Анализ мозговой и мышечной активности при управлении кортико-спинальным нейроинтерфейсом
- Авторы: Боброва Е.В.1, Решетникова В.В.1, Гришин А.А.1, Вершинина Е.А.1, Исаев М.Р.2,3, Пляченко Д.Р.4, Бобров П.Д.2,3, Герасименко Ю.П.1
-
Учреждения:
- ФГБУН Институт физиологии РАН им. И.П. Павлова
- ФГБУН Институт высшей нервной деятельности и нейрофизиологии РАН
- Институт трансляционной медицины ГБОУ ВПО Российского национального исследовательского медицинского университета им. Н.И. Пирогова
- Санкт-Петербургский государственный университет
- Выпуск: Том 73, № 4 (2023)
- Страницы: 510-523
- Раздел: ФИЗИОЛОГИЯ ВЫСШЕЙ НЕРВНОЙ (КОГНИТИВНОЙ) ДЕЯТЕЛЬНОСТИ ЧЕЛОВЕКА
- URL: https://bakhtiniada.ru/0044-4677/article/view/136105
- DOI: https://doi.org/10.31857/S0044467723040032
- EDN: https://elibrary.ru/VYPHUG
- ID: 136105
Цитировать
Полный текст
Аннотация
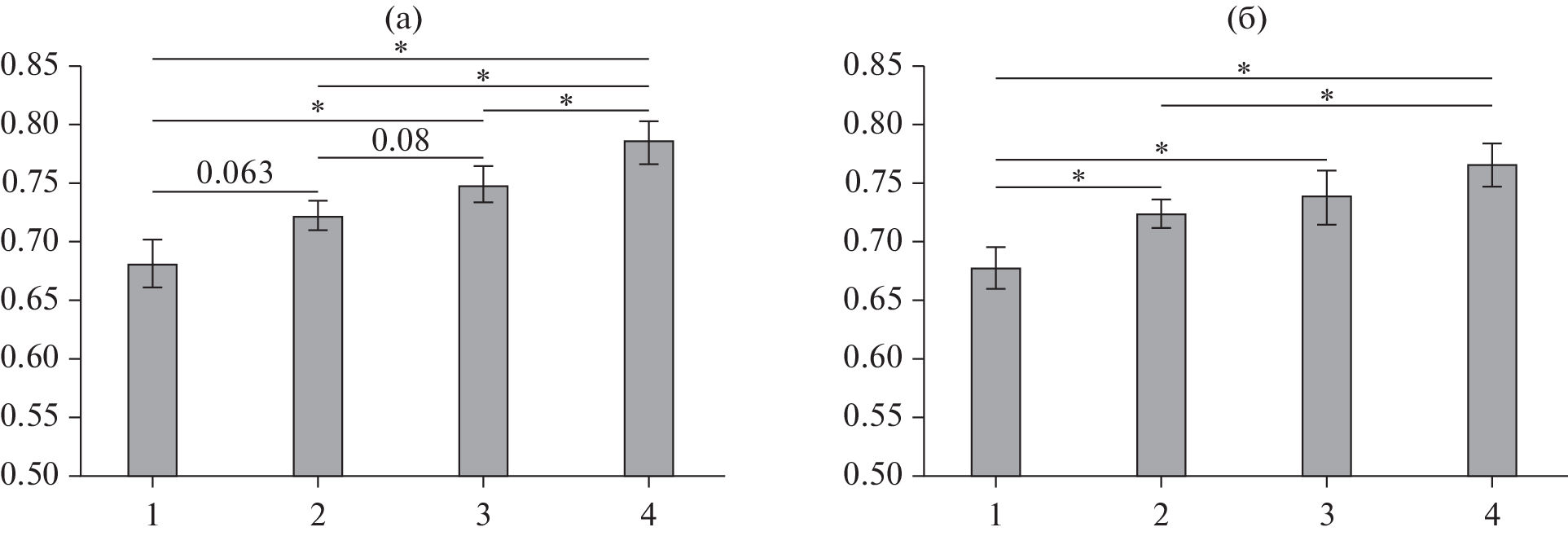
Разработан кортико-спинальный нейроинтерфейс, основанный на кинестетическом воображении тыльного сгибания стопы, дополненный робототехническим устройством перемещения конечностей “Биокин” и чрескожной электростимуляцией спинного мозга (ЧЭССМ). Показано, что доля правильных ответов при классификации ЭЭГ-сигналов мозга (ДПО) в условиях работы с нейроинтерфейсом в среднем составляет 68% и значимо увеличивается при добавлении механотерапии и ЧЭССМ на 9%. ЭМГ-активность передней большеберцовой мышцы (ПБМ), осуществляющей тыльное сгибание стопы, во время инструкции воображать движение увеличена по сравнению с таковой во время инструкции находиться в покое. Добавление механотерапии и ЧЭССМ при работе с нейроинтерфейсом в большей степени влияет не на увеличение активности ПБМ при воображении движения ипсилатеральной стопы, но на уменьшение активности ПБМ при инструкции находиться в покое. Выявленные эффекты, по-видимому, важны для формирования адекватных координационных паттернов управляющих сигналов от ЦНС и мышечной активности при реализации движений и могут использоваться в клинической реабилитации двигательной активности с использованием кортико-спинального нейроинтерфейса.
