Расчет возмущения слоя плазмы электрическим полем

Обложка

Цитировать

Полный текст

Аннотация

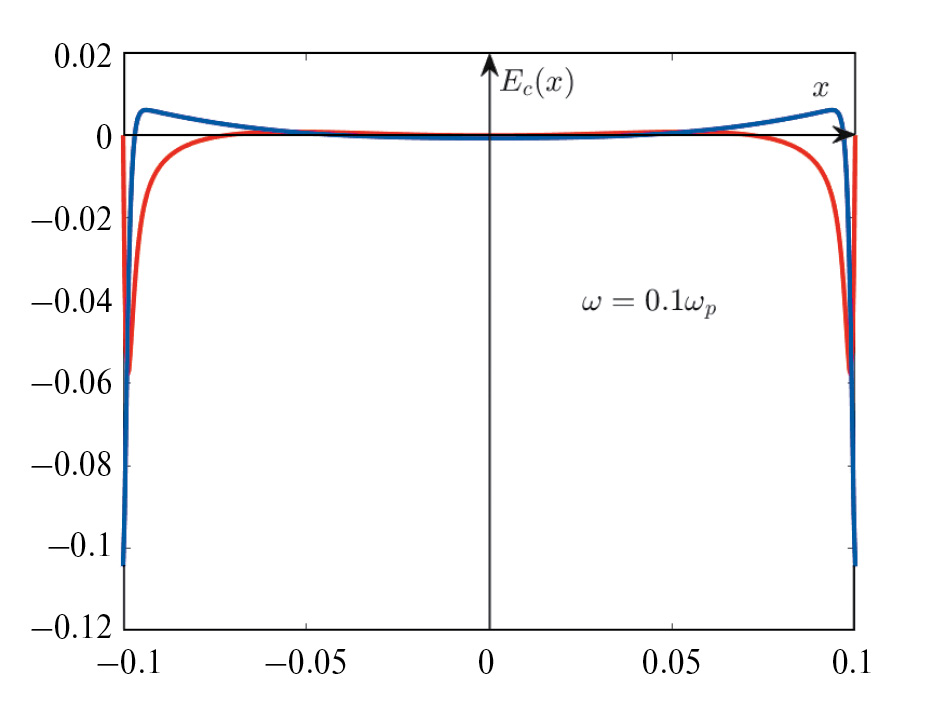
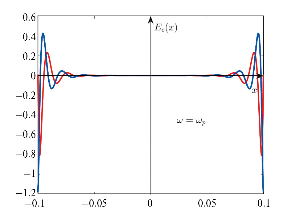
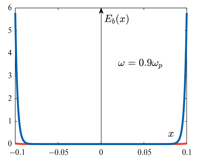
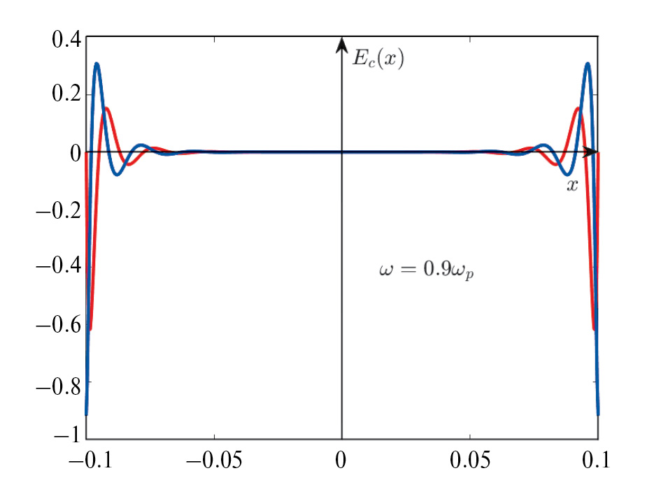
Представлены результаты решения краевой задачи для системы двух интегродифференциальных уравнений, моделирующей воздействие внешнего электрического поля на слой плазмы. Такая система является следствием уравнений Больцмана–Максвелла, а искомые функции имеют физический смысл напряженности самосогласованного электрического поля и возмущения плотности распределения электронов. При построении решения задачи использованы теория преобразования Фурье обобщенных функций и теория сингулярных интегральных уравнений с ядром Коши. Исследована зависимость полученного решения от частоты внешнего поля. Библ. 20. Фиг. 17.

Полный текст

1. ВВЕДЕНИЕ

Построение аналитических решений для задач плазмодинамики вызывает существенный интерес у специалистов, см., например, [1] MathType@MTEF@5@5@+= feaahGart1ev3aqatCvAUfeBSjuyZL2yd9gzLbvyNv2CaerbuLwBLn hiov2DGi1BTfMBaeXatLxBI9gBaerbd9wDYLwzYbItLDharqqtubsr 4rNCHbGeaGqiVu0Je9sqqrpepC0xbbL8F4rqqrFfpeea0xe9Lq=Jc9 vqaqpepm0xbba9pwe9Q8fs0=yqaqpepae9pg0FirpepeKkFr0xfr=x fr=xb9adbaqaaeGaciGaaiaabeqaamaabaabaaGcbaacbaqcLbvaqa aaaaaaaaWdbiaa=nbiaaa@3794@ [3]. Настоящая работа посвящена численной реализации аналитического решения [4], [5] задачи об отклике слоя плазмы на возмущение внешним электрическим полем; о таких задачах см. [6] MathType@MTEF@5@5@+= feaahGart1ev3aqatCvAUfeBSjuyZL2yd9gzLbvyNv2CaerbuLwBLn hiov2DGi1BTfMBaeXatLxBI9gBaerbd9wDYLwzYbItLDharqqtubsr 4rNCHbGeaGqiVu0Je9sqqrpepC0xbbL8F4rqqrFfpeea0xe9Lq=Jc9 vqaqpepm0xbba9pwe9Q8fs0=yqaqpepae9pg0FirpepeKkFr0xfr=x fr=xb9adbaqaaeGaciGaaiaabeqaamaabaabaaGcbaacbaqcLbvaqa aaaaaaaaWdbiaa=nbiaaa@3794@ [10].

Предполагается, что на слой плазмы действует электрическое поле постоянной частоты и малой амплитуды. Вектор электрической напряженности этого поля направлен перпендикулярно границе слоя. В результате в плазме возникают колебания заряженных частиц. Движением ионов будем пренебрегать (см. [8]), рассматривая только электроны. Состояние плазмы будет характеризоваться плотностью электронов и напряженностью самосогласованного поля. Приведем подробный вывод поставленной задачи, заимствуя общую схему рассуждений из работ [4] и [10].

Рассматривается бесконечный слой плазмы ширины 2L MathType@MTEF@5@5@+= feaahGart1ev3aaatCvAUfeBSjuyZL2yd9gzLbvyNv2Caerbov2D09 MBdbqedmvETj2BSbqeduuDJXwAKbYu51MyVXgarqqr1ngBPrgifHhD YfgasaacHOWxh9vrFfeu0dXdh9vqqj=hEeeu0xXdbba9frFj0=OqFf ea0dXdd9vspGe9FjuP0=fs0xXdbba9pGe9xq=Jbba9suk9fr=xfr=x frpeWZqaaeaabiGaaiaadaqabeaabeqacqaaaOqaaiaaikdacaWGmb aaaa@3A12@ , занимающий область {(x,y,z):x(L,L),y,z} MathType@MTEF@5@5@+= feaahGart1ev3aaatCvAUfeBSjuyZL2yd9gzLbvyNv2Caerbov2D09 MBdbqedmvETj2BSbqeduuDJXwAKbYu51MyVXgarqqr1ngBPrgifHhD YfgasaacHOWxh9vrFfeu0dXdh9vqqj=hEeeu0xXdbba9frFj0=OqFf ea0dXdd9vspGe9FjuP0=fs0xXdbba9pGe9xq=Jbba9suk9fr=xfr=x frpeWZqaaeaabiGaaiaadaqabeaabeqacqaaaOqaaiaaiUhacaaIOa GaamiEaiaaiYcacaWG5bGaaGilaiaadQhacaaIPaGaaGOoaiaadIha cqGHiiIZcaaIOaGaeyOeI0IaamitaiaaiYcacaWGmbGaaGykaiaaiY cacaWG5bGaaGilaiaadQhacqGHiiIZtuuDJXwAK1uy0HMmaeHbfv3y SLgzG0uy0HgiuD3BaGqbaiab=1risjaai2haaaa@57F0@ . В невозмущенном состоянии распределение электронов описывается функцией Максвелла:

