The impact of the type of playful massage movements on the perception of tactile stimulation in children: EEG study
- Authors: Dydenkova E.A.1,2, Zhukova E.V.1, Khairulina G.М.3, Mayorova L.A.1,3, Portnova G.V.1,3
-
Affiliations:
- State Institute of the Russian Language named after A.S. Pushkin
- Kozma Minin Nizhny Novgorod State Pedagogical University
- Institute of Higher Nervous Activity and Neurophysiology of the Russian Academy of Sciences
- Issue: Vol 74, No 4 (2024)
- Pages: 396-411
- Section: ФИЗИОЛОГИЯ ВЫСШЕЙ НЕРВНОЙ (КОГНИТИВНОЙ) ДЕЯТЕЛЬНОСТИ ЧЕЛОВЕКА
- URL: https://bakhtiniada.ru/0044-4677/article/view/269239
- DOI: https://doi.org/10.31857/S0044467724040026
- ID: 269239
Cite item
Full Text
Abstract
Tactile play and playful massage are a normal interaction between adults and children in many cultures. Experimental data show that activation of the C-tactile system during such playful touches contributes to children’s socialization and the establishment of psychoemotional bonds in the parent-child dyad. However, comprehensive studies of the effects of different types of touch on perception of tactile stimulation in children have not been conducted before. Twenty-three children participated in the present study: 10 in the preschool age group and 13 in the elementary school age group. Children in both groups received play massage containing different types of touch with simultaneous recording of electroencephalogram (EEG) and heart rate. EEG processing included determination of spectral power, alpha rhythm peak frequency and fractal dimension. Analysis of the results showed that the relaxing effect of the procedure was more pronounced in children of primary school age, which can be explained both by the greater maturity of the CNS and the greater need for tactile contact, which is not realized in the school environment.
Full Text
ВВЕДЕНИЕ
Кожа – самый филогенетически старый и самый крупный из органов чувств человека/млекопитающих, который онтогенетически развивается раньше других (Montague, 1986) и реагирует на любое прикосновение. Восприятие прикосновения или осязание помогает локализовать воздействие на теле, определить характер стимула, его влажность (Ackerley et al., 2012) и температуру (Ackerley et al., 2014). Чувство осязания реализовано с помощью множества низкопороговых механорецепторов и быстропроводящих афферентов А-бета (Аβ) (McGlone, 2014). Дискриминативные аспекты восприятия прикосновения подробно изучены и широко представлены в научной литературе (Vallbo, Johansson, 1984; Kandel et al., 2000; Mountcastle, 2005). Однако массажное воздействие как разновидность динамического прикосновения имеет аффективное измерение, имеющее фундаментальное значение для физического, эмоционального и социального благополучия человека как на этапе развития (Carozza, Leong, 2021; WHO Immediate KMC Study Group, 2021), так и на протяжении всей жизни (Diego, Field, 2009; Reece et al., 2016; Morrison et al., 2010; McIntyre et al., 2021). Таким образом, несмотря на то, что большинство функциональных аспектов прикосновения хорошо изучены, аффективные аспекты тактильного взаимодействия у человека и млекопитающих были описаны в литературе лишь недавно (Essick et al., 1999; Olausson et al., 2002; McGlone et al., 2007; Löken et al., 2009).
В настоящее время известно, что у человека имеется специализированная система тактильного восприятия, объединяющая высокочувствительные механорецепторы, связанные с безмиелиновыми волокнами типа С (McGlone, 2014). СТ-афференты представляют собой медленно проводящие, немиелинизированные механочувствительные волокна кожи, несущие информацию об аффективном или эмоционально значимом прикосновении (Morrison, 2016; McGlone et al., 2007; Löken et al., 2009). Аффективное прикосновение определяется как тактильная стимуляция с гедоническим или эмоциональным компонентом, передаваемая через СТ-афференты, локализующиеся в волосистой части кожи (у человека – преимущественно в области предплечья, плеча и лопатки) (Ackerley et al., 2014, Essick et al., 2010; Pawling et al., 2017).
СТ-афференты активируются под воздействием прикосновения типичной для кожи рук температуры в районе 32 градусов (Ackerley, 2014; 2022), с легким/мягким, но не твердым/грубым нажатием (Yu et al., 2019), желательно на волосистых участках кожи (Cruciani et al., 2021), при скольжении со скоростью в диапазоне 1–10 см/сек (Croy et al., 2021; Schirmer et al., 2023). Перечисленные характеристики тактильной стимуляции определяются испытуемыми как более “человеческие”, что также коррелирует с восприятием приятности стимула (Wijaya et al., 2020). Кроме того, в недавнем экспериментальном исследовании было установлено, что восприятие приятности прикосновения также связано с пространственной траекторией тактильного стимула (Schirmer et al., 2023). Более разнообразная траектория поглаживания, но непредсказуемое движение роботизированного тактильного стимулятора “вперед-назад”, оценивается как более приятная. Другое исследование показало, что менее предсказуемые поглаживания воспринимаются как более приятные (Lo et al., 2021). При этом задача “погладить приятно” подталкивает испытуемых осуществлять тактильную стимуляцию также с пространственно-временной изменчивостью без заданных инструкций.
Имеются экспериментальные данные о том, что стимуляция СТ-афферентов у млекопитающих (крыс) позволяет снижать стресс-индуцированное повышение кортикостерона и тревожности (Walker et al., 2022). У человека, вероятно, такая протективная функция аффективного прикосновения активируется лишь при субъективной оценке получателем прикосновения как приятного, что выражается в повышенной продукции окситоцина (Portnova et al., 2020; Yu et al., 2022), активно вовлеченного в механизм формирования и удовольствия от межличностных отношений (Hurlemann, Scheele, 2016).
Важно, что СТ-афференты являются самыми древними афферентами кожной механорецепции (McGlone, 2014) и формируются для полноценного функционирования к моменту рождения, тогда как, например, А-бета афферентам еще требуется время для созревания во внеутробной жизни (Croy et al., 2022). Таким образом, новорожденный готов к социальному взаимодействию на физиологическом уровне, что вероятно связано с задачей выживания (Bowlby, 1952). Кроме того, недавнее исследование показало, что родители без специальной инструкции гладят своих детей с оптимальными для СТ-афферентов параметрами прикосновения (Van Puyvelde, 2019). При этом аффективное прикосновение в движении, т.е. поглаживание, имеет более высокую физиологическую ценность, чем статическое или неподвижное прикосновение, как для младенцев, (Manzotti, 2019), так и для взрослых (Ali et al., 2023)
Ряд исследований восприятия аффективного прикосновения описывают особенности физиологического ответа организма на приятную стимуляцию. Так, у новорожденных в ответ на динамическое нежное прикосновение наблюдается снижение физиологического возбуждения, что проявляется значительным замедлением частоты сердечного ритма и повышением уровня оксигенации крови (Manzotti, 2019), а у взрослых испытуемых более низкими значениями пиковой альфа-частоты (Portnova et al., 2020). Годовалые дети реагируют на заботливое прикосновение как активацией парасимпатической системы, так и повышением социальной поведенческой вовлеченности (Fairhurst, 2014). ЭЭГ-исследование восприятия нежного прикосновения у нормально развивающихся детей 5–10 лет показало увеличение фронтальной тета-мощности (4–6 Гц), а поведенческие маркеры свидетельствовали о расслаблении (Портнова и др., 2019).
Тиффани Филд выделяет три формы прикосновения, которые улучшают развитие и благополучие человека (Field, 2019). К ним относятся социальное прикосновение (рукопожатия и объятия), СТ-прикосновение (динамическая стимуляция СТ-афферентов) и массажная терапия, т.е. глубокое прикосновение с целью воздействия на мышцы (Field, 2007). Настоящее исследование посвящено изучению именно СТ-прикосновения. В качестве метода тактильной стимуляции были выбраны массажные истории на спине. Массажная история – это тактильное воздействие ладоней экспериментатора на поверхность спины ребенка с оптимальной для СТ-афферентов скоростью и силой, но не разминанием мышц и не терапией спины, и сопровождающееся рассказыванием историй.
