THE SOFT-SHELL CLAM, MYA ARENARIA LINNAEUS 1758 (MYIDAE), IN THE SHALLOW WATERS OF ZELENETSKAYA AND YARNYSHNAYA INLETS OF THE BARENTS SEA: ALLOMETRIC GROWTH
- Авторлар: Smolkova O.V.1, Meshcheryakov N.I.1
-
Мекемелер:
- Murmansk Marine Biological Institute, Russian Academy of Sciences
- Шығарылым: Том 102, № 2 (2023)
- Беттер: 141-152
- Бөлім: ARTICLES
- URL: https://bakhtiniada.ru/0044-5134/article/view/136753
- DOI: https://doi.org/10.31857/S0044513423010099
- EDN: https://elibrary.ru/ETZUVE
- ID: 136753
Дәйексөз келтіру
Толық мәтін
Аннотация
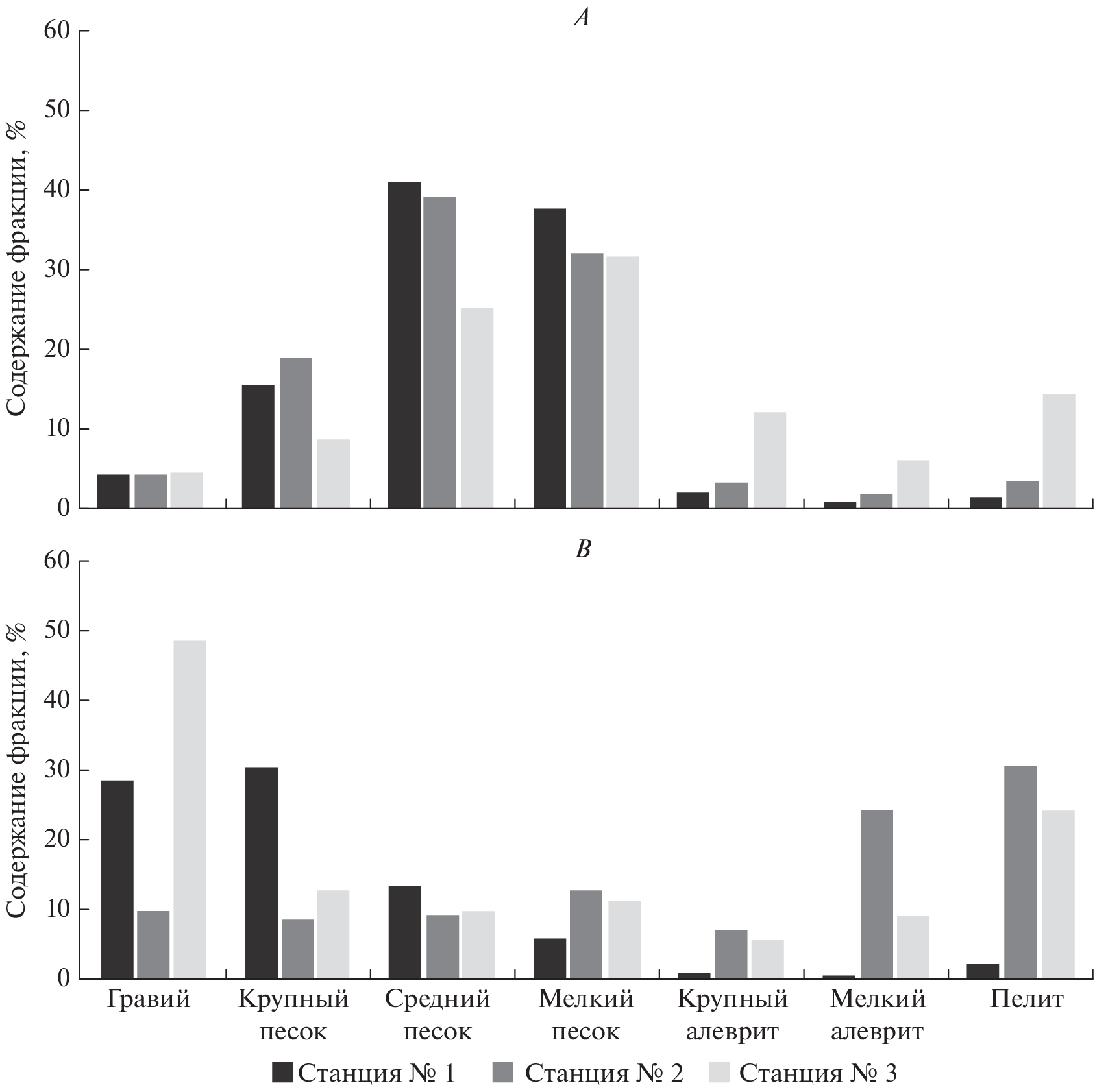
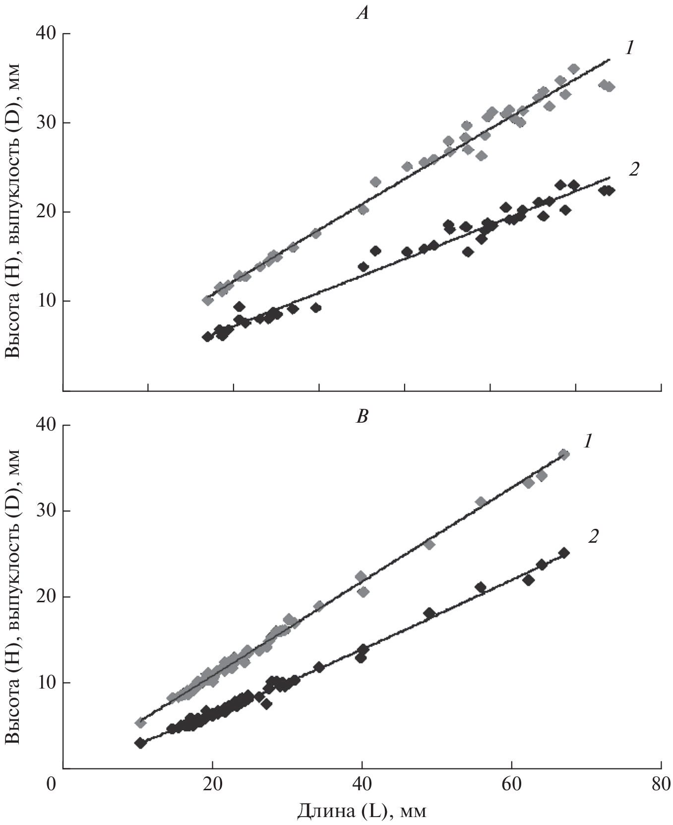
Information concerning the allometric growth of the bivalve mollusk Mya arenaria populations in the intertidal zones of Zelenetskaya and Yarnyshnaya inlets, Barents Sea is presented. The population density in the Zelenetskaya Inlet averages 40 ind./m2, biomass 280 g/m2, vs 62.6 ind./m2 and 142 g/m2 in the Yarnyshnaya Inlet, respectively. A detailed analysis of the granulometric composition of the intertidal zone’s bottom sediments and the content of organic matter are determined for the first time. The study areas are found to differ in the composition of bottom sediments. The organic matter in the Zelenetskaya Inlet averages 0.8, vs 2.2% in the Yarnyshnaya Inlet. Shell formation is determined by adaptations to living conditions, also reflecting the different size and age structure of M. arenaria populations. Among the mollusks of older age groups, the shell grows allometrically, following the principle of weak negative allometry, vs. isometrically among young individuals.
Негізгі сөздер
Авторлар туралы
O. Smolkova
Murmansk Marine Biological Institute, Russian Academy of Sciences