f 0 (v)= n 0 β π 3 2 e β v 2 ,β= m 2 k B T , MathType@MTEF@5@5@+= feaahGart1ev3aaatCvAUfeBSjuyZL2yd9gzLbvyNv2Caerbov2D09 MBdbqedmvETj2BSbqeduuDJXwAKbYu51MyVXgarqqr1ngBPrgifHhD YfgasaacHOWxh9vrFfeu0dXdh9vqqj=hEeeu0xXdbba9frFj0=OqFf ea0dXdd9vspGe9FjuP0=fs0xXdbba9pGe9xq=Jbba9suk9fr=xfr=x frpeWZqaaeaabiGaaiaadaqabeaabeqacqaaaOqaaiaadAgadaWgaa WcbaGaaGimaaqabaGccaaIOaacbmGaa8NDaiaaiMcacaaI9aGaamOB amaaBaaaleaacaaIWaaabeaakmaabmaabaWaaSaaaeaacqaHYoGyae aacqaHapaCaaaacaGLOaGaayzkaaWaaWbaaSqabeaadaWcaaqaaiaa iodaaeaacaaIYaaaaaaakiaadwgadaahaaWcbeqaaiabgkHiTiabek 7aIjaa=zhadaahaaqabeaacaaIYaaaaaaakiaaiYcacaaMf8UaeqOS diMaaGypamaalaaabaGaamyBaaqaaiaaikdacaWGRbWaaSbaaSqaai aadkeaaeqaaOGaamivaaaacaaISaaaaa@5593@  (1)

в которой n0= const  MathType@MTEF@5@5@+= feaahGart1ev3aqatCvAUfeBSjuyZL2yd9gzLbvyNv2CaerbuLwBLn hiov2DGi1BTfMBaeXatLxBI9gBaerbd9wDYLwzYbItLDharqqtubsr 4rNCHbGeaGqiVu0Je9sqqrpepC0xbbL8F4rqqrFfpeea0xe9Lq=Jc9 vqaqpepm0xbba9pwe9Q8fs0=yqaqpepae9pg0FirpepeKkFr0xfr=x fr=xb9adbaqaaeGaciGaaiaabeqaamaabaabaaGcbaacbaqcLbvaqa aaaaaaaaWdbiaa=nbiaaa@3794@  концентрация заряженных частиц при отсутствии внешнего электрического поля, m MathType@MTEF@5@5@+= feaahGart1ev3aqatCvAUfeBSjuyZL2yd9gzLbvyNv2CaerbuLwBLn hiov2DGi1BTfMBaeXatLxBI9gBaerbd9wDYLwzYbItLDharqqtubsr 4rNCHbGeaGqiVu0Je9sqqrpepC0xbbL8F4rqqrFfpeea0xe9Lq=Jc9 vqaqpepm0xbba9pwe9Q8fs0=yqaqpepae9pg0FirpepeKkFr0xfr=x fr=xb9adbaqaaeGaciGaaiaabeqaamaabaabaaGcbaacbaqcLbvaqa aaaaaaaaWdbiaa=nbiaaa@3794@  масса электрона, k B MathType@MTEF@5@5@+= feaahGart1ev3aaatCvAUfeBSjuyZL2yd9gzLbvyNv2Caerbov2D09 MBdbqedmvETj2BSbqeduuDJXwAKbYu51MyVXgarqqr1ngBPrgifHhD YfgasaacHOWxh9vrFfeu0dXdh9vqqj=hEeeu0xXdbba9frFj0=OqFf ea0dXdd9vspGe9FjuP0=fs0xXdbba9pGe9xq=Jbba9suk9fr=xfr=x frpeWZqaaeaabiGaaiaadaqabeaabeqacqaaaOqaaiaadUgadaWgaa WcbaacbaGaa8Nqaaqabaaaaa@3A6D@   MathType@MTEF@5@5@+= feaahGart1ev3aqatCvAUfeBSjuyZL2yd9gzLbvyNv2CaerbuLwBLn hiov2DGi1BTfMBaeXatLxBI9gBaerbd9wDYLwzYbItLDharqqtubsr 4rNCHbGeaGqiVu0Je9sqqrpepC0xbbL8F4rqqrFfpeea0xe9Lq=Jc9 vqaqpepm0xbba9pwe9Q8fs0=yqaqpepae9pg0FirpepeKkFr0xfr=x fr=xb9adbaqaaeGaciGaaiaabeqaamaabaabaaGcbaacbaqcLbvaqa aaaaaaaaWdbiaa=nbiaaa@3794@  постоянная Больцмана, T MathType@MTEF@5@5@+= feaahGart1ev3aqatCvAUfeBSjuyZL2yd9gzLbvyNv2CaerbuLwBLn hiov2DGi1BTfMBaeXatLxBI9gBaerbd9wDYLwzYbItLDharqqtubsr 4rNCHbGeaGqiVu0Je9sqqrpepC0xbbL8F4rqqrFfpeea0xe9Lq=Jc9 vqaqpepm0xbba9pwe9Q8fs0=yqaqpepae9pg0FirpepeKkFr0xfr=x fr=xb9adbaqaaeGaciGaaiaabeqaamaabaabaaGcbaacbaqcLbvaqa aaaaaaaaWdbiaa=nbiaaa@3794@  температура плазмы, которая считается постоянной в данной задаче.

В результате внешнего воздействия в слое плазмы возникает самосогласованное поле, описываемое векторами E MathType@MTEF@5@5@+= feaahGart1ev3aaatCvAUfeBSjuyZL2yd9gzLbvyNv2Caerbov2D09 MBdbqedmvETj2BSbqeduuDJXwAKbYu51MyVXgarqqr1ngBPrgifHhD YfgasaacHOWxh9vrFfeu0dXdh9vqqj=hEeeu0xXdbba9frFj0=OqFf ea0dXdd9vspGe9FjuP0=fs0xXdbba9pGe9xq=Jbba9suk9fr=xfr=x frpeWZqaaeaabiGaaiaadaqabeaabeqacqaaaOqaaGqadiaa=veaaa a@3957@  и B MathType@MTEF@5@5@+= feaahGart1ev3aaatCvAUfeBSjuyZL2yd9gzLbvyNv2Caerbov2D09 MBdbqedmvETj2BSbqeduuDJXwAKbYu51MyVXgarqqr1ngBPrgifHhD YfgasaacHOWxh9vrFfeu0dXdh9vqqj=hEeeu0xXdbba9frFj0=OqFf ea0dXdd9vspGe9FjuP0=fs0xXdbba9pGe9xq=Jbba9suk9fr=xfr=x frpeWZqaaeaabiGaaiaadaqabeaabeqacqaaaOqaaGqadiaa=jeaaa a@3954@ , а распределение электронов – функцией f(r,vt) MathType@MTEF@5@5@+= feaahGart1ev3aaatCvAUfeBSjuyZL2yd9gzLbvyNv2Caerbov2D09 MBdbqedmvETj2BSbqeduuDJXwAKbYu51MyVXgarqqr1ngBPrgifHhD YfgasaacHOWxh9vrFfeu0dXdh9vqqj=hEeeu0xXdbba9frFj0=OqFf ea0dXdd9vspGe9FjuP0=fs0xXdbba9pGe9xq=Jbba9suk9fr=xfr=x frpeWZqaaeaabiGaaiaadaqabeaabeqacqaaaOqaaiaadAgacaaIOa GaamOCaiaaiYcacaaMe8ocbmGaa8NDaiaaysW7caWG0bGaaGykaaaa @4198@ . Состояние плазмы характеризуется системой Больцмана–Максвелла