В исследовании приняли участие две возрастные группы типично развивающихся детей – дети дошкольного возраста и дети младшего школьного возраста. Взятые когорты детей отличаются социокультурной средой развития и типом ведущей деятельности (Леонтьев, 1977). Дошкольники, чей ведущий тип деятельности – игра, посещают детский сад, где среда насыщена движением и физическим взаимодействием. Тогда как младшие школьники оказываются в противоположной ситуации – ведущая деятельность с игровой меняется на учебную, при этом игра остается важной частью жизни ребенка. Фокус на результат и индивидуализацию, ритм жизни школьника и дух конкуренции вытесняют активное физическое взаимодействие (Дыденкова, Теплова, 2023). Целью исследования было прояснить, как меняется субъективное отношение и физиологическая реакция на аффективное прикосновение разных типов у ребенка в связи со сменой социокультурной среды.
МЕТОДИКА
Испытуемые
В исследовании приняли участие 23 типично развивающихся ребенка без речевых, когнитивных нарушений или психических заболеваний. Почти каждый ребенок не является единственным ребенком в семье и почти каждый ребенок живет в семье с обоими родителями. Дети были разделены на две когорты: 1) дошкольники (n = 10; f = 5; 5.5 ± 0.8); 2) дети младшего школьного возраста (n = 13; f = 5; 8.7 ± 1.8). Когорты сбалансированы по полу (χ² = 0.306; p = 0.58), семейному положению (χ² = 0.140; p = 0.708) и количеству детей в семье (χ² = 0.08; p = 0.772) (табл. 1). Мы не оценивали качество взаимоотношений в семье и качество детско-родительской привязанности, но по ряду формальных социально-демографических характеристик дети не отличаются. Ключевым отличием образованных когорт является возрастная категория и, как следствие, ситуация социального развития, в которой дети проводят большую часть рабочего дня. Таким образом, дети дошкольного возраста посещают детский сад 5 дней в неделю и находятся там с 08:00 утра до 17:00 вечера. Дети младшего школьного возраста ходят в школу 5 дней в неделю, занятия длятся с 08:00 до 12:20.
Таблица 1. Характеристика выборки
Table 1. Sample characteristics
Характеристики | Группы | Достоверность различий | |
Дошкольный возраст (n = 10) | Младший школьный возраст (n = 13) | ||
Возраст ребенка (M±SD) | 5.5 ± 0.8 | 8.7 ± 1.8 | – |
Пол | F = 5 | F = 5 | χ² = 0.306; p = 0.58 |
M =5 | M = 8 | ||
Семейный статус | Полная семья = 7 | Полная семья = 10 | χ² = 0.140; p = 0.708 |
Неполная семья = 3 | Неполная семья = 3 | ||
Наличие братьев/сестер | Есть братья/сестры (n = 8) | Есть братья/сестры (n = 11) | χ² = 0.08; p = 0.772 |
Нет братьев/сестер (n = 2) | Нет братьев/сестер (n = 2) | ||
Возраст матери (M±SD) | 31.5±2.32 | 33.1±3.3 | – |
Уровень образования матери | Бакалавриат (n = 9) | Бакалавриат (n = 10) | χ²=0.673; p = 0.412 |
Магистр (n = 1) | Магистр (n = 3) | ||
Информация о возможности принять участие в исследовании прошла в нескольких локальных родительских сообществах, проживающих рядом с лабораторией, где проводился эксперимент. В награду родители получили заключение ЭЭГ от сертифицированного невролога, а дети – сладкий подарок без сахара (по предварительному разрешению родителей).
Стимуляция и процедура
Процедура эксперимента включала в себя следующие этапы: знакомство с участниками; описание процедуры эксперимента для участника и родителя с демонстрацией места, оборудования, рассказом о последовательности действий и необходимых манипуляциях; расположение участника на массажном кресле в удобном положении; настройка оборудования и подключение датчиков; фоновая запись; запись в процессе тактильной стимуляции; фоновая запись; отключение оборудования и датчиков; благодарность испытуемому за участие в исследовании.
Каждый родитель подписал письменное согласие на участие ребенка в исследовании. У каждого ребенка было запрошено устное согласие на тактильную стимуляцию.
Во время эксперимента ребенок сидит в специальном массажном кресле (см. фото), которое помогает занять устойчивое положение и открыть доступ к спине для массажной истории. Массажные истории предъявлялись через одежду (родителям советовали надеть на ребенка легкую хлопчатобумажную футболку) одним и тем же экспериментатором.
Каждому ребенку предъявлялась одинаковая последовательность массажных историй, включающая 4 массажных сюжета с разными типами воздействия: «Прогноз погоды» (рис. 1 (а–в)), «Рельсы-рельсы» (рис. 2 (а)), «Испечем пирог» (рис. 2 (б)) и «Чистим лошадку» (рис. 2 (в)). Важно, что массажная история №1 «Прогноз погоды» отличается четко выраженным изменением траектории, скорости и силы воздействия, поэтому была разделена на 3 этапа изложения.
Рис. 1. Графическое описание массажной истории “Прогноз погоды”, состоящей из трех этапов. Каждый этап (а, б, в) включает три основных движения. Пояснения к движениям – (г)
Fig. 1. Graphic description of the massage story “Weather Forecast”, consisting of three stages. Each stage (а, б, в) includes three main movements. Explanations of movements – (г)
Рис. 2. Каждая история включает три схематичные иллюстрации (1, 2, 3). Графическое описание массажной истории “Рельсы-рельсы” – (а). Графическое описание массажной истории “Испечем пирог” – (б). Графическое описание “Расчешем лошадку” – (в). Пояснения к движениям – (г)
Fig. 2. Each story includes three schematic illustrations (1, 2, 3). Graphic description of the massage story “Rails-Rails” – (a). Graphic description of the massage story “Let’s Bake a Pie” – (б). Graphic description “Let’s comb the horse” – (в). Explanations of movements – (г)
В ходе эксперимента от детей собирали устные отзывы с целью выяснить их желание продолжать участие в исследовании. Это значит, что после завершения каждой массажной истории ребенку задавалось несколько устных вопросов: «Как дела?/Понравился ли тебе рассказ? Хочешь, расскажу тебе следующую?/Продолжим?». Последовательность массажных историй продолжалась только после явного подтверждения со стороны ребенка.
Характеристика движений и вербальное сопровождение всей процедуры тактильной стимуляции представлены в табл. 2. Графическая схема движений массажной истории “Прогноз погоды” показана на рис. 1 (а – в); схема “Рельсы-рельсы” – на рис. 2 (а); схема “Испечем пирог” – на рис. 2 (б); схема “Расчешем лошадку” – на рис. 2 (в).
