Effect of STIN2VNTR polymorphism of the serotonin transporter gene on background EEG in aged subjects depends on the intellectual environment of professional activity
- Authors: Privodnova E.Y.1,2, Volf N.V.1,2
-
Affiliations:
- Scientific Research Institute of Neurosciences and Medicine
- Novosibirsk State University
- Issue: Vol 74, No 4 (2024)
- Pages: 437-449
- Section: ФИЗИОЛОГИЯ ВЫСШЕЙ НЕРВНОЙ (КОГНИТИВНОЙ) ДЕЯТЕЛЬНОСТИ ЧЕЛОВЕКА
- URL: https://bakhtiniada.ru/0044-4677/article/view/269242
- DOI: https://doi.org/10.31857/S0044467724040057
- ID: 269242
Cite item
Full Text
Abstract
Previously, we found that associations between the STin2VNTR polymorphism of the serotonin transporter gene and cognitive characteristics during aging depend on the intellectual environment of professional activity. In this regard, the present study was aimed to investigate the age-related characteristics of the electrical activity of the brain depending on this polymorphism and long-term intellectual training. We examined EEG power indicators in subjects of the younger (YG, 18–35 years, N = 261) and older (OG, 55–80 years, N = 142) age groups. According to the intellectual richness of the professional activity environment, the subjects were divided into scientists (SA) and those engaged in non-scientific activities (NSA). All subjects were genotyped for the STin2VNTR polymorphism of the serotonin transporter gene. It was found that the power of delta-beta1 rhythms in older carriers of the 10/10 and 12/12 genotypes was opposite in SA and NSA groups (in the SA group 10/10 > 12/12, in the NSA 12/12 > 10/10) while similar effects in young subjects were absent. In the absence of cognitive training, genetic differences were determined by an age-related decrease in the power of delta-alpha3 rhythms in carriers of the 10/10 genotype with no age-related differences in carriers of the 12/12 genotype, suggesting the resistance of the 12/12 genotype to age-related changes. In contrast, under cognitive training conditions, there were no age differences in the 10/10 genotype, and a decrease in power was observed in the 12/12 genotype, suggesting an effect of cognitive training on both homozygous genotypes. The decrease in power observed for the 10/10 NSA and 12/12 SA genotypes appears to have different physiological significance, since it was accompanied by changes in attentional efficiency only in the NSA group. The work shows for the first time that the background EEG features associated with the STin2VNTR polymorphism of the serotonin transporter gene in elderly people are under the modulating influence of long-term cognitive training, determined by the specificity of professional activity.
Full Text
ВВЕДЕНИЕ
Старение населения и увеличение продолжительности жизни с повышением сроков трудовой деятельности в XXI в. придает актуальность задаче сохранения и поддержания интеллектуального потенциала в пожилом возрасте. Высокая гетерогенность когнитивного старения определяется усиливающимся с возрастом влиянием средовых и генетических факторов (Nyberg et al., 2012; Jaul, Barron, 2021). Когнитивная тренировка считается одним из средовых факторов, вносящих вклад в ментальное здоровье при старении. Результаты популяционных исследований свидетельствуют, что пожилые люди, продолжающие профессиональную деятельность, составляют группу непатологического, «успешного» старения (Ahmadzadeh et al., 2023). При этом показано, что принципиальную роль играет степень когнитивной стимуляции на рабочем месте, включающей в себя сложные задачи и большую свободу принятия решений (метаанализ, Kivimäki et al., 2021).
Проекции серотонинергической системы широко распространены в коре мозга, что предполагает участие этой системы в модуляции его активности. Помимо известной связи серотонинергической системы с регуляцией различных биологических процессов, включая аппетит, сон, аффективные процессы (Alvarez et al., 2021; Шмуклер и др., 2021), показано, что серотонин участвует в регуляции когнитивных процессов (Cools et al., 2008; Strac et al., 2016) и влияет на пластические перестройки структуры и активности мозга на всем протяжении жизни (Gaspar et al., 2003; Wiggins et al., 2012). Транспортер серотонина (5-HTT) является одним из ключевых регуляторов активности этой системы, обеспечивая удаление медиатора из синаптической щели, таким образом, регулируя длительность его синаптического действия. Одним из генов-кандидатов, полиморфизмы которого могут определять вариабельность функций серотонинергической передачи, является ген SLC6A4, кодирующий белок-транспортер серотонина. Наиболее изученным полиморфизмом гена SLC6A4 является 5-HTTLPR в его промоторной области. Менее изучен позже выявленный полиморфизм STin2VNTR, обусловленный изменением числа тандемных повторов во втором интроне с двумя частыми (10 и 12 повторов) и одним редким (9 повторов) аллелями. Этот полиморфизм выполняет роль аллель-зависимого усилителя экспрессии гена. Показано, что аллель STin2.12 обладает большей транскрипционной активностью по сравнению с вариантами STin2.9 и STin2.10 (MacKenzie, Quinn, 1999). Эти данные позволяют предположить более активный захват нейромедиатора у носителей STin2.12 аллеля.
Данные о наличии нейросетей покоя привели к формированию представления о фоновой активности мозга как системе, функцией которой является организация информации для предсказания, интерпретации и подготовки ответов на внешние события. Накопленные за последние десятилетия многочисленные данные о ЭЭГ коррелятах физиологического старения (Jabès et al., 2021) и нейродегенеративных заболеваний (обзор Wijaya et al., 2023; Shusharina et al., 2023; Smailovic, Jelic, 2019) позволяют рассматривать показатели мощности фоновой ЭЭГ как объективный маркер связанных с генетическими факторами возрастных изменений активности мозга. Для полиморфизма STin2VNTR гена транспортера серотонина этот факт был подтвержден в нашем предыдущем исследовании (Приводнова, Вольф, 2020). Однако исследования влияния ментального тренинга на возрастные изменения фоновой ЭЭГ в зависимости от полиморфизма STin2VNTR в настоящее время отсутствуют.
Целью данной работы было выявление сочетанного влияния полиморфизма STin2VNTR гена транспортера серотонина и длительного ментального тренинга, обусловленного интеллектуальной насыщенностью среды профессиональной деятельности, на показатели мощности фоновой ЭЭГ у лиц молодого и пожилого возраста. Учитывая, что в наших предыдущих исследованиях обнаружена ассоциация рассматриваемых выше факторов с характеристиками внимания, которая позволила сделать заключение о большей чувствительности генотипа 10/10 к воздействию длительной ментальной тренировки у пожилых людей (Вольф, Приводнова, 2022), мы предположили обнаружить подтверждение этого факта на основе показателей электрической активности мозга.
МЕТОДИКА
Участники эксперимента. В исследовании приняли участие ученые (НД) и не связанные с научной деятельностью (ННД) правши европеоиды младшей (МВГ, 18–35 лет, N = 261) и старшей (СВГ, 55–80 лет, N = 142) возрастной групп. Выборку составили студенты, аспиранты, технический, административный и научный персонал Новосибирского государственного университета и научно-исследовательских институтов Сибирского отделения Российской академии наук. Все участники на момент исследования учились или работали. Для участия в исследовании не допускались люди с психическими нарушениями, травматическими или иными поражениями головного мозга и серьезными соматическими заболеваниями (онкологические заболевания, болезни сердца и диабет).