f t +v f r +e E+ 1 c [v,H] f p = I st , MathType@MTEF@5@5@+= feaahGart1ev3aaatCvAUfeBSjuyZL2yd9gzLbvyNv2Caerbov2D09 MBdbqedmvETj2BSbqeduuDJXwAKbYu51MyVXgarqqr1ngBPrgifHhD YfgasaacHOWxh9vrFfeu0dXdh9vqqj=hEeeu0xXdbba9frFj0=OqFf ea0dXdd9vspGe9FjuP0=fs0xXdbba9pGe9xq=Jbba9suk9fr=xfr=x frpeWZqaaeaabiGaaiaadaqabeaabeqacqaaaOqaamaalaaabaGaey OaIyRaamOzaaqaaiabgkGi2kaadshaaaGaey4kaSccbmGaa8NDamaa laaabaGaeyOaIyRaamOzaaqaaiabgkGi2kaa=jhaaaGaey4kaSYefv 3ySLgzgjxyRrxDYbqeguuDJXwAKbIrYf2A0vNCaGqbaiab+5b8Lnaa bmaabaGaa8xraiabgUcaRmaalaaabaGaaGymaaqaaiaadogaaaGaaG 4waiaa=zhacaaISaGaa8hsaiaai2faaiaawIcacaGLPaaadaWcaaqa aiabgkGi2kaadAgaaeaacqGHciITcaWFWbaaaiaai2dacaWGjbWaaS baaSqaaiaadohacaWG0baabeaakiaaiYcaaaa@63CE@  (2)

divE=4πρ,ρ=e 3 (f f 0 ) d 3 v, MathType@MTEF@5@5@+= feaahGart1ev3aaatCvAUfeBSjuyZL2yd9gzLbvyNv2Caerbov2D09 MBdbqedmvETj2BSbqeduuDJXwAKbYu51MyVXgarqqr1ngBPrgifHhD YfgasaacHOWxh9vrFfeu0dXdh9vqqj=hEeeu0xXdbba9frFj0=OqFf ea0dXdd9vspGe9FjuP0=fs0xXdbba9pGe9xq=Jbba9suk9fr=xfr=x frpeWZqaaeaabiGaaiaadaqabeaabeqacqaaaOqaaiaabsgaieaaca WFPbGaa8NDaiaaysW7ieWacaGFfbGaaGypaiaaisdacqaHapaCcqaH bpGCcaaISaGaaGzbVlabeg8aYjaai2datuuDJXwAKzKCHTgD1jhary qr1ngBPrgigjxyRrxDYbacfaGae0NhWx2aa8qeaeqaleaatuuDJXwA K1uy0HMmaeXbfv3ySLgzG0uy0HgiuD3BaGGbaiab81risnaaCaaabe qaaiaaiodaaaaabeqdcqGHRiI8aOGaaGikaiaadAgacqGHsislcaWG MbWaaSbaaSqaaiaaicdaaeqaaOGaaGykaiaadsgadaahaaWcbeqaai aaiodaaaGccaWG2bGaaGilaaaa@6A89@  (3)

rotE=1cBt, (4)

B=mH, MathType@MTEF@5@5@+= feaahGart1ev3aaatCvAUfeBSjuyZL2yd9gzLbvyNv2Caerbov2D09 MBdbqedmvETj2BSbqeduuDJXwAKbYu51MyVXgarqqr1ngBPrgifHhD YfgasaacHOWxh9vrFfeu0dXdh9vqqj=hEeeu0xXdbba9frFj0=OqFf ea0dXdd9vspGe9FjuP0=fs0xXdbba9pGe9xq=Jbba9suk9fr=xfr=x frpeWZqaaeaabiGaaiaadaqabeaabeqacqaaaOqaaGqadiaa=jeaca aI9aGaamyBaiaa=HeacaaISaaaaa@3C8C@  (5)

где f(r,v,t) MathType@MTEF@5@5@+= feaahGart1ev3aaatCvAUfeBSjuyZL2yd9gzLbvyNv2Caerbov2D09 MBdbqedmvETj2BSbqeduuDJXwAKbYu51MyVXgarqqr1ngBPrgifHhD YfgasaacHOWxh9vrFfeu0dXdh9vqqj=hEeeu0xXdbba9frFj0=OqFf ea0dXdd9vspGe9FjuP0=fs0xXdbba9pGe9xq=Jbba9suk9fr=xfr=x frpeWZqaaeaabiGaaiaadaqabeaabeqacqaaaOqaaiaadAgacaaIOa acbmGaa8NCaiaaiYcacaWF2bGaaGilaiaadshacaaIPaaaaa@3F30@   MathType@MTEF@5@5@+= feaahGart1ev3aqatCvAUfeBSjuyZL2yd9gzLbvyNv2CaerbuLwBLn hiov2DGi1BTfMBaeXatLxBI9gBaerbd9wDYLwzYbItLDharqqtubsr 4rNCHbGeaGqiVu0Je9sqqrpepC0xbbL8F4rqqrFfpeea0xe9Lq=Jc9 vqaqpepm0xbba9pwe9Q8fs0=yqaqpepae9pg0FirpepeKkFr0xfr=x fr=xb9adbaqaaeGaciGaaiaabeqaamaabaabaaGcbaacbaqcLbvaqa aaaaaaaaWdbiaa=nbiaaa@3794@  искомая функция распределения электронов, ρ MathType@MTEF@5@5@+= feaahGart1ev3aaatCvAUfeBSjuyZL2yd9gzLbvyNv2Caerbov2D09 MBdbqedmvETj2BSbqeduuDJXwAKbYu51MyVXgarqqr1ngBPrgifHhD YfgasaacHOWxh9vrFfeu0dXdh9vqqj=hEeeu0xXdbba9frFj0=OqFf ea0dXdd9vspGe9FjuP0=fs0xXdbba9pGe9xq=Jbba9suk9fr=xfr=x frpeWZqaaeaabiGaaiaadaqabeaabeqacqaaaOqaaiabeg8aYbaa@3A45@   MathType@MTEF@5@5@+= feaahGart1ev3aqatCvAUfeBSjuyZL2yd9gzLbvyNv2CaerbuLwBLn hiov2DGi1BTfMBaeXatLxBI9gBaerbd9wDYLwzYbItLDharqqtubsr 4rNCHbGeaGqiVu0Je9sqqrpepC0xbbL8F4rqqrFfpeea0xe9Lq=Jc9 vqaqpepm0xbba9pwe9Q8fs0=yqaqpepae9pg0FirpepeKkFr0xfr=x fr=xb9adbaqaaeGaciGaaiaabeqaamaabaabaaGcbaacbaqcLbvaqa aaaaaaaaWdbiaa=nbiaaa@3794@  плотность заряда, e MathType@MTEF@5@5@+= feaahGart1ev3aaatCvAUfeBSjuyZL2yd9gzLbvyNv2Caerbov2D09 MBdbqedmvETj2BSbqeduuDJXwAKbYu51MyVXgarqqr1ngBPrgifHhD YfgasaacHOWxh9vrFfeu0dXdh9vqqj=hEeeu0xXdbba9frFj0=OqFf ea0dXdd9vspGe9FjuP0=fs0xXdbba9pGe9xq=Jbba9suk9fr=xfr=x frpeWZqaaeaabiGaaiaadaqabeaabeqacqaaaOqaamrr1ngBPrMrYf 2A0vNCaeHbfv3ySLgzGyKCHTgD1jhaiuaacqWFEaFzaaa@453E@   MathType@MTEF@5@5@+= feaahGart1ev3aqatCvAUfeBSjuyZL2yd9gzLbvyNv2CaerbuLwBLn hiov2DGi1BTfMBaeXatLxBI9gBaerbd9wDYLwzYbItLDharqqtubsr 4rNCHbGeaGqiVu0Je9sqqrpepC0xbbL8F4rqqrFfpeea0xe9Lq=Jc9 vqaqpepm0xbba9pwe9Q8fs0=yqaqpepae9pg0FirpepeKkFr0xfr=x fr=xb9adbaqaaeGaciGaaiaabeqaamaabaabaaGcbaacbaqcLbvaqa aaaaaaaaWdbiaa=nbiaaa@3794@  заряд электрона, v MathType@MTEF@5@5@+= feaahGart1ev3aaatCvAUfeBSjuyZL2yd9gzLbvyNv2Caerbov2D09 MBdbqedmvETj2BSbqeduuDJXwAKbYu51MyVXgarqqr1ngBPrgifHhD YfgasaacHOWxh9vrFfeu0dXdh9vqqj=hEeeu0xXdbba9frFj0=OqFf ea0dXdd9vspGe9FjuP0=fs0xXdbba9pGe9xq=Jbba9suk9fr=xfr=x frpeWZqaaeaabiGaaiaadaqabeaabeqacqaaaOqaaGqadiaa=zhaaa a@3988@  и p MathType@MTEF@5@5@+= feaahGart1ev3aaatCvAUfeBSjuyZL2yd9gzLbvyNv2Caerbov2D09 MBdbqedmvETj2BSbqeduuDJXwAKbYu51MyVXgarqqr1ngBPrgifHhD YfgasaacHOWxh9vrFfeu0dXdh9vqqj=hEeeu0xXdbba9frFj0=OqFf ea0dXdd9vspGe9FjuP0=fs0xXdbba9pGe9xq=Jbba9suk9fr=xfr=x frpeWZqaaeaabiGaaiaadaqabeaabeqacqaaaOqaaGqadiaa=bhaaa a@3982@   MathType@MTEF@5@5@+= feaahGart1ev3aqatCvAUfeBSjuyZL2yd9gzLbvyNv2CaerbuLwBLn hiov2DGi1BTfMBaeXatLxBI9gBaerbd9wDYLwzYbItLDharqqtubsr 4rNCHbGeaGqiVu0Je9sqqrpepC0xbbL8F4rqqrFfpeea0xe9Lq=Jc9 vqaqpepm0xbba9pwe9Q8fs0=yqaqpepae9pg0FirpepeKkFr0xfr=x fr=xb9adbaqaaeGaciGaaiaabeqaamaabaabaaGcbaacbaqcLbvaqa aaaaaaaaWdbiaa=nbiaaa@3794@  скорость и импульс электрона, m MathType@MTEF@5@5@+= feaahGart1ev3aqatCvAUfeBSjuyZL2yd9gzLbvyNv2CaerbuLwBLn hiov2DGi1BTfMBaeXatLxBI9gBaerbd9wDYLwzYbItLDharqqtubsr 4rNCHbGeaGqiVu0Je9sqqrpepC0xbbL8F4rqqrFfpeea0xe9Lq=Jc9 vqaqpepm0xbba9pwe9Q8fs0=yqaqpepae9pg0FirpepeKkFr0xfr=x fr=xb9adbaqaaeGaciGaaiaabeqaamaabaabaaGcbaacbaqcLbvaqa aaaaaaaaWdbiaa=nbiaaa@3794@  магнитная проницаемость.

