Retention of verbal and nonverbal information in the working memory. An analysis of functional and effective connectivity
- Authors: Kurgansky А.V.1,2,3, Korneev A.A.1,4, Lomakin D.I.1, Machinskaya R.I.1,3
-
Affiliations:
- Institute of Child Development
- Institute of Higher Nervous Activity and Neurophysiology, Russian Academy of Sciences
- The Presidential Academy (RANEPA)
- Moscow State University
- Issue: Vol 74, No 2 (2024)
- Pages: 223-243
- Section: ФИЗИОЛОГИЯ ВЫСШЕЙ НЕРВНОЙ (КОГНИТИВНОЙ) ДЕЯТЕЛЬНОСТИ ЧЕЛОВЕКА
- URL: https://bakhtiniada.ru/0044-4677/article/view/262132
- DOI: https://doi.org/10.31857/S0044467724020076
- ID: 262132
Cite item
Full Text
Abstract
In this work we estimated differences in the structure of brain systems that ensure encoding and retention in working memory (WM) of two types of information: verbal (letters) and non-verbal (segments of an open broken line) sequences presented either statically or dynamically. Brain systems were characterized by the strength of functional and effective connections between eight approximately bilaterally symmetrical cortical loci, including the dorsolateral prefrontal cortex (dlPFC) and regions of the temporal (STG), parietal (IPS), and occipital (v2) cortices.
Using an 8-channel vector autoregressive model in the space of cortical EEG sources, it was shown in a group of subjects in whom high-density EEG was recorded that: (1) the brain organization of the WM when holding a sequence of letters differs from that when holding a sequence of broken line segments; (2) the brain organization of the WM depends on the mode of presentation of sequences: the strength of the functional connection is different during dynamic and static presentation of the sequence; (3) differences in the structure of functional and effective connections are not of a pronounced frequency-selective nature and are observed in all studied EEG frequency ranges from theta (4–8 Hz) to high-frequency gamma (50–60 Hz); (4) the most reliable differences between the task of retaining a sequence of letters and the task of retaining a sequence of broken line segments are observed in the alpha and beta frequency ranges during static visual presentation of sequences in the strength of functional connectivity measured using coherence between the left hemisphere dlPFC and the right hemisphere STG, as well as in theta range between the right hemisphere dlPFC and the left visual cortex v2; (5) the most reliable difference between static and dynamic presentation modes is observed in the task of holding broken line segments in the gamma frequency range (50–60 Hz) between the dlPFC in the right hemisphere and the left visual cortex v2.
Full Text
ВВЕДЕНИЕ
Запоминание и удержание в рабочей памяти (РП) серий различных элементов, в особенности последовательностей символов, с целью последующего узнавания этих серий или их двигательного воспроизведения – одна из рутинных когнитивных операций, многократно выполняемых человеком каждый день.
Рабочая память (РП) в различных психологических и нейрокогнитивных исследованиях, несмотря на их концептуальные различия (для обзора см. (Величковский Б.М., 2006; Величковский Б.Б., 2015; D’Esposito, Postle, 2015; Working memory: State of the science, 2021), определяется сходным образом как способность индивида кратковременно удерживать информацию, недоступную для непосредственного восприятия, преобразовывать эту информацию и использовать ее для осуществления целенаправленной (в том числе ментальной) активности.
Основная дискуссия авторов различных психологических моделей РП касается преимущественно вопросов о существовании ограниченного количества специфических кодов (вербальных, зрительно-пространственных, моторных, тактильных, обонятельных и пр.), в которые преобразуется и в которых хранится информация о возможности интеграции и модификации внутренних репрезентаций в процессе их удержания в РП, о роли процессов внимания, а также о роли долговременной памяти в формировании и использовании внутренних репрезентаций.
В настоящем исследовании мы не отдавали предпочтение какой-либо конкретной психологической концепции, а исходили из общих для разных моделей положений:
- РП – не унитарное образование, а система взаимосвязанных блоков. Так, в наиболее часто цитируемой многокомпонентной модели (multicomponent model) A. Baddeley (1974, 2021) РП описывается как единая система, состоящая из подчиненных управляющему механизму интерактивных компонентов (alliance of interactive components). Авторы модели встроенных процессов (embedded-processes model) (Li, Cowan, 2022) характеризуют РП как совокупность компонентов разума (ensemble of components of the mind), которые благодаря активирующим механизмам внимания временно удерживают ограниченное количество информации из долговременной памяти в доступном для использования виде. Модель разделения ресурсов (time-based resource-sharing model) (Barrouillet et al., 2010) предполагает объединение в структуре РП неспецифических по отношению к модальности стимула (domain general) механизмов внимания, которые распределяют ограниченные по времени ресурсы между процессами обработки и хранения информации, и специфического механизма вербального обеспечения удержания внутренних репрезентаций посредством повторяющегося артикулирования.
- Информация хранится в РП виде модально-специфических или домен-специфических кодов, которые являются результатом преобразования информации “на входе” или извлекаются из долговременной памяти, или образуются в результате сопоставления информации “на входе” со следами долговременной памяти. В любом случае предполагается обработка и преобразование качественно специфичной информации, т.е. существование в структуре РП домен-специфических компонентов (domain-specific components).
- По определению РП не только хранит нужную информацию, но и осуществляет оперирование с ней, необходимое для решения текущих задач деятельности, что предполагает преобразование внутренних репрезентаций в процессе их удержания в РП.
- Выбор, активация и поддержание активного состояния внутренних репрезентаций различной степени “удаленности” от сенсорного образа осуществляется домен-неспецифическими компонентами (domain-general), к которым относятся различные виды нисходящего контроля. Это механизмы внимания в моделях встроенных процессов и разделения ресурсов и управляющий механизм (central executive) в мультикомпонентной модели.
Выявление нейрофизиологических механизмов, лежащих в основе РП, представляет собой значительную трудность в силу чрезвычайно высокой вариативности как поведенческих, так и нейрофизиологических данных – полученные результаты зависят от используемой экспериментальной парадигмы (Frost et al., 2021), от сенсорной модальности стимулов (Fougnie, Marois, 2008; Li, Cowan, 2022) и от той цели, с которой последовательность запоминается, в частности от того, каким образом последовательность будет воспроизведена (Absatova et al., 2016). Вместе с тем фМРТ-исследования свидетельствуют в пользу существования домен-специфических компонентов мозговой организации РП. Эти исследования не только подтвердили наличие домен-специфичных изменений активности мозга при удержании релевантной информации, но и выявили вовлечение в этот процесс сенсорно-специфических зон, что послужило основанием для появления нейрокогнитивных моделей РП, получивших название модели сенсомоторного рекрутирования (sensorimotor recruitment models of working memory) (D’Esposito, Postle, 2015; Postle, 2021). Не менее убедительны многочисленные фМРТ-свидетельства участия модулирующих домен-неспецифичных систем в обеспечении процессов РП. Это касается прежде всего систем избирательного нисходящего контроля с участием префронтальных и теменных ассоциативных зон, а также подкорковых структур – стриапалидарной системы и таламуса (Gazzaley et al., 2004; Ikkai, Curtis, 2011). Участие фронто-париетальных систем избирательного внимания в обеспечении домен-неспецифичных компонентов РП демонстрируется и ЭЭГ-исследованиями, использующими как анализ связанной с событиями активности (Фарбер и др., 2011), так и анализ спонтанной ритмической активности (Freunberger et al., 2009; Sauseng et al., 2009; Kawasaki, 2010).
Основным вопросом серии исследований РП, частью которой является и данная работа, является вопрос о возможности преобразований внутренних репрезентаций в процессе их удержания в рабочей памяти. В наших предыдущих работах мы исследовали динамику сохраняемой в РП репрезентации ломаной линии для ее отсроченного воспроизведения (Корнеев и др., 2016а, б; Курганский и др., 2022). Мы анализировали характеристики двигательного воспроизведения (рисования) ломаной линии, состоящей из вертикальных и горизонтальных отрезков и рассматриваемой как последовательность таких элементов. Ломаные линии предъявлялись зрительно либо статически в виде рисунка, либо динамически – движением точки-курсора по этой невидимой испытуемому ломаной. Процесс преобразования информации в РП исследовался в парадигме отсроченного воспроизведения в ответ на предъявление императивного сигнала, задержанного на разное время относительно момента предъявления ломаной линии. Полученные данные указывают на то, что с течением времени внутренняя репрезентация ломаной линии претерпевает спонтанные изменения: происходит ее перекодирование из изначальных перцептивных кодов в более абстрактные коды, причем этот процесс перекодирования протекает неодинаково при статическом и динамическом предъявлении ломаной. Об этом свидетельствуют как поведенческие (Корнеев и др., 2016а), так и электрофизиологические данные (Корнеев и др., 2016б; Курганский и др., 2022) – с ростом задержки императивного сигнала закономерным образом изменяется время реакции на императивный сигнал, а также отдельные компоненты связанных с событиями потенциалов и амплитуда их дипольных корковых источников.
Для того чтобы выяснить, происходит ли подобная спонтанная трансформация внутренней репрезентации последовательности, если эта последовательность состоит из элементов другой природы, был выполнен эксперимент, в котором наряду с ломаными линиями испытуемые должны были воспроизвести последовательности букв, предъявляемых также в двух режимах: статическом и динамическом (Корнеев и др., 2022). Оказалось, что в случае последовательности букв нет поведенческих признаков трансформации внутренней репрезентации ни при статическом, ни при динамическом предъявлении последовательности.
В настоящей работе мы попытались выяснить, связаны ли (и если связаны, то как именно) наблюдаемые в наших предыдущих экспериментах различия в поведенческих параметрах РП при удержании серии букв и ломаной линии с различиями в структуре мозговых систем, обеспечивающей кодирование и удержание в РП этих двух видов информации.
Характер мозговой системы определяется составом участников этой системы и связями между ними (Gazzaley et al., 2004). В данном исследовании мы характеризовали структуру корковой части мозговой системы, обеспечивающей РП, посредством силы функциональных и эффективных связей между ее участниками. Многолетние исследования мозговой организации РП с помощью методов нейровизуализации и электрофизиологических методов указывают на то, что функционирование РП обеспечивается сложной распределенной системой взаимодействующих отделов мозга (Wager, Smith, 2003; Eriksson et al., 2015; D'Esposito, Postle, 2015), включающей не только классическую фронто-париетальную сеть, но и, например, передние отделы цингулярной коры (Lenartowicz, McIntosh, 2005), фронто-орбитальную кору (Barbey et al., 2011; Johnson et al., 2022), моторные отделы коры (Carpenter et al., 2018), а также миндалину и гиппокамп (Li et al., 2023). Более того, эта сложная распределенная мозговая система зависит от характера сохраняемой информации, причем не только в том случае, когда различия в природе сохраняемой информации являются достаточно грубыми (слуховая и зрительная информация), но и в случае весьма тонких и неочевидных различий, как между буквами и цифрами (Carreiras et al., 2015).