Регистрация и обработка ЭЭГ. Во время записи ЭЭГ участники сидели в затемненной звукоизолированной комнате. Участников эксперимента просили расслабиться и не двигаться. Анализировали ЭЭГ, зарегистрированную в покое в течение 3 мин при закрытых глазах. Для регистрации ЭЭГ использовали 60 электродов Ag–AgCl, закрепленных в эластичном шлеме, по модифицированной версии международной системы 10–20 (American Electroencephalographic Society, 1991), с помощью комплекса “Neuroscan 4.4” (Compumedics Neuroscan USA Ltd., Charlotte, NC, USA). Лобный электрод использовался в качестве заземления, и объединенный ушной электрод – в качестве референтного. Сопротивление электродов не превышало 5 kΩ. Фильтр низких частот устанавливали на 0.1 Гц и высокочастотный фильтр на 70 Гц. ЭЭГ оцифровывали с частотой 1000 Гц.
Одновременно регистрировали электроокулограмму, которая была использована для начальной идентификации и удаления артефактных участков. Записанную ЭЭГ сегментировали на эпохи по 1.5 с, количество свободных от артефактов эпох ЭЭГ было не менее 70 у каждого участника эксперимента. Данные были подвергнуты анализу независимых компонентов (independent component analysis, ICA) с использованием алгоритма runica в наборе инструментов EEGLAB (http://www.sccn.ucsd.edu/eeglab/). Все независимые компоненты были дополнительно проверены с использованием алгоритма SASICA, и компоненты, не представляющие источники нейронной активности, были удалены из данных (менее 20% компонентов в каждой записи). Для каждого электрода рассчитывалась средняя для всех эпох спектральная плотность мощности с использованием функции spectopo EEGLAB с последующим вычислением средних значений спектральной плотности для отдельных частотных диапазонов. Полученные показатели были представлены в логарифмированном виде (10*lg, мкВ2/Гц), с целью нормализации распределения.
Учитывая связанное со старением смещение альфа активности в область низких частот (Tröndle et al., 2023), при расчете средней спектральной плотности мощности границы частотных диапазонов были определены на основе индивидуальной частоты пика альфа ритма (ИЧПА): дельта: от 1 до ИЧПА-6; тета: от ИЧПА-6 до ИЧПА-4; альфа1: от ИЧПА-4 до ИЧПА-2; альфа2: ИЧПА-2 до ИЧПА; альфа3: от ИЧПА до ИЧПА+2; бета1: ИЧПА+2 до 20 Гц; бета2: от 20 до 30 Гц и гамма: от 30 до 45 Гц. Вычисляли средние значения мощности для фронтальной (Fp1, AF3, F7, F5, F3, F1), центральной (FC3, FC1, C3, C1, CP3, CP1), центрально-темпоральной (FT7, FC5, T7, C5, TP7, CP5), париетально-окципитальной (P7, P5, P3, P1, PO7, PO5, PO3, O1) областей левого и таких же областей правого полушария.
Генотипирование. Клетки для анализа ДНК были получены из соскоба слизистой с внутренней поверхности щеки и ДНК выделена солевым методом. Для этого клетки в течение двух часов лизировали при 50°C с помощью протеазы К. Белки осаждали насыщенным раствором NaCl (6M). Отобрали супернатант, затем ДНК осаждали с помощью 2 объемов 96% этанола, отмывали 70% этанолом, высушивали, растворяли в стерильной воде и хранили до использования при температуре −20°C. Генотипы 9/9, 9/10, 9/12, 10/10, 10/12 и 12/12 полиморфизма STin2VNTR, локализованного во втором интроне гена транспортера серотонина, определяли с помощью ПЦР реакции со специфическими к данному полиморфизму праймерами 5’-GGTCAGTATCACAGGCTGCGAGTAG-3’ и 5’-TGTTCCTAGTCTTACGCCAGTGAAG-3’ (температура отжига 63°C). Последующее разделение и визуализация продуктов ПЦР осуществлялась методом электрофореза на 3% агарозном геле с окрашиванием бромистым этидием для визуализации. Учитывая редкую встречаемость аллеля 9 и отличие его эффекта в отношении влияния на экспрессию гена транспортера серотонина как от аллеля 10, так и 12, мы исключили из рассмотрения носителей 9 аллеля (12 участников эксперимента). Таким образом, генотипирование было сведено к 2-аллельному варианту с делением на группы 10/10, 10/12 и 12/12.
Характеристики внимания. Для определения характеристик различных форм внимания (бдительности, ориентационного внимания и исполнительного внимания) использовали тест систем внимания ANT (Аttention network test) (Fan et al., 2002). Целевой стимул представлял собой горизонтальную последовательность из 5 линий, центральная линия всегда была стрелкой, а фланговые стимулы могли быть представлены стрелками, сонаправленными центральной (конгруэнтные) или имеющими противоположное направление (неконгруэнтные). Участник эксперимента должен был идентифицировать направление центральной стрелки (вправо или влево) путем нажатия на соответствующую клавишу клавиатуры. Эффективность различных систем внимания определяется на основании изменений времени реакций (ВР), вызываемых предъявлением настораживающего (alerting) или пространственных предупреждающих сигналов (подсказок), а также конгруэнтных и неконгруэнтных фланговых стимулов. Эффективности системы бдительности оценивалась по результату вычитания среднего ВР на двойной предупреждающий сигнал из среднего ВР при отсутствии предупреждающего сигнала. Исполнительное внимание определялось на основе вычитания среднего ВР на конгруэнтные из среднего ВР на неконгруэнтные стимулы. Показатель ориентационного внимания вычислялся при вычитании среднего ВР при пространственном предупреждающем сигнале (указывающем на место предъявления целевого стимула) из среднего ВР при центральном предупреждающем сигнале. Вычисление ВР для всех ситуаций предъявления стимулов производилось на основе специально разработанной компьютерной программы (Суслов А.П., авт. свид. 2012617379).
Для тестирования полушарных особенностей моторного компонента ориентировочной реакции использовали модифицированную «odd ball» задачу с латерализованным (слева или справа от центральной точки фиксации взгляда) предъявлением на экране монитора повторяющихся или новых объектов. Участники эксперимента должны были нажимать на клавиатуре клавишу, обозначенную «да», при предъявлении кролика (по 15 предъявлений с каждой стороны) и клавишу, обозначенную «нет», при предъявлении любого другого стимула, среди которых был повторяющийся стимул «яблоко» (по 15 предъявлений с каждой стороны) и неожиданные новые стимулы, каждый из которых предъявлялся только 1 раз (по 3 с каждой стороны). Задание выполняли последовательно правой и левой рукой. Латерализованные показатели ориентировочной реакции определяли как разность средних значений времени реакции «нет» на редкие и повторяющиеся стимулы отдельно для ситуаций предъявления стимула справа при реакции правой рукой (адресация информации левому полушарию) и слева при реакции левой рукой (адресация информации правому полушарию).
Статистический анализ. Для спектральных характеристик мощности фоновой ЭЭГ и соотношения ритмов был проведен repeated-measures ANOVA на базе STATISTICA10 с выделением межгрупповых факторов ВОЗРАСТ (МВГ, СВГ), ГЕНОТИП (10/10, 10/12, 12/12), ХАРАКТЕР ПРОФЕССИОНАЛЬНОЙ ДЕЯТЕЛЬНОСТИ (НД – участники эксперимента, занимающиеся научной деятельностью; ННД – не занимающиеся научной деятельностью) и внутригрупповых факторов ОБЛАСТЬ (фронтальная, центральная, темпоральная и париетально-окципитальная) и ЛАТЕРАЛЬНОСТЬ (левое и правое полушария) для ритмов от дельта до гамма отдельно. Для коррекции статистической значимости использовалась поправка Гринхауза-Гейзера и контроль ложных эффектов (false discovery rate correction, FDR) для рассматриваемых 8 частотных диапазонов. Последующий анализ значимых взаимодействий проводили с помощью плановых сравнений и критерия Фишера. Поскольку задачей исследования являлось изучение влияния полиморфизма STin2VNTR на базовую электрическую активность мозга с учетом возраста участников эксперимента, мы рассматривали только эффекты, связанные с взаимодействием факторов ВОЗРАСТ, ГЕНОТИП, ХАРАКТЕР ПРОФЕССИОНАЛЬНОЙ ДЕЯТЕЛЬНОСТИ.