В случае слабого воздействия интеграл столкновений в правой части уравнения (2) можно записать в приближении Бхатнагара–Гросса–Крука [11], [12]:

I st =ν( f eq f), MathType@MTEF@5@5@+= feaahGart1ev3aaatCvAUfeBSjuyZL2yd9gzLbvyNv2Caerbov2D09 MBdbqedmvETj2BSbqeduuDJXwAKbYu51MyVXgarqqr1ngBPrgifHhD YfgasaacHOWxh9vrFfeu0dXdh9vqqj=hEeeu0xXdbba9frFj0=OqFf ea0dXdd9vspGe9FjuP0=fs0xXdbba9pGe9xq=Jbba9suk9fr=xfr=x frpeWZqaaeaabiGaaiaadaqabeaabeqacqaaaOqaaiaadMeadaWgaa WcbaGaam4CaiaadshaaeqaaOGaaGypaiabe27aUjaaiIcacaWGMbWa aSbaaSqaaiaadwgacaWGXbaabeaakiabgkHiTiaadAgacaaIPaGaaG ilaaaa@44ED@  (6)

где параметр ν MathType@MTEF@5@5@+= feaahGart1ev3aaatCvAUfeBSjuyZL2yd9gzLbvyNv2Caerbov2D09 MBdbqedmvETj2BSbqeduuDJXwAKbYu51MyVXgarqqr1ngBPrgifHhD YfgasaacHOWxh9vrFfeu0dXdh9vqqj=hEeeu0xXdbba9frFj0=OqFf ea0dXdd9vspGe9FjuP0=fs0xXdbba9pGe9xq=Jbba9suk9fr=xfr=x frpeWZqaaeaabiGaaiaadaqabeaabeqacqaaaOqaaiabe27aUbaa@3A3D@   MathType@MTEF@5@5@+= feaahGart1ev3aqatCvAUfeBSjuyZL2yd9gzLbvyNv2CaerbuLwBLn hiov2DGi1BTfMBaeXatLxBI9gBaerbd9wDYLwzYbItLDharqqtubsr 4rNCHbGeaGqiVu0Je9sqqrpepC0xbbL8F4rqqrFfpeea0xe9Lq=Jc9 vqaqpepm0xbba9pwe9Q8fs0=yqaqpepae9pg0FirpepeKkFr0xfr=x fr=xb9adbaqaaeGaciGaaiaabeqaamaabaabaaGcbaacbaqcLbvaqa aaaaaaaaWdbiaa=nbiaaa@3794@  частота столкновений электронов в плазме (эффективная частота рассеяния электронов), f eq (r,v,t) MathType@MTEF@5@5@+= feaahGart1ev3aaatCvAUfeBSjuyZL2yd9gzLbvyNv2Caerbov2D09 MBdbqedmvETj2BSbqeduuDJXwAKbYu51MyVXgarqqr1ngBPrgifHhD YfgasaacHOWxh9vrFfeu0dXdh9vqqj=hEeeu0xXdbba9frFj0=OqFf ea0dXdd9vspGe9FjuP0=fs0xXdbba9pGe9xq=Jbba9suk9fr=xfr=x frpeWZqaaeaabiGaaiaadaqabeaabeqacqaaaOqaaiaadAgadaWgaa WcbaGaamyzaiaadghaaeqaaOGaaGikaGqadiaa=jhacaaISaGaa8ND aiaaiYcacaWG0bGaaGykaaaa@4146@   MathType@MTEF@5@5@+= feaahGart1ev3aqatCvAUfeBSjuyZL2yd9gzLbvyNv2CaerbuLwBLn hiov2DGi1BTfMBaeXatLxBI9gBaerbd9wDYLwzYbItLDharqqtubsr 4rNCHbGeaGqiVu0Je9sqqrpepC0xbbL8F4rqqrFfpeea0xe9Lq=Jc9 vqaqpepm0xbba9pwe9Q8fs0=yqaqpepae9pg0FirpepeKkFr0xfr=x fr=xb9adbaqaaeGaciGaaiaabeqaamaabaabaaGcbaacbaqcLbvaqa aaaaaaaaWdbiaa=nbiaaa@3794@  локально равновесная функция распределения, определяемая формулой

f eq (r,v,t)= n eq (r,t) β π 3 2 e β v 2 ,β= m 2 k B T , MathType@MTEF@5@5@+= feaahGart1ev3aaatCvAUfeBSjuyZL2yd9gzLbvyNv2Caerbov2D09 MBdbqedmvETj2BSbqeduuDJXwAKbYu51MyVXgarqqr1ngBPrgifHhD YfgasaacHOWxh9vrFfeu0dXdh9vqqj=hEeeu0xXdbba9frFj0=OqFf ea0dXdd9vspGe9FjuP0=fs0xXdbba9pGe9xq=Jbba9suk9fr=xfr=x frpeWZqaaeaabiGaaiaadaqabeaabeqacqaaaOqaaiaadAgadaWgaa WcbaGaamyzaiaadghaaeqaaOGaaGikaGqadiaa=jhacaaISaGaa8ND aiaaiYcacaWG0bGaaGykaiaai2dacaWGUbWaaSbaaSqaaiaadwgaca WGXbaabeaakiaaiIcacaWFYbGaaGilaiaadshacaaIPaWaaeWaaeaa daWcaaqaaiabek7aIbqaaiabec8aWbaaaiaawIcacaGLPaaadaahaa WcbeqaamaalaaabaGaaG4maaqaaiaaikdaaaaaaOGaamyzamaaCaaa leqabaGaeyOeI0IaeqOSdiMccaWF2bWcdaahaaqabeaacaaIYaaaaa aakiaaiYcacaaMf8UaeqOSdiMaaGypamaalaaabaGaamyBaaqaaiaa ikdacaWGRbWaaSbaaSqaaiaadkeaaeqaaOGaamivaaaacaaISaaaaa@5F53@  (7)