В настоящем исследовании мы ограничились измерением силы связей между теми корковыми структурами, которые, по данным литературы, являются непременными участниками мозговой организации РП вне зависимости от характера сохраняемой информации и могут играть существенную роль в ее перекодировании. Мы анализировали связи дорсолатеральной префронтальной коры (dlPFC), которая вовлечена в удержание в РП релевантной информации и играет важнейшую роль в ее мозговом обеспечении (Jackson et al., 2021; Bezdicek et al., 2021; Webler et al., 2022), с рядом областей, расположенных в височной, теменной и затылочной коре. В височной коре мы ограничились рассмотрением верхней височной извилины, которой принадлежит зона Вернике (Binder, 2015) и другие отделы оказываются вовлечены в процессы РП (Ahveninen et al., 2023). В теменной коре мы выбрали структуры внутритеменной борозды (IPS) и верхней теменной дольки (SPL), относительно которых известно, что они вносят существенный вклад в обеспечение РП (Koenigs et al., 2009; Mackey et al., 2016; Pennock et al., 2021). Что касается затылочной коры, то мы анализировали связи dlPFC с сенсорно-специфическими зрительными областями v1, v2 и v3, участвующими в обеспечении зрительной РП (Pratte, Tong, 2014; Yu, Postle, 2021; Zhao et al., 2022).
Подчеркнем, что, выбирая для последующего анализа связи dlPFC с корковыми структурами, лежащими вне пределов префронтальной коры, и игнорируя связи в ее пределах, мы исходили из того, что характер функционирования префронтальных корковых структур в широкомасштабной мозговой системе, обеспечивающей РП, не зависит от типа стимулов (Nystrom et al., 2000). Иными словами, мы a priori предполагали одинаковое участие левой и правой dlPFC в системе обеспечения РП для вербальной (буквы) и зрительно-пространственной (ломаные линии = “траектории”) информации, а возможные различия относили на счет более или менее выраженных связей этих областей с височной, теменной и затылочной корой.
Для оценки силы функциональных и эффективных связей мы воспользовались векторным авторегрессионным моделированием (ВАР-моделированием) активности корковых дипольных источников электроэнцефалограммы. Эта активность оценивалась с помощью метода решения обратной задачи электроэнцефалографии eLORETA (Pascual-Marqui et al., 2011), позволяющего преобразовать многоканальную ЭЭГ в дипольные моменты в небольших объемах корковой ткани – вокселах. ВАР-моделирование позволяет вычислить функцию когерентности (COH) как классическую меру частотно-специфической силы функциональной связи, а в качестве меры силы эффективной связи – функцию, аналогичную направленной когерентности (Baccalá, Sameshima, 2001; Курганский, 2010), – масштабно-независимый вариант направленной передаточной функции (Курганский, Григал, 2010).
Сила функциональных связей между dlPFC и остальными априорно выбранными нами корковыми локусами оценивалась с помощью 2-канальной ВАР-модели в период ожидания зрительного стимула и в период его удержания. В окончательную многоканальную ВАР-модель, характеризующую взаимодействия именно в период удержания стимула, отбирались только те области, для которых наблюдался наибольший контраст между предстимульным периодом и периодом удержания информации. Такой подход можно обосновать тем, что во многих исследованиях РП указывается на общность нейрональных механизмов неспецифического поддержания внимания к внешним текущим стимулам и поддержания активного состояния нейронных сетей при удержании информации в РП. В частности, в последней версии мультикомпонентной модели (Baddeley, 2021) управляющий механизм делится на два компонента: аналог перцептивного селективного внимания, который избирательно “выбирает” нужные следы в кратковременной памяти, и внутренний контроль, который обеспечивает постоянное поддержание внутренних репрезентаций разного уровня в активном “свежем” состоянии (refreshing). Второй компонент и по функции, и по нейрональным механизмам если не в точности тот же самый, что вовлекается при удержании неспецифического внимания при ожидании задачи, то очень близок к нему. На вовлечение механизмов неспецифического внимания в удержание внутренних репрезентаций в РП указывают также авторы модели встроенных процессов (Cowan et al., 2022) и модели разделения ресурсов (Barrouillet et al., 2010). Поскольку наша задача состояла в анализе сходства/ различия мозговой организации РП при удержании вербальных и невербальных последовательностей, представлялось целесообразным “вычесть” из анализируемых ЭЭГ-показателей неспецифические составляющие, которые характерны как для ожидания релевантной информации, так и для удержания ее в РП независимо от модальности.
МЕТОДИКА
Испытуемые
В эксперименте приняли участие 26 взрослых праворуких по самоотчету испытуемых (15 женщин и 11 мужчин) в возрасте от 21 года до 55 лет (32.2 ± 7.9 лет). Все испытуемые дали информированное согласие на участие в эксперименте. Протокол эксперимента был одобрен этической комиссией ФБГНУ “Институт возрастной физиологии Российской академии образования”.
Задача и стимулы
В ходе эксперимента испытуемые решали задачу на рабочую память – их просили запомнить предъявленную последовательность зрительных стимулов (отрезков прямой линии или букв), удерживать ее в РП в течение короткого интервала времени, а затем в ответ на предъявление императивного сигнала воспроизвести.
Последовательности были либо составлены из печатных заглавных согласных букв русского алфавита (LET), либо образованы вертикальными и горизонтальными отрезками прямой линии, вместе составлявшими незамкнутую ломаную линию, которую в предыдущих наших работах (Корнеев и др., 2016а, б; 2022; Курганский и др., 2022), а также в настоящей работе мы будем называть траекториями (TRJ). В случае LET длина последовательностей варьировала от 3 до 5 элементов, а в случае TRJ – от 4 до 6.
Последовательности предъявлялись в двух режимах – статическом (STAT) и динамическом (DYN). В статическом режиме последовательность предъявлялась одновременно вся целиком на фиксированное время (T = 2000 мс). В этом режиме в случае LET предъявлялась строчка букв, а в случае TRJ – рисунок ломаной. В динамическом режиме в случае LET буквы предъявлялись одна за другой, каждая на своем месте в строке. В случае TRJ вдоль невидимой траектории двигалось небольшое круглое пятно. В случае LET, так же как и в случае TRJ, время экспозиции одного элемента (буквы или отрезка) составляло 500 мс. Примеры буквенных последовательностей и траекторий можно найти в нашей предыдущей работе (Корнеев и др., 2022).
В качестве императивного сигнала (Go) к воспроизведению последовательности использовался короткий (100 мс) тональный звуковой сигнал. В случае LET одновременно с императивным сигналом появлялась строка ранее показанных для запоминания букв, перемешанных в случайном порядке. Воспроизведение заключалось в том, чтобы коснуться указательным пальцем правой руки изображений букв на сенсорном экране в том порядке, в котором они были предъявлены. В случае TRJ запомненную последовательность линий (траекторию) следовало просто нарисовать указательным пальцем правой руки на сенсорном экране компьютера.
Установка
Эксперимент проводился в полностью автоматическом режиме. Процедура проведения эксперимента была реализована с использованием пакета Psychtoolbox 3.0 в виде скрипта в вычислительной среде Octave 5.2.0 под управлением операционной системы Linux (дистрибутив Kubuntu). Управляющий скрипт выполнялся на компьютере Lenovo Yoga с сенсорным экраном (диагональ 14 дюймов, разрешение 1920 х 1080). Этот скрипт управлял предъявлением стимулов, регистрировал прикосновения и перемещения пальца испытуемого по экрану, а также управлял компьютерным электроэнцефалографом – включал и выключал запись ЭЭГ и в режиме реального времени информировал программу управления электроэнцефалографом о возникающих событиях (начало и конец предъявления стимула, прикосновение к сенсорному экрану).
Структура пробы и дизайн эксперимента
Эксперимент состоял из четырех блоков, каждый из которых соответствовал одному из четырех экспериментальных кросс-условий – одному из четырех возможных сочетаний модальности (LET и TRJ) и режима предъявления (STAT, DYN). Каждый блок включал в себя 48 проб. Пробы внутри каждого блока содержали последовательности разной длины (по 16 проб для каждой длины): последовательности букв состояли из 3, 4 или 5 элементов, а траектории – из 4, 5 или 6 элементов. В половине проб для последовательности каждой длины, каждой модальности в каждом режиме предъявления (16 проб) задержка императивного сигнала составляла 500 мс, а в другой половине – 3000 мс. Порядок проб с последовательностями разной длины внутри каждого блока был псевдослучайным, индивидуальным для каждого испытуемого. Порядок выполнения блоков также варьировался: половина испытуемых сначала выполняли блоки LET, а затем TRJ, а другая половина – наоборот.
Во всех четырех блоках типичная проба была организована сходным образом. Вначале на экране появлялся фиксационный крест, после чего предъявлялась последовательность стимулов для запоминания. Затем с псевдослучайно варьируемой задержкой в 500 или 3000 мс (после окончания последовательности) раздавался звуковой императивный сигнал, в ответ на который испытуемый должен был как можно быстрее и точнее воспроизвести предъявленную последовательность (рис. 1).
Рис. 1. Временная структура типичной пробы эксперимента. Вдоль оси времени слева направо, разделенные вертикальными линиями (SB – начало стимуляции; SE – окончание стимуляции; Go – предъявление императивного сигнала), обозначены: этап престимульного внимания (ATT), период зрительной стимуляции – предъявления последовательности стимулов (STIM), этап удержания последовательности в рабочей памяти (RET) и этап двигательного воспроизведения удерживаемой последовательности в ответ на предъявление императивного сигнала (сигнал Go).
Над участком оси времени, соответствующим зрительной стимуляции, показаны два используемых типа зрительных последовательностей: строчки букв (LET) и ломаные линии, или “траектории” (TRJ), составленные из вертикальных и горизонтальных прямолинейных отрезков. Последовательность каждого типа предъявлялась либо в статическом (STAT), либо в динамическом (DYN) режиме (подробности – в тексте). Связи оценивались на отрезках длительностью 500 мс (обозначены – EEG); один из них соответствовал этапу ATT и непосредственно предшествовал началу стимуляции (SB), а другой состоял из первых 500 мс ЭЭГ сразу после окончания стимуляции (SE).
Fig. 1. Temporal structure of a typical experimental trial. Along the time axis from left to right, shown are following stages of the trial separated by vertical lines (SB – start of stimulation; SE – end of stimulation; Go – presentation of an imperative signal) shown are: the stage of prestimulus attention (ATT), the period of visual stimulation – presentation of a sequence of stimuli (STIM), the stage of holding the sequence in working memory (RET) and the stage of motor reproduction of the retained sequence in response to the presentation of an imperative signal (Go signal).
Above the portion of the time axis corresponding to visual stimulation are shown the two types of visual sequences used: letter strings (LET) and broken lines or “trajectories” (TRJ), composed of vertical and horizontal straight segments. Each type of sequence was presented either statically (STAT) or dynamically (DYN) (details in the text). Connectivity was assessed in segments lasting 500 ms (marked with EEG label); one of them corresponded to the ATT phase and immediately preceded the start of stimulation (SB), and the other consisted of the first 500 ms of EEG immediately after the end of stimulation (SE).