Для определения соответствия распределения генотипов соотношению Харди-Вайнберга и анализа различий по половозрастным характеристикам и уровню образования в группах, образованных лицами различного возраста и характером профессиональной деятельности, использовали соответственно тест хи-квадрат и однофакторный дисперсионный анализ. Ассоциации между показателями ЭЭГ и характеристиками внимания исследовали с помощью линейной корреляции.
РЕЗУЛЬТАТЫ ИССЛЕДОВАНИЙ
Распределение генотипов 10/10, 10/12, 12/12 не отличалось от соотношения Харди-Вайнберга в группах как молодых (χ2 = 2.374, p = 0.123), так и пожилых (χ2 = 0.014, p = 0.906) людей. Демографические характеристики участников эксперимента представлены в табл. 1. Участники эксперимента различных генотипов в исследуемых группах не отличались по половозрастным характеристикам и уровню образования, за исключением группы лиц ННД младшего возраста, в которой у носителей генотипа 10/12 уровень образования был ниже по сравнению с другими генотипами.
Таблица 1. Демографические характеристики исследуемых групп в зависимости от возраста, характера профессиональной деятельности и генотипов полиморфизма STin2VNTR гена транспортера серотонина
Table 1. Demographic characteristics of the groups under study depending on age, type of professional activity and genotypes of the STin2VNTR polymorphism of the serotonin transporter gene
МВГ, N = 261 | СВГ, N = 142 | |||
НД, N = 131 | ННД, N = 130 | НД, N = 66 | ННД, N = 76 | |
N (мужчины/женщины) | ||||
10/10 | N = 27 (14/13) | N = 20 (10/10) | N = 11 (6/5) | N = 8 (3/5) |
10/12 | N = 50 (19/31) | N = 63 (23/40) | N = 28 (15/13) | N = 37 (20/17) |
12/12 | N = 54 (24/30) | N = 47 (19/28) | N = 27 (13/14) | N = 31 (9/22) |
Различия между генотипамиа | χ2 (2) = 1.401, p = 0.496 | χ2 (2) = 1.144, p = 0.561 | χ2 (2) = 0.210, p = 0.900 | χ2 (2) = 4.410, p = 0.110 |
Возраст, M(SD) | ||||
10/10 | 22.14 (4.38) | 21.75 (2.99) | 64.90 (5.49) | 66.75 (5.65) |
10/12 | 22.16 (3.10) | 21.269 (2.83) | 64.64 (6.30) | 63.53 (6.21) |
12/12 | 21.0 (2.52) | 21.77 (3.10) | 66.96 (6.16) | 62.09 (5.31) |
Различия между генотипамиб | F(2, 128) = 2.077, p = 0.129 | F(2, 127) = 0.449, p = 0.639 | F(2, 63) = 1.072, p = 0.348 | F(2, 73) = 2.113, p = 0.128 |
Образование, годы, M(SD) | ||||
10/10 | 14.33 (0.48) | 14.25 (0.44) | 15 (0) | 13.75 (1.75) |
10/12 | 14.30 (0.71) | 13.52 (1.34) | 15 (0) | 12.67 (1.19) |
12/12 | 14.12 (0.34) | 14.11 (0.64) | 15 (0) | 13.03 (1.96) |
Различия между генотипамиб | F(2, 128) = 1.874, p = 0.158 | F(2, 127) = 6.105, p = 0.003 | ns | F(2, 73) = 0.958, p = 0.389 |
Примечание. а – критерий χ2, б – однофакторный дисперсионный анализ.
Note. а – χ2 test, б – one-way analysis of variance.
При проведении анализа показателей мощности в отдельных частотных диапазонах выявлена значимость взаимодействия ВОЗРАСТ × ГЕНОТИП × ХАРАКТЕР ПРОФЕССИОНАЛЬНОЙ ДЕЯТЕЛЬНОСТИ для ритмов от дельта до бета1 (табл. 2).
Таблица 2. Значимые эффекты, включающие взаимодействие факторов ГЕНОТИП, ХАРАКТЕР ПРОФЕССИОНАЛЬНОЙ ДЕЯТЕЛЬНОСТИ, ВОЗРАСТ на частотах дельта-гамма ритмов
Table 2. Significant effects, including the interaction of factors GENOTYPE, TYPE OF PROFESSIONAL ACTIVITY, AGE at the frequencies of delta-gamma rhythms
Взаимодействие факторов | F | df | p (G-G p) | ηp2 |
Дельта ритм | ||||
ВОЗРАСТ × ГЕНОТИП × ХАРАКТЕР ПРОФЕССИОНАЛЬНОЙ ДЕЯТЕЛЬНОСТИ | 4.458 | 2, 391 | 0.012 | 0.022 |
Тета ритм | ||||
ВОЗРАСТ × ГЕНОТИП × ХАРАКТЕР ПРОФЕССИОНАЛЬНОЙ ДЕЯТЕЛЬНОСТИ | 5.283 | 2, 391 | 0.005 | 0.02 |
Альфа 1 ритм | ||||
ВОЗРАСТ × ГЕНОТИП × ХАРАКТЕР ПРОФЕССИОНАЛЬНОЙ ДЕЯТЕЛЬНОСТИ | 5.684 | 2, 391 | 0.004 | 0.028 |
ВОЗРАСТ × ГЕНОТИП × ХАРАКТЕР ПРОФЕССИОНАЛЬНОЙ ДЕЯТЕЛЬНОСТИ*ОБЛАСТЬ | 2.665 | 6, 1173 | 0.014 (0.038) | 0.013 |
Альфа 2 ритм | ||||
ВОЗРАСТ × ГЕНОТИП × ХАРАКТЕР ПРОФЕССИОНАЛЬНОЙ ДЕЯТЕЛЬНОСТИ | 4.742 | 2, 391 | 0.009 | 0.023 |
ВОЗРАСТ × ГЕНОТИП × ХАРАКТЕР ПРОФЕССИОНАЛЬНОЙ ДЕЯТЕЛЬНОСТИ*ОБЛАСТЬ | 3.866 | 6, 1173 | <0.001 (0.003) | 0.019 |
Альфа 3 ритм | ||||
ВОЗРАСТ × ГЕНОТИП × ХАРАКТЕР ПРОФЕССИОНАЛЬНОЙ ДЕЯТЕЛЬНОСТИ | 4.547 | 2, 391 | 0.011 | 0.023 |
Бета 1 ритм | ||||
ВОЗРАСТ × ГЕНОТИП × ХАРАКТЕР ПРОФЕССИОНАЛЬНОЙ ДЕЯТЕЛЬНОСТИ | 4.67 | 2, 391 | 0.009 | 0.023 |
Бета 2 ритм | ||||
ВОЗРАСТ × ГЕНОТИП × ХАРАКТЕР ПРОФЕССИОНАЛЬНОЙ ДЕЯТЕЛЬНОСТИ*ОБЛАСТЬ | 3.543 | 6, 1173 | 0.002 (0.008) | 0.018 |
Гамма ритм | ||||
ВОЗРАСТ × ГЕНОТИП × ХАРАКТЕР ПРОФЕССИОНАЛЬНОЙ ДЕЯТЕЛЬНОСТИ*ОБЛАСТЬ | 4.444 | 6, 1173 | <0.001 (0.001) | 0.022 |
Дальнейший анализ этого взаимодействия для показателей всех исследованных ритмов показал отсутствие различий, обусловленных взаимодействием факторов ГЕНОТИП × ХАРАКТЕР ПРОФЕССИОНАЛЬНОЙ ДЕЯТЕЛЬНОСТИ, у молодых людей.
