PARASITIODS (HYMENOPTERA, EULOPHIDAE, BRACONIDAE) AS A MORTALITY FACTOR FOR THE LIME LEAF MINER (PHYLLONORYCTER ISSIKII, LEPIDOPTERA, GRACILLARIIDAE) IN TRANS-URALIA AND WESTERN SIBERIA
- Autores: Ermolaev I.V.1, Yefremova Z.A.2, Belokobylskij S.A.3, Tyul’kin Y.A.4, Yegorenkova E.N.5
-
Afiliações:
- Botanic Garden Institute, Ural Branch, Russian Academy of Sciences
- The Steinhardt Museum of Natural History, Tel Aviv University
- Zoological Institute, Russian Academy of Sciences
- Tobolsk Complex Research Station, Ural Branch, Russian Academy of Sciences
- Ulyanovsk State Pedagogical University
- Edição: Volume 102, Nº 7 (2023)
- Páginas: 790-798
- Seção: ARTICLES
- URL: https://bakhtiniada.ru/0044-5134/article/view/136839
- DOI: https://doi.org/10.31857/S0044513423060053
- EDN: https://elibrary.ru/YOQPVN
- ID: 136839
Citar
Texto integral
Resumo
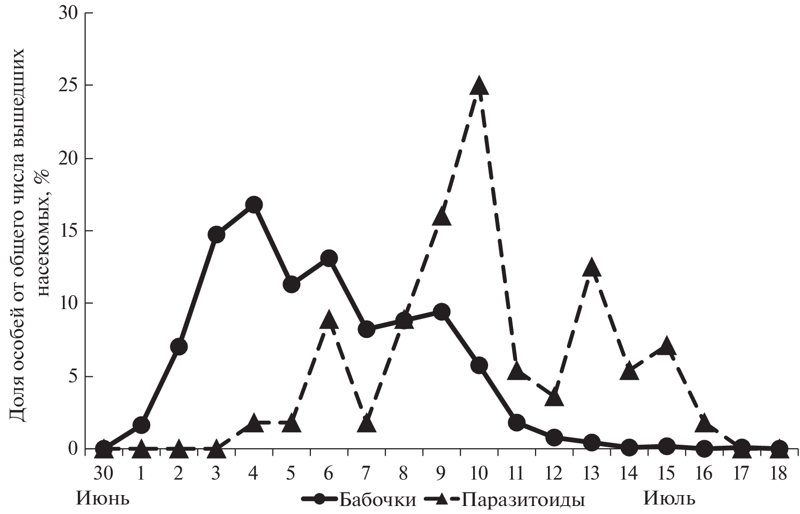
The assemblage of hymenopteran parasitoids associated with the invasive lime leaf miner, Phyllonorycter issikii (Lepidoptera, Gracillariidae) developing on the lime (Tilia cordata) was studied in the Kurgan Province (Madvezh’ye Lake), and in the cities of Tobolsk, Omsk, and Novosibirsk during 2018−2019. Twenty-one species of parasitoids of Ph. issikii were recognized: Pteromalus sp. (Pteromalidae), Cirrospilus diallus, Elachertus sp., Hyssopus geniculatus, H. nigritulus, Pnigalio mediterraneus, Pnigalio sp., Sympiesis dolichogaster, S. gordius, S. sericeicornis, Chrysocharis laomedon, Ch. pentheus, Ch. pubicornis, Ch. viridis, Chrysocharis sp., Neochrysocharis formosus, Minotetrastichus frontalis (Eulophidae), Colastes braconius, Apanteles sp., Pholetesor circumscriptus and Cotesia sp., (Braconidae). Chrysocharis viridis has been reported as a parasitoid of lime leaf miner for the first time. The role of the complex of parasitoids in the mortality of the miner is negligible, the mortality rate ranging from 1.9 ± 0.4 (Novosibirsk) to 23.7 ± 3.3% (Omsk).
Palavras-chave
Sobre autores
I. Ermolaev
Botanic Garden Institute, Ural Branch, Russian Academy of Sciences
Autor responsável pela correspondência
Email: ermolaev-i@yandex.ru
Russia, 620130, Ekaterinburg
Z. Yefremova
The Steinhardt Museum of Natural History, Tel Aviv University
Autor responsável pela correspondência
Email: zyefremova@gmail.com
Israel, 69978, Tel Aviv
S. Belokobylskij
Zoological Institute, Russian Academy of Sciences
Email: zyefremova@gmail.com
Russia, 199034, St.-Petersburg
Yu. Tyul’kin
Tobolsk Complex Research Station, Ural Branch, Russian Academy of Sciences
Email: zyefremova@gmail.com
Russia, 626152, Tobolsk
E. Yegorenkova
Ulyanovsk State Pedagogical University
Email: zyefremova@gmail.com
Russia, 432071, Ulyanovsk
Bibliografia
- Гайвас А.А., Шевченко Н.Ю., Христич В.В., Лещина М.М., 2019. Моль дубовая широкоминирующая, вредитель дубовых насаждений ФГБОУ ВО Омский ГАУ // Сборник материалов Всерос. науч.-практ. конференции, посвященной 100-летию со дня рождения С.И. Леонтьева. Омск: Омский государственный аграрный университет. С. 443–447.