Об авторах
Е. В. Боброва
ФГБУН Институт физиологии РАН им. И.П. Павлова
Автор, ответственный за переписку.
Email: eabobrovy@gmail.com
Россия, Санкт-Петербург
В. В. Решетникова
ФГБУН Институт физиологии РАН им. И.П. Павлова
Email: eabobrovy@gmail.com
Россия, Санкт-Петербург
А. А. Гришин
ФГБУН Институт физиологии РАН им. И.П. Павлова
Email: eabobrovy@gmail.com
Россия, Санкт-Петербург
Е. А. Вершинина
ФГБУН Институт физиологии РАН им. И.П. Павлова
Email: eabobrovy@gmail.com
Россия, Санкт-Петербург
М. Р. Исаев
ФГБУН Институт высшей нервной деятельности и нейрофизиологии РАН; Институт трансляционной медицины ГБОУ ВПОРоссийского национального исследовательского медицинского университета им. Н.И. Пирогова
Email: eabobrovy@gmail.com
Россия, Москва; Россия, Москва
Д. Р. Пляченко
Санкт-Петербургский государственный университет
Email: eabobrovy@gmail.com
Россия, Санкт-Петербург
П. Д. Бобров
ФГБУН Институт высшей нервной деятельности и нейрофизиологии РАН; Институт трансляционной медицины ГБОУ ВПОРоссийского национального исследовательского медицинского университета им. Н.И. Пирогова
Email: eabobrovy@gmail.com
Россия, Москва; Россия, Москва
Ю. П. Герасименко
ФГБУН Институт физиологии РАН им. И.П. Павлова
Email: eabobrovy@gmail.com
Россия, Санкт-Петербург
Список литературы
- Фролов А.A., Бобров П.Д. Интерфейс мозг-компьютер: Нейрофизиологические предпосылки и клиническое применение. Журн. высш.нервн. деятельности им. И.П. Павлова. 2017. 67 (4): 365–376.
- Боброва Е.В., Решетникова В.В., Вершинина Е.А., Гришин А.А., Исаев М.Р., Бобров П.Д., Герасименко Ю.П. Оценка эффективности управления мозг-компьютерным интерфейсом при обучении воображению движений верхних и нижних конечностей. Журн высш.нервн. деятельности им. И.П. Павлова. 2022. 73 (1): 52–61.
- Боброва Е.В., Решетникова В.В., Фролов А.А., Герасименко Ю.П. Воображение движений нижних конечностей для управления системами “интерфейс мозг–компьютер”. Журн. высш.нервн. деятельности им. И.П. Павлова. 2019. 69 (5): 529–540.
- Богачева И.Н., Мошонкина Т.Р., Боброва Е.В., Гришин А.А., Якупов Р.Н., Балыкин Ю.М., Герасименко Ю.П. Эффект чрескожной электрической стимуляции спинного мозга и механотерапии в регуляции активности мышц ног. Вестник ТвГУ. Серия: Биология и экология. 2015. 2: 7–17.
- Бодрова Р.А. Механотерапия с биологической обратной связью: эффективная реабилитация при травме спинного мозга. Доктор.Ру. 2012. 10 (78): 46–47.
- Городничев Р.М., Пивоварова Е.А., Пухов А., Моисеев С.А., Савохин А.А., Мошонкина Т.Р., Щербакова Н.А., Килимник В.А., Селионов В.А., Козловская И.Б., Эджертон Р., Герасименко Ю.П. Чрезкожная электрическая стимуляция спинного мозга: неинвазивный способ активации генераторов шагательных движений у человека. Физиология человека. 2012. 38 (2): 46–56.