Проведение эксперимента
До начала проведения эксперимента испытуемому объясняли, в чем состоит его задача. Каждый из четырех блоков предварялся устной инструкцией и короткой (4 пробы) тренировкой, которую могли повторить по просьбе испытуемого. Во время проведения эксперимента испытуемый сидел в кресле в затемненной камере. Сенсорный экран был расположен на таком расстоянии от него (40–45 см) и на такой высоте, чтобы было удобно рисовать пальцем на сенсорном экране. При этом до начала двигательного ответа испытуемый удерживал указательный палец в определенной позиции (home position) – касался небольшого прямоугольника на сенсорном экране.
Регистрация ЭЭГ
ЭЭГ высокой плотности записывалась при помощи компьютерного электроэнцефалографа (Electrical Geodesics, Inc.) в полосе частот 0.1–70 Гц (частота оцифровки 250 Гц) от 129 электродов, расположенных в узлах сетчатого шлема HydroCel GSN (HCGSN), один из которых (вертексный электрод) использовался в качестве референтного. Запись ЭЭГ контролировалась штатной компьютерной программой NetStation, которая, в свою очередь, запускалась дистанционно по протоколу TCP/IP скриптом, управлявшим проведением эксперимента.
Анализ ЭЭГ и подготовка к нему
Для анализа ЭЭГ и подготовки к нему использовались функциональные возможности spm12 (https://www.fil.ion.ucl.ac.uk/spm/software/spm12/), FieldTrip (https://www.fieldtriptoolbox.org/), BSMART (Cui et al., 2008), а также скрипты и функции, разработанные авторами настоящей работы в вычислительной среде Octave/Matlab.
Предварительная обработка ЭЭГ
Для дальнейшего анализа индивидуальные записи ЭЭГ и метки событий (начало и конец стимуляции, начало и конец императивного сигнала) извлекались из файлов, созданных управляющей программой электроэнцефалографа, и преобразовывались в формат (*.mat), который позволял обрабатывать сигнал с помощью написанных авторами скриптов для вычислительной среды Octave/Matlab.
На первом этапе индивидуальные данные анализировались визуально на предмет наличия “плохих” каналов, возникающих при потере соответствующим сенсором электрического контакта с кожным покровом головы. Номера этих каналов запоминались, и на более поздних этапах анализа соответствующие сигналы исключались из вычислений.
На следующем этапе с помощью заградительного фильтра из 128-канальной записи ЭЭГ удалялась сетевая наводка 50 Гц вместе с ее гармониками 100 и 150 Гц, а затем из непрерывной записи ЭЭГ выделялись отрезки длительностью 500 мс на (1) этапе престимульного внимания (ATT) и (2) этапе удержания в РП воспринятой последовательности стимулов (RET).
Из полученных наборов исключались отрезки, содержащие артефакты. Весь отрезок удалялся целиком в автоматическом режиме на основе порогового критерия: отрезок считался артефактным, если после удаления постоянной составляющей и последующей фильтрации в полосе частот 0.5–50 Гц амплитуда сигнала превышала 100 мкВ.
Отметим, что мы намеренно не использовали метод независимых компонент (ICA) для удаления основного вида помех – глазодвигательных артефактов. ICA удаляет глазодвигательные актефакты за счет обнуления одной или нескольких компонент, содержащих такие артефакты, т.е. фактически за счет вычитания (прибавления) некоторого общего сигнала из каждого канала. Добавление общего сигнала к сигналам, между которыми оцениваются функциональные и эффективные связи, приводит к изменению силы статистической связи между каналами; пример такого влияния приведен в (Курганский, 2010).
В силу необходимости иметь для последующего ВАР-моделирования достаточную суммарную длительность безартефактной ЭЭГ в каждом экспериментальном условии, в настоящей работе нам пришлось объединить пробы, соответствующие коротким и длинным интервалам ожидания императивного сигнала. В связи с этим мы не смогли проверить, происходит ли спонтанная трансформация внутренней репрезентации последовательности в задаче на удержание в РП последовательности букв. Даже объединив два этих экспериментальных условия, мы выявили только 17 испытуемых с полным набором данных по оставшимся экспериментальным условиям.
Отобранные безартефактные 500-миллисекундные отрезки ЭЭГ использовались для оценки нормальной проекции токовых векторов диполей в вокселах коры. Для этого (после преобразования каждого отрезка ЭЭГ к усредненному референту) использовался метод eLORETA (Pascual-Marqui et al., 2011), реализованный вместе с рядом вспомогательных процедур в программном пакете (toolbox) FieldTrip (https://www.fieldtriptoolbox.org/). Поскольку в нашем распоряжении не было ни индивидуальных структурных МРТ-изображений головы, ни положений сенсоров на скальпе, мы использовали стандартную модель головы и среднее положение электродов шлема HCGSN с 129 электродами, доступную в spm12. Учитывая значительные потенциальные систематические ошибки в определении распределения токовых диполей, мы использовали низкоразмерную версию разбиения коры на вокселы (5124 воксела в стандартной модели коры cortex_5124.surf.gii). Эти данные использовались сначала для вычисления матрицы L (leadfield matrix), связывающей токовые диполи с потенциалом на скальпе (прямая задача электроэнцефалографии), а затем для вычисления восстанавливающей матрицы W (unmixing matrix), позволяющей для каждого момента времени вычислить токовые диполи в отдельных вокселах корковой ткани по вектору значений потенциала на 129 сенсорах.
В дальнейшем анализе участвовали токовые диполи не во всех вокселах, а только в группах вокселов, принадлежащих выбранным заранее областям интереса (regions of interests, ROI) – ОИ.
Выбор областей интереса
В качестве ОИ были выбраны пары латерально-симметричных областей в префронтальной, височной, теменной и затылочной коре. Для выбора ОИ использовался стандартный анатомический атлас (Eickhoff et al., 2005), входящий в систему spm12 (SPM Anatomy Toolbox, Version 3.0). В дорсолатеральной префронтальной коре были выбраны две приблизительно латерально-симметричные ОИ, в верхней височной извилине височной коры также выбраны две ОИ; в теменной коре 5 пар ОИ, из которых три относятся к верхней теменной дольке и три – к внутретеменной борозде; в затылочной коре выбрано 7 пар ОИ – три пары в первичной зрительной коре v1 и по две пары в v2 и v3.
В табл. 1 перечислены все выбранные ОИ, даны их краткие обозначения и приведены MNI-координаты их центров. В качестве границы ОИ использовалась сфера радиусом 10 мм. При этом в качестве принадлежащих данной ОИ рассматривались все вокселы, расположенные внутри такой сферы, при условии, что они принадлежали одному и тому же полушарию (если сфера с центром в одном полушарии частично охватывала вокселы другого полушария, то последние исключались из ОИ). Дальнейшему анализу подвергались не временные ряды отдельных вокселов, а сигнал, характеризующий активность всех вокселов данного ОИ. В качестве такого сигнала использовалась первая главная компонента (компонента, характеризуемая наибольшей дисперсией) разложения всей совокупности временных рядов данного ОИ на главные компоненты (PCA-разложение).
Таблица 1. Корковые области интереса
Table 1. Cortical regions of interest
Регион коры | Обозначение | № ОИ внутри региона | MNI-координаты центра области в левом полушарии | MNI-координаты центра области в правом полушарии |
Дорсолатеральная префронтальная кора | dlPFC | 1 | –43.5 29.5 33.4 | 44.3 18.6 46.2 |
Верхняя височная извилина | STG | 1 | –61.2 0.1 –4.5 | 62.8 0.1 -3.3 |
2 | –57.2 –8.8 –4.9 | 56 –4.7 –7.7 | ||
Внутритеменная борозда | IPS | 1 | –34.2 –48.6 42.2 | 34.2 –46.6 45.4 |
2 | –34.2 –68.3 45.8 | 38.7 –63.5 45.8 | ||
3 | –30.2 –73.1 35.4 | 34.2 –70.3 37.0 | ||
Верхняя теменная долька | SPL | 1 | –11.3 –70.3 57.9 | 14.9 –71.1 61.5 |
2 | –6.4 –74.7 55.1 | 14.9 –76.3 52.3 | ||
Зрительная кора v1 | v1 | 1 | –7.7 –97.2 2.0 | 14.5 –98.0 2.0 |
2 | –8.5 –88.8 2.0 | 11.7 –84.8 2.0 | ||
3 | –18.5 –65.9 2.0 | 18.5 –62.6 2.0 | ||
Зрительная кора v2 | v2 | 1 | –7.7 –94.0 –12.1 | 29.8 –98.8 –2.5 |
2 | –7.7 –97.6 15.3 | 18.9 –98.8 15.3 | ||
Зрительная кора v3 | v3 | 1 | –19.7 –90.4 –12.5 | 23.0 –87.2 –11.3 |
2 | –17.3 –90.0 21.3 | 20.5 –87.2 29.7 |
Выбор нескольких ОИ в пределах одной анатомической структуры (например, три пары ОИ в пределах первичной зрительной коры v1) обусловлен тем, что a priori не ясно, какая именно область корковой зоны участвует в обеспечении функции рабочей памяти.
Часть результатов настоящего исследования составлял выбор подмножества наиболее реактивных из перечисленных ОИ для построения векторной авторегрессионной модели, совместной с суммарной длительностью имеющихся безартефактных ЭЭГ-данных. Исходное число ОИ (2 + 8 + 10 + 14 = 34 области) слишком велико для имеющихся ограниченных по объему данных.
Оценка функциональных и эффективных связей
Для оценки функциональных связей использовалась стандартная парная функция когерентности COH, а для оценки эффективных (направленных) связей – масштабно-независимая направленная передаточная функция (directed transer funtion – DTF), качественно совпадающая с направленной когерентностью и характеризующая долю, которую один канал вносит в спектральную мощность другого канала (Курганский, 2010).
Эти функции вычислялись на основе коэффициентов векторной авторегрессионной модели (ВАР-модели), определяемых с помощью BSMART (Cui et al., 2008) для последовательности многоканальных отрезков сигналов в пространстве источников – сигналов, найденных с помощью метода eLORETA в отдельных вокселах ОИ. Набор функций BSMART позволяет оценивать коэффициенты ВАР-модели для множества одинаковых по длине, но не составляющих непрерывную запись многоканальных отрезков ЭЭГ.