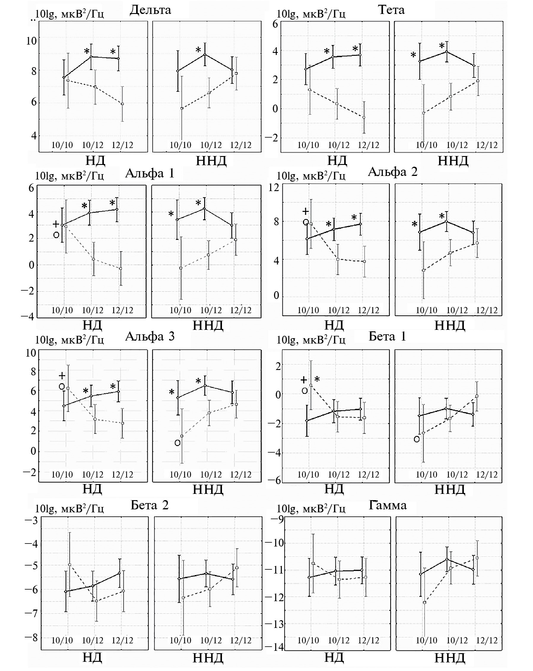
У пожилых участников эксперимента обнаружено значимое взаимодействие ГЕНОТИП × ХАРАКТЕР ПРОФЕССИОНАЛЬНОЙ ДЕЯТЕЛЬНОСТИ для ритмов тета, альфа1,2,3 и бета1 (p < 0.037) и близкое к значимому для дельта ритма (р = 0.062). Взаимодействие было обусловлено тем, что у пожилых людей группы НД наибольшие показатели ритма были у носителей 10/10, а в ННД – у носителей 12/12.
В группе НД для альфа и бета1 ритмов показатели генотипа 10/10 были выше по сравнению с генотипами 10/12 (р < 0.05) и 12/12 (р < 0.027). В группе ННД наоборот, на частотах альфа3 и бета1 ритмов показатели генотипа 10/10 были меньше по сравнению с генотипом 12/12 (р < 0.041).
Сравнение показателей НД и ННД с одинаковыми генотипами показало, что у гомозигот 10/10 показатели группы НД > ННД (p = 0.055 для альфа1 ритма и p < 0.001 для остальных ритмов) и у гомозигот 12/12 – НД < ННД (во всех случаях p < 0.020). Связанные с генотипом и деятельностью различия, наблюдаемые в СВГ, приводили к специфическим различиям между молодыми и пожилыми людьми в исследуемых группах (рис. 1).
Рис. 1. Показатели мощности ЭЭГ в разных частотных диапазонах в зависимости от характера профессиональной деятельности и генотипов полиморфизма STin2VNTR гена транспортера серотонина у участников эксперимента молодого и пожилого возраста. Примечание. Сплошными линиями обозначены значения младшей возрастной группы, пунктирными – значения старшей возрастной группы. * р < 0.05 между соответствующими значениями участников эксперимента старшей и младшей групп, +р < 0.05 между 10/10 и 10/12, ор < 0.05 между 10/10 и 12/12
Fig. 1. Indicators of EEG activity in different frequency bands depending on the type of professional activity and genotypes of STin2VNTR polymorphism of the serotonin transporter gene in young and aged subjects. Note. Solid lines indicate the values of the younger age group; dotted lines indicate the values of the older age group. * p < 0.05 between the corresponding values of the subjects of the older and younger groups, + p < 0.05 between 10/10 and 10/12 genotypes, op < 0.05 between 10/10 and 12/12 genotypes
Что касается выявленного взаимодействия ВОЗРАСТ × ГЕНОТИП × ХАРАКТЕР ПРОФЕССИОНАЛЬНОЙ ДЕЯТЕЛЬНОСТИ*ОБЛАСТЬ в альфа1, 2, бета2 и гамма ритмах, то связанные с генотипом и возрастом региональные особенности наблюдались только в группе НД и отсутствовали в группе ННД.
Как и для суммарных показателей мощности альфа ритмов, у пожилых лиц группы НД наблюдалась та же тенденция снижения мощности ритмов от генотипа 10/10 к 12/12. Однако при рассмотрении отдельных областей обнаружено, что различия между показателями МВГ и СВГ у лиц с генотипами 10/12 и 12/12 были достоверны во всех областях (p < 0.001), но для генотипа 12/12 достоверно более выражены в париетально-окципитальной области по сравнению с другими областями (p < 0.001).
Что касается бета2 и гамма ритмов, то при отсутствии связанных с рассматриваемыми факторами эффектов для суммарных показателей, описанная выше тенденция была характерна для париетально-окципитальной области, где значения мощности ритмов у молодых носителей генотипа 12/12 были выше по сравнению с пожилыми (р < 0.001 бета2 и р = 0.011 в гамма ритмах), при отсутствии возрастных различий в других областях. Поскольку эффекты для высокочастотных ритмов были сходными, на рис. 2 приведены данные только для бета2 ритма.
Рис. 2. Показатели мощности Бета2 ритма у молодых и пожилых носителей генотипа 12/12 полиморфизма STin2VNTR гена транспортера серотонина, вовлеченных в профессиональную научную деятельность
Примечание: Черными и серыми линиями обозначены значения младшей и старшей возрастных групп соответственно. Значимые различия между соответствующими показателями обозначены линиями.
Fig. 2. Indicators of Beta2 rhythm power in young and aged carriers of 12/12 genotype of the STin2VNTR polymorphism of the serotonin transporter gene involved in professional scientific activity
Note: Black and gray lines indicate the values of the younger and the older age group, accordingly. Significant differences between the corresponding values are indicated by lines.
Перед рассмотрением корреляций между характеристиками внимания и показателями ЭЭГ на представленной в работе большей выборке был проведен анализ влияния генотипа, возраста и фактора интеллектуального тренинга на разные формы внимания. Полученные результаты подтвердили данные, опубликованные в нашей указанной во введении статье (Вольф, Приводнова, 2022).
Поскольку описанные выше эффекты для показательной спектральной мощности исследованных ритмов были сходными, мы рассмотрели корреляции между средним значением спектральной плотности ЭЭГ и характеристиками внимания отдельно в группах НД и ННД старшего возраста. Только в группе ННД была выявлена значимая корреляция: более высокие показатели мощности сопровождались меньшей правополушарной ориентировочной реакцией на неожиданный целевой стимул (r = –0.239, p = 0.046).
ОБСУЖДЕНИЕ РЕЗУЛЬТАТОВ
Нами обнаружено, что ассоциированные с генотипом особенности ЭЭГ проявляются только у пожилых участников эксперимента. Этот результат согласуется с гипотезой, предполагающей наиболее сильное проявление генетических различий при старении на фоне снижения ресурсов мозга (Lindenberger et al., 2008; Papenberg et al., 2015). Нами впервые показано, что связанные с генотипом особенности фоновой ЭЭГ находятся под модулирующим влиянием постоянного длительного когнитивного тренинга, обусловленного спе цификой профессиональной деятельности. Важно, что дизайн исследования включал деление как пожилых, так и молодых участников эксперимента на 2 подгруппы по интеллектуальной насыщенности профессиональной деятельности, поэтому отсутствие различий между молодыми НД и ННД позволяет предположить, что выявленные генетические различия в зависимости от интеллектуальной нагрузки профессиональной деятельности в СВГ связаны именно с когнитивным тренингом, а не с первоначальным отбором.