- Даминов В.Д. Роботизированная механотерапия в нейрореабилитации. Вестник АГИУВ. 2013. 3: 83–88.
- Столбков Ю.К., Мошонкина Т.Р., Орлов И.В., Козловская И.Б., Герасименко Ю.П. Воображаемые движения как средство совершенствования и реабилитации моторных функций. Успехи физиологических наук. 2018. 49 (2): 45–59.
- Alam M., Rodrigues W., Pham B.N., Thakor N.V. Brain-machine interface facilitated neurorehabilitation via spinal stimulation after spinal cord injury: recent progress and future perspectives. Brain Res. 2016. 1646: 25–33.
- Bai Z., Fong K.N.K., Zhang J.J., Chan J., Ting K.H. Immediate and long-term effects of BCI-based rehabilitation of the upper extremity after stroke: a systematic review and meta-analysis. J Neuroeng Rehabil. 2020. 17 (1): 57.
- Bentley L.D., Duarte R.V., Furlong P.L., Ashford R.L., Raphael J.H. Brain activity modifications following spinal cord stimulation for chronic neuropathic pain: a systematic review. Eur. J. Pain. 2016. 20: 499–511.
- Bobrova E.V., Bogacheva I.N., Lyakhovetskii V.A., Fabinskaja A.A., Fomina E.V. Memorization of sequences of movements of the right and left hand by right- and left-handers. Hum. Physiol. 2015. 41: 629–635.
- Bobrova E.V., Bogacheva I.N., Lyakhovetskii V.A., Fabinskaja A.A., Fomina E.V. Memorization of sequences of movements of the right or the left hand by right- and left-handers: vector coding. Hum. Physiol. 2017. 43. 13–21.
- Bobrova E.V., Lyakhovetskii V.A., Borshchevskaya E.R. The role of “prehistory” in the reproduction of sequential movements of the right and left hands: encoding of positions, movements, and sequence structure. Neurosci. Behav. Physiol. 2013. 43: 56–62.
- Bonizzato M., Pidpruzhnykova G., DiGiovanna J., Shkorbatova P., Pavlova N., Micera S., Courtine G. Brain-controlled modulation of spinal circuits improves recovery from spinal cord injury. Nat. Commun. 2018. 9: 1–14.
- Bouton C.E. Chapter 22 – Merging brain-computer interface and functional electrical stimulation technologies for movement restoration. Handbook of Clinical Neurology. Eds: Ramsey N.F., Millán J. del R. Elsevier, 2020. 168: 303–309.
- Burianová H., Marstaller L., Rich A.N., Williams M.A., Savage G., Ryan M., Sowman P.F. Motor neuroplasticity: A MEG-fMRI study of motor imagery and execution in healthy ageing. Neuropsychologia. 2020. 146: 107539.
- Camargo-Vargas D., Callejas-Cuervo M., Mazzoleni S. Brain-computer interfaces systems for upper and lower limb rehabilitation: a systematic review. Sensors. 2021. 21 (13): 4312.
- Capogrosso M., Milekovic T., Borton D., Wagner F., Moraud E.M., Mignardot J.B., Buse N., Gandar J., Barraud Q., Xing D., Rey E., Duis S., Jianzhong Y., Ko W.K., Li Q., Detemple P., Denison T., Micera S., Bezard E., Bloch J., Courtine G. A brain-spine interface alleviating gait deficits after spinal cord injury in primates. Nature. 2016. 539: 284–288.
- Cardoso V.F., Delisle-Rodriguez D., Romero-Laiseca M.A., Loterio F.A., Gurve D., Floriano A., Valadão C., Silva L., Krishnan S., Frizera-Neto A., Freire Bastos-Filho T. Effect of a brain–computer interface based on pedaling motor imagery on cortical excitability and connectivity. Sensors. 2021. 21 (6): 2020.
- Cheron G., Duvinage M., De Saedeleer C., Castermans T., Bengoetxea A., Petieau M., Seetharaman K., Hoellinger T., Dan B., Dutoit T., Sylos L.F., Lacquaniti F., Ivanenko Y. From spinal central pattern generators to cortical network: integrated BCI for walking rehabilitation. Neural Plast. 2012: 375148.
- Cui Z., Li Y., Huang S., Wu X., Fu X., Liu F., Wan X., Wang X., Zhang Y., Qiu H., Chen F., Yang P., Zhu S., Li J., Chen W. BCI system with lower-limb robot improves rehabilitation in spinal cord injury patients through short-term training: a pilot study. Cogn. Neurodyn. 2022. 16: 1283–1301.