Хат алмасуға жауапты Автор.
Email: sm.olj@mail.ru
Russia, 183010, Murmansk
N. Meshcheryakov
Murmansk Marine Biological Institute, Russian Academy of Sciences
Хат алмасуға жауапты Автор.
Email: meshcheriakov104@mail.ru
Russia, 183010, Murmansk
Әдебиет тізімі
- Алимов А.Ф., 1981. Функциональная экология пресноводных двустворчатых моллюсков // Труды Зоол. ин-та АН СССР. Л.: Наука, Ленинградское отделение. Т. 96. С. 137–154.
- Андреева И.А., Лапина Н.Н., 1998. Методика гранулометрического анализа донных осадков Мирового океана и геологическая интерпретация результатов лабораторного изучения вещественного состава осадков. Изд. СПб.: ВНИИОкеангеология. 45 с.
- Бешевли Л.Е., Колягин В.А., 1967. О находке моллюска Муа arenaria (Bivalvia) в северо-западной части Черного моря // Вестник зоологии. № 3. С. 82–84.
- Гурьянова Е.Ф., Закс И.Г, Ушаков П.В., 1929. Литораль Кольского залива. Ч. II // Труды Ленингр. общества естествоиспытателей. Т. 59. Вып. 2. С. 17–107.
- Дерюгин К.М., 1915. Фауна Кольского залива и условия ее существования // Зап. Имп. Академии наук. СПб. Т. 34. № 1. 929 с.
- Золотницкий А.П., Сытник Н.А., 2020. Характеристика аллометрического роста песчаной ракушки мии (Mya arenaria Linnaeus, 1758) Южной части Азовского моря // Водные биоресурсы и среда обитания. Т. 3. № 3. С. 56–66. http://journal.azniirkh.ru, www.azniirkh.ru ISSN 2618-8147 print, ISSN 2619-1024
- Иванов Д.А., Синегуб И.А., 2008. Трансформация биоценозов Керченского пролива после вселения хищного моллюска Rapana thomasiana и двустворчатых Mya arenaria и Сunearca cornea // Современные проблемы экологии Азово-Черноморского региона. Материалы III Международной конференции. Керчь. С. 45–51.