У пожилых ученых и людей, не связанных с профессиональной научной деятельностью, выявлены противоположные различия мощности дельта-бета1 ритмов у носителей генотипов 10/10 и 12/12: наибольшие значения у носителей генотипа 10/10 и наименьшие у 12/12 в группе НД, тогда как в группе ННД наблюдалась обратная картина. Отмеченные выше различия у пожилых лиц, связанные с генотипом и характером деятельности, привели к проявлению возрастных различий у носителей 10/10 группы ННД и генотипа 12/12 группы НД.
Таким образом, гипотеза исследования о большей чувствительности генотипа 10/10 к воздействию длительной ментальной тренировки у пожилых лиц по сравнению с носителями 12 аллеля, предложенная на основе данных о характеристиках внимания, не подтвердилась при анализе электрической активности мозга. В условиях тренинга показатели изменялись у обоих гомозиготных генотипов.
Что касается генотипа 12/12, отсутствие возрастных различий в мощности ЭЭГ у носителей 12/12 ННД, показанное в настоящем исследовании, позволяет предположить, что генотип 12/12 благоприятен для сохранения более «молодого паттерна» активности мозга в пожилом возрасте. Этот вывод согласуется с полученными нами ранее данными об отсутствии возрастных изменений рассмотренных форм внимания у этой группы (Вольф, Приводнова, 2022). Сохранение паттернов активности мозга, свойственных молодому возрасту, рассматривается в качестве одного из механизмов, лежащих в основе поддержания эффективности когнитивных функций в пожилом возрасте (Nyberg et al., 2012). Поскольку этот паттерн наблюдается у генотипа 12/12 при отсутствии тренинга, можно предположить его обусловленность генетическими факторами.
У носителей генотипа 10/10 ННД наблюдаемое в отсутствии тренинга снижение мощности от МВГ к СВГ в широком диапазоне частот можно считать отражением возрастных изменений. Что касается глобального снижение мощности ритмов ЭЭГ, оно наблюдается в ситуации ожидания предъявления целевого стимула (Gómez et al., 2004), эти изменения рассматриваются как преднастройка коры мозга к обработке поступающих стимулов. Аналогичное снижение мощности всех ритмов ЭЭГ было показано после потребления кофеина, повышающего бдительность (Gilbert et al., 2000). Таким образом, снижение мощности ритмов у 10/10 ННД можно рассматривать как состояние повышенной активации в состоянии покоя. Такой вывод подтверждается найденной корреляцией между снижением значений глобальной мощности и увлечением выраженности правополушарной ориентировочной реакцией на неожиданный целевой стимул в группе пожилых ННД. Кроме того, именно в группе 10/10 ННД ранее на поведенческом уровне было выявлено повышение бдительности и правополушарной ориентировочной реакции, а также ухудшение исполнительного внимания (Вольф, Приводнова, 2022). Таким образом, при отсутствии когнитивного тренинга генотип 10/10 можно рассматривать как менее благоприятный генетический вариант относительно возрастной стабильности когнитивных функций и фоновой активности мозга.
Однако повышенная насыщенность интеллектуальной среды профессиональной деятельности способствует сохранению «молодого паттерна» ЭЭГ активности мозга у носителей генотипа 10/10 НД в большинстве частотных диапазонов. Поскольку для этого генотипа продолжительный когнитивный тренинг нивелирует возрастные различия как для ЭЭГ, так и для функций внимания, можно предположить высокую чувствительность генотипа 10/10 к длительным когнитивным тренировкам.
Сходный с 10/10 ННД паттерн снижения глобальной мощности обнаружен для генотипа 12/12 группы НД. Однако он не коррелировал с показателями внимания, и на поведенческом уровне показатели этой группы не отличались от показателей молодых участников эксперимента, что предполагает различное функциональное значение наблюдаемого снижение мощности ритмов ЭЭГ у носителей 10/10 ННД и 12/12 НД. Можно предположить, что продолжительный когнитивный тренинг группы НД приводит к формированию более разнообразных и эффективных стратегий обработки информации. Так, особенностью группы 12/12 НД, в отличие от 10/10 ННД, является более выраженное возрастное снижение мощности альфа и высокочастотных ритмов в париетально-окципитальной области. Высокие значения мощности этих ритмов в ситуации закрытых глаз в затылочной коре характеризует состояние деактивации (Romei et al., 2008). Согласно гипотезе нейронной эффективности более высокая эффективность характеризуется явлением двунаправленного снижения, охватывающего как снижение активации областей, связанных с выполнением задачи, так и уменьшение деактивации областей, связанных с обработкой нерелевантной информации (Qiu et al., 2019). Сниженная деактивация в париетально-окципитальной области, ассоциированной с обработкой нерелевантной при закрытых глазах зрительной информации, может рассматриваться как показатель более высокой нейронной эффективности у пожилых носителей 12/12 НД.
Дополнительным результатом исследования является возможность соотнесения выявленных различий между лицами младшего и старшего возраста исследуемых групп с описанными в литературе возрастными изменениями мощности ЭЭГ. Что касается ритмов дельта, тета и альфа диапазонов, то показатели глобальной мощности были ниже в СВГ по сравнению с МВГ у всех участников эксперимента 10/12 генотипа, у носителей генотипа 12/12 в группе НД и носителей 10/10 в ННД. Возрастное снижение мощности дельта и тета ритмов воспроизводит результаты большинства работ последних лет на выборках с тщательно отобранными участниками эксперимента без когнитивных нарушений (Babiloni et al., 2006; Gaál et al., 2010; Volf, Gluhih, 2011; Vysata et al., 2012; Barry et al., 2017; Aoki et al., 2022; Jabès et al., 2021; Rempe et al., 2023) (подробные данные приведенных работ размещены в табл. 3). Однако в ряде современных работ с участием когнитивно сохранных пожилых людей не было обнаружено возрастных различий в мощности дельта и тета ритмов (Fan et al., 2014; Stacey et al., 2021), что соответствует нашим результатам, полученным у носителей 10/10 и 10/12 генотипов НД, 10/12 и 12/12 генотипов ННД. В настоящее время считается, что усиление дельта и тета активности связано развитием нейродегенеративных изменений разного генеза (Jeong et al., 2021; Han, Chul Youn, 2022; Engeda et al., 2020; Hamilton et al., 2021; Meghdadi et al., 2021; Torres-Simon et al., 2023), поэтому наблюдаемое в нашей работе отсутствие возрастания мощности медленных ритмов может рассматриваться как активность мозга, присущая физиологическому старению.