в которой n eq (r,t) MathType@MTEF@5@5@+= feaahGart1ev3aaatCvAUfeBSjuyZL2yd9gzLbvyNv2Caerbov2D09 MBdbqedmvETj2BSbqeduuDJXwAKbYu51MyVXgarqqr1ngBPrgifHhD YfgasaacHOWxh9vrFfeu0dXdh9vqqj=hEeeu0xXdbba9frFj0=OqFf ea0dXdd9vspGe9FjuP0=fs0xXdbba9pGe9xq=Jbba9suk9fr=xfr=x frpeWZqaaeaabiGaaiaadaqabeaabeqacqaaaOqaaiaad6gadaWgaa WcbaGaamyzaiaadghaaeqaaOGaaGikaGqadiaa=jhacaaISaGaamiD aiaaiMcaaaa@3FA1@   MathType@MTEF@5@5@+= feaahGart1ev3aqatCvAUfeBSjuyZL2yd9gzLbvyNv2CaerbuLwBLn hiov2DGi1BTfMBaeXatLxBI9gBaerbd9wDYLwzYbItLDharqqtubsr 4rNCHbGeaGqiVu0Je9sqqrpepC0xbbL8F4rqqrFfpeea0xe9Lq=Jc9 vqaqpepm0xbba9pwe9Q8fs0=yqaqpepae9pg0FirpepeKkFr0xfr=x fr=xb9adbaqaaeGaciGaaiaabeqaamaabaabaaGcbaacbaqcLbvaqa aaaaaaaaWdbiaa=nbiaaa@3794@  концентрация заряженных частиц:

n eq (r,t)= 3 f eq (r,v,t) d 3 v. MathType@MTEF@5@5@+= feaahGart1ev3aaatCvAUfeBSjuyZL2yd9gzLbvyNv2Caerbov2D09 MBdbqedmvETj2BSbqeduuDJXwAKbYu51MyVXgarqqr1ngBPrgifHhD YfgasaacHOWxh9vrFfeu0dXdh9vqqj=hEeeu0xXdbba9frFj0=OqFf ea0dXdd9vspGe9FjuP0=fs0xXdbba9pGe9xq=Jbba9suk9fr=xfr=x frpeWZqaaeaabiGaaiaadaqabeaabeqacqaaaOqaaiaad6gadaWgaa WcbaGaamyzaiaadghaaeqaaOGaaGikaGqadiaa=jhacaaISaGaamiD aiaaiMcacaaI9aWaa8qeaeqaleaatuuDJXwAK1uy0HMmaeHbfv3ySL gzG0uy0HgiuD3BaGqbaiab+1risnaaCaaabeqaaiaaiodaaaaabeqd cqGHRiI8aOGaamOzamaaBaaaleaacaWGLbGaamyCaaqabaGccaaIOa Gaa8NCaiaaiYcacaWF2bGaaGilaiaadshacaaIPaGaamizamaaCaaa leqabaGaaG4maaaakiaadAhacaaIUaaaaa@5A58@  (8)

Учитывая условия задачи, вектор напряженности внешнего поля имеет только одну ненулевую координату:

E ext (r,t)= e iωt ( E ext ,0,0), MathType@MTEF@5@5@+= feaahGart1ev3aaatCvAUfeBSjuyZL2yd9gzLbvyNv2Caerbov2D09 MBdbqedmvETj2BSbqeduuDJXwAKbYu51MyVXgarqqr1ngBPrgifHhD YfgasaacHOWxh9vrFfeu0dXdh9vqqj=hEeeu0xXdbba9frFj0=OqFf ea0dXdd9vspGe9FjuP0=fs0xXdbba9pGe9xq=Jbba9suk9fr=xfr=x frpeWZqaaeaabiGaaiaadaqabeaabeqacqaaaOqaaGqadiaa=veada WgaaWcbaacbaGaa4xzaiaa+HhacaGF0baabeaakiaaiIcacaWFYbGa aGilaiaadshacaaIPaGaaGypaiaadwgadaahaaWcbeqaaiabgkHiTi aadMgacqaHjpWDcaWG0baaaOGaaGikaiaadweadaWgaaWcbaGaa4xz aiaa+HhacaGF0baabeaakiaaiYcacaaIWaGaaGilaiaaicdacaaIPa GaaGilaaaa@4FC3@

тогда согласно [13], функция распределения будет зависеть только от одной пространственной переменной и будет иметь вид f(x,v,t) MathType@MTEF@5@5@+= feaahGart1ev3aaatCvAUfeBSjuyZL2yd9gzLbvyNv2Caerbov2D09 MBdbqedmvETj2BSbqeduuDJXwAKbYu51MyVXgarqqr1ngBPrgifHhD YfgasaacHOWxh9vrFfeu0dXdh9vqqj=hEeeu0xXdbba9frFj0=OqFf ea0dXdd9vspGe9FjuP0=fs0xXdbba9pGe9xq=Jbba9suk9fr=xfr=x frpeWZqaaeaabiGaaiaadaqabeaabeqacqaaaOqaaiaadAgacaaIOa GaamiEaiaaiYcaieWacaWF2bGaaGilaiaadshacaaIPaaaaa@3F3A@ . Согласно [6], [8], электрическая и магнитная напряженности самосогласованного поля в плазме допускают представления:

E(r,t)= e iωt (E(x),0,0),H(r,t)= e iωt ( H x , H y , H z ), MathType@MTEF@5@5@+= feaahGart1ev3aaatCvAUfeBSjuyZL2yd9gzLbvyNv2Caerbov2D09 MBdbqedmvETj2BSbqeduuDJXwAKbYu51MyVXgarqqr1ngBPrgifHhD YfgasaacHOWxh9vrFfeu0dXdh9vqqj=hEeeu0xXdbba9frFj0=OqFf ea0dXdd9vspGe9FjuP0=fs0xXdbba9pGe9xq=Jbba9suk9fr=xfr=x frpeWZqaaeaabiGaaiaadaqabeaabeqacqaaaOqaaGqadiaa=veaca aIOaGaa8NCaiaaiYcacaWG0bGaaGykaiaai2dacaWGLbWaaWbaaSqa beaacqGHsislcaWGPbGaeqyYdCNaamiDaaaakiaaiIcacaWGfbGaaG ikaiaadIhacaaIPaGaaGilaiaaicdacaaISaGaaGimaiaaiMcacaaI SaGaaGjbVlaaysW7caWFibGaaGikaiaadkhacaaISaGaamiDaiaaiM cacaaI9aGaamyzamaaCaaaleqabaGaeyOeI0IaamyAaiabeM8a3jaa dshaaaGccaaIOaGaamisamaaBaaaleaacaWG4baabeaakiaaiYcaca WGibWaaSbaaSqaaiaadMhaaeqaaOGaaGilaiaadIeadaWgaaWcbaGa amOEaaqabaGccaaIPaGaaGilaaaa@640F@