- De Ridder D., Plazier M., Kamerling N., Menovsky T., Vanneste S. Burst spinal cord stimulation for limb and back pain. World Neurosurg. 2013. 80: 642–649.
- Dickstein R., Gazit-Grunwald M., Plax M., Dunsky A., Marcovitz E. EMG activity in selected target muscles during imagery rising on tiptoes in healthy adults and poststroke hemiparetic patients. J. Motor Behavior. 2005. 37 (6): 475–483.
- Do A.H., Wang P.T., King C.E., Abiri A., Nenadic Z. Brain-computer interface controlled functional electrical stimulation system for ankle movement. J. Neuroeng. Rehabil. 2011. 8:49.
- Do A.H., Wang P.T., King C.E., Chun S.N., Nenadic Z. Brain-computer interface controlled robotic gait orthosis. J. Neuroeng. Rehabil. 2013. 10:111.
- Donati A., Shokur S., Morya E., Campos D., Moioli R., Gitti C., Augusto P., Tripodi S., Pires C., Pereira G., Brasil F., Gallo S., Lin A., Takigami A., Aratanha M., Bleuler H., Cheng G., Rudolph A., Nicolelis M. Long-term training with a brain-machine interface-based gait protocol induces partial neurological recovery in paraplegic patients. Scientific Reports. 2016. 6: 30383.
- Gandevia S.C., Wilson L.R., Inglis J.T., Burke D. Mental rehearsal of motor tasks recruits α-motoneurones but fails to recruit human fusimotor neurones selectively. J. Physiol. 1997. 505 (1): 259–266.
- Gao W., Cui Z., Yu Y., Mao J., Xu J., Ji L., Kan X., Shen X., Li X., Zhu S., Hong Y. Application of a brain–computer interface system with visual and motor feedback in limb and brain functional rehabilitation after stroke: case report. Brain Sciences. 2022. 12 (8): 1083.
- García-Cossio E., Severens M., Nienhuis B., Duysens J., Desain P., Keijsers N., Farquhar J. Decoding sensorimotor rhythms during robotic-assisted treadmill walking for brain computer interface (BCI) applications. PLoS One. 2015. 10 (12): e0137910.
- Geiger D.E., Behrendt F., Schuster-Amft C. EMG muscle activation pattern of four lower extremity muscles during stair climbing, motor imagery, and robot-assisted stepping: a cross-sectional study in healthy individuals. BioMed. Research International. 2019. 2019: 9351689.
- Gerasimenko Y., Gorodnichev R., Puhov A., Moshon-kina T., Savochin A., Selionov V., Roy R.R., Lu D.C., Edgerton V.R. Initiation and modulation of locomotor circuitry output with multisite transcutaneous electrical stimulation of the spinal cord in noninjured humans. J. Neurophysiol. 2015. 113 (3): 834–842.
- Grishin A.A., Moshonkina T.R., Bobrova E.V., Gerasimenko Yu.P. A device for the rehabilitation therapy of patients with motor pathology using mechanotherapy, transcutaneous electrical stimulation of the spinal cord, and biological feedback. Biomed. Eng. 2019. 53: 227–230.
- Grosprêtre S., Lebon F., Papaxanthis C., Martin A. New evidence of corticospinal network modulation induced by motor imagery. J Neurophysiol. 2016. 115 (3): 1279–1288.
- Guillot A., Lebon F., Rouffet D., Champely S., Doyon J., Collet C. Muscular responses during motor imagery as a function of muscle contraction types. Internation J. Psychophysiol. 2007. 66 (1): 18–27.
- Haaland K.Y. Hemispheric asymmetries for kinematic and positional aspects of reaching. Brain. 2004. 127: 1145–1158.
- Harkema S., Gerasimenko Y., Hodes J., Burdick J., Angeli C., Chen Y., Ferreira C., Willhite A., Rejc E., Grossman R.G., Edgerton V.R. Effect of epidural stimulation of the lumbosacral spinal cord on voluntary movement, standing, and assisted stepping after motor complete paraplegia: a case study. Lancet. 2011. 377 (9781): 1938–1947.
- Harrington D.L., Haaland K.Y. Hemispheric specialization for motor sequencing: Abnormalities in levels of programming. Neuropsychologia. 1991. 29: 147–163.
- Hashimoto R., Rothwell J.C. Dynamic changes in corticospinal excitability during motor imagery,” Exp. Brain Res. 1999. 125 (1): 75–81.
