FEEDING INTENSITY AND BOTH FOOD AND ENERGY REQUIREMENTS OF THE MIDDAY GERBIL (MERIONES MERIDIANUS, GERBILLIDAE, RODENTIA) IN CAPTIVITY
- Authors: Omarov R.R.1, Omarov K.Z.1
-
Affiliations:
- Pre-Caspian Institute of Biological Resources, Dagestan Federal Research Center, Russian Academy of Sciences
- Issue: Vol 102, No 2 (2023)
- Pages: 215-224
- Section: ARTICLES
- URL: https://bakhtiniada.ru/0044-5134/article/view/136767
- DOI: https://doi.org/10.31857/S0044513423020101
- EDN: https://elibrary.ru/HQHNRW
- ID: 136767
Cite item
Full Text
Abstract
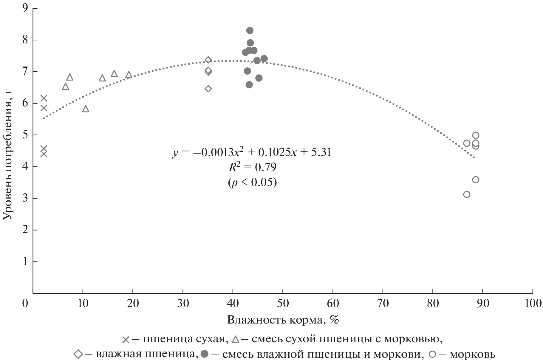
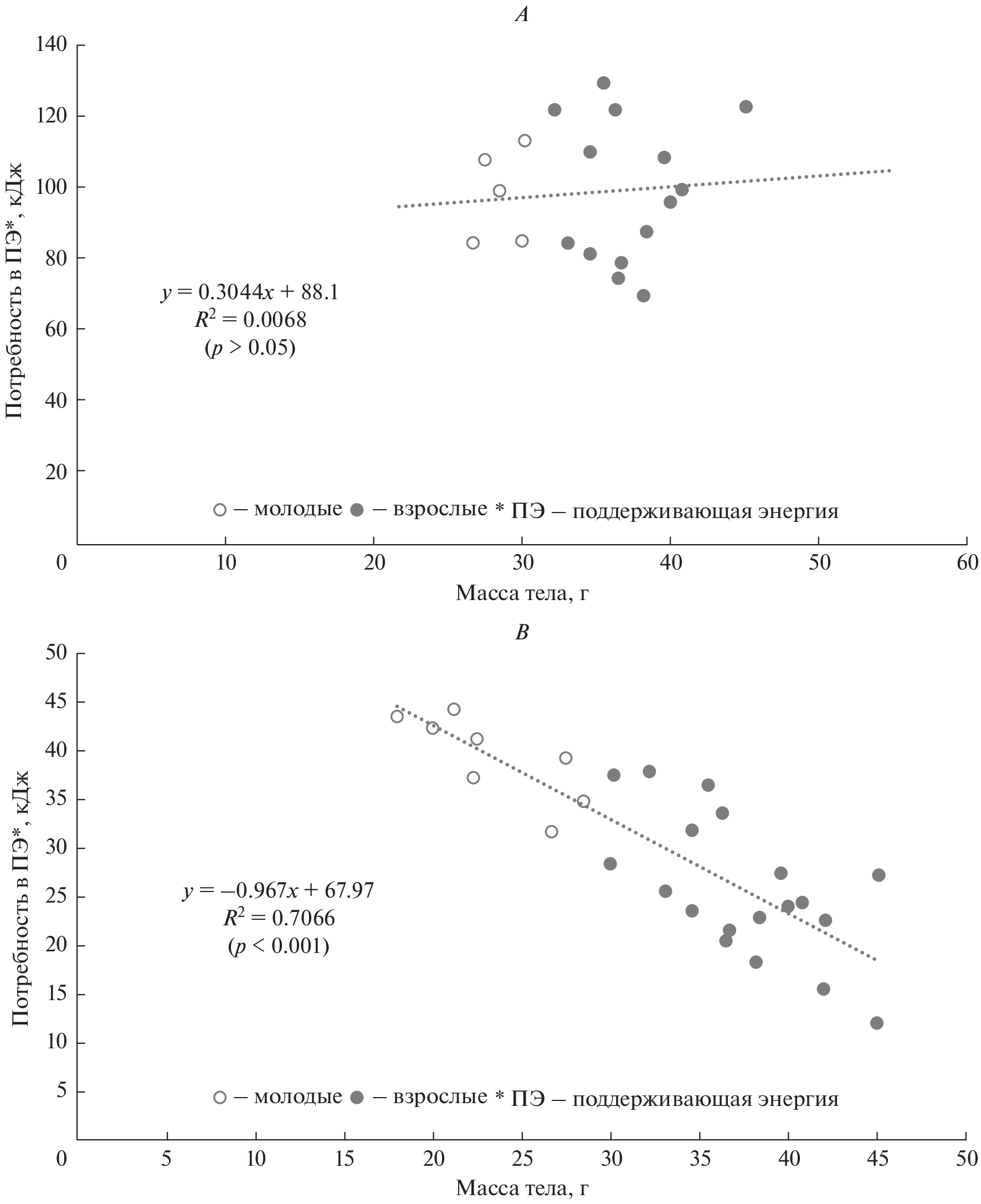
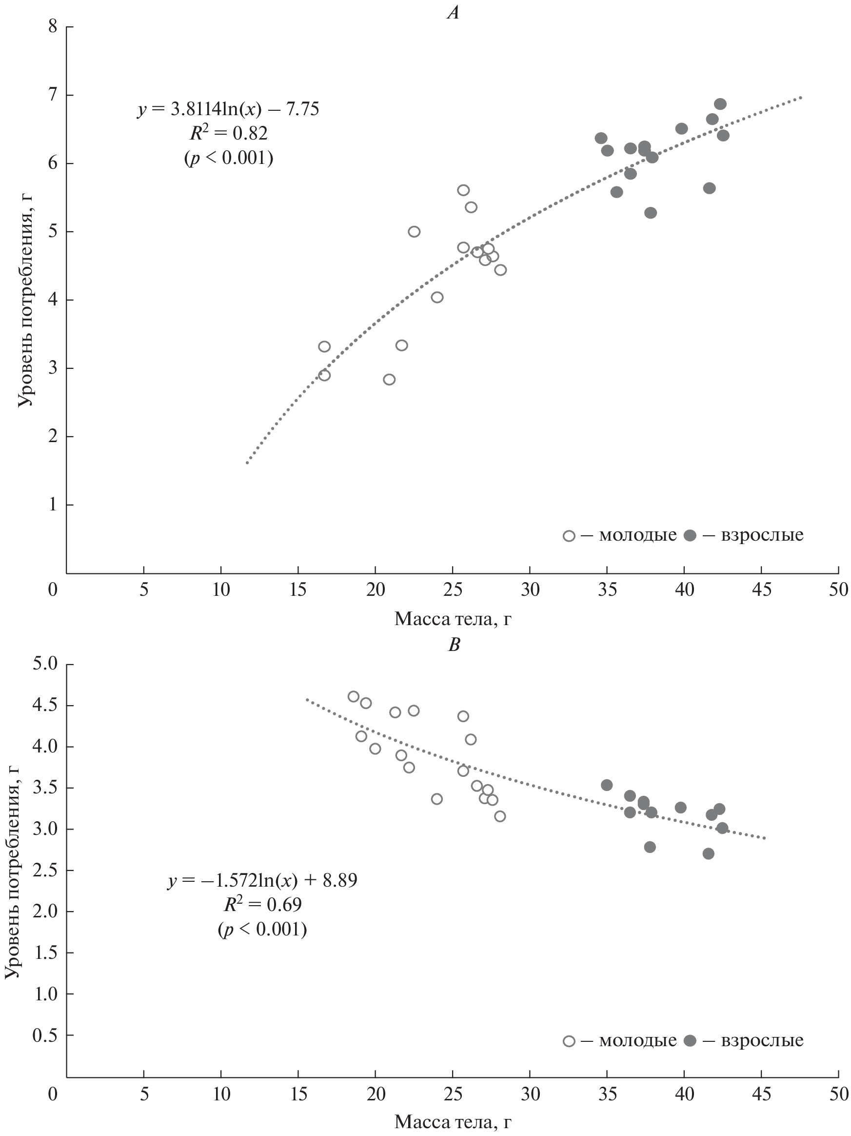
Studies on the age characteristics of the quantitative and qualitative aspects of nutrition and energy of the Midday gerbil in captivity showed that the consumption of various types of food ranges from 4.2 to 7.5 g of dry matter per individual per day, depending on the age of the animals and the quality of the feed offered. The absolute dry matter intake reaches the maximum at air humidity levels close to 50–55%. The absolute values of food consumption by adult animals are 1.3–1.5 times higher than those of young ones. The relative level (per 10 g of body weight) of feed intake is 1.1–1.3 times, and the relative energy requirements are 1.2–1.5 times higher in young animals than in adults. Considering that the relative energy requirements of young gerbils are higher, while the absolute values of their nutrition are lower than those of adults, they need more nutritious feeds in comparison with adults to ensure an energy balance. Consequently, in nature, young animals should be more demanding for food quality, and therefore any changes in the quantity and quality of food resources will primarily affect the condition and survival of young individuals.