Таблица 2. Характеристика движений массажных историй и синхронный текст, озвученный экспериментатором
Table 2. Characteristics of movements of massage stories and synchronous text voiced by the experimenter
Движения | Текст |
Массажная история №1 “Прогноз погоды” | |
Этап 1 | |
Медленные плотные поглаживания всей поверхности спины: круговые и из центра в стороны (рис. 1 (а)) | Жило-было солнце (рис. 1, а – 1), желтое солнце, …которое согревало весь мир (рис. 1, а – 2). Но вот появились облака и закрыли собой солнце (рис. 1, а – 3) |
Этап 2 | |
Энергичные движения различной направленности (рис. 1 (б)) | Поднялся ветер и как задул! Все сильнее и сильнее …пока не превратился в страшный смерч! (рис. 1, б – 1). Затем появилась молния и гром (рис. 1, б – 2). Потом пошел дождь. Дождь шел все сильнее и сильнее, пока не превратился в град, сильный град. Затем пошел снег…(рис. 1, б – 3) |
Этап 3 | |
Медленные отдельные круговые движения по малому радиусу с остановкой в конце при плотном прилегании обеих рук эксперта (рис. 1 (в)) | … и все стало белым и прекрасным, снег укутал землю белым пушистым одеялом (рис. 1, в – 1). И видно только кошку, пробирающуюся вверх по сугробу… и еще одну… и еще… забралась на крышу и села посмотреть (рис. 1, в – 2). Наконец, появился туман, и все стало тихо и спокойно. И вот опять вышло солнце и вновь согрело землю (рис. 1, в – 3) |
Массажная история № 2 “Рельсы-рельсы” | |
Ритмичные движения с частой сменой направления, скорости и типа прикосновений (рис. 2 (а)) | Рельсы-рельсы, шпалы-шпалы, ехал поезд запоздалый. Из последнего вагона вдруг посыпался горох! Пришли куры – поклевали, пришли гуси – пощипали (рис. 2, а – 1). Прошел слон: ТОП-ТОП-ТОП, прошла слониха: Топ-Топ-Топ, прошел маленький слоненок: топ-топ- топ-топ (рис. 2, а – 2). Пришел дворник – все подмел. И поставил стул и стол. Расправил листок и начал печатать. Дорогие жена и дочка! – точка. Я купил вам новые чулочки! – точка. К нам приехал зоопарк – точка. Возвращайтесь скорее – точка. Люблю и целую – точка. Запечатал письмо в конверт, поставил штамп и отправил. Дзинь! Пришло! (рис. 2, а – 3) |
Массажная история № 3 “Испечем пирог” | |
Движения средней интенсивности, включающие разрозненные прикосновения к разным частям спины, плотное поглаживание спины двумя руками и плотное прилегающее движение ладоней с остановкой в процессе массажа (рис. 2 (б)) | Давай мы с тобой испечем пирог! Сначала готовим тесто: засыпаем муку, добавляем сахар. Разбиваем яйцо, перемешиваем (рис. 2, б – 1). Месим тесто. Выкладываем начинку (рис. 2, б – 2). Защипываем. Несем в духовку и печем. Разрезаем и едим. Моем и вытираем тарелку (рис. 2, б – 3) |
Массажная история № 4 “Чистим лошадку” | |
Плавные плотные прикосновения к поверхности спины, ритмично перетекающие друг в друга, с сохранением постоянного контакта рук со спиной, размеренный темп речи и движений (рис. 2 (в)) | Цок-цок-цок. -Ого! Кто это? -Точно! К нам прискакала лошадка и хочет катать деток! Сейчас мы с тобой лошадку подготовим к выездке. Берем ведро воды и наливаем воду. Теперь берем губку, намочим ее водой (рис. 2, в – 1). Отожмем губку, вымоем лошадку губкой. Теперь намылим шампунем лошадку и взобьем пену. Польем водой и смоем пену. Вытрем лошадку полотенцем (рис. 2, в – 2). Теперь расчешем лошадке гриву. Заплетем ей косы, украсим косы ленточками, звездочками и кристаллами. Накроем нашу лошадку красивой попоной и закрепим седло. Готово! Можно ехать! (рис. 2, в – 3) |
Субъективная и поведенческая оценки
В процессе процедуры тактильной стимуляции осуществлялся устный сбор обратной связи от испытуемых с целью получения субъективной оценки приятности воздействия и проверки готовности ребенка продолжать участие в эксперименте. Таким образом, после завершения каждой массажной истории у испытуемого запрашивалась обратная связь. Кроме того, была проведена субъективная экспертная оценка динамики поведения детей во время эксперимента. Два эксперта в соответствии с разработанной шкалой оценивали поведение перед проведением тактильной стимуляции (во время знакомства, объяснения процедуры эксперимента и настройки оборудования) и после нее (табл. 3).
Таблица 3. Шкала субъективной экспертной оценки поведения ребенка
Table 3. Scale of expert subjective assessment of child behavior
Расслаблен | Улыбается, смеется, поза расслабленная, выполняет все инструкции, активно идет на контакт | 0 |
Беспокоен | Проявляет незначительное беспокойство, демонстрирует дискомфорт, жалуется, что не очень удобно, однако инструкции выполняет | 1 |
Напряжен | Тон голоса, поза и мимика свидетельствуют, что ребенок тревожен, напряжен, задает вопросы обеспокоенным голосом, спрашивает, будет ли больно, вертится и дергается | 2 |
Испуган | Принимает вынужденную позу, выражает желание уйти, плачет, всхлипывает | 3 |
Частота сердечных сокращений
Частоту сердечных сокращений (ЧСС) определяли для оценки вегетативных реакций с помощью BrainVision actiCHamp/actiCHamp Plus (Brain Products GmbH, Gilching, Germany). Частота дискретизации составляла 500 Гц. Частоту сердечных сокращений регистрировали, помещая датчик артериального давления (BP-BM-50, Brain Products) на указательный палец правой руки.
Анализ данных ЧСС и ее нелинейной динамики
ЧСС анализировался для 7 фрагментов: фоновой записи, трех этапов первой истории, а также второй, третьей и четвертой историй. Были подсчитаны средняя ЧСС и стандартное отклонение между интервалом RR (SDRR).
Регистрация данных
Участникам эксперимента было предъявлено 4 различных массажных истории на спине. ЭЭГ данные записывались с помощью cистемы губчатых электродов R-net, 64 канала (Brain Products GmbH). Частота дискредитизации – 1000 Гц. Параметры фильтрации сигнала ЭЭГ – 0.5–70. Перед началом тактильной стимуляции записывалась электрическая активность мозга при открытых (метка 1) и закрытых (метка 2) глазах, после чего ребенку поочередно предъявлялись истории. Первая история делилась на 3 части, соответственно, ставились метки 3, 4, 5. Вторая история – метка 6, третья история – метка 7, четвертая история – метка 8. Окончание каждой истории отмечалось меткой 0 (рис. 3). Исследование проведено с использованием оборудования НИЦ № 40606 Института Высшей нервной деятельности и нейрофизиологии РАН «Функциональное картирование мозга».
Рис. 3. Блок-схема замысла исследования, отражающая протокол регистрации данных с помощью меток 0 – 8
Все записи ЭЭГ анализировались врачом функциональной диагностики и при несоответствии картины ЭЭГ возрастным нормативным показателям данные ребенка исключались из дальнейшего анализа.
Анализ данных
Предобработка
Запись ЭЭГ для каждого испытуемого включала 2 мин фоновой записи с открытыми и закрытыми глазами и около 10–15 мин ЭЭГ с предъявлением тактильной стимуляции. Запись ЭЭГ была очищена от глазодвигательных, ЭКГ и мышечных артефактов при помощи Метода независимых компонент (Independed Component Analysis) с использованием EEGLab. После этого все данные были подвергнуты визуальному анализу и оставшиеся артефакты были удалены вручную (не более 5 с фоновой записи и не более 1% от записи ЭЭГ, содержащей метки). Полученные данные были разбиты на фрагменты в соответствии с типом предъявляемого стимула (метки Presentation). Дальнейший анализ данных ЭЭГ включал в себя именно эти фрагменты.
Анализ спектральной мощности ЭЭГ
Анализ мощности ритмов ЭЭГ проводился с использованием программного обеспечения Matlab (Matsoft, USA). Быстрое преобразование Фурье (Fast Fourier Transform (FFT)) использовалось для анализа спектров мощности исследуемых фрагментов ЭЭГ. ЭЭГ спектр оценивался для каждого исследуемого состояния. Полученные спектры мощности усредняли с шагом 1 Гц в интервале от 2 до 20 Гц (2–3 Гц, 3–4 Гц, … 19–20 Гц). Для анализа использовались логарифмированные показатели мощности.
Пиковая частота альфа-ритма (ПЧА)
Частота альфа-пика измерялась путем изучения спектров мощности с использованием быстрого преобразования Фурье и определения «частоты центра тяжести» в диапазоне 8–13 Гц. Частота центра тяжести определяется по формуле:
,
где a(f) – спектральная мощность на частоте f в диапазоне альфа-ритма. Для выделения топографии значимых различий использовался пермутационный тест.