которые после подстановки в уравнения (4), (5) дают результат

H=icωmrotE=0. (9)

Таким образом, магнитное поле не присутствует в уравнении (2), и система (2), (3) содержит только две неизвестных функции: функцию распределения f(x,v,t) MathType@MTEF@5@5@+= feaahGart1ev3aaatCvAUfeBSjuyZL2yd9gzLbvyNv2Caerbov2D09 MBdbqedmvETj2BSbqeduuDJXwAKbYu51MyVXgarqqr1ngBPrgifHhD YfgasaacHOWxh9vrFfeu0dXdh9vqqj=hEeeu0xXdbba9frFj0=OqFf ea0dXdd9vspGe9FjuP0=fs0xXdbba9pGe9xq=Jbba9suk9fr=xfr=x frpeWZqaaeaabiGaaiaadaqabeaabeqacqaaaOqaaiaadAgacaaIOa GaamiEaiaaiYcaieWacaWF2bGaaGilaiaadshacaaIPaaaaa@3F3A@  и электрическую напряженность самосогласованного поля E(x,t)=E(x) e iωt MathType@MTEF@5@5@+= feaahGart1ev3aaatCvAUfeBSjuyZL2yd9gzLbvyNv2Caerbov2D09 MBdbqedmvETj2BSbqeduuDJXwAKbYu51MyVXgarqqr1ngBPrgifHhD YfgasaacHOWxh9vrFfeu0dXdh9vqqj=hEeeu0xXdbba9frFj0=OqFf ea0dXdd9vspGe9FjuP0=fs0xXdbba9pGe9xq=Jbba9suk9fr=xfr=x frpeWZqaaeaabiGaaiaadaqabeaabeqacqaaaOqaaiaadweacaaIOa GaamiEaiaaiYcacaWG0bGaaGykaiaai2dacaWGfbGaaGikaiaadIha caaIPaGaamyzamaaCaaaleqabaGaeyOeI0IaamyAaiabeM8a3jaads haaaaaaa@470B@ .

Учитывая (6)–(9), уравнения (2), (3) преобразуются к виду (см. [10], [13]):

f(x,v,t) t + v x f(x,v,t) x +eE(x,t) f(x,v,t) p x = =ν( f eq (x,v,t)f(x,v,t)), MathType@MTEF@5@5@+= feaahGart1ev3aaatCvAUfeBSjuyZL2yd9gzLbvyNv2Caerbov2D09 MBdbqedmvETj2BSbqeduuDJXwAKbYu51MyVXgarqqr1ngBPrgifHhD YfgasaacHOWxh9vrFfeu0dXdh9vqqj=hEeeu0xXdbba9frFj0=OqFf ea0dXdd9vspGe9FjuP0=fs0xXdbba9pGe9xq=Jbba9suk9fr=xfr=x frpeWZqaaeaabiGaaiaadaqabeaabeqacqaaaOabaiqabaWaaSaaae aacqGHciITcaWGMbGaaGikaiaadIhacaaISaacbmGaa8NDaiaaiYca caWG0bGaaGykaaqaaiabgkGi2kaadshaaaGaey4kaSIaamODamaaBa aaleaacaWG4baabeaakmaalaaabaGaeyOaIyRaamOzaiaaiIcacaWG 4bGaaGilaiaa=zhacaaISaGaamiDaiaaiMcaaeaacqGHciITcaWG4b aaaiabgUcaRmrr1ngBPrMrYf2A0vNCaeHbfv3ySLgzGyKCHTgD1jha iuaacqGFEaFzcaWGfbGaaGikaiaadIhacaaISaGaamiDaiaaiMcada WcaaqaaiabgkGi2kaadAgacaaIOaGaamiEaiaaiYcacaWF2bGaaGil aiaadshacaaIPaaabaGaeyOaIyRaamiCamaaBaaaleaacaWG4baabe aaaaGccaaI9aaabaGaaGypaiabe27aUjaaiIcacaWGMbWaaSbaaSqa aiaadwgacaWGXbaabeaakiaaiIcacaWG4bGaaGilaiaa=zhacaaISa GaamiDaiaaiMcacqGHsislcaWGMbGaaGikaiaadIhacaaISaGaa8ND aiaaiYcacaWG0bGaaGykaiaaiMcacaaISaaaaaa@8481@  (10)

dE(x,t) dx =4πe 3 (f(x,v,t) f 0 (v)) d 3 v. MathType@MTEF@5@5@+= feaahGart1ev3aaatCvAUfeBSjuyZL2yd9gzLbvyNv2Caerbov2D09 MBdbqedmvETj2BSbqeduuDJXwAKbYu51MyVXgarqqr1ngBPrgifHhD YfgasaacHOWxh9vrFfeu0dXdh9vqqj=hEeeu0xXdbba9frFj0=OqFf ea0dXdd9vspGe9FjuP0=fs0xXdbba9pGe9xq=Jbba9suk9fr=xfr=x frpeWZqaaeaabiGaaiaadaqabeaabeqacqaaaOqaamaalaaabaGaam izaiaadweacaaIOaGaamiEaiaaiYcacaWG0bGaaGykaaqaaiaadsga caWG4baaaiaai2dacaaI0aGaeqiWda3efv3ySLgzgjxyRrxDYbqegu uDJXwAKbIrYf2A0vNCaGqbaiab=5b8LnaapebabeWcbaWefv3ySLgz nfgDOjdarCqr1ngBPrginfgDObcv39gaiyaacqGFDeIudaahaaqabe aacaaIZaaaaaqab0Gaey4kIipakiaaiIcacaWGMbGaaGikaiaadIha caaISaacbmGaa0NDaiaaiYcacaWG0bGaaGykaiabgkHiTiaadAgada WgaaWcbaGaaGimaaqabaGccaaIOaGaamODaiaaiMcacaaIPaGaamiz amaaCaaaleqabaGaaG4maaaakiaadAhacaaIUaaaaa@6EB7@  (11)

Здесь v MathType@MTEF@5@5@+= feaahGart1ev3aqatCvAUfeBSjuyZL2yd9gzLbvyNv2CaerbuLwBLn hiov2DGi1BTfMBaeXatLxBI9gBaerbd9wDYLwzYbItLDharqqtubsr 4rNCHbGeaGqiVu0Je9sqqrpepC0xbbL8F4rqqrFfpeea0xe9Lq=Jc9 vqaqpepm0xbba9pwe9Q8fs0=yqaqpepae9pg0FirpepeKkFr0xfr=x fr=xb9adbaqaaeGaciGaaiaabeqaamaabaabaaGcbaacbaqcLbvaqa aaaaaaaaWdbiaa=nbiaaa@3794@  модуль скорости, т.е. v 2 = v x 2 + v y 2 + v z 2 MathType@MTEF@5@5@+= feaahGart1ev3aaatCvAUfeBSjuyZL2yd9gzLbvyNv2Caerbov2D09 MBdbqedmvETj2BSbqeduuDJXwAKbYu51MyVXgarqqr1ngBPrgifHhD YfgasaacHOWxh9vrFfeu0dXdh9vqqj=hEeeu0xXdbba9frFj0=OqFf ea0dXdd9vspGe9FjuP0=fs0xXdbba9pGe9xq=Jbba9suk9fr=xfr=x frpeWZqaaeaabiGaaiaadaqabeaabeqacqaaaOqaaiaadAhadaahaa WcbeqaaiaaikdaaaGccaaI9aGaamODamaaDaaaleaacaWG4baabaGa aGOmaaaakiabgUcaRiaadAhadaqhaaWcbaGaamyEaaqaaiaaikdaaa GccqGHRaWkcaWG2bWaa0baaSqaaiaadQhaaeaacaaIYaaaaaaa@45B8@ . Таким образом, в результате сделанных предположений поставленная задача свелась к одномерной. Пользуясь условием малости амплитуды внешнего поля, будем решать ее в линейном приближении. Ниже продемонстрируем вывод линеаризованной системы.