- Дубова широкомiнуюча мiль та iншi мiнуючi лускокрилi на дубi (бiологiя, ентомофаги та заходи боротьби), 2001. Ред. Зерова М.Д. Kuïв: Наука-Сервiс. 70 с.
- Ермолаев И.В., Ефремова З.А., Ижболдина Н.В., 2011. Паразитоиды как фактор смертности липовой моли-пестрянки (Phyllonorycter issikii, Lepidoptera, Gracillariidae) // Зоологический журнал. Т. 90. № 1. С. 24–32.
- Ермолаев И.В., Ефремова З.А., Домрачев Т.Б., 2018. О влиянии паразитоидов (Hymenoptera, Eulophidae) на выживаемость липовой моли-пестрянки (Phyllonorycter issikii, Lepidoptera, Gracillariidae) в Удмуртии // Зоологический журнал. Т. 97. № 2. С. 401–407.
- Ермолаев И.В. Ефремова З.А., Герасимова Н.А., Королёва Е.А., Лушников Н.Н., Петров А.И., Пчельников А.А., 2019. Паразитоиды (Hymenoptera) липовой моли-пестрянки (Phyllonorycter issikii, Lepidoptera, Gracillariidae) разных городов Российской Федерации и роль этих паразитоидов в смертности инвазивного вида // Зоологический журнал. Т. 98. № 4. С. 407– 414.
- Ермолаев И.В., 2022. Паразитоиды (Hymenoptera) как фактор смертности Cameraria ohridella Deschka & Dimić, 1986 (Lepidoptera, Gracillariidae) // Российский журнал биологических инвазий. № 2. С. 18–37.
- Ермолаев И.В., Ефремова З.А., Куропаткина Ю.С., Егоренкова Н.Н., 2022. Изменение структуры комплекса паразитоидов (Hymenoptera, Eulophidae, Braconidae) в очаге осиновой моли-пестрянки (Phyllonorycter apparella, Lepidoptera, Gracillariidae) / И.В. Ермолаев, З.А. Ефремова, Ю.С. Куропаткина, Е.Н. Егоренкова // Зоологический журнал. Т. 101. № 4. С. 409–416.
- Ефремова З.А., Мищенко А.В., 2008. Комплекс наездников-паразитоидов (Hymenoptera, Eulophidae) липовой моли-пестрянки Phyllonorycter issikii (Lepidoptera, Gracillariidae) в Среднем Поволжье // Зоологический журнал. Т. 87. № 2. С. 189–196.
- Ивантер Э.В., Коросов А.В., 2011. Введение в количественную биологию. Петрозаводск: Изд-во ПетрГУ. 302 с.
- Кириченко Н.И., 2013. Липовая моль-пестрянка Phyllonorycter issikii в Западной Сибири: некоторые экологические характеристики популяции недавнего инвайдера // Сибирский экологический журнал. № 6. С. 813–822.
- Кириченко Н.И., Белокобыльский С.А., Кошелева О.В., 2022. Комплекс паразитоидов и их эффективность в контроле численности популяций липовой моли-пестрянки Phyllonorycter issikii (Kumata) (Lepidoptera: Gracillariidae) в азиатской части России // Тезисы докладов XVI съезда Русского энтомологического общества. М.: МГУ. С. 132.
- Науменко Н.И., 2009. Островное местонахождение Tilia cordata Mill. в лесостепи Тобол-Ишимского междуречья: к 45-летию работы П.Л. Горчаковского о западносибирском крыле ареала липы мелколистной // Вестник Удмуртского университета. Биология. Науки о Земле. Вып. 2. С. 49–60.
- Bouček Z., Askew R.R., 1968. Index of Palaearctic Eulophidae (excl. Tetrastichinae). Index of Entomophagous Insects. Paris. 260 p.
- Kosheleva O.V., Belokobylskij S.A., Kirichenko N.I., 2022. The hymenopterous parasitoids of the lime leaf miner Phyllonorycter issikii (Kumata) (Lepidoptera: Gracillariidae) from its native and invaded regions in Asian Russia // Diversity. V. 14. № 9. 707. https://doi.org/10.3390/ d 14090707
- Yefremova Z., Mishchenko A., 2012. The preimaginal stages of Minotetrastichus frontalis (Nees) and Chrysocharis laomedon (Walker) (Hymenoptera: Eulophidae), parasitoids associated with Phyllonorycter issikii (Kumata, 1963) (Lepidoptera: Gracillariidae) // Journal of Natural History. V. 46. P. 1283–1305.
Arquivos suplementares