В результате процедуры исключения артефактной ЭЭГ у разных испытуемых и в разных экспериментальных кросс-условиях оказалось разное число безартефактных отрезков. Оценка силы функциональной и эффективной связи для записей ЭЭГ разной суммарной длины приводит к различному статистическому смещению – чем короче запись, тем больше величина смещения (Курганский, 2010). Для того чтобы обеспечить одинаковое статистическое смещение оценок функциональных и эффективных связей у разных испытуемых и в разных экспериментальных условиях (во всех ячейках дизайна эксперимента), применялся следующий прием. На основе анализа длительностей безартефактной ЭЭГ была выбрана одинаковая для всех испытуемых и всех условий “стандартная” суммарная длительность электроэнцефалограммы . Эта длительность выбиралась из компромиссных соображений. С одной стороны, она должна быть достаточно большой, так, чтобы число подлежащих определению свободных параметров ВАР-модели было бы как минимум на порядок меньше числа отсчетов многоканальной ЭЭГ. С другой стороны, Teeg -длительность должна быть как можно меньше, чтобы минимизировать число отдельных кросс-условий, для которых не удалось определить параметры ВАР-модели. Аналогичные компромиссы приходится делать при выборе порядка ВАР-модели (чем выше порядок ВАР-модели, тем выше частотное разрешение, но при этом требуется запись данных большей длины) и максимального числа каналов M (число свободных параметров модели пропорционально квадрату числа каналов). В настоящей работе были выбраны следующие значения этих величин: число каналов M = 8, порядок модели P = 10 и стандартная длительность записи Teeg = 5 С (10 сегментов по 500 мс каждый).
При таких значениях число подлежащих опделению свободных параметров ВАР-модели оказывается при частоте оцифровки F = 250 Гц почти в 16 раз меньше числа доступных отсчетов ЭЭГ .
Процедура оценки индивидуальных функций COH и DTF для каждого испытуемого и каждого кросс-условия (каждого из 8 сочетаний уровней факторов ЭТАП, МОДАЛЬНОСЬ и РЕЖИМ) заключалась в следующем. Если длительность доступной последовательности безартефактных сегментов ЭЭГ была как минимум в полтора раза больше Teeg (не менее 15 сегментов), то из этой последовательности случайным образом (случайная выборка с возвращением) 20 раз выбиралась подпоследовательность из 10 сегментов. По каждой из 20 таких последовательностей определялись коэффициенты парциальной ВАР-модели и использовались для оценки наборов функций когерентности и направленной передаточной функции (i = 1, 2, … 20). Здесь i соответствует номеру последовательности, f – частоте. В качестве индивидуальных оценок функциональных и эффективных связей использовались средние по всем парциальным моделям оценки когерентности и передаточной функции:
,
.
Статистический анализ функциональных и эффективных связей
Статистическому анализу подвергались усредненные в 7 смежных частотных диапазонах: θ, α, β1, β2, γ1, γ2, γ3 – значения функций COH(f) и DTF(f) для префронтально-височных (F-T), префронтально-теменных (F-P) и префронтально-затылочных (F-O) пар ОИ. В качестве границ диапазонов для θ, α, β1, β2, γ1, γ2, γ3 были выбраны соответственно: 4–8, 8–13, 13–20, 20–30, 30–40, 40–50, 50–60 Гц.
Мы исследовали, зависят ли величины COH и DTF от следующих факторов: задачи – TASK (LET, TRJ); режима зрительного предъявления последовательности – MODE (STAT, DYN); частотной полосы – FBAND (θ, α, β1, β2, γ1, γ2, γ3); полушария, в котором располагался ОИ в dlPFC, – HEM_F (L, R); области коры, с которой взаимодействовала dlPFC, – TPO (F-T, F-P, F-O) и полушария, в котором находилась ОИ TPO, – HEM_TPO (L, R).
Омнибус-тесты выполнялись на основе дисперсионного анализа по схеме с повторными измерениями (rmANOVA), а post hoc тестирование выполнялось как с помощью rmANOVA, так и тестов Стьюдента для связанных выборок.
РЕЗУЛЬТАТЫ ИССЛЕДОВАНИЙ
Исследование состояло из двух основных частей. Первая часть была посвящена выбору ОИ, наиболее вовлеченных в обеспечение РП. Во второй части отобранные наиболее вовлеченные ОИ использовались для построения многоканальной ВАР-модели, которая, в свою очередь, использовалась для оценки функциональных и эффективных связей между этими ОИ.
Выбор ОИ, наиболее вовлеченных в процессы рабочей памяти
В качестве меры вовлеченности ОИ в процессы РП использовалась t-статистика Стьюдента – статистическое расстояние между средними по группе испытуемых функциями когерентности, оцененными на этапе престимульного внимания (ATT) и на этапе удержания информации (RET) о последовательности стимулов в РП (см. рис. 1). Для того чтобы оценить такое расстояние, использовалось множество 2-канальных ВАР-моделей, куда входили сигнал источника в dlPFC и один из сигналов в височной, теменной или зрительной областях коры. Всего, таким образом, для каждого испытуемого в каждом из 8 кросс-условий – STAGE (ATT, RET), TASK (LET, TRJ) и MODE (STAT, DYN) – было построено по 2*14 + 2*10 + 2*4 = = 28 + 20 + 8 = 56 моделей и, соответственно, оценено 56 функций COH для всех значений частоты с шагом в 0.5 Гц в диапазоне от 2 до 60 Гц (всего – 117 значений).
Для каждого из 8 кросс-условий и 117 значений частоты был составлен список пар каналов, для которых значение t-статистики Стьюдента по абсолютной величине превышало 3 хотя бы при одном значении частоты (табл. 2).
Таблица 2. Пары ОИ, в которых модуль статистического расстояния tC (t-статистики Стьюдента) в COH между этапом направленного внимания (ATT) и этапом удержания информации (RET) был больше 3
Table 2. Pairs of ROIs in which the absolute value of the statistical distance tC (as measured with Student’s t statistics) between COH in the stage of directed attention (ATT) and COH in the stage of information retention (RET) was greater than 3
Первая ОИ в паре | Вторая ОИ в паре | Число превышений порога tC>3 | |||
ОИ в дорсо-латеральной префронтальной коре | полушарие | ОИ в височной, теменной или зрительной коре | полушарие | номер ОИ | |
dlPFC | L | STG | R | 1 | 47 |
dlPFC | R | IPS | L | 3 | 23 |
dlPFC | R | v1 | L | 1 | 10 |
dlPFC | R | v1 | L | 3 | 18 |
dlPFC | R | v2 | L | 1 | 60 |
dlPFC | R | v2 | R | 2 | 4 |
dlPFC | R | v3 | L | 2 | 18 |
На основе данных табл. 2 была составлена 8-канальная ВАР-модель, куда вошли только 4 пары билатерально-симметричных ОИ из табл. 1. Это были гомологичные зоны левого и правого полушария в dlPFC; в IPS (ОИ № 3 из табл. 1); в STG (ОИ № 1 из табл. 1); в v2 (ОИ № 1 из табл. 1). Мы включили в модель только v2, поскольку именно ее связи с дорсолатеральной префронтальной корой оказались в наибольшей степени чувствительны к различию между этапами – престимульным вниманием и этапом удержания последовательности в РП.
Функциональные и эффективные связи в сети из 8 взаимодействующих ОИ
Для установления влияния факторов и их взаимодействий отдельно для каждой из величин COH и DTF были выполнены статистические омнибус-тесты. Для краткости мы будем использовать обозначения F-T для связей dlPFC (L и R) с височными зонами, F-P – с теменными зонами и F-O – с затылочными зонами. Для общего обозначения второго участника в парах с dlPFC ниже мы ввели аббревиатуру TPO (temporal, parietal, occipital).
Величины функциональных связей (COH) анализировались с помощью многомерного дисперсионного анализа с факторами TASK (LET, TRJ), MODE (STAT, DYN), FBAND (θ, α, β1, β2, γ1, γ2, γ3), HEM_F (L, R), TPO (F-T, F-P, F-O) и HEM_TPO (L, R). Этот анализ выявил значимый эффект фактора TASK (F(1, 16) = 17.570; p = 0.001; = 0.523) и наличие взаимодействий факторов TASK и MODE с факторами TPO (локализация второго участника пары) и HEM_TPO (полушарие второго участника пары): два тройных взаимодействия TPO × TASK × MODE (F(2, 15) = 4.139; p = 0.037; = 0.356) и TPO × ×TASK × HEM_TPO (F(2, 15) = 10.064; p = 0.002; = 0.573).
Величины эффективных (направленных) связей (DTF) анализировались с помощью многомерного дисперсионного анализа с фактоnfрами TASK (LET, TRJ), MODE (STAT, DYN), FBAND (θ, α, β1, β2, γ1, γ2, γ3), TPO (F-T, F-P, F-O), HEM_F (L, R), HEM_TPO (L, R) и DIR (TPO→F, F→ TPO). Этот анализ выявил наличие взаимодействий факторов TASK и MODE с факторами FBAND, TPO, HEM_F, HEM_TPO и DIR: FBAND × MODE× × HEM_TPO (F(6, 11) = 3.217; p = 0.045; = = 0.637), HEM_F × TASK × HEM_TPO (F(1, 16) = 8.353; p = 0.011; = 0.343), TPO × ×HEM_F × MODE × DIR (F(2, 15) = 4.201; p = 0.036; = 0.359), TPO × HEM_F × DIR × HEM_TPO (F(2, 15) = 4.300; p = 0.033; = = 0.364), HEM_F × MODE × DIR × HEM_TPO (F(1, 16) = 5.436; p = 0.033; = 0.254) и TPO × × FREQ × TASK × MODE × HEM_TPO (F(12, 5) = 5.399; p = 0.037; = 0.928).
Эти результаты указывают на то, что мозговая организация РП при удержании ломаной линии (TRJ) и при удержании последовательности букв существенно отличаются: об этом свидетельствуют как минимум высоко значимое влияние фактора TASK на величину COH, а также высоко значимое взаимодействие факторов TPO × TASK × HEM_TPO, показывающее, что это влияние неодинаково для разных сочетаний связей (F-T, F-P, F-O) и полушария, в котором находится лежащая вне префронтальной коры ОИ. Отмеченные эффекты не относятся к какому-либо одному частотному диапазону, поскольку фактор частотного диапазона FBAND не оказал на величину COH никакого влияния ни сам по себе, ни во взаимодействии с другими факторами.
Последующий post hoc анализ величин COH и DTF отдельно для каждого вида связей F-T, F-P и F-O и каждого частотного диапазона θ, α, β1, β2, γ1, γ2, γ3 проводился с помощью rmANOVA с факторами TASK (LET, TRJ), MODE (STAT, DYN), HEM_F (L, R) и HEM_TPO (L, R) в случае COH; в случае DTF к ним добавлялся еще и фактор направления DIR (TPO→F, F→ TPO).
Этот анализ выявил ряд значимых эффектов факторов TASK и MODE, а также взаимодействий этих факторов с факторами HEM_F и HEM_TPO (таблицы 3 и 4). Характер двух наиболее часто встречающихся в табл. 3 и 4 взаимодействий факторов TASK × HEM_TPO и MODE × × HEM_TPO иллюстрируют рис. 2 и 3 соответственно для COH и DTF. Из этих рисунков видно, что сила функциональных и эффективных связей зависит, в частности, от того, в каком полушарии расположены височные, теменные и затылочные ОИ.