- Hramov A.E., Maksimenko V.A., Pisarchik A.N. Physical principles of brain–computer interfaces and their applications for rehabilitation, robotics and control of human brain states. Physics Reports. 2021. 918: 1–133.
- Insausti-Delgado A., López-Larraz E., Nishimura Y., Ziemann U., Ramos-Murguialday A. Non-invasive brain-spine interface: continuous control of trans-spinal magnetic stimulation using EEG. Front. Bioeng. Biotechnol. 2022. 10: 975037.
- Jayaram V., Barachant A. MOABB: trustworthy algorithm benchmarking for BCIs. Journal of neural engineering. 2018. 15 (6). 066011.
- Kaneko F., Hayami T., Aoyama T., Kizuka T. Motor imagery and electrical stimulation reproduce corticospinal excitability at levels similar to voluntary muscle contraction. J. Neuroeng. Rehabil. 2014. 11: 94.
- King C.E., Wang P.T., Chui L.A., Do A.H., Nenadic Z. Operation of a brain-computer interface walking simulator for individuals with spinal cord injury. J. Neuroeng. Rehabil. 2013. 10:77.
- King C.E., Wang P.T., McCrimmon C.M., Chou C.C.Y., Do A.H., Nenadic Z. Brain-computer interface driven functional electrical stimulation system for overground walking in spinal cord injury participant. Conf. Proc. IEEE Eng. Med. Biol. Soc. 2014. 2014: 1238–1242.
- King C.E., Wang P.T., McCrimmon C.M., Chou C.C.Y., Do A.H., Nenadic Z. The feasibility of a brain-computer interface functional electrical stimulation system for the restoration of overground walking after paraplegia. J. Neuroeng. Rehabil. 2015. 12: 80.
- Li C., Wei J., Huang X., Duan Q., Zhang T. Effects of a brain-computer interface-operated lower limb rehabilitation robot on motor function recovery in patients with stroke. J. Healthcare Engineering. 2021. 2021: 4710044.
- Lotte F., Bougrain L., Cichocki A., Clerc M., Congedo M., Rakotomamonjy A., Yger F. A review of classification algorithms for EEG-based brain–computer interfaces: a 10 year update. Journal of neural engineering. 2018. 15 (3): 031005.
- Kruse A., Suica Z., Taeymans J., Schuster-Amft C. Effect of brain-computer interface training based on non-invasive electroencephalography using motor imagery on functional recovery after stroke-a systematic review and meta-analysis BMC neurology. 2020. 20 (1): 1–14.
- Luu T.P., He Y., Brown S., Nakagome S., Contreras-Vidal J. Gait adaptation to visual kinematic perturbations using a real-time closed-loop brain–computer interface to a virtual reality avatar. J. Neural Eng. 2016. 13: 036006.
- Manson G.A., Atkinson D.A., Shi Z., Sheynin J., Karmonik C., Markley R.L., Sayenko D.G. Transcutaneous spinal stimulation alters cortical and subcortical activation patterns during mimicked-standing: A proof-of-concept fMRI study. Neuroimage: Reports. 2022. 2 (2): 100090.
- McGeady C., Vučković A., Zheng Y.-P., Alam M. EEG monitoring is feasible and reliable during simultaneous transcutaneous electrical spinal cord stimulation. Sensors. 2021. 21 (19): 6593.
- McPherson J.G., Miller R.R., Perlmutter S.I., McPherson J.G., Robert R., Miller S.I.P. Targeted, activity-dependent spinal stimulation produces long-lasting motor recovery in chronic cervical spinal cord injury. Proc. Natl. Acad. Sci. USA. 2015. 78: 12193–12198.
- Moens M., Sunaert S., Mariën P., Brouns R., De Smedt A., Droogmans S., Van Schuerbeek P., Peeters R., Poelaert J., Nuttin B. Spinal cord stimulation modulates cerebral function: an fMRI study. Neuroradiology. 2012. 54 (12): 1399–1407.
- Mrachacz-Kersting N., Jiang N., Stevenson A.J., Niazi I.K., Kostic V., Pavlovic A., Radovanovic S., Djuric-Jovicic M., Agosta F., Dremstrup K., Farina D. Efficient neuroplasticity induction in chronic stroke patients by an associative brain-computer interface. J. Neurophysiol. 2016. 115 (3): 1410–21.