Анализ нелинейных показателей ЭЭГ
Фрактальная размерность
Фрактальная размерность D2 рассчитывалась для всего диапазона частот (2–20 Гц). Математический расчет фрактальной размерности D2 производился при помощи метода Хигучи (Higuchi, 1988), основанный на переходе от исходной последовательности к последовательностям, полученным децимацией, т.е. взятием каждого k-того наблюдения. При этом для каждого выбранного значения k формируется k таких независимых рядов, отличающихся сдвигом начальной точки. Для каждого из них вычисляется длина кривой, определяемая как сумма абсолютных значений разностей отсчетов данных, нормированная к длине исходной кривой, вычисляется среднее арифметическое полученных так длин по всем k взятым с шагом k рядам, давая усредненную оценку длины L(k). Для рядов, имеющих фрактальную размерность D, используется функция L(k) ~ k–D. Для оценивания величины D используется линейная регрессия величины logL(k) на k.
Статистический анализ
Статистический анализ проводили с использованием программы Statistica 13. Индивидуальные значения различных показателей ЭЭГ сравнивались между предъявлениями различных типов массажных движений и фоном при помощи t-критерия Стьюдента, т.к. все группы данных прошли тест на нормальное распределение. Нормальность распределения данных была посчитана при помощи теста Колмогорова- и W-теста Шапиро-Уилка.
Также использовался дисперсионный анализ (repeated measures ANOVA) для анализа групповых различий в изменениях ЭЭГ, соответствующих тем или иным массажным процедурам. В частности, для анализа ЭЭГ данных были использованы факторы группы (дошкольники и школьники) – межиндивидуальный фактор и тип стимула – внутрииндивидуальный фактор. Фактор типа стимула включал в себя запись ЭЭГ в состоянии покоя с открытыми глазами и 6 типов массажной стимуляции (первая история, разделенная на три этапа, вторая, третья и четвертая история). Анализ топографии изменений ЭЭГ был осуществлен по следующим отведениям: центральные (C3, Cz, C4), фронтальные (F3, Fz, F4), теменные (P3, Pz, P4). Если различия обнаружены по всем исследуемым отведениям, то топография не указывалась. Фактор топографии не включался в основной анализ repeated measures ANOVA, а анализировался для каждой топографии отдельно.
Для поведенческих данных оценивались фактор группы (дошкольники и школьники) и фактор исследования (до и после).
РЕЗУЛЬТАТЫ ИССЛЕДОВАНИЙ
Субъективные и поведенческие оценки
Анализ результатов поведения детей в ходе массажа у обеих групп показал расслабление позы, уменьшение дискомфорта, снижение напряжения (общий эффект исследования F(1, 21) = 23.016, p = 0.0001, η2 = 0.523). Так, до проведения игрового массажа у детей дошкольного возраста количество баллов по опроснику составляло 1.1 ± 0.82, а у младших школьников – 1.6 ± 0.97, после проведения массажа количество баллов у дошкольников уменьшалось до 0.59 ± 0.52, а у школьников 0.23 ± 0.44. Значимых межгрупповых различий обнаружено не было (рис. 4).
Рис. 4. Субъективная оценка экспертами поведения детей дошкольного и школьного возраста до и после проведения процедуры игрового массажа
Fig. 4. Subjective assessment by experts of the behavior of preschool and school-age children before and after the play massage procedure
ЧСС и ее нелинейная динамика
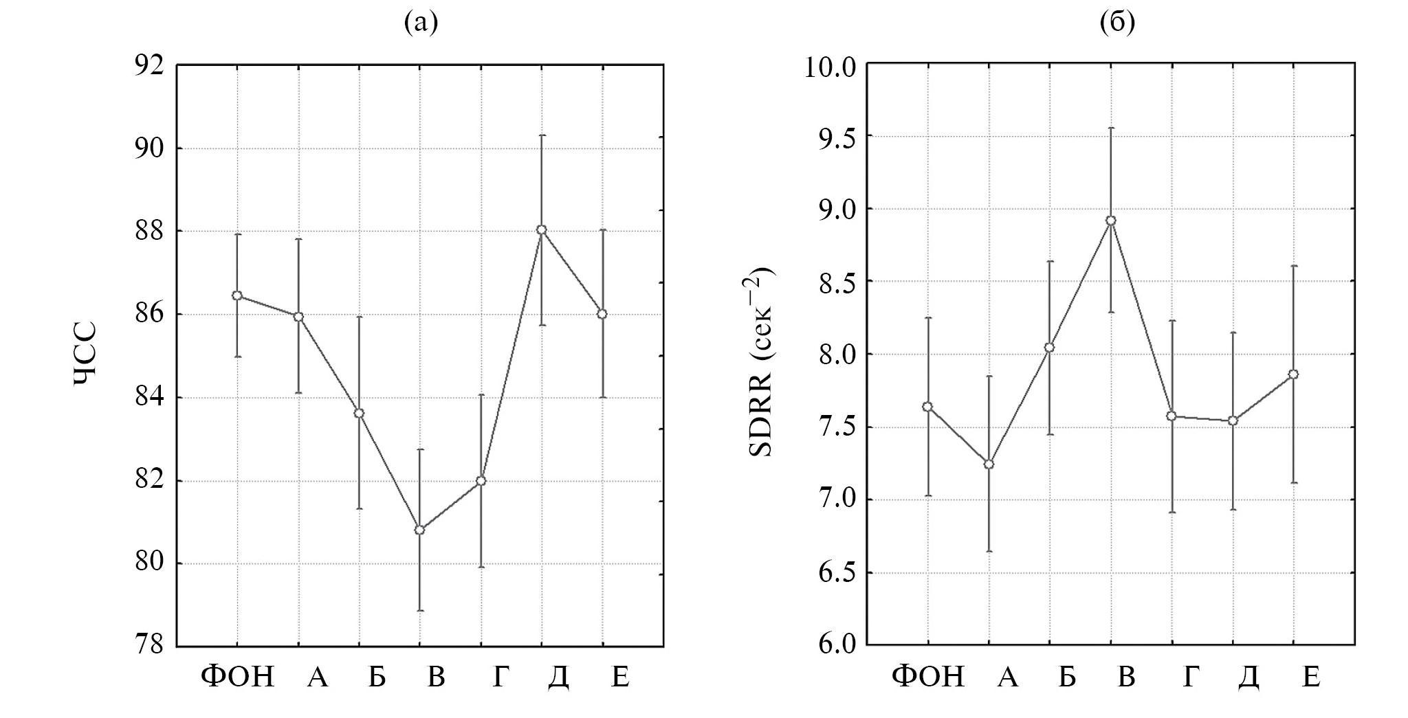
В ходе работы было выявлено, что у детей обеих возрастных групп наблюдалось значимое снижение ЧСС к концу первой истории (общий эффект типа стимула F(6, 126) = 13.328, p < 0.0001, σ2 = 0.39), однако к третьей и четвертой истории ЧСС вновь увеличивалось и уже не отличалось от фоновой записи вначале исследования. Post-hoc анализ (Bonferroni test) подтвердил значимое уменьшение ЧСС по сравнению с фоновой записью для третьего этапа первой истории (p < 0.0001) и второй истории (p = 0.0002).
Исследование нелинейной динамики ЧСС, в частности, стандартного отклонения между интервалом RR (SDRR) позволило выявить значимое увеличение данного показателя для третьего этапа первой истории (общий эффект типа стимула F(6, 126) = 4.3860, p = 0.0005, σ2 = 0.39, post-hoc Bonferroni test p = 0.02) (рис. 5).