При воздействии слабого электрического поля на среду заряженных частиц концентрация электронов перестает быть константой и меняется с изменением координаты. Будем считать, что справедливо следующее представление:

n eq (r,t)= n eq (x,t)= n 0 + n 1 (x) e iωt , MathType@MTEF@5@5@+= feaahGart1ev3aaatCvAUfeBSjuyZL2yd9gzLbvyNv2Caerbov2D09 MBdbqedmvETj2BSbqeduuDJXwAKbYu51MyVXgarqqr1ngBPrgifHhD YfgasaacHOWxh9vrFfeu0dXdh9vqqj=hEeeu0xXdbba9frFj0=OqFf ea0dXdd9vspGe9FjuP0=fs0xXdbba9pGe9xq=Jbba9suk9fr=xfr=x frpeWZqaaeaabiGaaiaadaqabeaabeqacqaaaOqaaiaad6gadaWgaa WcbaGaamyzaiaadghaaeqaaOGaaGikaGqadiaa=jhacaaISaGaamiD aiaaiMcacaaI9aGaamOBamaaBaaaleaacaWGLbGaamyCaaqabaGcca aIOaGaamiEaiaaiYcacaWG0bGaaGykaiaai2dacaWGUbWaaSbaaSqa aiaaicdaaeqaaOGaey4kaSIaamOBamaaBaaaleaacaaIXaaabeaaki aaiIcacaWG4bGaaGykaiaadwgadaahaaWcbeqaaiabgkHiTiaadMga cqaHjpWDcaWG0baaaOGaaGilaaaa@55CC@  (12)

где ω MathType@MTEF@5@5@+= feaahGart1ev3aaatCvAUfeBSjuyZL2yd9gzLbvyNv2Caerbov2D09 MBdbqedmvETj2BSbqeduuDJXwAKbYu51MyVXgarqqr1ngBPrgifHhD YfgasaacHOWxh9vrFfeu0dXdh9vqqj=hEeeu0xXdbba9frFj0=OqFf ea0dXdd9vspGe9FjuP0=fs0xXdbba9pGe9xq=Jbba9suk9fr=xfr=x frpeWZqaaeaabiGaaiaadaqabeaabeqacqaaaOqaaiabeM8a3baa@3A52@   MathType@MTEF@5@5@+= feaahGart1ev3aqatCvAUfeBSjuyZL2yd9gzLbvyNv2CaerbuLwBLn hiov2DGi1BTfMBaeXatLxBI9gBaerbd9wDYLwzYbItLDharqqtubsr 4rNCHbGeaGqiVu0Je9sqqrpepC0xbbL8F4rqqrFfpeea0xe9Lq=Jc9 vqaqpepm0xbba9pwe9Q8fs0=yqaqpepae9pg0FirpepeKkFr0xfr=x fr=xb9adbaqaaeGaciGaaiaabeqaamaabaabaaGcbaacbaqcLbvaqa aaaaaaaaWdbiaa=nbiaaa@3794@  частота внешнего поля, а возмущение концентрации n 1 (x) e iωt MathType@MTEF@5@5@+= feaahGart1ev3aaatCvAUfeBSjuyZL2yd9gzLbvyNv2Caerbov2D09 MBdbqedmvETj2BSbqeduuDJXwAKbYu51MyVXgarqqr1ngBPrgifHhD YfgasaacHOWxh9vrFfeu0dXdh9vqqj=hEeeu0xXdbba9frFj0=OqFf ea0dXdd9vspGe9FjuP0=fs0xXdbba9pGe9xq=Jbba9suk9fr=xfr=x frpeWZqaaeaabiGaaiaadaqabeaabeqacqaaaOqaaiaad6gadaWgaa WcbaGaaGymaaqabaGccaaIOaGaamiEaiaaiMcacaWGLbWaaWbaaSqa beaacqGHsislcaWGPbGaeqyYdCNaamiDaaaaaaa@4283@  мало по сравнению с величиной n 0 MathType@MTEF@5@5@+= feaahGart1ev3aaatCvAUfeBSjuyZL2yd9gzLbvyNv2Caerbov2D09 MBdbqedmvETj2BSbqeduuDJXwAKbYu51MyVXgarqqr1ngBPrgifHhD YfgasaacHOWxh9vrFfeu0dXdh9vqqj=hEeeu0xXdbba9frFj0=OqFf ea0dXdd9vspGe9FjuP0=fs0xXdbba9pGe9xq=Jbba9suk9fr=xfr=x frpeWZqaaeaabiGaaiaadaqabeaabeqacqaaaOqaaiaad6gadaWgaa WcbaGaaGimaaqabaaaaa@3A5E@ , т.е.

max x(L,L) n 1 (x) n 0 . MathType@MTEF@5@5@+= feaahGart1ev3aaatCvAUfeBSjuyZL2yd9gzLbvyNv2Caerbov2D09 MBdbqedmvETj2BSbqeduuDJXwAKbYu51MyVXgarqqr1ngBPrgifHhD YfgasaacHOWxh9vrFfeu0dXdh9vqqj=hEeeu0xXdbba9frFj0=OqFf ea0dXdd9vspGe9FjuP0=fs0xXdbba9pGe9xq=Jbba9suk9fr=xfr=x frpeWZqaaeaabiGaaiaadaqabeaabeqacqaaaOqaamaawafabeWcba GaamiEaiabgIGiolaaiIcacqGHsislcaWGmbGaaGilaiaadYeacaaI PaaabeGcbaGaciyBaiaacggacaGG4baaamaaemaabaGaamOBamaaBa aaleaacaaIXaaabeaakiaaiIcacaWG4bGaaGykaaGaay5bSlaawIa7 aGabaiab=PMi9iaad6gadaWgaaWcbaGaaGimaaqabaGccaaIUaaaaa@4E65@

Локально-равновесная функция распределения запишется в виде

f eq (r,v,t)= f eq (x,v,t)= n eq (x,t) β π 3 2 e β v 2 = =( n 0 + n 1 (x) e iωt ) β π 3 2 e β v 2 = f 0 (v)+ f 1 (x,v,t), MathType@MTEF@5@5@+= feaahGart1ev3aaatCvAUfeBSjuyZL2yd9gzLbvyNv2Caerbov2D09 MBdbqedmvETj2BSbqeduuDJXwAKbYu51MyVXgarqqr1ngBPrgifHhD YfgasaacHOWxh9vrFfeu0dXdh9vqqj=hEeeu0xXdbba9frFj0=OqFf ea0dXdd9vspGe9FjuP0=fs0xXdbba9pGe9xq=Jbba9suk9fr=xfr=x frpeWZqaaeaabiGaaiaadaqabeaabeqacqaaaOabaiqabaGaamOzam aaBaaaleaacaWGLbGaamyCaaqabaGccaaIOaacbmGaa8NCaiaaiYca caWF2bGaaGilaiaadshacaaIPaGaaGypaiaadAgadaWgaaWcbaGaam yzaiaadghaaeqaaOGaaGikaiaadIhacaaISaGaamODaiaaiYcacaWG 0bGaaGykaiaai2dacaWGUbWaaSbaaSqaaiaadwgacaWGXbaabeaaki aaiIcacaWG4bGaaGilaiaadshacaaIPaWaaeWaaeaadaWcaaqaaiab ek7aIbqaaiabec8aWbaaaiaawIcacaGLPaaadaahaaWcbeqaamaala aabaGaaG4maaqaaiaaikdaaaaaaOGaamyzamaaCaaaleqabaGaeyOe I0IaeqOSdiMaamODamaaCaaabeqaaiaaikdaaaaaaOGaaGypaaqaai aai2dacaaIOaGaamOBamaaBaaaleaacaaIWaaabeaakiabgUcaRiaa d6gadaWgaaWcbaGaaGymaaqabaGccaaIOaGaamiEaiaaiMcacaWGLb WaaWbaaSqabeaacqGHsislcaWGPbGaeqyYdCNaamiDaaaakiaaiMca daqadaqaamaalaaabaGaeqOSdigabaGaeqiWdahaaaGaayjkaiaawM caamaaCaaaleqabaWaaSaaaeaacaaIZaaabaGaaGOmaaaaaaGccaWG LbWaaWbaaSqabeaacqGHsislcqaHYoGycaWG2bWaaWbaaeqabaGaaG OmaaaaaaGccaaI9aGaamOzamaaBaaaleaacaaIWaaabeaakiaaiIca caWG2bGaaGykaiabgUcaRiaadAgadaWgaaWcbaGaaGymaaqabaGcca aIOaGaamiEaiaaiYcacaWG2bGaaGilaiaadshacaaIPaGaaGilaaaa aa@892F@  (13)