- Mulder T., De Vries S., Zijlstra S. Observation, imagination and execution of an effortful movement: more evidence for a central explanation of motor imagery. Experimental Brain Research. 2005. 163 (3): 344–351.
- Nishimura Y., Perlmutter S.I., Fetz E.E. Restoration of upper limb movement via artificial corticospinal and musculospinal connections in a monkey with spinal cord injury. Front. Neural Circuits. 2013. 7: 57.
- Page S.J. An overview of the effectiveness of motor imagery after stroke: a neuroimaging approach. The neurophysiological foundations of mental and motor imagery. Eds: Guillot A., Collet C. Oxford: Oxford Academic, 2012. 145–160 pp.
- Pérez M.Q., Beltrán E.T.M., Bernal S.L., Celdrán A.H., Pérez G.M. Breaching subjects' thoughts privacy: a study with visual stimuli and brain-computer interfaces. J. Healthc. Eng. 2021. 9 (2021): 5517637.
- Personnier P., Paizis C., Ballay Y., Papaxanthis C. Mentally represented motor actions in normal aging. II. The influence of the gravito-inertial context on the duration of overt and covert arm movements. Behavioural Brain Research. 2008. 186 (2): 273–283.
- Pino A., Tovar N., Barria P., Baleta K., Múnera M., Cifuentes C.A. Brain–computer interface for controlling lower-limb exoskeletons. in: interfacing humans and robots for gait assistance and rehabilitation. Springer: Cham, 2022. 237–258 pp.
- Posner M.I., Rothbart M.K. Research on attention networks as a model for the integration of psychological science. Annu. Rev. Psychol. 2007. 58: 1–23.
- Ranganathan V.K., Siemionow V., Liu J.Z., Sahgal V., Yue G.H. From mental power to muscle power—gaining strength by using the mind. Neuropsychologia. 2004. 42 (7): 944–956.
- Ren S., Wang W., Hou Z.-G., Liang X., Wang J., Shi W. enhanced motor imagery based brain-computer interface via FES and VR for lower limb. IEEE Trans. Neural Syst. 2020. 28 (8): 1846–1855.
- Saha S., Mamun K.A., Ahmed K.I.U., Mostafa R., Naik G.R., Darvishi S., Khandoker A.H., Baumert M. Progress in Brain Computer Interface: Challenges and Potentials. Frontiers in Systems Neuroscience. 2021. 15: P. 4.
- Sainburg R.L. Handedness: differential specializations for control of trajectory and position. Exerc. Sport Sci. Rev. 2005. 33: 206–213.
- Sainburg R.L., Duff S.V. Does motor lateralization have implications for stroke rehabilitation? J. Rehabil. Res. Dev. 2006. 43: 311.
- Steele A.G., Manson G.A., Horner P.J., Sayenko D.G., Contreras-Vidal J.L. Effects of transcutaneous spinal stimulation on spatiotemporal cortical activation patterns: a proof-of-concept EEG study. J. Neural. Eng. 2022. 19 (4): 046001.
- Takahashi M., Takeda K., Otaka Y., Osu R., Hanakawa T., Gouko M., Ito K. Event related desynchronization-modulated functional electrical stimulation system for stroke rehabilitation: A feasibility study. J. NeuroEngineering and Rehabilitation. 2012. 9: 56.
- Takahashi Y., Kawakami M., Yamaguchi T., Idogawa Y., Tanabe S., Kondo K., Liu M. Effects of leg motor imagery combined with electrical stimulation on plasticity of corticospinal excitability and spinal reciprocal inhibition. Front. Neurosci. 2019. 13: 149.
- Telkes L., Hancu M., Paniccioli S., Grey R., Briotte M., McCarthy K., Raviv N., Pilitsis J.G. Differences in EEG patterns between tonic and high frequency spinal cord stimulation in chronic pain patients. Clinical Neurophysiology. 2020. 131 (8): 1731–1740.
- Yadav A.P., Li D., Nicolelis M.A.L. A brain to spine interface for transferring artificial sensory information. Sci. Rep. 2020. 10: 900–915.
- Yasui T., Yamaguchi T., Tanabe S., Tatemoto T., Takahashi Y., Kondo K., Kawakami M. Time course of changes in corticospinal excitability induced by motor imagery during action observation combined with peripheral nerve electrical stimulation. Exp. Brain Res. 2019. 237: 637–645.
- Zimmermann J.B., Jackson A. Closed-loop control of spinal cord stimulation to restore hand function after paralysis. Front. Neurosci. 2014. 8: 87–88.