About the authors
R. R. Omarov
Pre-Caspian Institute of Biological Resources, Dagestan Federal Research Center, Russian Academy of Sciences
Author for correspondence.
Email: rizvan12345@rambler.ru
Russia, 367032, Makhachkala
K. Z. Omarov
Pre-Caspian Institute of Biological Resources, Dagestan Federal Research Center, Russian Academy of Sciences
Email: rizvan12345@rambler.ru
Russia, 367032, Makhachkala
References
- Абатуров Б.Д., 1980. Об определении интенсивности потребления пищи и освоения кормовых ресурсов растительноядными млекопитающими // Зоологический журнал. Т. 59. Вып. 11. С. 1726–1732.
- Абатуров Б.Д., 2021. Питание и кормовые ресурсы диких растительноядных млекопитающих в степных экосистемах. М.: Товарищество научных изданий КМК. 208 с.
- Абатуров Б.Д., Кузнецов Г.В., 1976. Изучение интенсивности потребления пищи грызунами // Зоологический журнал. Т. 55. Вып. 1. С. 122–127.
- Абатуров Б.Д., Лопатин В.Н., 1987. Связь уровня потребления пищи с размерами тела у растительноядных млекопитающих // Журнал общей биологии. Т. 48. № 6. С. 763–770.
- Абатуров Б.Д., Магомедов М-Р.Д., 1988. Питательная ценность и динамика кормовых ресурсов как фактор состояния популяций растительноядных млекопитающих // Зоологический журнал. Т. 67. Вып. 2. С. 223–234.
- Абатуров Б.Д., Хашаева М.Г., 1995. Усвоение зеленых растительных кормов грызунами разной пищевой специализации в зависимости от фазы вегетации кормовых растений // Зоологический журнал. Т. 74. Вып. 4. С. 132–142.
- Громов И.М., Ербаева М.А., 1995. Млекопитающие фауны России и сопредельных территорий. Зайцеобразные и грызуны. СПб.: ЗИН РАН. 521 с.
- Магомедов М-Р.Д., 1981. Изучение интенсивности питания малого суслика Citellus Pygmaeus // Зоологический журнал. Т. 60. Вып. 12. С. 1813–1816.
- Магомедов М-Р.Д., Ахтаев М-Х.Р., 1990. Интенсивность питания и потребности в кормах и энергии у гребенщиковой песчанки // Зоологический журнал. Т. 69. Вып. 3. С. 96–104.
- Магомедов М-Р.Д., Муртазалиев Р.А., 2001. Влияние выпаса на продуктивность и структуру растительности пастбищных экосистем Терско-Кумской низменности // Аридные экосистемы. Т. 7. № 14–15. С. 39–47.
- Магомедов М-Р.Д., Омаров К.З., 1994. Интенсивность питания и энергетические потребности хомяка Радде в различные периоды жизнедеятельности // Экология. № 4. С. 39–45.
- Магомедов М.-Р.Д., Субботин А.Е., 1985. Изучение интенсивности питания тушканчиков // Зоологический журнал. Т. 64. Вып. 5. С. 731–737.
- Мак-Доналъд П., Эдвардс Р., Гринхальдж Дж., 1970. Питание животных. М.: Колос. 504 с.
- Наумова Е.И., 1981. Функциональная морфология пищеварительной системы грызунов и зайцеобразных. М.: Наука. 262 с.
- Наумова Е.И., Жарова Г.К., Варшавский А.А., Чистова Т.Ю., 2021. Функциональная диверсификация морфологически сходных органов пищеварительного тракта у представителей Muroidea // Известия РАН. Серия биологическая. № 3. С. 270–279.