Рис. 5. (а) – снижение ЧСС к концу первой истории – В (А – первый этап первой истории; Б – второй этап первой истории; В – третий этап и завершение первой истории; Г – вторая история; Д – третья история; Е – четвертая история). (б) – увеличение SDRR к концу первой истории – В
Fig. 5. (a) – decrease in heart rate by the end of the first story – В (A – the first stage of the first story; Б – the second stage of the first story; В – the third stage and completion of the first story; Г – the second story; Д – the third story; Е – fourth story). (б) – increase in SDRR by the end of the first story – В
Спектральная мощность ЭЭГ
У детей дошкольного возраста по сравнению со школьниками мощность медленно-волновой активности была значимо больше (общий эффект группы F(1, 21) = 5.674, p = 0.0046). Значимые различия между фоновой записью и массажными процедурами были обнаружены только на частоте дельта (2–4 Гц) и тета1-ритма (4–6 Гц) и только у школьников. Так, мощность 2–6 Гц (диапазоны 2–4 и 4–6 Гц были объединены) была значимо больше по сравнению с фоном (смешанный эффект группа* тип стимула F(6, 126) = 3.301, p = 0.0047, η2 = 0.13) для второго этапа первой истории (LSD test; p < 0.0001) и для третьей и четвертой историй (LSD test; p < 0.0013). Значимых межгрупповых различий, а также различий между фоном и стимуляцией по остальным частотным диапазонам обнаружено не было (рис. 6 (в)).
Рис. 6. Изменение показателя ПЧА (а), ФР (б) и мощности медленно-волновой активности (в) при различных видах массажных движений (А – Е) и в состоянии покоя (фон). А – первый этап первой истории, Б – второй этап первой истории, В – третий этап первой истории, Г – вторая история, Д – третья история, Е – четвертая история
Fig. 6. Changes in the APF (a), FR (Б) and slow-wave activity power (В) with different types of massage movements (A – Е) and at rest (background). A – the first stage of the first story, Б – the second stage of the first story, В – the third stage of the first story, Г – the second story, Д – the third story, Е – the fourth story
Пиковая частота альфа-ритма (ПЧА)
Пиковая частота альфа-ритма (ПЧА) у школьников значимо уменьшалась по сравнению с фоновой записью (смешанный эффект группа* тип стимула F(6, 126) = 3.026, p = 0.0084, η2 = 0.13). Post hoc анализ выявил значимые различия по сравнению с фоном для всех типов тактильной стимуляции (LSD test; p < 0.017) только в группе школьников в теменно-затылочных областях, у дошкольников различи ПЧА между фоном и тактильной стимуляцией отсутствовали (p > 0.6) (рис. 6 (а)).
Фрактальная размерность
Фрактальная размерность (ФР) была значимо больше у детей дошкольного возраста по сравнению со школьниками (общий групповой эффект F(1, 21) = 16.002, p = 0.0007) во всех отведениях. При этом значимое уменьшение ФР при предъявлении тактильной стимуляции по сравнению с фоном были обнаружены во фронтальных областях только у детей дошкольного возраста (смешанный эффект группа* тип стимула F(6, 126) = 3.881, p = 0.0033 η2 = 0.14). Post hoc анализ выявил значимые различия по сравнению с состоянием покоя только для второго и третьего этапа первой истории и второй истории (LSD test; p < 0.028). У школьников значимые различия не были обнаружены (рис. 6 (б)).
Корреляционный анализ
Результаты корреляционного анализа между показателями ЭЭГ и поведенческими шкалами свидетельствуют о наличии значимой связи между ФР во фронтальных областях для второго и третьего этапа первой истории и второй истории у дошкольников коррелирует с количеством баллов по поведенческой шкале вначале исследования (r > 0.53, p < 0.001) (табл. 4).
Таблица 4. Изменения в показателях пульса и ЭЭГ в зависимости от типа движений
Table 4. Changes in pulse and EEG indicators depending on the type of movements
Показатели пульса и ЭЭГ | Тип движений | |||||
Мягкие | Быстрые | Мягкие – статичные | Точечные – ритмичные | Ритмичные – проминающие – мягкие | Мягкие – проминающие | |
ЧСС | – | – | ||||
SDRR | + | |||||
ПЧА* | – | – | – | – | – | – |
ФР** | – | – | – | |||
2–6 Гц* | + | + | + | |||
“+” – увеличение по сравнению с фоном, “–” – уменьшение по сравнению с фоном. * – изменения выявленные только у школьников, ** – изменения, выявленные только у дошкольников.
“+” – increase compared to the background, “–” – decrease compared to the background. * – changes identified only in schoolchildren, ** – changes identified only in preschoolers.
ОБСУЖДЕНИЕ РЕЗУЛЬТАТОВ
Результаты исследования показали, что у детей обеих возрастных групп (дошкольников и школьников) наблюдалось расслабление в ходе массажа, которое проявлялось как на поведенческом уровне, так и на уровне вегетативной нервной системы и изменений ЭЭГ. При этом, разные типы массажных движений вызывали различную динамику ЭЭГ и ЧСС, которая также отличалась между двумя возрастными группами (табл. 4).
Одним из ЭЭГ-маркеров расслабления и возбуждения является изменение пиковой частоты альфа-ритма: ПЧА снижается в состояниях релаксации, медитации и усталости и увеличивается при повышенном эмоциональном и когнитивном возбуждении (Mierau, 2017). Более того, в наших ранних исследованиях мы показали, что уменьшение ПЧА у взрослых добровольцев при приятных мягких поглаживаниях сопровождается увеличением уровня окситоцина в слюне и субъективным ощущением расслабления (Portnova, 2020). Уменьшение данного показателя в нашем исследовании наблюдается только у детей школьного возраста при всех типах тактильной стимуляции. Отсутствие подобных изменений у детей дошкольного возраста может быть объяснено по-разному. Во-первых, можно предположить, что у детей дошкольного возраста не наблюдается эффект расслабления при проведении массажа в ходе исследования. Однако в ходе исследования мы видим динамику и поведенческих показателей и динамику ЧСС, свидетельствующую о схожей реакции школьников и дошкольников во время проведения исследования. Другой причиной отсутствия значимого уменьшения ПЧА при расслаблении у детей дошкольного возраста может быть продолжающийся процесс формирования корковых ритмов. Так, многие исследования свидетельствуют о том, что изменение ритмов зрительного и сенсомоторного покоя в ответ на предъявление эмоционально значимых стимулов формируется в процессе взросления ребенка (Portnova, Atanov, 2016).
Как уже было сказано выше, показатели состоя ния вегетативной нервной системы и изменение в поведении дошкольников свидетельствуют о том, что массажные движения влияют на них успокаивающе. Помимо этого, несмотря на неизменность ПЧА, электроэнцефалографические признаки расслабления в этой группе все же были получены при анализе ФР. Также ФР является одним из электроэнцефалографических показателей возбуждения. Как было показано в предшествующих исследованиях увеличение ФР при восприятии эмоциональных стимулов связано с аффективной реакцией на этот стимул (Hagerhall, 2015; Portnova, Atanov, 2018; Bornas, 2013), а в состоянии покоя отражает уровень возбуждения человека и его общее психоэмоциональное состояние (Portnova, 2018), связанное с тем, насколько он встревожен, испуган и т. д.
В данном исследовании мы обнаружили, что ФР уменьшается ко второй части первой истории и во второй истории. Именно для этих временных интервалов у дошкольников обнаружена корреляция ФР во фронтальных областях с общим поведенческим возбуждением вначале исследования. Данная корреляционная зависимость может быть интерпретирована следующим образом: если ребенок был перевозбужден вначале исследования, то ему хуже удавалось расслабиться в ходе массажных процедур. Литературные данные свидетельствуют о том, что чрезмерное физиологическое возбуждение, характерное, например, для детей с СДВГ (Imeraj et al., 2011) мешает доступу к активации СТ-системы и, соответственно, расслаблению от легкого прикосновения (Courtney, Nolan, 2017). Для преодоления возбуждения, по видимому, требуется другой вид тактильной стимуляции – глубокое аффективное прикосновение (Case et al., 2021), которое не было предусмотрено в процедуре настоящего исследования. Также можно предположить, что восприятию аффективного прикосновения, и как следствие – расслаблению, препятствует активация когнитивных процессов у испытуемых в процессе стимуляции. Вербальная оценка получаемого массажа и собственного самочувствия между историями может отвлекать от восприятия аффекта.