Таблица 3. Исследования возрастных различий в показателях фоновой ЭЭГ абсолютной мощности при закрытых глазах
Table 3. Studies of age-related differences in background EEG absolute during eyes-closed condition
Публикация | Возраст (годы) | Границы частотных диапазонов (Гц) | Δ | θ | α | β | γ |
Williamson et al., 1990 | 65–81 (муж.) 41-85 (жен.)1 | Δ (0.5–4), θ (4–8), α (8–12), β1 (12–18), β2 (18–26) | ↘ (муж.) | ↘ (муж.) | ↘ (муж.) | β1 – ↘, β2 – ↘ (жен.) | – |
Hartikainen et al., 1992 | 31 vs 53 vs 712 | Δ (1.5–3.9), θ (4.1–7.3), α (7.6–13.9) β (14.2–20.0) | ↘ | ns | ns | ns | – |
Könönen, Partanen, 1993 | 23-801 | Δ (1.46–3.91), θ (4.11–7.32), α (7.57–13.92), β (14.16–20.02) | ns | ns | ns | ↗ | – |
Babiloni et al., 2006 | 27 vs 672 | Δ (2–4), θ (4–8), α1 (8–10.5), α2 (10.5–13), β1 (13–20), β2 (20–30) | ↘ | ns | α1, α2 ↘ | ns | – |
Gaál t al., 2010 | 22 vs 672 | Δ (0.5–4), θ (4–8), α1 (8–10), α2 (10–12), β1 (12–25), β2 (25–40) | ↘ | ns | ns | ns | – |
Volf, Gluhih, 2011 | 22 vs 652 | Δ (0.3–4), θ1 (4–6), θ2 (6–8), α1 (8–10), α2 (10–13), β1 (13–20), β2 (20–30), γ1 (30–40), γ2 (40–50) | ↘ | ↘ | α1-ns, α2- ↘ | ns | ns |
Vysata et al., 2012 | 20–701 | Δ (0.5–3.5), θ (4–7.5), α (8–12.5), β (13–29.5), γ (30–60) | ↘ | ↘ | ↘ | ↘ | ↘ |
Fan et al., 2014 | 35 vs 742 | Δ (1–4), θ (4–8), α (8–12), β (12–30), γ (30–100) | ns | ns | ↘ | ↗ | ↗ |
Caplan et al., 2015 | 18–30 vs 60–742 | Δ (1–4), θ (4–8), α (~10), β/γ (>12) | ↘ | ↘ | ns | ↗ | – |
Barry, De Blasio, 2017 | 20 vs 682 | Δ (0.5–3.5), θ (4.0–7.5), α (8.0–13.0), β (13.5–24.0) | ↘ | ↘ | ↘ | ↗ | – |
Stacey et al., 2021 | 24 vs 712 | Δ(1–4), θ (4–8), α (8–12), β (12–20) | ns | ns | ns | ↗ | – |
Jabès et al., 2021 | 26 vs 722 | Θ ((ИЧПА – 6) – (ИЧПА – 3)), α ((ИЧПА – 3) – (ИЧПА +2)), β (14–28), γ (30–47) | – | ↘ | ↘ | ns | ns |
Aoki et al., 2022 | 27–671 | Δ (2–4), θ (4–8), α (8–13), β (13–30), γ (30–60) | ↘ | ↘ | ↘ | ↗ | ↗ |
Tröndle et al., 2023 | 18–35 vs 60–802 | Стандартный α (8–13), α1 ((ИЧПА-4) – ИЧПА), α2 (ИЧПА – (ИЧПА+2)) | – | – | ↘ | – | – |
Rempe et al., 2023 | 6–841 | Δ (2–4), θ (5–7), α (8–12), β (15–29), γ (30–59). | ↘ | ↘ | ↗ | ↗ | ↗ |
Примечание. Указан средний возраст в возрастных группах либо возрастной интервал в годах. 1 – регрессионный или корреляционный анализ, 2 – контраст возрастных групп. ИЧПА – индивидуальная частота пика альфа ритма. ↘ (↗) – абсолютная мощность ритма ниже (выше) в старшей возрастной группе по сравнению с младшей, ns – статистически не значимый эффект, “–” – показатели данного ритма не анализировались.
Note. The average age in age groups or age interval in years is specified. 1 – regression or correlation analysis, 2 – contrast of age groups. IAF – individual alpha rhythm peak frequency. ↘ (↗) – the absolute power of the rhythm was lower (higher) in the older age group compared to the younger one; ns – non-significant effect; “–”– indicators of this rhythm were not analyzed.
Отсутствие возрастных различий в мощности альфа ритма, выявленное у 10/10 НД и 12/12 ННД, соответствует результатам многих эмпирических исследований «успешного» старения (Hartikainen et al., 1992; Könönen, Partanen, 1993; Gaál et al., 2010; Caplan et al., 2015; Stacey et al., 2021; Xifra-Porxas et al., 2019) (табл. 3). Возрастное снижение мощности альфа ритма в состоянии покоя отмечено у всех участников эксперимента 10/12 генотипа, у носителей 12/12 генотипа НД и 10/10 ННД. Такое снижение мощности связывают с повышенной возбудимостью в таламо-кортикальных и кортико-кортикальных связях (Babiloni et al., 2009). При этом выявленное во многих исследованиях уменьшение мощности ритмов альфа диапазона у пожилых людей без нейродегенеративных заболеваний и раннего снижения когнитивных функций (Williamson et al., 1990; Volf, Gluhih, 2011; Vysata et al., 2012; Fan et al., 2014; Barry, De Blasio, 2017; Jabès et al., 2021; Aoki et al., 2022; Tröndle et al., 2023) позволяет считать его также спутником физиологического старения мозга (Jabès et al., 2021).
На частоте бета1 ритма только в группе НД выявлено регионально-неспецифическое увеличение мощности в СВГ по сравнению с МВГ у носителей генотипа 10/10. В большинстве работ сообщается о повышении мощности высокочастотных ритмов, что рассматривается как адаптивная перестройка осцилляторной активности мозга при непатологическом старении (Fan et al., 2014; Barry, De Blasio, 2017; Stacey et al., 2021; Aoki et al., 2022; Rempe et al., 2023) (табл. 3). Выявленное увеличение бета1 мощности у пожилых НД носителей генотипа 10/10 может отражать привлечение дополнительных ресурсов по обработке информации, наблюдаемое у пожилых людей (Barry, De Blasio, 2017).
Полученные результаты демонстрируют, что в зависимости от полиморфизма STin2VNTR гена транспортера серотонина и интеллектуальных нагрузок, обусловленных профессиональной деятельностью, различные группы участников эксперимента могут демонстрировать различные элементы описанного в литературе контура возрастных изменений мощности базовой ЭЭГ. Учитывая относительно маленький размер выборок в исследованиях возрастных различий в активности мозга, этот факт может лежать в основе несогласованности результатов различных исследовательских групп.
Достоинства и ограничения исследования. При рассмотрении полученных результатов стоит отметить, что в гене транспортера серотонина кроме рассмотренного полиморфизма STin2VNTR есть и другие полиморфизмы (http://www.ncbi.nlm.nih.gov/projects/SNP/). Таким образом, для получения более полной картины требуется дальнейшее изучение влияния взаимодействия полиморфизма STin2VNTR гена транспортера серотонина с другими функционально подтвержденными полиморфизмами, участвующими в регуляции активности серотонинэргической системы мозга, на возрастные изменения фоновой ЭЭГ и возможности их модуляции под влиянием когнитивного тренинга.
Проведенное исследование имеет ряд ограничений. Выявленные опосредованные генотипом различия в мощности фоновой ЭЭГ могут быть обусловлены не только эффектом изучаемого полиморфизма STin2VNTR гена транспортера серотонина, они также могут зависеть от неравновесного сцепления между аллелями STin2VNTR и 5-HTTLPR, показанного при исследовании европейской популяции (Gelernter et al., 1999).
Стоит также отметить особенности исследованных групп участников эксперимента. Так все люди старшего возраста представляли собой социально активную группу пожилых людей, продолжающих профессиональную деятельность на момент исследования. Молодые участники эксперимента представлены также высокофункциональной группой, большинство представителей которой были студентами. Выборка ментально здоровых и социально активных людей является как достоинством исследования благодаря однородности группы, так и его ограничением.