- Клёнова М.В., 1948. Геология моря. М.: Учпедгиз. 182 с.
- Любина О.С., Ахметчина О.Ю., Фролова Е.А., Фролов А.А., Дикаева Д.Р., Гарбуль Е.А., 2009. Зообентос литорали и сублиторали. Количественное распределение, пространственно-временная изменчивость // Кольский залив: освоение и рациональное природопользование. Отв. ред. Матишов Г.Г. М.: Наука. С. 161–182.
- Максимович Н.В., 1978. Особенности экологии и биоэнергетические свойства популяций Mya arenaria L. (Bivalvia) в губе Чупа // Вестник Ленинградского государственного университета. Серия 3: Биология. № 21. С. 28–36.
- Максимович Н.В., 1979. Некоторые особенности экологии массовых видов двустворчатых моллюсков губы Чупа // Моллюски. Основные результаты их изучения. Авторефераты докладов. Сборник 6. Л.: Наука. С. 86–88.
- Наумов А.Д., 2006. Двустворчатые моллюски Белого моря. Опыт эколого-фаунистического анализа. Исследования фауны морей. Т. 59 (67). Изд. СПб. С. 23–24.
- Савчук М.Я., 1970. Распространение и некоторые особенности биологии двустворчатого моллюска Mya arenaria L. в прибрежном мелководье северо-западной части Черного моря и в лиманах // Океанология. Т. 10. Вып. 3. С. 521–528.
- Савчук М.Я., 1976. Акклиматизация двустворчатого моллюска Mya arenaria в Черном море // Биология моря. № 6. С. 40–46
- Свешников В.А., 1963. Биоценотипические связи и условия существования некоторых кормовых беспозвоночных инфауны литорали Кандалакшского залива Белого моря // Труды Кандалакшского государственного заповедника. Вып. IV. Труды ББС МГУ. Т. II. С. 114–134.
- Скарлато О.А., 1990. Методы изучения двустворчатых моллюсков // Труды Зоологического института АН СССР. Т. 219. 208 с.
- Смолькова О.В., 2021. Продукционные характеристики поселений двустворчатого моллюска Mya arenaria Linne, 1758 Баренцева моря // Труды Кольского научного центра. Т. 3 (12). Серия Океанология. Вып. 9. С. 141–150. https://doi.org/10.37614/2307-5252.2021.11
- Смолькова О.В., Мещеряков Н.И., 2022. Биология двустворчатых моллюсков Mya arenaria (Linnaeus, 1758) Кольского залива Баренцева моря // Труды Кольского научного центра РАН. Т. 4 (13). Сер. Океанология. Вып. 10. С. 86–99. https://doi.org/10.37614/2307-5252.2022.4.10.009
- Фролов А.А., 2009. Двустворчатые моллюски верхней сублиторали среднего и южного колена залива // Кольский залив: освоение и рациональное природопользование. М.: Наука. С. 182–202.
- Хлебович В.В., Станкявичюс А.Б., 1979. Пределы ступенчатой адаптации Macoma balthica, Mytilus edulis и Mya arenaria из восточной части Балтийского моря // Моллюски. Основные результаты их изучения. Авторефераты докладов. Сборник 6. Л.: Наука. С. 42–43.
- Щербакова И.Б., 2006. Двустворчатый моллюск Mya arenaria в экосистемах литорали Белого моря. Автореф. дис. … канд. биол. наук. Изд-во ПетрГУ. 29 с.
- Baker P., Mann R.L., 1990. Habitat requirements for the softshell clam, Mya arenaria in the Chesapeake Bay // Special Scientific Report № 125. Williamsburg: Virginia Institute of Marine Science Publ., College of William and Mary Publ. 35 p. https://doi.org/10.25773/v5-jc3f-tk19
- Bernard F.R., 1979. Identification of the living Mya (Bivalvia: Myoida) // Japanese Journal of Malacology. V. 38. P. 185–204.
- Bouchet P., Gofas S., 2013. Mya Linnaeus, 1758. In: MolluscaBase (2017). World Register of Marine Species. Available at: http://marinespecies.org/aphia.php?p=taxdetails&id=138211
- Cardoso J.F.M.F., Witte J.I.J., van der Veer H.W., 2009. Differential reproductive strategies of two bivalves in the Dutch Wadden Sea // Estuarine, Coastal and Shelf Science. V. 84. № 1. P. 37–44. https://doi.org/10.1016/j.ecss.2009.05.026
- Carlton G.T., 1992. Introduced marine and estuarine mollusks of the North America: an-end-off-the-20-th-century perspective // J. Shell-life Res. V. 11. P. 489–505.