Отсутствие данной закономерности у детей младшего школьного возраста, возможно, свидетельст вуют о несколько иных механизмах расслабления как на уровне ЭЭГ, так и на поведенческом уровне. Дети дошкольного возраста и школьники находятся в разной социокультурной ситуации: дошкольники меньше ограничены в телесном контакте с родителями, но при этом, могут иметь меньший круг общения, тогда как для школьников большее значение имеют нормы социального взаимодействия с другими людьми, которые распространяются как на членов семьи, так и на представителей социума за рамками семьи (Леонтьев, 1977). В дополнение к этому, эффект от активации СТ-системы, реализующийся через эмоциональное восприятие тактильной стимуляции, зависит от стремления самого субъекта к получению приятных переживаний от прикосновения (Schirmer, 2023). Вероятно, потребность в аффективном прикосновении у школьников выше в связи с отсутствием у них полноценного доступа к игровой деятельности (Теплова, Чернушевич, 2021), которая сопряжена с тактильным взаимодействием с другими.
Что касается типа массажных движений, то при предъявлении двух последних историй (№3 “Испечем пирог” и №4 “Расчешем лошадку”), включающих в себя мягкие движения, но с ритмичным или проминающим компонентом, то значимые изменения ЭЭГ наблюдались только в группе детей школьного возраста и сопровождались уменьшением ПЧА и увеличением мощности медленно-волновой активности. Таким образом, несмотря на то, что массажные движения, предъявляемые в третьей и четвертой истории субъективно воспринимались школьниками как приятные, по вызываемым изменениям ЭЭГ они не соответствуют типичному СТ-оптимальному воздействию и сочетают в себе как изменения, свидетельствующие о расслаблении, в частности снижение ПЧА (Portnova, 2020), так и увеличение тета-ритма и ЧСС, предположительно связанное с эмоциональной реакцией. Ранее, в работе von Mohr (von Mohr, 2018) было показано, что уменьшение тета-ритма у здоровых взрослых добровольцев связано с эмоциональной оценкой тактильных стимулов, которые соответствуют СТ-оптимальному воздействию. Однако увеличение тета-ритма в исследуемом диапазоне, согласно литературным данным, скорее свидетельствует об активации различных структур мозга, необходимых для регуляции эмоциональных состоя ний (Zouaoui et al., 2023; Lapomarda et al., 2022). При этом снижение частоты сердечных сокращений является наиболее частым физиологическим маркером положительной реакции на аффективное прикосновение (Manzotti, 2019; Van Puyvelde, 2019) и его увеличение при предъявлении двух последних историй также может свидетельствовать об аффективной реакции на ситуацию оценки предъявленной истории. В нашем исследовании ко второй истории в сравнении с фоном снижение ЧСС наблюдается в обеих группах, что сигнализирует об активации СТ-системы и расслаблении от воспринимаемой тактильной стимуляции. Мы предполагаем, что это связано с характеристиками предъявляемых стимулов: первые истории отличаются наибольшей пространственной изменчивостью, разнообразием траекторий движения и меньшей предсказуемостью (Schirmer, 2023; Lo, 2021), что оказывает влияние на восприятия приятности. При этом вскоре ЧСС возвращается до первоначального уровня в обеих группах, что вероятно, отражает, с одной стороны, физиологическое “привыкание” СТ-афферентов к восприятию и проведению информации об аффекте (Leventhal et al., 2007; Bendas et al., 2021), а с другой, предъявляемые стимулы в рамках 3 и 4 истории вызывают меньший расслабляющий и больший тонизирующий эффект.
Что касается низких значений ПЧА в последних двух историях, то в данном случае, предположительно, имела значение последовательность предъявления тактильных стимулов, в частности, наиболее расслабляющие и медленные движения предъявлялись в начале исследования, создавая более доверительный контекст, важный преимущественно для школьников, что, вероятно, связано с особенностями их социокультурной ситуации. В результате, хотя дети школьного возраста были более спокойны и сдержанны в поведении как до, так и после массажной стимуляции, однако в обеих группах наблюдается расслабление и изменение поведения детей и их отношения к экспериментатору, проводившему стимуляцию, они с большим интересом вступали в общение, отвечали на вопросы и задавали их сами. Таким образом, все типы игровых массажных движений приводили к снижению ПЧА у детей школьного возраста, что не было характерно для дошкольников. При этом чередование противоположных типов движений в начале стимуляции (мягко-статичные и точечно-ритмичные) оказало влияние на кратковременное снижение ЧСС у обеих групп, но снижение ФР в ответ на этот же тип стимуляции, предъявляемый в ходе 1 и 2 массажной истории, отмечено лишь в дошкольной группе.
ЗАКЛЮЧЕНИЕ
В ходе эксперимента реакция на тактильную стимуляцию была проявлена снижением ЧСС, уменьшением ПЧА, расслаблением на поведенческом уровне и положительными эмоциями на субъективно оценочном уровне. При этом возрастные особенности и тактильная насыщенность среды субъекта влияют на восприятие тактильной стимуляции в ходе эксперимента. Кроме того, показано, что пространственная изменчивость предъявляемых тактильных стимулов положительно влияет на показатели расслабления.
ВКЛАД АВТОРОВ
Е.А. Дыденкова – написание текста, обсуждение результатов; Е.В. Жукова, Г.М. Хайрулина – проведение эксперимента; Л.А. Майорова – редактирование текста статьи; Г.В. Портнова – статистическая обработка данных, обсуждение результатов.
ФИНАНСИРОВАНИЕ
Работа выполнена при поддержке гранта Российского научного фонда, проект № 22-15-00324 “Социальные тактильные контакты и их роль в психоэмоциональной реабилитации” (https://rscf.ru/en/project/22-15-00324/).
КОНФЛИКТ ИНТЕРЕСОВ
Авторы заявляют об отсутствии конфликта интересов.
СОБЛЮДЕНИЕ ЭТИЧЕСКИХ СТАНДАРТОВ
Данное исследование получило одобрение Этического комитета Государственного института русского языка им. А.С. Пушкина (№ 17-3-24-118 от 15.07.2022). Каждый родитель подписал письменное согласие на участие ребенка в исследовании. У каждого ребенка было запрошено устное согласие на экспериментальную тактильную стимуляцию.
УКАЗАНИЕ НА ДОСТУПНОСТЬ ПЕРВИЧНЫХ ДАННЫХ
Данные, представленные в настоящем исследовании, доступны по обоснованному запросу автору-корреспонденту.
About the authors
E. A. Dydenkova
State Institute of the Russian Language named after A.S. Pushkin; Kozma Minin Nizhny Novgorod State Pedagogical University
Author for correspondence.
Email: dydenkovaeva@gmail.com
Russian Federation, Moscow; Nizhny Novgorod
E. V. Zhukova
State Institute of the Russian Language named after A.S. Pushkin
Email: dydenkovaeva@gmail.com
Russian Federation, Moscow
G. М. Khairulina
Institute of Higher Nervous Activity and Neurophysiology of the Russian Academy of Sciences
Email: dydenkovaeva@gmail.com
Russian Federation, Moscow
L. A. Mayorova
State Institute of the Russian Language named after A.S. Pushkin; Institute of Higher Nervous Activity and Neurophysiology of the Russian Academy of Sciences
Email: dydenkovaeva@gmail.com
Russian Federation, Moscow; Moscow
G. V. Portnova
State Institute of the Russian Language named after A.S. Pushkin; Institute of Higher Nervous Activity and Neurophysiology of the Russian Academy of Sciences
Email: dydenkovaeva@gmail.com
Russian Federation, Moscow; Moscow
References
- Дыденкова Е.А., Теплова А.Б. Традиционная игра как условие проявления сорадования у детей 8–9 лет. Комплексные исследования детства. 2023. 5(1): 64-75. https://doi.org/10.33910/2687-0223-2023-5-1-64-75
- Леонтьев А.Н. Деятельность. Сознание. Личность (idem). М., 1977.
