
- Чернявский Ф.Б., Ткачев А.В., 1982. Популяционные циклы леммингов в Арктике. М.: Наука. 164 с.
- Clark P.J., Evans F.C., 1954. Distance to the nearest neighbour as a measure of spatial relationships in populations // Ecology. V. 35. № 4. P. 445–453.
- Ebbinge B.S., Bom R.A., Broekhuizen S., Cottaar F., Müsken G., 2021. Insights into the Impacts of Climate Change on a High Arctic Ecosystem // UILEN. V. 11. P. 134–160.
- Hutchison C., Guichard F., Legagneux P., Gauthier G., Bêty J., Berteaux D., Fauteux D., Gravel D., 2020. Seasonal food webs with migrations: multi-season models reveal indirect species interactions in the Canadian Arctic tundra. // Philosophical Transactions of the Royal Society A.V. 378. Iss. 2181. P. 1–20.
- Gauthier G., Therrien J.-F., 2020. Recent trends in Snowy Owl Breeding and lemming populations on Bylot Island, Nunavut, Canada // The 5th meeting of International Snowy Owl Working Group (ISOWG) 9–13. March 2020 NIBIO Svanhovd Conference Centre, Pasvik, Norway. P. 15.
- Jeffers J.N.R. 1978. An introduction to systems analysis with ecological applications. Baltimore: University Park Press. 198 p.
- Khomenko S., Rosenfeld S., Dyluk S., 1999. Birds of Medusa Bay, NW Taimyr, in 1997 // Results of a Russian-Ukrainian expedition. WIWO-report-66. Zeist.: WIWO. P. 1–48.
- Potapov E., Sale R., 2012. The Snowy Owl. Chapter 6: Timing of hatching. London: T&ADPOYSER. P. 108–138.
- Seyer Y., Gauthier G., Frauteux D., Therrien J.-F., 2020. Resource partitioning among avian predators in the Arctic tundra // Journal of Animal Ecology. V. 29. P. 2934–2945.
- Therrien J.-F., Gauthier G., Pinaud D., Bêty J., 2014. Irruptive movements and breeding dispersal of snowy owls: a specialized predator exploiting a pulsed resource // Journal of Avian Biology. V. 45. P. 536– 544.
- Tulp I., Bruinzeel L., Jukema J., Stepanova O., 1997. Breeding waders at Medusa Bay, Western Taimyr, in 1996 // WIWO-report 57. Zeist: WIWO. 92 p.
- Volkov A.E., Khomenko S., Kleef H. van, Willems F., 2000. Breeding of Brent Geese at Meduza Bay, Taimyr, and relation with lemming predators // Casarca (Bulletin of the Goose and Swan study group of Eastern Europe and North Asia). № 10. С. 63–75.
- Willems F., Turnhout C. van, Kleef H. van, Felix R., 2002. Breeding Birds of Medusa Bay, Taimyr, Russia // Methods for biological monitoring in the Arctic, with results of 1998 and 1999 // WIWO-report 77. Zeist: WIWO. 177 p.
Дополнительные файлы