- Омаров К.З., Омаров Р.Р., Магомедов М.Ш., 2015. Состояние популяции и особенности питания полуденной песчанки (Meriones meridianus) в Северо-Западном Прикаспии // Вестник Дагестанского научного центра РАН. № 58. С. 15–18.
- Омаров Р.Р., Омаров К.З., Магомедов М.Р.Д., Магомедов М.М.Р., 2018. Сравнительные особенности экологии полуденной (Meriones meridianus) и гребенщиковой (Meriones tamariscinus) песчанок в зоне симпатрии // Вестник Дагестанского научного центра РАН. № 69. С. 6–13.
- Омаров Р.Р., Омаров К.З., 2019. Особенности размножения полуденной песчанки (Meriones meridianus) в Северо-Западном Прикаспии // Вестник Дагестанского научного центра РАН. № 74. С. 6–11.
- Павлинов И.Я., 2002. Краткий определитель наземных зверей России. М.: изд-во МГУ. 165 с.
- Павлинов И.Я., Дубровский Ю.А., Россолимо О.Л., Потапова Е.Г., 1990. Песчанки мировой фауны. М.: Наука. 360 с.
- Руденчик Ю.В., 1962. Определение возраста полуденных, гребенщиковых и краснохвостых песчанок по степени стертости зубов // Узбекский биологический журнал. № 4. С. 58–62.
- Стахеев В.В., 2012. Динамика и тренды численности малых песчанок в Северо-Западном Прикаспии, их связь с атмосферной циркуляцией // Доклады Академии наук. Т. 443. № 4. С. 526.
- Томме М.Ф., Мартыненко Р.В., Неринг К. и др., 1970. Переваримость кормов. М.: Колос. 464 с.
- Шилова С.А., Чабовский А.В., Исаев С.И., Неронов В.В., 2000. Динамика сообщества и популяций грызунов полупустынь Калмыкии в условиях снижения нагрузки на пастбища и увлажнения климата // Известия РАН Сер. Биол. № 3. С. 332–344.
- Clauss M., Schwarm A., Ortmann S., Streich W.J., Hummel J., 2007. A case of non-scaling in mammalian physiology? Body size, digestive capacity, food intake, and ingesta passage in mammalian herbivores // Comparative Biochemistry and Physiology. Part A. V. 148. № 2. P. 249–265.
- Demment M.W., Van Soest P.J., 1985. A nutritional explanation for body-size patterns of ruminant and nonruminant herbivores // The American Naturalist. V. 125. № 5. P. 641–672.
- Foley W.J., Cork S.G., 1992. Use of fibrous diets by small herbivores: how far the rule be “bent”? Trends in Ecology and Evolution. V. 7. № 5. P. 159–162.
- Heusner A.A., 1991. Size and pover in mammals // Journal of Experimental Biology. V. 160. № 1. P. 25–54.
- Khokhlova I.S., Kam M., Degen A.A., 1997. A small gerbil that maximizes energy intake from low-energy food // Journal of Mammalogy. V. 78. № 1. P. 158–162.
- Muller D.W., Codron D., Meloro C., Munn A., Schwarm A., Hummel J., Clauss M., 2013. Assessing the Jarman–Bell principle: scaling of intake, digestibility, retention time and gut fill with body mass in mammalian herbivores // Comparative Biochemistry and Physiology. Part A: Molecular and Integrative Physiology. V. 164. № 1. P. 129–140.
- Pei Y.-X., Wang D.-H., Hume I., 2001. Effect of Dietary Fibre on Digesta Passage, Nutrient Digestibility and Gastrointestinal Morphology in the Granivorous Mongolian Gerbil (Meriones unguiculates) // Physiological and Biochemical Zoology. V. 74. № 5. P. 742–749.
- Renecker L.A., Hudson R.J., 1986. Seasonal foraging rates of free-ranging moose // Journal of wildlife management. V. 50. № 1. P. 143–147.
- Tchabovsky A.V., Savinetskaya L.E., Surkova E.N., Ovchinnikova N.L., Kshnyasev I.A., 2016. Delayed threshold response of a rodent population to human-induced landscape change // Oecologia. V. 182. № 4. P. 1075–1082.
- Tchabovsky A.V., Savinetskaya L.E., Surkova E.N., 2019. Breeding versus survival: Proximate causes of abrupt population decline under environmental change in a desert rodent, the midday gerbil (Meriones meridianus) // Integrative Zoology. V. 14. № 4. P. 366–376.
Supplementary files