- Теплова А.Б., Чернушевич В.А. Аксиологический и методологический анализ народных игр. Психолого-педагогические исследования, 2021. 13 (4): 22–38. https://doi.org/10.17759/psyedu.2021130402
- Портнова Г.В., Танькина О.А., Скороходов И.В., Шпицберг И.Л., Варламов А.А. ЭЭГ-корреляты особенностей восприятия тактильных стимулов у детей с расстройствами аутистического спектра. Современные технологии в медицине. 2019. 11(1): 169–176. https://doi.org/10.17691/stm2019.11.1.20
- Ackerley R., Olausson H., Wessberg J., McGlone F. Wetness perception across body sites. Neuroscience letters. 2012. 522(1): 73–77. https://doi.org/10.1016/j.neulet.2012.06.020
- Ackerley R., Wasling H. B., Liljencrantz J., Olausson H., Johnson R. D., Wessberg J. Human C-tactile afferents are tuned to the temperature of a skin-stroking caress. Journal of Neuroscience. 2014. 34(8): 2879–2883. https://doi.org/10.1523/JNEUROSCI.2847-13.2014
- Ackerley R., Saar K., McGlone F., Backlund Wasling H. Quantifying the sensory and emotional perception of touch: differences between glabrous and hairy skin. Frontiers in behavioral neuroscience. 2014. 8 (34). https://doi.org/10.3389/fnbeh.2014.00034
- Ackerley R. C-tactile (CT) afferents: evidence of their function from microneurography studies in humans. Current Opinion in Behavioral Sciences. 2022. 43: 95-100. https://doi.org/10.1016/j.cobeha.2021.08.012
- Ali S.H., Makdani A.D., Cordero M.I., Paltoglou A.E., Marshall A.G., McFarquhar M.J. Trotter P.D. Hold me or stroke me? Individual differences in static and dynamic affective touch. PloS one. 2023. 18(5): e0281253. https://doi.org/10.1371/journal.pone.0281253
- Bendas J., Ree A., Pabel L., Sailer U., Croy I. Dynamics of affective habituation to touch differ on the group and individual level. Neuroscience. 2021. 464: 44-52. https://doi.org/10.1016/j.neuroscience.2020.12.024
- Berchicci M., Zhang T., Romero L., Peters A., Annett R., Teuscher U., ... Comani S. Development of mu rhythm in infants and preschool children. Developmental neuroscience. 2011. 33(2): 130-143.
- Bornas X., Tortella-Feliu M., Balle M., Llabres J. Self-focused cognitive emotion regulation style as associated with widespread diminished EEG fractal dimension. Int J Psychol. 2013. 48: 695-703.
- Bremner A. J., Spence C. The development of tactile perception. Advances in child development and behavior. 2017. 52: 227-268. https://doi.org/10.1016/bs.acdb.2016.12.002
- Bowlby J. Maternal Care and Mental Health. Geneva, Switzerland: World Health Organization. 1952. P. 183. https://doi.org/10.1097/00001888-195107000-00034.
- Carozza S., Leong V. The role of affectionate caregiver touch in early neurodevelopment and parent–infant interactional synchrony. Frontiers in neuroscience. 2021. 14: 613378. https://doi.org/10.3389/fnins.2020.613378
- Case L.K., Liljencrantz J., McCall M.V., Bradson M., Necaise A., Tubbs J., Bushnell M.C. Pleasant deep pressure: expanding the social touch hypothesis. Neuroscience. 2021. 464: 3-11. https://doi.org/10.1016/j.neuroscience.2020.07.050
- Courtney A.J Nolan R.D. Touch in Child Counseling and Play Therapy. 2017. New York, NY: Routledge. ISBN 9781138638525.
- Croy I., Fairhurst M.T., McGlone F. The role of C-tactile nerve fibers in human social development. Current Opinion in Behavioral Sciences. 2022. 43: 20-26. https://doi.org/10.1016/j.cobeha.2021.06.010
- Croy I., Bierling A., Sailer U., Ackerley R. Individual variability of pleasantness ratings to stroking touch over different velocities. Neuroscience. 2021. 464: 33-43. https://doi.org/10.1016/j.neuroscience.2020.03.030
- Cruciani G., Zanini L., Russo V., Boccardi E., Spitoni G.F. Pleasantness ratings in response to affective touch across hairy and glabrous skin: a meta-analysis. Neuroscience Biobehavioral Reviews. 2021. 131: 88-95. https://doi.org/10.1016/j.neubiorev.2021.09.026
- Diego M.A., Field T. Moderate pressure massage elicits a parasympathetic nervous system response. International Journal of Neuroscience. 2009. 119(5): 630-638. https://doi.org/10.1080/00207450802329605
- Essick G.K., McGlone F., Dancer C., Fabricant D., Ragin Y., Phillips N., Jones T.,Guest S. Quantitative assessment of pleasant touch. Neuroscience Biobehavioral Reviews. 2010. 34(2): 192-203. https://doi.org/10.1016/j.neubiorev.2009.02.003
- Essick G.K., James A., McGlone F.P. Psychophysical assessment of the affective components of non-painful touch. Neuroreport. 1999. 10(10): 2083-2087. doi: 10.1097/00001756-199907130-00017
- Fairhurst M.T., Löken L., Grossmann T. Physiological and behavioral responses reveal 9-month-old infants’ sensitivity to pleasant touch. Psychological science. 2014. 25(5): 1124–1131. https://doi.org/10.1177/0956797614527114
- Field T. Social touch, CT touch and massage therapy: A narrative review. Developmental Review. 2019. 51: 123–145. https://doi.org/10.1016/j.dr.2019.01.002
- Field T., Diego M., Hernandez-Reif M. Massage therapy research. Developmental Review. 2007. 27(1): 75–89. https://doi.org/10.1016/j.dr.2005.12.002
- Hsiao S. Central mechanisms of tactile shape perception. Current opinion in neurobiology. 2008. 18(4): 418–424. https://doi.org/10.1016/j.conb.2008.09.001
- Hurlemann R., Scheele D. Dissecting the role of oxytocin in the formation and loss of social relationships. Biological Psychiatry. 2016. 79(3): 185–193. https://doi.org/10.1016/j.biopsych.2015.05.013
- Imeraj L., Antrop I., Roeyers H., Deschepper E., Bal S., Deboutte D. Diurnal variations in arousal: a naturalistic heart rate study in children with ADHD. European child adolescent psychiatry. 2011. 20: 381–392. https://doi.org/ 10.1007/с00787-011-0188-у
- Johnson K.O., Yoshioka T., Vega-Bermudez F. Tactile Functions of Mechanoreceptive Afferents Innervating the Hand. Journal of Clinical Neurophysiology. 2000. 17(6): 539–558. https://doi.org/ 10.1097/00004691-200011000-00002
- Kandel E., Schwartz H., Jessell M., Siegelbaum S., Hudspeth A., Mack S. Principles of neural science. 2000. New York: McGraw-hill. Jan.