Таблица 3. Post hoc статистические тесты величины COH для F-T, F-P и F-O связей в частотных диапазонах θ, α, β1, β2, γ1, γ2, γ3
Table 3. Post hoc statistical tests for COH in F-T, F-P, and F-O functional links in the θ, α, β1, β2, γ1, γ2, γ3 frequency bands
Вид связи | Частотный диапазон | Эффект | Степени свободы df1, df2 | F-статистика | Значимость p | |
F-T | θ | TASK | 1, 16 | 5.053 | 0.039 | 0.240 |
F-T | α | TASK | 1, 16 | 17.522 | 0.001 (0.000699) | 0.523 |
F-T | α | MODE x HEM_TPO | 1, 16 | 4.497 | 0.049936 | 0.219 |
F-T | β1 | TASK | 1, 16 | 23.426 | 0.000181 | 0.594 |
F-T | β1 | MODE x HEM_TPO | 1, 16 | 5.923 | 0.027 | 0.270 |
F-T | β1 | HEM_F x TASK x HEM_TPO | 1, 16 | 5.447 | 0.033 | 0.254 |
F-T | β2 | TASK | 1, 16 | 14.764 | 0.001442 | 0.480 |
F-T | β2 | MODE x HEM_TPO | 1, 16 | 4.509 | 0.049672 | 0.220 |
F-T | γ1 | TASK | 1, 16 | 5.770 | 0.029 | 0.265 |
F-T | γ2 | TASK | 1, 16 | 12.563 | 0.003 | 0.440 |
F-T | γ3 | TASK | 1, 16 | 11.686 | 0.004 | 0.422 |
F-P | α | TASK | 1, 16 | 7.668 | 0.014 | 0.324 |
F-P | α | HEM_F x TASK x MODE x HEM_TPO | 1, 16 | 8.162 | 0.011 | 0.338 |
F-P | β1 | TASK | 1, 16 | 5.974 | 0.026 | 0.272 |
F-P | β1 | TASK x HEM_TPO | 1, 16 | 6.824 | 0.019 | 0.299 |
F-P | β2 | TASK x HEM_TPO | 1, 16 | 14.543 | 0.002 | 0.476 |
F-P | γ1 | TASK x HEM_TPO | 1, 16 | 7.182 | 0.016 | 0.310 |
F-P | γ2 | MODE | 1, 16 | 5.265 | 0.036 | 0.248 |
F-P | γ2 | TASK x HEM_TPO | 1, 16 | 9.627 | 0.007 | 0.376 |
F-P | γ3 | TASK x HEM_TPO | 1, 16 | 9.051 | 0.008 | 0.361 |
F-O | α | MODE x HEM_TPO | 1, 16 | 4.639 | 0.047 | 0.225 |
F-O | α | HEM_F x MODE x HEM_TPO | 1, 16 | 4.551 | 0.049 | 0.221 |
F-O | β1 | TASK x HEM_TPO | 1, 16 | 5.567 | 0.031 | 0.258 |
F-O | β1 | MODE x HEM_TPO | 1, 16 | 7.845 | 0.013 | 0.329 |
F-O | β2 | MODE | 1, 16 | 5.090 | 0.038 | 0.241 |
F-O | β2 | TASK x HEM_TPO | 1, 16 | 5.308 | 0.035 | 0.249 |
F-O | γ1 | TASK x HEM_TPO | 1, 16 | 6.937 | 0.018 | 0.302 |
F-O | γ2 | TASK | 1, 16 | 5.133 | 0.038 | 0.243 |
F-O | γ2 | TASK x HEM_TPO | 1, 16 | 5.412 | 0.033 | 0.253 |
F-O | γ2 | HEM_F x MODE x HEM_TPO | 1, 16 | 7.468 | 0.015 | 0.318 |
F-O | γ3 | TASK | 1, 16 | 4.923 | 0.041 | 0.235 |
F-O | γ3 | TASK x HEM_TPO | 1, 16 | 6.339 | 0.023 | 0.284 |
F-O | γ3 | HEM_F x MODE x HEM_TPO | 1, 16 | 4.524 | 0.049 | 0.220 |
Таблица 4. Post hoc статистические тесты величины DTF для F-T, F-P и F-O связей в частотных диапазонах θ, α, β1, β2, γ1, γ2, γ3
Table 4. Post hoc statistical tests for DTF in F-T, F-P, and F-O functional links in the θ, α, β1, β2, γ1, γ2, γ3 frequency bands
Вид связи | Частотный диапазон | эффект | Степени свободы df1, df2 | F-статистика | Значимость p | |
F-T | β1 | TASK | 1, 16 | 7.677 | 0.014 | 0.324 |
F-T | β2 | TASK | 1, 16 | 8.234 | 0.011 | 0.340 |
F-T | β2 | HEM_F x TASK x DIR x HEM_TPO | 1, 16 | 11.010 | 0.004 | 0.408 |
F-T | γ1 | TASK x HEM_TPO | 1, 16 | 7.412 | 0.015 | 0.317 |
F-T | γ3 | TASK x HEM_TPO | 1, 16 | 4.726 | 0.045 | 0.228 |
F-P | θ | MODE | 1, 16 | 12.570 | 0.003 | 0.440 |
F-P | θ | TASK x HEM_TPO | 1, 16 | 5.347 | 0.034 | 0.250 |
F-P | θ | HEM_F x MODE x HEM_TPO | 1, 16 | 6.004 | 0.026 | 0.273 |
F-P | β1 | HEM_F x TASK x HEM_TPO | 1, 16 | 5.681 | 0.030 | 0.262 |
F-P | β1 | HEM_F x TASK x DIR x HEM_TPO | 1, 16 | 5.827 | 0.028 | 0.267 |
F-P | β2 | TASK x HEM_TPO | 1, 16 | 6.308 | 0.023 | 0.283 |
F-P | γ1 | HEM_F x TASK x HEM_TPO | 1, 16 | 5.627 | 0.031 | 0.260 |
F-P | γ2 | HEM_F x TASK x HEM_TPO | 1, 16 | 11.125 | 0.004 | 0.410 |
F-P | γ3 | TASK | 1, 16 | 5.598 | 0.031 | 0.259 |
F-P | γ3 | TASK x MODE x HEM_TPO | 1, 16 | 11.141 | 0.004 | 0.410 |
F-O | α | TASK x MODE | 1, 16 | 4.996 | 0.040 | 0.338 |
F-O | β1 | TASK x MODE | 1, 16 | 5.154 | 0.037 | 0.244 |
F-O | β1 | TASK x HEM_TPO | 1, 16 | 4.664 | 0.046 | 0.226 |
F-O | β1 | MODE x HEM_TPO | 1, 16 | 8.846 | 0.009 | 0.356 |
F-O | β2 | TASK | 1, 16 | 5.335 | 0.035 | 0.250 |
F-O | β2 | TASK x HEM_TPO | 1, 16 | 12.874 | 0.002 | 0.446 |
F-O | β2 | TASK x DIR x HEM_TPO | 1, 16 | 5.737 | 0.029 | 0.264 |
F-O | γ1 | TASK x HEM_TPO | 1, 16 | 9.172 | 0.008 | 0.364 |
F-O | γ2 | HEM_F x MODE | 1, 16 | 5.734 | 0.029 | 0.264 |
F-O | γ3 | HEM_F x MODE | 1, 16 | 6.040 | 0.026 | 0.274 |
F-O | γ3 | TASK x DIR x HEM_TPO | 1, 16 | 4.749 | 0.045 | 0.229 |
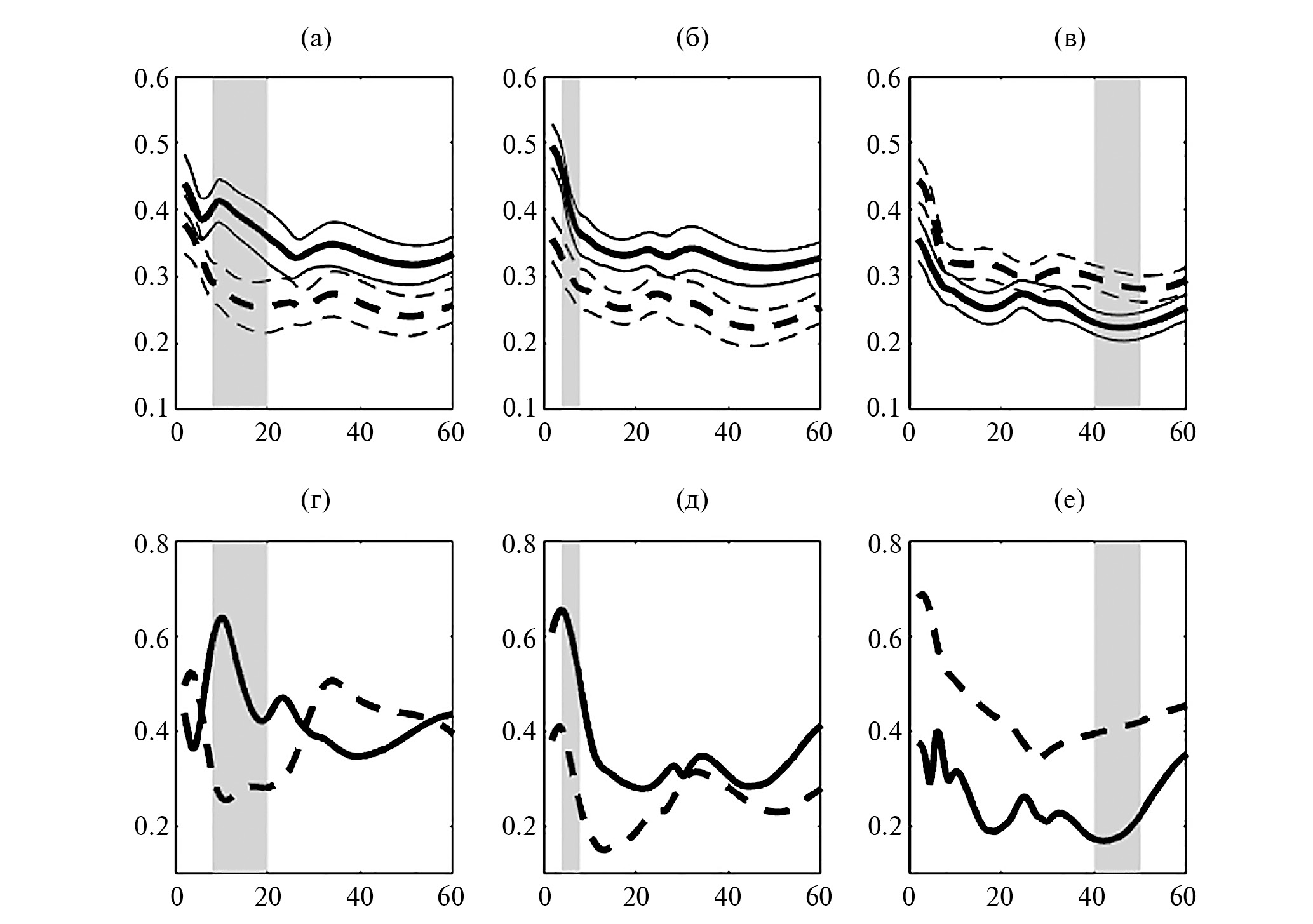
Рис. 2. Усредненные по группе испытуемых значения величины COH для связей F-T, F-P и F-O. ((а), (б), (в)) – величины COH в двух задачах: LET и TRJ (усреднены по уровням факторов FBAND, HEM_F, MODE); ((г), (д), (е)) – величины COH в двух режимах предъявления последовательностей: STAT и DYN (усреднены по уровням факторов FBAND, HEM_F, TASK).