ЗАКЛЮЧЕНИЕ
Нами впервые показано, что ассоциированные с полиморфизмом STin2VNTR гена транспортера серотонина особенности фоновой ЭЭГ находятся под модулирующим влиянием постоянного длительного когнитивного тренинга, обусловленного спецификой профессиональной деятельности только у пожилых лиц.
В отсутствие тренинга генетические различия определяются возрастным снижением мощности дельта-альфа3 ритмов у носителей генотипов 10/10 при отсутствии возрастных различий у носителей генотипа 12/12, что позволяет предположить устойчивость генотипа 12/12 к возрастным изменениям. В противоположность этому в условиях когнитивного тренинга возрастные различия отсутствуют у генотипа 10/10, а снижение мощности наблюдается у генотипа 12/12, что позволяет предполагать эффект когнитивного тренинга в отношении обоих гомозиготных генотипов.
Снижение мощности, наблюдаемое для генотипа 10/10 ННД и 12/12 НД, по-видимому, имеет различное физиологическое значение, поскольку сопровождается изменениями эффективности внимания только в группе ННД.
ВКЛАД АВТОРОВ В ПУБЛИКАЦИЮ
Приводнова Е.Ю. – сбор экспериментальных данных, статистическая обработка и анализ результатов исследования, обсуждение полученных результатов, подготовка публикации. Вольф Н.В. – обсуждение полученных результатов, участие в подготовке публикации.
ФИНАНСИРОВАНИЕ РАБОТЫ
Работа выполнена за счет Федерального бюджета на проведение фундаментальных научных исследований (регистрационный номер ЦИТиС: 122042700001-9).
БЛАГОДАРНОСТИ
Авторы выражают благодарность Елене Петровне Черемисиной за помощь в сборе психометрических данных и Дарье Владимировне Базовкиной за проведение генотипирования.
КОНФЛИКТ ИНТЕРЕСОВ
Авторы декларируют отсутствие явных и потенциальных конфликтов интересов, связанных с публикацией данной статьи.
СОБЛЮДЕНИЕ ЭТИЧЕСКИХ СТАНДАРТОВ
Все исследования проведены в соответствии с принципами биомедицинской этики, сформулированными в Хельсинкской декларации 1964 г. и ее последующих обновлениях, и одобрены локальным биоэтическим комитетом Научно-исследовательского института нейронаук и медицины (г. Новосибирск), протокол № 3-О от 18.03.2021. Каждый участник исследования представил добровольное письменное информированное согласие, подписанное им после разъяснения ему потенциальных рисков и преимуществ, а также характера предстоящего исследования.
ДОСТУПНОСТЬ ПЕРВИЧНЫХ ДАННЫХ
Первичные данные могут быть предоставлены авторами при необходимости.
About the authors
E. Yu. Privodnova
Scientific Research Institute of Neurosciences and Medicine; Novosibirsk State University
Author for correspondence.
Email: privodnovaeu@neuronm.ru
Russian Federation, Novosibirsk; Novosibirsk
N. V. Volf
Scientific Research Institute of Neurosciences and Medicine; Novosibirsk State University
Email: privodnovaeu@neuronm.ru
Russian Federation, Novosibirsk; Novosibirsk
References
- Вольф Н.В., Приводнова Е.Ю. Ассоциации между полиморфизмом STin2VNTR гена транспортера серотонина и характеристиками внимания при старении зависят от интеллектуальной среды профессиональной деятельности. Журн. высш. нервн. деят. им. И.П. Павлова. 2022. 72 (1): 77-86.
- Приводнова Е.Ю., Вольф Н.В. Ассоциации между полиморфизмом STin2VNTR гена транспортера серотонина и фоновой ЭЭГ у молодых и пожилых испытуемых. Физиология человека. 2020. 46 (1): 87–93.
- Шмуклер Ю.Б., Алешина Н.М., Мальченко Л.А., Никишин Д.А. Серотониновая система в оогенезе млекопитающих. Журн. высш. нервн. деят. им. И.П. Павлова. 2021. 71 (3): 306–320.
- Ahmadzadeh M., Cosco T.D., Best J.R., Christie G.J., DiPaola S. Predictors of the rate of cognitive decline in older adults using machine learning. PloS one. 2023. 18 (3): e0280029.
- Alvarez B.D., Morales C.A., Amodeo D.A. Impact of specific serotonin receptor modulation on behavioral flexibility. Pharmacol. Biochem. Behav. 2021. 209: 173243.
- Aoki Y., Hata M., Iwase M., Ishii R., Pascual-Marqui R.D., Yanagisawa T., Kishima H., Ikeda M. Cortical electrical activity changes in healthy aging using EEG-eLORETA analysis. Neuroimage: Reports. 2022. 2 (4): 100143.
- Babiloni C., Binetti G., Cassarino A., Dal Forno G., Del Percio C., Ferreri F., Ferri R., Frisoni G., Galderisi S., Hirata K., Lanuzza B., Miniussi C., Mucci A., Nobili F., Rodriguez G., Luca Romani G., Rossini P.M. Sources of cortical rhythms in adults during physiological aging: a multicentric EEG study. Hum. Brain Mapp. 2006. 27 (2): 162–172.
- Babiloni C., Frisoni G.B., Pievani M., Vecchio F., Lizio R., Buttiglione M., Geroldi C., Fracassi C., Eusebi F., Ferri R., Rossini P.M. Hippocampal volume and cortical sources of EEG alpha rhythms in mild cognitive impairment and Alzheimer disease. Neuroimage. 2009. 44 (1): 123–135.
- Barry R.J., De Blasio F.M. EEG differences between eyes-closed and eyes-open resting remain in healthy ageing. Biol. Psychol. 2017. 129: 293–304.
- Caplan J.B., Bottomley M., Kang P., Dixon R.A. Distinguishing rhythmic from non-rhythmic brain activity during rest in healthy neurocognitive aging. Neuroimage. 2015. 112: 341–352.
- Cools R., Roberts A.C., Robbins T.W. Serotoninergic regulation of emotional and behavioural control processes. Trends Cogn Sci. 2008. 12 (1): 31–40.
- Engedal K., Barca M.L., Hogh P., Bo Andersen B., Winther Dombernowsky N., Naik M. et al. The power of EEG to Predict Conversion from Mild Cognitive Impairment and Subjective Cognitive Decline to Dementia. Dement Geriatr. Cogn. Disord. 2020. 49(1): 38–47.
- Fan J., McCandliss B.D., Sommer T., Raz A., Posner M.I. Testing the efficiency and independence of attentional networks. J. Cogn. Neurosci. 2002. 14:340–347.
- Fan J.C., Cheung R.T., Chu L.W., Fung P.C. W., Chang C.Q., Sik H.H., et al. Age-related changes of EEG and its source in resting state. Proceedings of the 2014 19th International Conference on Digital Signal Processing. 2014. 797–800.
- Gaál Z.A., Boha R., Stam C.J., Molnár M. Age-dependent features of EEG-reactivity--spectral, complexity, and network characteristics. Neurosci. Lett. 2010. 479 (1): 79–84.
- Gaspar P., Cases O., Maroteaux L. The developmental role of serotonin: news from mouse molecular genetics. Nat. Rev. Neurosci. 2003. 4 (12): 1002–1012.
- Gelernter J., Cubells J.F., Kidd J.R., Pakstis A.J., Kidd K.K. Population studies of polymorphisms of the serotonin transporter protein gene. Am. J. Med. Genet. 1999. 88 (1): 61–66.