- Lapomarda G., Valer S., Job R., Grecucci A. Built to last: Theta and delta changes in resting‐state EEG activity after regulating emotions. Brain and Behavior. 2022. 12(6): e2597. https://doi.org/10.1002/brb3.2597
- Leventhal A., Martin R., Seals R., Tapia E., Rehm L. Investigating the dynamics of affect: Psychological mechanisms of affective habituation to pleasurable stimuli. Motivation and Emotion. 2007. 31: 145–57. https://doi.org/10.1007/s11031-007-9059-8
- Lo C., Chu S.T., Penney T.B., Schirmer A. 3D hand-motion tracking and bottom-up classification sheds light on the physical properties of gentle stroking. Neuroscience. 2021. 464: 90–104. https://doi.org/10.1016/j.neuroscience.2020.09.037
- Löken L.S., Wessberg J., Morrison I., McGlone F., Olausson H. Coding of pleasant touch by unmyelinated afferents in humans. Nature neuroscience. 2009. 12(5): 547–548. https://doi.org/10.1038/nn.2312
- Manzotti A., Cerritelli F., Esteves J.E., Lista G., Lombardi E., La Rocca S., Gallace A., McGlone F.P.,Walker S.C. Dynamic touch reduces physiological arousal in preterm infants: A role for c-tactile afferents? Developmental Cognitive Neuroscience. 2019. 39: 1–7. https://doi.org/10.1016/j.dcn.2019.100703
- Marshall A.G., Sharma M.L., Marley K., Olausson H., McGlone F. Spinal signalling of C-fiber mediated pleasant touch in humans. eLife. 2019. 8:e51642. https://doi.org/10.7554/eLife.51642
- McGlone F., Wessberg J., Olausson H. Discriminative and affective touch: sensing and feeling. Neuron. 2014. 737–755. https://doi.org/10.1016/j.neuron.2014.05.001
- McGlone F., Vallbo A.B., Olausson H., Loken L., Wessberg J. Discriminative touch and emotional touch. Canadian Journal of Experimental Psychology. Revue canadienne de psychologie expérimentale. 2007. 3: 173–183. https://doi.org/10.1037/cjep2007019
- McIntyre S., Nagi S.S., McGlone F., Olausson H. The effects of ageing on tactile function in humans. Neuroscience. 2021 464: 53–58. https://doi.org/10.1016/j.neuroscience.2021.02.015
- Mierau A, Klimesch W, Lefebvre J. State-dependent alpha peak frequency shifts: Experimental evidence, potential mechanisms and functional implications. Neuroscience. 2017. 360: 146–154. https://doi.org/10.1016/j.neuroscience.2017.07.037
- Mierau A., Felsch M., Hülsdünker T., Mierau J., Bullermann P., Weiß B., Strüder H. K. The interrelation between sensorimotor abilities, cognitive performance and individual EEG alpha peak frequency in young children. Clinical Neurophysiology. 2016. 127(1): 270–276.
- Montague A. Touching: The human significance of the skin. 1986. Harper Row.
- Morrison I., Löken L. S., Olausson H. The skin as a social organ. Experimental brain research. 2010. 204: 305–314. https://doi.org/10.1007/s00221-009-2007-y
- Morrison I. CT afferent-mediated affective touch: brain networks and functional hypotheses. Affective touch and the neurophysiology of CT afferents. 2016. 195–208. https://doi.org/10.1007/978-1-4939-6418-5_12
- Mountcastle V. The sensory hand: neural mechanisms of somatic sensation. Harvard University Press. 2005. Dec 30.
- Olausson H., Lamarre Y., Backlund H., Morin C., Wallin B.G., Starck G. et al. Unmyelinated tactile afferents signal touch and project to insular cortex. Nature neuroscience. 2002. 5(9): 900–904. https://doi.org/10.1038/nn896
- Pawling R., Cannon P.R., McGlone F.P., Walker S.C. C-tactile afferent stimulating touch carries a positive affective value. PloS one. 2017. 12(3): 1–15.
- https://doi.org/10.1371/journal.pone.0173457
- Portnova G.V., Atanov M.S. Nonlinear EEG parameters of emotional perception in patients with moderate traumatic brain injury, coma, stroke and schizophrenia. AIMS Neurosci. 2018. 5: 221–235.
- Portnova G.V., Atanov M.S. Age-dependent changes of the EEG data: comparative study of correlation dimension D2, spectral analysis, peak alpha frequency and stability of rhythms. International Journal of Innovative Research in Computer Science Technology. 2016. 4(2).
- Portnova G.V., Maslennikova A.V., Proskurnina E.V. The Relationship between Carotid Doppler Ultrasound and EEG Metrics in Healthy Preschoolers and Adults. Brain Sciences. 2020. 10(10): 755.
- Portnova G.V., Proskurnina E.V., Sokolova S.V., Skorokhodov I.V., Varlamov A.A. Perceived pleasantness of affective touch in healthy individuals is related to salivary oxytocin response and EEG markers of arousal. Experimental Brain Research. 2020. 238: 2257–2268. https://doi.org/10.1007/s00221-020-05891-y
- Reece C., Ebstein R., Cheng X., Ng T., Schirmer A. Maternal touch predicts social orienting in young children. Cognitive Development. 2016. 39: 128–140. https://doi.org/10.1016/j.cogdev.2016.05.001
- Schirmer A., Lai O., Cham C., Lo C. Velocity-tuning of somatosensory EEG predicts the pleasantness of gentle caress. NeuroImage. 2023. 265: 119811. https://doi.org/10.1016/j.neuroimage.2022.119811.
- Sailer U., Leknes S. Meaning makes touch affective. Current Opinion in Behavioral Sciences. 2022. 44: 101099. https://doi.org/10.1016/j.cobeha.2021.101099
- Schirmer A., Cham C., Lai O., Le T.-l.S., Ackerley R. Stroking trajectory shapes velocity effects on pleasantness and other touch percepts. Journal of Experimental Psychology: Human Perception and Performance. 2023. 49(1): 71–86. https://doi.org/10.1037/xhp0001079
- Srinivasan R. Spatial structure of the human alpha rhythm: global correlation in adults and local correlation in children. Clinical Neurophysiology. 1999. 110(8): 1351–1362.
- Schwarz C. The slip hypothesis: tactile perception and its neuronal bases. Trends in neurosciences. 2016. 39(7): 449–462. https://doi.org/10.1016/j.tins.2016.04.008
- Walker S.C., Cavieres A., Peñaloza-Sancho V., El-Deredy W., McGlone F. Dagnino-Subiabre A. C‐low threshold mechanoa fferent targeted dynamic touch modulates stress resilience in rats exposed to chronic mild stress. European Journal of Neuroscience. 2022. 55(9): P. 1–14. https://doi.org/10.1111/ejn.14951
- Vallbo A.B., Johansson R.S. Properties of cutaneous mechanoreceptors in the human hand related to touch sensation. Hum neurobiol. 1984. 3(1): 3–14.
- Van Puyvelde M., Gorissen A.S., Pattyn N., McGlone F. Does touch matter? The impact of stroking versus non-stroking maternal touch on cardio-respiratory processes in mothers and infants. Physiology behavior. 2019. 207: 55–63. https://doi.org/10.1016/j.physbeh.2019.04.024
- Von Mohr M., Crowley M.J., Walthall J. EEG captures affective touch: CT-optimal touch and neural oscillations. Cogn Affect Behav Neurosci. 2018. 18: 155–166. https://doi.org/10.3758/s13415-017-0560-6.
- Wijaya M., Lau D., Horrocks S., McGlone F., Ling H., Schirmer A. The human “feel” of touch contributes to its perceived pleasantness. Journal of Experimental Psychology: Human Perception and Performance. 2020. 46(2): 155–171.
- https://doi.org/10.1037/xhp0000705
- WHO Immediate KMC Study Group. Immediate “kangaroo mother care” and survival of infants with low birth weight. New England Journal of Medicine. 2021. 384(21): 2028–2038. https://doi.org.10.1056/NEJMoa2026486
- Yu J., Yang J., Yu Y., Wu Q., Takahashi S., Ejima Y., Wu J. Stroking hardness changes the perception of affective touch pleasantness across different skin sites. Heliyon. 2019. 5(8). https://doi.org/10.1016/j.heliyon.2019.e02141
- Yu H., Miao W., Ji E., Huang S., Jin S., Zhu X. et al. Social touch-like tactile stimulation activates a tachy kinin 1-oxytocin pathway to promote social interactions. Neuron. 2022. 110(6): 1051–1067. https://doi.org/10.1016/j.neuron.2021.12.022
- Zouaoui I., Zellag M., Hernout J., Dumais A., Potvin S., Lavoie M. E. Alpha and theta oscillations during the cognitive reappraisal of aversive pictures: A spatio-temporal qEEG investigation. International Journal of Psychophysiology. 2023. 192: 13–25. https://doi.org/10.1016/j.ijpsycho.2023.07.001
Supplementary files