Белые кружочки соответствуют расположению височных (T), теменных (P) и затылочных (О) ОИ в левом полушарии, а черные – в правом.
Fig. 2. Shown are the COH values averaged over the group of subjects for the F-T, F-P and F-O links. ((a), (б), (в)) in two tasks: LET and TRJ (averaged over the levels of factors FBAND, HEM_F, MODE); ((г), (д), (е)) – COH values in two modes of sequence presentation: STAT and DYN (averaged over the levels of factors FBAND, HEM_F, TASK).
White circles correspond to the location of the temporal (T), parietal (P) and occipital (O) ROIs in the left hemisphere, and black circles correspond to the location in the right hemisphere.
Рис. 3. Усредненные по группе испытуемых значения величины DTF для связей F-T, F-P и F-O. ((а), (б), (в)) – величины DTF в двух задачах: LET и TRJ (усреднены по уровням факторов FBAND, DIR, HEM_F, MODE); ((г), (д), (е)) – величины DTF в двух режимах предъявления последовательностей: STAT и DYN (усреднены по уровням факторов FBAND, DIR, HEM_F, TASK).
Белые кружочки соответствуют расположению височных (T), теменных (P) и затылочных (О) ОИ в левом полушарии, а черные – в правом.
Fig. 3. Shown are the DTF values averaged over the group of subjects for the F-T, F-P and F-O links. ((a), (б), (в)) in two tasks: LET and TRJ (averaged over the levels of factors FBAND, DIR, HEM_F, MODE); ((г), (д), (е)) – COH values in two modes of sequence presentation: STAT and DYN (averaged over the levels of factors FBAND, DIR, HEM_F, TASK).
White circles correspond to the location of the temporal (T), parietal (P) and occipital (O) ROIs in the left hemisphere, and black circles correspond to the location in the right hemisphere.
В зависимости от того, о каких функциональных связях: F-T, F-P или F-O идет речь, чувствительными к модальности стимулов (LET или TRJ) оказываются связи префронтальных областей со структурами обоих полушарий (F-T), правого (F-P) или левого (F-O) полушарий (рис. 2, верхний ряд). Сходная (хотя статистически менее выраженная) картина наблюдается в отношении чувствительности к режиму предъявления стимулов (STAT или DYN), с той лишь разницей, что биполушарный, правои левополушарный характер влияния режима предъявления обнаруживается для других связей (рис. 3).
Отметим: сравнение рис. 2 и 3 показывает, что характер влияния модальности и режима предъявления качественно одинаков в случае функциональных (COH) и эффективных (DTF) связей: если такая-то функциональная связь сильнее при определенной модальности или определенном режиме предъявления, то так же ведет себя и эффективная связь (усредненная по направлению).
Наконец, для величины COH и для величины DTF отдельно для каждого типа связей (F-T, F-P, F-O) была оценена статистическая значимость влияния фактора TASK и фактора MODE. Таким образом, для COH было выполнено 3 сессии парных сравнений по 56 сравнений в каждой для выявления влияния каждого из факторов TASK и MODE. Такое же число сессий было выполнено и для DTF, на этот раз по 112 сравнений в каждой сессии. Учитывая, что при выполнении большого числа тестов накапливается ошибка второго рода, мы использовали коррекцию по Бонферрони в пределах каждой сессии, беря за порог значимости величину 0.05/56 = 8.9286e-04 в случае COH и величину 0.05/112 = 4.4643e-04 – в случае DTF.
Значимыми при поправках на множественные сравнения оказались только несколько различий в величине COH. Для пары, образованной dlPFC в левом полушарии и правополушарной STG, при статическом зрительном предъявлении последовательностей стимулов величина COH оказалась значимо больше (t(18) = 4.940; p = 0.000106) в задаче LET, чем в задаче TRJ в частотных диапазонах альфа (0.41674 против 0.27463) и бета1 (0.39000 против 0.25116). Усредненная по группе испытуемых функция когерентности показана на рис. 4 (а), где альфаи бета1-диапазоны частот изображены вертикальной полосой.
Рис. 4. Усредненные по всем испытуемым графики зависимости когерентности от частоты COH(f) для двух условий и примеры индивидуальных зависимостей для этих условий ((г), (д), (е)). В верхнем ряду панелей ((а), (б), (в)) показаны графики усредненной по группе испытуемых зависимости COH(f). (а) – в паре ОИ, образованной dlPFC в левом полушарии и правополушарной STG, при статическом зрительном предъявлении; сплошная кривая соответствует задаче LET, а штриховая – задаче TRJ; (б) – в паре ОИ, образованной dlPFC в правом полушарии и левой зрительной корой v2, при статическом зрительном предъявлении; сплошная кривая соответствует задаче LET, а штриховая – задаче TRJ; (в) – в паре, образованной dlPFC в правом полушарии и левой зрительной корой v2, в задаче TRJ; сплошная кривая соответствует статическому режиму предъявления STAT, а штриховая – динамическому DYN.
В верхнем ряду панелей ((а), (б), (в)) жирная кривая (сплошная или штриховая) означает среднюю по группе испытуемых зависимость, а соответствующими сплошными или штриховыми тонкими линиями выше и ниже нее обозначен коридор (среднее ± стандартная ошибка). В нижнем ряду панелей ((г), (д), (е)) показаны примеры соответствующих верхним кривым индивидуальных зависимостей COH(f): (г) содержит индивидуальный пример для (а), (д) – для (б) и (е) – для (в). Светло-серая вертикальная полоса отмечает частотные области, в которых две кривые, показанные на панелях ((а), (б), (в)), отличаются статистически значимо. Эти же вертикальные полосы воспроизведены на соответствующих примерах индивидуальных кривых ((г), (д), (е)).
Fig. 4. Coherence versus frequency COH(f) function averaged over all subjects for two conditions (upper row) and examples of individual functions for these conditions (lower row). The top row of panels ((a), (б), (в)) shows graphs of the dependence averaged over the group of subjects. (a) COH(f) in a pair of ROIs formed by the dlPFC in the left hemisphere and the right hemisphere STG in static visual presentation condition; The solid curve corresponds to the LET task, and the dashed curve corresponds to the TRJ task; (б) COH(f) in a pair of ROIs formed by the dlPFC in the right hemisphere and the left visual cortex v2, with a static visual presentation; The solid curve corresponds to the LET task, and the dashed curve corresponds to the TRJ task; (в) COH(f) in the pair formed by dlPFC in the right hemisphere and the left visual cortex v2, in the TRJ task; The solid curve corresponds to the static STAT presentation mode, and the dashed curve corresponds to the dynamic DYN.
In the top row of panels ((a), (б), (в)), the thick curve (solid or dashed) indicates the average function for the group of subjects, and the corresponding solid or dashed thin lines above and below it indicate the corridor (mean ± standard error). The bottom row of panels ((г), (д), (е)) shows examples of individual functions corresponding to the upper curves: (г) contains an individual example for (a), (д) for (б) and (е) for (в). The light gray vertical bar marks the frequency regions in which the two curves shown in panels ((a), (б), (в)) differ statistically significantly. The same vertical stripes are reproduced in the corresponding examples of individual curves ((г), (д), (е)).
Значимое влияние фактора TASK на величину COH обнаружено также в паре, образованной dlPFC в правом полушарии и левой зрительной корой v2. В этой паре в статическом режиме предъявления стимулов COH в LET значимо больше, чем в TRJ (t(18) = 4.186; p = 0.000555) в тета-диапазоне частот (0.40605 против 0.29853). Эта ситуация проиллюстрирована на рис. 4 (б).
Значимое влияние режима предъявления – фактора MODE – обнаружено только в одной паре ОИ: в гамма2-диапазоне частот в паре, образованной dlPFC в правом полушарии, и левой зрительной корой v2, в задаче TRJ величина COH в статическом режиме значимо меньше (t(18) = -3.952; p = 0.000787), чем в динамическом (0.22476 против 0.28971). Этому сравнению соответствует вертикальная полоса в гамма2-диапазоне на рис. 4 (в).
На рис. 4 для каждой пары усредненных по группе кривых COH(f) на панелях (а), (б) и (в) в нижнем ряду приведены примеры соответствующих ((г) для (а), (д) для (б) и (е) для (в)) типичных индивидуальных кривых для трех разных испытуемых, дающих представление о том, как выглядят индивидуальные данные.
ОБСУЖДЕНИЕ РЕЗУЛЬТАТОВ
Данные настоящей работы указывают на существенные различия мозговой организации РП в задаче LET и TRJ: обнаружено статистически значимое влияние задачи и режима предъявления на силу функциональных и эффективных связей между дорсолатеральной префронтальной корой и областями височной, теменной и затылочной коры.
Можно было бы ожидать, что связь дорсолатеральной префронтальной коры с затылочными областями существенно важнее в задаче TRJ, по сравнению с задачей LET, поскольку сохранение ломаной линии в РП предполагает запоминание контуров, т.е. операций, с которыми функционально связаны зрительные специфические зоны коры, в то время как запоминание букв скорее основано на фонологическом кодировании (Absatova et al., 2016).
Однако полученные в настоящей работе данные не подтверждают это ожидание; напротив, как видно из рис. 2, величина когерентности в задаче LET была систематически больше, чем в задаче TRJ, для всех трех видов связей: фронто-височных, фронто-теменных и фронто-затылочных. Сопоставление этого факта с полученными ранее поведенческими данными (Корнеев и др., 2022) показывает, что сила функциональной связи не может однозначно определяться ни трудностью задачи, ни загрузкой РП. Действительно, нагрузка на рабочую память в случае TRJ была выше за счет большей длины последовательности (4–5–6 элементов против 3–4–5 элементов), а успешность решения задач LET и TRJ в статическом режиме практически одинакова (см. рис. 3 (а) в работе (Корнеев и др., 2022)), хотя именно в этом режиме COH(f) в задаче LET существенно больше, чем в задаче TRJ.
Учитывая также, что при увеличении нагрузки на РП ожидается увеличение когерентности (Babiloni et al., 2004), можно утверждать, что неравенство длин последовательностей LET и TRJ не могло быть причиной наблюдаемых различий и что меньшая длина буквенных последовательностей, если и могла повлиять на величину обнаруженных различий, то только в сторону их уменьшения.