- Gilbert D.G., Dibb W.D., Plath L.C., Hiyane S.G. Effects of nicotine and caffeine, separately and in combination, on EEG topography, mood, heart rate, cortisol, and vigilance. Psychophysiology. 2000. 37 (5): 583–595.
- Gómez C.M., Vaquero E., López-Mendoza D., González-Rosa J., Vázquez-Marrufo M. Reduction of EEG power during expectancy periods in humans. Acta Neurobiol. Exp. 2004. 64(2): 143–151.
- Hamilton C.A., Schumacher J., Matthews F., Taylor J.P., Allan L., Barnett N. et al. Slowing on quantitative EEG is associated with transition to dementia in mild cognitive impairment. Int. Psychogeriatr. 2021. 33 (12): 1321–1325.
- Han S.H., Chul Youn Y. Quantitative electroencephalography changes in patients with mild cognitive impairment after choline alphoscerate administration. J. Clin. Neurosci. 2022. 102: 42–48.
- Hartikainen P., Soininen H., Partanen J., Helkala E.L., Riekkinen P. Aging and spectral analysis of EEG in normal subjects: a link to memory and CSF AChE. Acta. Neurol. Scand. 1992. 86 (2): 148–155.
- Hranilovic D., Stefulj J., Schwab S., Borrmann-Hassenbach M., Albus M., Jernej B., Wildenauer D. Serotonin transporter promoter and intron 2 polymorphisms: relationship between allelic variants and gene expression. Biol. Psychiatry. 2004. 55 (11): 1090–1094.
- Jabès A., Klencklen G., Ruggeri P., Antonietti J.P., Banta Lavenex P., Lavenex P. Age-Related Differences in Resting-State EEG and Allocentric Spatial Working Memory Performance. Front. Aging. Neurosci. 2021. 13: 704362.
- Jaul E., Barron J. Characterizing the Heterogeneity of Aging: A Vision for a Staging System for Aging. Front. Public Health. 2021. 9: 513557.
- Jeong H.T., Youn Y.C., Sung H.H., Kim S.Y. Power spectral changes of quantitative EEG in the subjective cognitive decline: comparison of community normal control groups. Neuropsychiatr. Dis. Treat. 2021. 17: 2783–2790.
- Kivimäki M., Walker K.A., Pentti J., Nyberg S.T., Mars N., Vahtera J. et al. Cognitive stimulation in the workplace, plasma proteins, and risk of dementia: three analyses of population cohort studies. BMJ. 2021. 374: 1804.
- Könönen M., Partanen J.V. Blocking of EEG alpha activity during visual performance in healthy adults. A quantitative study. Electroencephalogr. Clin. Neurophysiol. 1993. 87 (3): 164–166.
- Lindenberger U., Nagel I.E., Chicherio C., Li S.C., Heekeren H. R., Bäckman L. Age-related decline in brain resources modulates genetic effects on cognitive functioning. Front. Neurosci. 2008. 2(2): 234–244.
- MacKenzie A., Quinn J. A serotonin transporter gene intron 2 polymorphic region, correlated with affective disorders, has allele-dependent differential enhancer-like properties in the mouse embryo // Proc. Natl. Acad. Sci. U S A. 1999. 96 (26): 15251–15255.
- Meghdadi A.H., Stevanović Karić M., McConnell M., Rupp G., Richard C., Hamilton J., Salat D., Berka C. Resting state EEG biomarkers of cognitive decline associated with Alzheimer’s disease and mild cognitive impairment. PloS One. 2021. 16 (2): e0244180.
- Nyberg L., Lövdén M., Riklund K., Lindenberger U., Bäckman L. Memory aging and brain maintenance. Trends Cogn. Sci. 2012. 16 (5): 292–305.
- Papenberg G., Lindenberger U., Bäckman L. Aging-related magnification of genetic effects on cognitive and brain integrity. Trends Cogn. Sci. 2015. 19 (9): 506–514.
- Qiu F., Pi Y., Liu K., Zhu H., Li X., Zhang J., Wu Y. Neural efficiency in basketball players is associated with bidirectional reductions in cortical activation and deactivation during multiple-object tracking task performance. Biol. Psychol. 2019. 144: 28–36.
- Rempe M.P., Ott L.R., Picci G., Penhale S.H., Christopher-Hayes N.J., Lew B.J. et al. Spontaneous cortical dynamics from the first years to the golden years. Proc. Natl. Acad. Sci. U.S.A. 2023. 120 (4): e2212776120.
- Romei V., Rihs T., Brodbeck V., Thut G. Resting electroencephalogram alpha-power over posterior sites indexes baseline visual cortex excitability. Neuroreport. 2008. 19(2): 203–208.
- Shusharina N., Yukhnenko D., Botman, S., Sapunov V., Savinov V., Kamyshov G., Sayapin D., Voznyuk I. Modern methods of diagnostics and treatment of neurodegenerative diseases and depression. Diagnostics. 2023. 13 (3): 573.
- Smailovic U., Jelic V. Neurophysiological markers of Alzheimer’s disease: quantitative EEG approach. Neurol. Ther. 2019. 8(Suppl 2): 37–55.
- Stacey J.E., Crook-Rumsey M., Sumich A., Howard C.J., Crawford T., Livne K., Lenzoni S., Badham S. Age differences in resting state EEG and their relation to eye movements and cognitive performance. Neuropsychologia. 2021. 157: 107887.
- Strac D.S., Pivac N., Muck-Seler D. The serotonergic system and cognitive function. Transl. Neurosci. 2016. 7 (1): 35–49.
- Torres-Simon L., Cuesta P., Del Cerro-Leon A., Chino B., Orozco L.H., Marsh E.B., Gil P., Maestu F. The effects of white matter hyperintensities on MEG power spectra in population with mild cognitive impairment. Front. hum. neurosci. 2023. 17: 1068216.
- Tröndle M., Popov T., Pedroni A., Pfeiffer C., Barańczuk-Turska Z., Langer N. Decomposing age effects in EEG alpha power. Cortex. 2023. 161: 116-144.
- Volf N.V., Gluhih A.A. Background cerebral electrical activity in healthy mental aging. Hum. Physiol. 2011. 37: 559–567.
- Vysata O., Kukal J., Prochazka A., Pazdera L., Valis M. Age-related changes in the energy and spectral composition of EEG. Neurophysiology. 2012. 44: 63–67.
- Wiggins J.L., Bedoyan J.K., Peltier S.J., Ashinoff S., Carrasco M., Weng S.J., Welsh R.C., Martin D.M., Monk C.S. The impact of serotonin transporter (5-HTTLPR) genotype on the development of resting-state functional connectivity in children and adolescents: a preliminary report. Neuroimage. 2012. 59 (3): 2760–2770.
- Wijaya A., Setiawan N.A., Ahmad A.H., Zakaria R., Othman Z. Electroencephalography and mild cognitive impairment research: A scoping review and bibliometric analysis (ScoRBA). AIMS neurosci. 2023. 10 (2): 154–171.
- Williamson P.C., Merskey H., Morrison S., Rabheru K., Fox H., Wands K., Wong C., Hachinski V. Quantitative electroencephalographic correlates of cognitive decline in normal elderly subjects. Arch. Neurol. 1990. 47 (11): 1185–1188.
- Xifra-Porxas A., Niso G., Larivière S., Kassinopoulos M., Baillet S., Mitsis G.D., Boudrias M.H. Older adults exhibit a more pronounced modulation of beta oscillations when performing sustained and dynamic handgrips. NeuroImage. 2019. 201: 116037.
Supplementary files