- Conde A., Novais J., Domınguez J., 2010. Southern limit of distribution of the soft-shell clam Mya arenaria on the Atlantic East Coast // Biol. Inv. V. 12. P. 424–432.
- Feder H.M., Paul A.J., 1974. Age, growth and size-weight relationships of the soft-shelled clam, M. arenaria, in Prince William Sound, Alaska // Proceedings of the National Shellfisheries Association. V. 64. P. 45–52.
- Forster S., Zettler M.L., 2004. The capacity of the filter-feeding bivalve Mya arenaria L. water transport in sandy beds // Mar. Biol. 144. P. 1183–1189. https://doi.org/10.1007/s00227-003-1278-2
- Gerasimova A.V., Martynov F.M., Filippova N.A., Maximovich N.V., 2016. Growth of Mya arenaria L. at the northern edge of the range: heterogeneity of soft-shell clam growth characteristics in the White Sea // Helgoland Marine Research. V. 70. 14 p. https://doi.org/10.1186/s10152-016-0457-8
- Haskin H.H., 1954. Age determination in mollusks // Transactions of the New Yom Academy of Science. V. 16. P. 300–304.
- ITIS, 2017. Mya Linnaeus, 1758. Integrated Taxonomic Information System. Available at: https://www.itis.gov/servlet/SingleRpt/SingleRpt?search_topic=TSN&search_value=81691#null
- Kennish M.J., Olsson R.K., 1975. Effects of thermal discharges on the microstructural growth of Mercenaria mercenaria // Environmental Geology. V. 1. № 1. P. 41–64. https:// doi. org/ 10. 1007/ BF024 26940
- MacNeil F.S., 1965. Evolution and distribution of the genus Mya, and Tertiary migrations of Mollusca // Professional Paper US, Department of the Interior, Geological Survey. V. 483. P. 1–51.
- Miac J., Groth M., Wolowicz M., 1997. Seasonal changes in the Mya arenaria (L.) population from Inner Puck Bay // Oceanologia. V. 39. № 2. P. 177–195.
- Pedersen T.F., 1992. Temporal variations in heat dissipation and oxygen uptake of the soft shell clam Mya arenaria L. (Bivalvia) // Ophelia. V. 36. № 3. P. 203–216.
- Petersen G.H., 1999. Five recent Mya species, including three new species and their fossil connections // Polar Biology. V. 22. P. 322–328.
- Riisgard H.U., Seerup D.F., 2003. Filtration rates in the soft clam Mya arenaria: effects of temperature and body size // Sarsia. V. 88. P. 415–428.
- Schaffer F., Zettler M.L., 2007. The clam sipho as indicator for growth indices in the soft-shell clam Mya arenaria // Helgoland Marine Research. V. 61. № 1. P. 9–16. https://doi.org/10.1007/s10152-006-0049-0
- Smolkova O.V., 2021. Linear growth and yield of bivalve mollusks Mya arenaria Linnaeus, 1758 in the conditions of the littoral of the Barents and White seas // IOP Conf. Series: Earth and Environmental Science: AFE-2021 (Fundamental and Applied Scientific Research in the Development of Agriculture in the Far East (AFE-2021, 20–21 June 2021, Ussurijsk, Russian Federation). 2021. V. 937. Article № 022078. P. 1–10. https://doi.org/10.1088/1755-1315/937/2/022078
- Strasser M., 1999. Mya arenaria – an ancient invader of the North Sea coast // Helgolander Meeresuntersuchungen. V. 52. № 3–4. P. 309–324. doi: 10.1007/BF02908905
- Thamdrup H.M., 1935. Beiträge zur Ökology der Wattenfauna // Meddelelser Fra komm. Danmarks Fickeri-og Havundersgelser, Ser, Fiskeri. V. 10. P. 62–65.
- Wheaton F.W., Schaffer G.U., Ingling A.L., Douglass L.W., 2008. Physical properties of soft shell clams, Mya arenaria, Aquacultural Engineering. V. 38. Iss 3. P. 181–188. https://doi.org/10.1016/j.aquaeng.2008.03.002
- Zhang J.L., Yurchenko O.V., Lutaenko K.A., Kalachev A.V., Nekhaev I.O., Aguilar R., Zhan Z.F., Ogburn M.B., 2018. A tale of two soft-shell clams: an integrative taxonomic analysis confirms Mya japonica as a valid species distinct from Mya arenaria (Bivalvia: Myidae) // Zoological Journal of the Linnean Society. V. 184 (3). P. 605–622. https://doi.org/10.1093/zoolinnean/zlx107
Қосымша файлдар