Тем не менее полученные результаты можно объяснить, если учесть наличие фонологической репрезентации букв, а также предположить, что не только для пространственных, но и для вербальных стимулов в РП сохраняется информация о пространственном контуре каждого из элементов последовательности – отдельных букв. Тогда большая величина когерентности в фронто-височных связях в случае LET отражает вклад фонологических процессов (Binder, 2015), которые не требуются в случае TRJ, а большая величина когерентности в фронто-затылочных связях – больший объем удерживаемой информации о пространственном контуре в случае нескольких букв, по сравнению с контуром ломаной, которая по сложности эквивалентна или даже проще контура всего одной буквы.
Что касается зависимости мозговой организации РП от режима предъявления, то мы смогли относительно надежно установить только тот факт, что когерентность в паре ОИ, составленной правополушарной dlPFC и левополушарной зрительной корой v2, выше в динамическом режиме, по сравнению со статическим режимом предъявления. Сам факт различий в организации РП для статически и динамически предъявляемой информации согласуется с данными работы (Robert et al., 2023). В этой работе на основе регистрируемой BOLD-активности декодировали принадлежность стимула к статической или динамической категории. Было обнаружено, что, хотя декодирование двух форматов стимулов было возможно во всех исследованных регионах зрительных путей, все же наблюдались различия в точности декодирования вдоль осей posterior-anterior и ventral-dorsal: более высокую точность декодирования статических стимулов показали задние затылочно-височные и вентральные области, а более высокую точность декодирования динамических стимулов – передние затылочно-височные и дорсальные области. Напрямую сопоставить результаты этой работы с нашими данными затруднительно, поскольку разделение на дорсальный и вентральный зрительные пути фактически начинается выше вторичной зрительной коры (Sheth, Young, 2016).
Как мы видели, ни один из выполненных статистических анализов не выявил зависимости различий в величине COH от частотной полосы. Хотя омнибус-тест величины DTF показал наличие значимого взаимодействия, включающее фактор частотной полосы, как видно из таб. 4, фактор частотного диапазона не фигурировал ни в одном из post hoc тестов. Это отсутствие выраженной зависимости от частотного диапазона различий в величине COH между LET и TRJ, а также между STAT и DYN хорошо иллюстрирует рис. 4 ((а), (б), (в)), где показаны частные случаи таких различий. Усредненные по испытуемым кривые нигде не пересекаются, и кривая COH(f) для задачи LET всегда проходит над кривой для задачи TRJ, а кривая для режима DYN – над кривой для режима STAT. Вообще, отсутствие частотной специфичности различий свидетельствует о том, что нет оснований говорить о доминировании какого-то одного ритма во взаимодействии между корковыми узлами крупномасштабной нейронной сети, обеспечивающей функционирование РП.
Следует отметить, что все основные эффекты в настоящей работе были получены при анализе функциональных связей, а анализ эффективных связей фактически не прибавил ничего нового. Более того, фактор направления эффективной связи DIR участвовал только в двух сложных четверных взаимодействиях, полученных в омнибус-тесте величины DTF.
Одним из результатов настоящей работы является наличие существенного числа взаимодействий факторов, включающих как фактор принадлежности к левому или правому полушарию дорсолатеральной префронтальной коры (HEM_F), так и фактор полушарной принадлежности корковых зон в височной, теменной и затылочной областях (HEM_TPO). Хотя эти данные вполне ожидаемо указывают на специализацию полушарий, в организации РП участвуют оба полушария, о чем, в частности, говорит тот факт, что наибольшие различия между двумя задачами и двумя режимами предъявления наблюдаются в кросс-полушарных связях (рис. 4).
Может возникнуть вопрос: могла ли существенная разница в характере воспроизведения двух типов последовательностей повлиять на полученные результаты? Испытуемые воспроизводили буквенные последовательности LET путем выбора нужной буквы из случайным образом перетасованной строки, состоящей только из тех букв, что были предъявлены для запоминания. В этих условиях не было возможности заранее приготовить двигательную последовательность, поскольку испытуемый не мог знать, в каком порядке будут показаны буквы. Оставалось только строить последовательность движений на этапе воспроизведения – искать нужную букву в предъявленной строке и потом касаться ее пальцем. Ломаные линии TRJ испытуемые воспроизводили, рисуя их на сенсорном экране. В этом случае теоретически можно подготовить заранее последовательность движений. Однако предыдущие наши исследования указывают на то, что запомненная последовательность сохраняется в РП в немоторной форме, а преобразование в моторную форму происходит только на этапе воспроизведения последовательности (Корнеев, Курганский, 2014). В цитируемой работе показано, что замена исходного порядка следования сегментов ломаной линии на противоположный не оказывает влияния на длительность латентной фазы, но приводит к возрастанию длительности движений за счет более долгих пауз, возникающих в вершинах траектории.
Таким образом, маловероятно, чтобы наблюдаемые различия в функциональных и эффективных взаимодействиях во время удержания информации в РП были связаны с различием в подготовке к двигательному воспроизведению запомненной последовательности.
Однако различие в способе воспроизведения LET и TRJ могло повлиять на результаты опосредованно. В случае LET испытуемый не может ошибиться в том, какие элементы были показаны и каково их число; необходимо помнить только правильную их последовательность. Это облегчает задачу воспроизведения. При этом испытуемый не знает, где в предъявленной строке будет расположена очередная буква, и это подразумевает необходимость осуществлять ее зрительный поиск. В случае TRJ испытуемый может допустить ошибку, запомнив не те сегменты ломаной и/или неправильное их число.
ВЫВОДЫ
- Исследование структуры частотно-специфических функциональных и эффективных (направленных) связей между дорсальной префронтальной корой dlPFC, с одной стороны, и локусами в височной, теменной и затылочной коре, с другой, показало, что мозговая организация РП при удержании последовательности букв отличается от таковой при удержании последовательности сегментов ломаной линии.
- Мозговая организация РП зависит также от режима предъявления последовательностей букв: сила функциональной связи различна при динамическом и статическом предъявлении последовательности.
- Различия в структуре функциональных и эффективных связей не носят выраженный частотно-избирательный характер и наблюдаются во всех исследованных энцефалографических частотных диапазонах от тета (4–8 Гц) до высокочастоного гамма (50–60 Гц).
- Наиболее надежные различия между задачей удержания последовательности букв и задачей удержания последовательности сегментов ломаной линии наблюдаются в альфаи бета-диапазонах частот при статическом зрительном предъявлении последовательностей в измеряемой с помощью когерентности силе функциональной связи между левополушарной dlPFC и правополушарной STG, а также в тета-диапазоне между правополушарной dlPFC и левой зрительной корой v2.
- Наиболее надежное различие между статическим и динамическим режимами предъявления наблюдается в задаче на удержание последовательности сегментов ломаной в гамма-диапазоне частот (50–60 Гц) между dlPFC в правом полушарии и левой зрительной корой v2.
ОГРАНИЧЕНИЯ ИССЛЕДОВАНИЯ
К числу явных ограничений относится использование нами стандартного структурного МРТ и усредненного положения электродов шлема HCGSN на поверхности головы вместо соответствующих индивидуальных данных. Возникающая при этом ошибка в определении положения источника существенно возрастает (Shirazi et al., 2019), и можно ожидать рассогласования с истинным его положением вплоть до 2 см (Akalin Acar, Makeig, 2013). В силу достаточно большого числа испытуемых использование шаблонов вместо индивидуальных данных приведет, скорее всего, не к систематической ошибке, а к эффективному расширению области, из которой извлекаются индивидуальные сигналы источников, так что для каждой выбранной из атласа ОИ действительные положения областей, в которых оценивается активность источников, будут разбросаны приблизительно в пределах 1–2 см вокруг центра ОИ. Для того чтобы в этих условиях повысить вероятность “захватить” интересующую нас активность источников, в качестве ОИ мы использовали шары с радиусом 1 см, причем рассматривали нескольких таких шарообразных ОИ для полей Бродмана большой площади или протяженности.
About the authors
А. V. Kurgansky
Institute of Child Development; Institute of Higher Nervous Activity and Neurophysiology, Russian Academy of Sciences; The Presidential Academy (RANEPA)
Author for correspondence.
Email: akurg@yandex.ru
Russian Federation, Moscow; Moscow; Moscow
A. A. Korneev
Institute of Child Development; Moscow State University
Email: akurg@yandex.ru
Russian Federation, Moscow; Moscow
D. I. Lomakin
Institute of Child Development
Email: akurg@yandex.ru
Russian Federation, Moscow
R. I. Machinskaya
Institute of Child Development; The Presidential Academy (RANEPA)
Email: akurg@yandex.ru
Russian Federation, Moscow; Moscow
References
- Величковский Б.Б. Рабочая память человека: структура и механизмы. М.: Когито-центр Москва, 2015. 247.
- Величковский Б.М. Когнитивная наука: Основы психологии познания в 2 т. Т. 1. М: “Смысл”, 2006. 488.
- Корнеев А.А., Ломакин Д.И., Курганский А.В. Отсроченное копирование незнакомых контурных изображений: отражает ли убывание времени реакции с ростом задержки изменение внутреннего представления будущего движения? Журнал высшей нервной деятельности им. И.П. Павлова. 2016а. 66 (1): 51–61.
- Корнеев А.А., Ломакин Д.И., Курганский А.В., Мачинская Р.И. Отсроченное копирование незнакомых контурных изображений: анализ потенциалов, связанных с предъявлением стимулов. Журнал высшей нервной деятельности им. И.П. Павлова. 2016б. 66 (4): 470–483.
- Корнеев А.А., Ломакин Д.И., Курганский А.В., Мачинская Р.И. Удержание вербальной и невербальной серийной информации в рабочей памяти. Психология. Журнал Высшей школы экономики. 2022. 19 (2): 87–106.
- Корнеев А.А., Курганский А.В. Преобразование порядка движений в серии, заданной зрительным образцом. Вестник Московского университета. Серия 14. Психология. 2014. 2: 61–74.
- Курганский А.В., Ломакин Д.И., Корнеев А.А., Мачинская Р.И. Мозговая организация рабочей памяти при отсроченном копировании ломаной линии: анализ потенциалов, связанных с императивным сигналом. Журнал высшей нервной деятельности им. И.П. Павлова. 2022. 72 (3): 387–404.
- Курганский А.В. Некоторые вопросы исследования кортико-кортикальных функциональных связей с помощью векторной авторегрессионной модели многоканальной ЭЭГ. Журн. высш. нервн. деят. им. И.П. Павлова. 2010. 60 (6): 740–759.
- Курганский А.В., Григал П.П. Направленные кортикокортикальные функциональные взаимодействия на ранних стадиях серийного научения у взрослых и детей 7–8 лет. Физиология человека. 2010. 36 (4); 44–56.
- Фарбер Д.А., Бетелева Т.Г. Формирование мозговой организации рабочей памяти в младшем школьном возрасте. Физиология человека. 2011. 37 (1): 5–15.
- Absatova K.A., Kurgansky A.V., Machinskaya R.I. The recall modality affects the source-space effective connectivity in the θ-band during the retention of visual information. Psychology & Neuroscience.2016. 9 (3): 344–361.
- Ahveninen J., Uluç I, Raij T., Nummenmaa A., Mamashli F. Spectrotemporal content of human auditory working memory represented in functional connectivity patterns. Commun Biol. 2023 Mar 20; 6 (1): 294. https://doi.org/10.1038/s42003-023-04675-8
- Akalin Acar Z., Makeig S. Effects of forward model errors on EEG source localization. Brain Topogr. 2013. 26 (3): 378–396. https://doi.org/10.1007/s10548-012-0274-6
- Babiloni C., Babiloni F., Carducci F., Cincotti F., Vecchio F., Cola B. et al. Functional frontoparietal connectivity during short-term memory as revealed by highresolution EEG coherence analysis. Behav Neurosci. 2004. 118 (4): 687–697. https://doi.org/10.1037/0735-7044.118.4.687
- Baccalá L.A., Sameshima K. Partial directed coherence: a new concept in neural structure determination. Biol Cybern. 2001. 84 (6): 463–474. https://doi.org/10.1007/PL00007990
- Baddeley A.D., Hitch G. Working Memory. Psychology of Learning and Motivation, edited by G.H. Bower, Academic Press 1974. 8: 47–89. https://doi.org/10.1016/S0079-7421(08)60452-1
- Baddeley A.D. Developing the Concept of Working Memory: The Role of Neuropsychology1. Arch Clin Neuropsychol. 2021. 36 (6): 861–873. https://doi.org/10.1093/arclin/acab060
- Barbey A.K., Koenigs M., Grafman J. Orbitofrontal contributions to human working memory. Cereb Cortex. 2011. 21 (4): 789–795. https://doi.org/10.1093/cercor/bhq153
- Barrouillet P., Camos V. Working Memory and Executive Control: A Time-based Resource-sharing Account. Psychologica Belgica. 2010. 50 (3–4): 353–382. https://doi.org/10.5334/pb-50-3-4-353
- Bezdicek O., Ballarini T., Albrecht F., Libon D.J., Lamar M., Růžička F. et al. Serial-order recall in working memory across the cognitive spectrum of Parkinson’s disease and neuroimaging correlates. J. Neuropsychol. 2021. 15 (1): 88–111. https://doi.org/10.1111/jnp.12208
- Binder J.R. The Wernicke area: Modern evidence and a reinterpretation. Neurology. 2015. 85 (24): 2170–2175. https://doi.org/10.1212/WNL.0000000000002219
- Carpenter A.F., Baud-Bovy G., Georgopoulos A.P., Pellizzer G. Encoding of serial order in working memory: neuronal activity in motor, premotor, and prefrontal cortex during a memory scanning task. J. Neurosci. 2018. 38 (21): 4912–4933. https://doi.org/10.1523/JNEUROSCI.3294-17.2018
- Carreiras M., Quiñones I., Hernández-Cabrera J.A., Duñabeitia J.A. Orthographic coding: brain activation for letters, symbols, and digits. Cereb.Cortex. 2015. 25 (12): 4748– 4760. https://doi.org/10.1093/cercor/bhu163
- Cui J., Xu L., Bressler S.L., Ding M., Liang H. BSMART: a Matlab/C toolbox for analysis of multichannel neural time series. Neural. Netw. 2008. 21 (8): 1094–104. https://doi.org/10.1016/j.neunet.2008.05.007
- D’Esposito M., Postle B.R. The cognitive neuroscience of working memory. Annu. Rev. Psychol. 2015. 66: 115–142. https://doi.org/10.1146/annurev-psych-010814-015031
- Eickhoff S.B., Stephan K.E., Mohlberg H., Grefkes C., Fink G.R., Amunts K., Zilles K. A new SPM toolbox for combining probabilistic cytoarchitectonic maps and functional imaging data. Neuroimage. 2005. 25 (4): 1325–1335. https://doi.org/10.1016/j.neuroimage.2004.12.034
- Eriksson J., Vogel E.K., Lansner A., Bergström F., Nyberg L. Neurocognitive architecture of working memory. Neuron. 2015. 88 (1): 33–46. https://doi.org/10.1016/j.neuron.2015.09.020
- Fougnie D., Marois R. Working memory capacity is modalityspecific: Evidence of separate stores for auditory and visuospatial stimuli [Abstract]. J. Vision. 2008. 8 (6): 1169, 1169a.
- Freunberger R., Fellinger R., Sauseng P., Gruber W., Klimesch W. Dissociation between phase-locked and nonphase-locked alpha oscillations in a working memory task. Hum. Brain Mapp. 2009. 30 (10): 3417–3425.: https://doi.org/10.1002/hbm.20766
- Frost A., Moussaoui S., Kaur J., Aziz S., Fukuda K., Niemeier M. Is the n-back task a measure of unstructured working memory capacity? Towards understanding its connection to other working memory tasks. Acta Psychol. (Amst). 2021. 219: 103398. https://doi.org/10.1016/j.actpsy.2021.103398
- Gazzaley A., Rissman J., D’Esposito M. Functional connectivity during working memory maintenance. Cogn. Affect. Behav. Neurosci. 2004. 4 (4): 580–599. https://doi.org/10.3758/cabn.4.4.580
- Ikkai A., Curtis C.E.A. Common neural mechanisms supporting spatial working memory, attention and motor intention. Neuropsychologia. 2011. 9 (6): 1428–1434. https://doi.org/10.1016/j.neuropsychologia.2010.12.020
- Jackson J.B., Feredoes E., Rich A.N., Lindner M., Woolgar A. Concurrent neuroimaging and neurostimulation reveals a causal role for dlPFC in coding of task-relevant information. Commun. Biol. 2021. 4 (1): 588. https://doi.org/10.1038/s42003-021-02109-x
- Johnson E.L., Chang W.K., Dewar C.D., Sorensen D., Lin J.J., Solbakk A.K. et al. Orbitofrontal cortex governs working memory for temporal order. Curr. Biol. 2022. 32 (9): R410–R411. https://doi.org/10.1016/j.cub.2022.03.074
- Kawasaki M., Kitajo K., Yamaguchi Y. Dynamic links between theta executive functions and alpha storage buffers in auditory and visual working memory. Eur. J. Neurosci. 2010. 31 (9): 1683–1689.
- Koenigs M., Barbey A.K., Postle B.R., Grafman J. Superior parietal cortex is critical for the manipulation of information in working memory. J. Neurosci. 2009. 29 (47): 14980–14986. https://doi.org/10.1523/JNEUROSCI.3706-09.2009
- Lenartowicz A., McIntosh A.R. The role of anterior cingulate cortex in working memory is shaped by functional connectivity. J. Cogn. Neurosci. 2005. 17 (7): 1026– 1042. https://doi.org/10.1162/0898929054475127
- Li J., Cao D., Yu S., Xiao X., Imbach L., Stieglitz L. et al. Functional specialization and interaction in the amygdala-hippocampus circuit during working memory processing. Nat. Commun. 2023. 14 (1): 2921. https://doi.org/10.1038/s41467-023-38571-w
- Li Y., Cowan N. Constraints of attention, stimulus modality, and feature similarity in working memory. Atten. Percept. Psychophys. 2022. 84 (8): 2519–2539. https://doi.org/10.3758/s13414-022-02549-5
- Mackey W.E., Devinsky O., Doyle W.K., Golfinos J.G., Curtis C.E. Human parietal cortex lesions impact the precision of spatial working memory. J. Neurophysiol. 2016. 116 (3): 1049–1054. https://doi.org/10.1152/jn.00380.2016
- Nystrom L.E., Braver T.S., Sabb F.W., Delgado M.R., Noll D.C., Cohen J.D. Working memory for letters, shapes, and locations: fMRI evidence against stimulus-based regional organization in human prefrontal cortex. Neuroimage. 2000. 11 (5 Pt 1): 424–446. https://doi.org/10.1006/nimg.2000.0572
- Pascual-Marqui R.D., Lehmann D., Koukkou M., Kochi K., Anderer P., Saletu B. et al. Assessing interactions in the brain with exact low-resolution electromagnetic to mography. Philos. Trans. A Math. Phys. Eng. Sci. 2011. 369 (1952): 3768–3784. https://doi.org/10.1098/rsta.2011.0081
- Postle B.R. Cognitive neuroscience of visual working memory. In R.H. Logie, V. Camos, & N. Cowan (Eds.) Working memory: State of the science (pp. 333–357). Oxford University Pres. 2021. https://doi.org/10.1093/oso/9780198842286.003.0012
- Pratte M.S., Tong F. Spatial specificity of working memory representations in the early visual cortex. J. Vis. 2014. 14 (3): 22. https://doi.org/10.1167/14.3.22
- Ren Z., Zhang Y., He H., Feng Q., Bi T., Qiu J. The different brain mechanisms of object and spatial working memory: voxel-based morphometry and resting-state functional connectivity. Front. Hum. Neurosci. 2019. 13: 248. https://doi.org/10.3389/fnhum.2019.00248
- Robert S., Ungerleider L.G., Vaziri-Pashkam M. Disentangling object category representations driven by dynamic and static visual input. J. Neurosci. 2023. 43 (4): 621–634. https://doi.org/10.1523/JNEUROSCI.0371-22.2022
- Sauseng P., Klimesch W., Heise K.F., Gruber W.R., Holz E., Karim A.A. et al. Brain oscillatory substrates of visual short-term memory capacity. Curr. Biol. 2009. 19 (21): 1846–1852. https://doi.org/1016/j.cub.2009.08.062
- Sheth B.R., Young R. Two visual pathways in primates based on sampling of space: exploitation and exploration of visual information. Front. Integr. Neurosci. 2016. 10: 37. https://doi.org/10.3389/fnint.2016.00037
- Shirazi S.Y., Huang H.J. More reliable EEG electrode digitizing methods can reduce source estimation uncertainty, but current methods already accurately identify Brodmann areas. Front. Neurosci. 2019. 13: 1159. https://doi.org/10.3389/fnins.2019.01159
- Wager T.D., Smith E.E. Neuroimaging studies of working memory: a meta-analysis. Cogn. Affect. Behav. Neurosci. 2003. 3 (4): 255–274. https://doi.org/10.3758/cabn.3.4.255
- Webler R.D., Fox J., McTeague L.M., Burton P.C., Dowdle L., Short E.B. et al. DLPFC stimulation alters working memory related activations and performance: An interleaved TMS-fMRI study. Brain Stimul. 2022. 15 (3): 823–832. https://doi.org/10.1016/j.brs.2022.05.014
- Working memory: State of the science. H. Logie, V. Camos & N. Cowan (Eds.) Oxford University Press., 2021.
- Yu Q., Postle B.R. The neural codes underlying internally generated representations in visual working memory. J. Cogn. Neurosci. 2021. 33 (6): 1142–1157. https://doi.org/10.1162/jocn_a_01702
- Zhao Y.J., Kay K.N., Tian Y., Ku Y. Sensory recruitment revisited: ipsilateral V1 involved in visual working memory. Cereb. Cortex. 2022. 32 (7): 1470–1479. https://doi.org/10.1093/cercor/bhab300
Supplementary files