где

f 1 (x,v,t)= n 1 (x) e iωt β π 3 2 e β v 2 . MathType@MTEF@5@5@+= feaahGart1ev3aaatCvAUfeBSjuyZL2yd9gzLbvyNv2Caerbov2D09 MBdbqedmvETj2BSbqeduuDJXwAKbYu51MyVXgarqqr1ngBPrgifHhD YfgasaacHOWxh9vrFfeu0dXdh9vqqj=hEeeu0xXdbba9frFj0=OqFf ea0dXdd9vspGe9FjuP0=fs0xXdbba9pGe9xq=Jbba9suk9fr=xfr=x frpeWZqaaeaabiGaaiaadaqabeaabeqacqaaaOqaaiaadAgadaWgaa WcbaGaaGymaaqabaGccaaIOaGaamiEaiaaiYcacaWG2bGaaGilaiaa dshacaaIPaGaaGypaiaad6gadaWgaaWcbaGaaGymaaqabaGccaaIOa GaamiEaiaaiMcacaaMe8UaamyzamaaCaaaleqabaGaeyOeI0IaamyA aiabeM8a3jaadshaaaGcdaqadaqaamaalaaabaGaeqOSdigabaGaeq iWdahaaaGaayjkaiaawMcaamaaCaaaleqabaWaaSaaaeaacaaIZaaa baGaaGOmaaaaaaGccaWGLbWaaWbaaSqabeaacqGHsislcqaHYoGyca WG2bWaaWbaaeqabaGaaGOmaaaaaaGccaaIUaaaaa@5976@  (14)

Функцию распределения электронов f(x,v,t) MathType@MTEF@5@5@+= feaahGart1ev3aaatCvAUfeBSjuyZL2yd9gzLbvyNv2Caerbov2D09 MBdbqedmvETj2BSbqeduuDJXwAKbYu51MyVXgarqqr1ngBPrgifHhD YfgasaacHOWxh9vrFfeu0dXdh9vqqj=hEeeu0xXdbba9frFj0=OqFf ea0dXdd9vspGe9FjuP0=fs0xXdbba9pGe9xq=Jbba9suk9fr=xfr=x frpeWZqaaeaabiGaaiaadaqabeaabeqacqaaaOqaaiaadAgacaaIOa GaamiEaiaaiYcacaWG2bGaaGilaiaadshacaaIPaaaaa@3F32@  будем искать в виде:

f(x,v,t)= f 0 (v)(1+h(x, v x ) e iωt ), MathType@MTEF@5@5@+= feaahGart1ev3aaatCvAUfeBSjuyZL2yd9gzLbvyNv2Caerbov2D09 MBdbqedmvETj2BSbqeduuDJXwAKbYu51MyVXgarqqr1ngBPrgifHhD YfgasaacHOWxh9vrFfeu0dXdh9vqqj=hEeeu0xXdbba9frFj0=OqFf ea0dXdd9vspGe9FjuP0=fs0xXdbba9pGe9xq=Jbba9suk9fr=xfr=x frpeWZqaaeaabiGaaiaadaqabeaabeqacqaaaOqaaiaadAgacaaIOa GaamiEaiaaiYcaieWacaWF2bGaaGilaiaadshacaaIPaGaaGypaiaa dAgadaWgaaWcbaGaaGimaaqabaGccaaIOaGaamODaiaaiMcacaaIOa GaaGymaiabgUcaRiaadIgacaaIOaGaamiEaiaaiYcacaWG2bWaaSba aSqaaiaadIhaaeqaaOGaaGykaiaadwgadaahaaWcbeqaaiabgkHiTi aadMgacqaHjpWDcaWG0baaaOGaaGykaiaaiYcaaaa@53E9@  (15)

предполагая, что h(x, v x ) MathType@MTEF@5@5@+= feaahGart1ev3aaatCvAUfeBSjuyZL2yd9gzLbvyNv2Caerbov2D09 MBdbqedmvETj2BSbqeduuDJXwAKbYu51MyVXgarqqr1ngBPrgifHhD YfgasaacHOWxh9vrFfeu0dXdh9vqqj=hEeeu0xXdbba9frFj0=OqFf ea0dXdd9vspGe9FjuP0=fs0xXdbba9pGe9xq=Jbba9suk9fr=xfr=x frpeWZqaaeaabiGaaiaadaqabeaabeqacqaaaOqaaiaadIgacaaIOa GaamiEaiaaiYcacaWG2bWaaSbaaSqaaiaadIhaaeqaaOGaaGykaaaa @3EB8@   MathType@MTEF@5@5@+= feaahGart1ev3aqatCvAUfeBSjuyZL2yd9gzLbvyNv2CaerbuLwBLn hiov2DGi1BTfMBaeXatLxBI9gBaerbd9wDYLwzYbItLDharqqtubsr 4rNCHbGeaGqiVu0Je9sqqrpepC0xbbL8F4rqqrFfpeea0xe9Lq=Jc9 vqaqpepm0xbba9pwe9Q8fs0=yqaqpepae9pg0FirpepeKkFr0xfr=x fr=xb9adbaqaaeGaciGaaiaabeqaamaabaabaaGcbaacbaqcLbvaqa aaaaaaaaWdbiaa=nbiaaa@3794@  неизвестная функция, причем достаточно малая, т.е. |h(x, v x )|1 MathType@MTEF@5@5@+= feaahGart1ev3aaatCvAUfeBSjuyZL2yd9gzLbvyNv2Caerbov2D09 MBdbqedmvETj2BSbqeduuDJXwAKbYu51MyVXgarqqr1ngBPrgifHhD YfgasaacHOWxh9vrFfeu0dXdh9vqqj=hEeeu0xXdbba9frFj0=OqFf ea0dXdd9vspGe9FjuP0=fs0xXdbba9pGe9xq=Jbba9suk9fr=xfr=x frpeWZqaaeaabiGaaiaadaqabeaabeqacqaaaOqaaiaaiYhacaWGOb GaaGikaiaadIhacaaISaGaamODamaaBaaaleaacaWG4baabeaakiaa iMcacaaI8baceaGae8NAI0JaaGymaaaa@42D9@ . Заметим, что в линейном приближении

eE f p =eE f 0 p =eE(x) e iωt f 0 p x = =eE(x) e iωt f 0 m v x =eE(x) e iωt v x f 0 k B T . MathType@MTEF@5@5@+= feaahGart1ev3aaatCvAUfeBSjuyZL2yd9gzLbvyNv2Caerbov2D09 MBdbqedmvETj2BSbqeduuDJXwAKbYu51MyVXgarqqr1ngBPrgifHhD YfgasaacHOWxh9vrFfeu0dXdh9vqqj=hEeeu0xXdbba9frFj0=OqFf ea0dXdd9vspGe9FjuP0=fs0xXdbba9pGe9xq=Jbba9suk9fr=xfr=x frpeWZqaaeaabiGaaiaadaqabeaabeqacqaaaOabaiqabaWefv3ySL gzgjxyRrxDYbqeguuDJXwAKbIrYf2A0vNCaGqbaiab=5b8LHqadiaa +veadaWcaaqaaiabgkGi2kaadAgaaeaacqGHciITcaGFWbaaaiaai2 dacqWFEaFzcaGFfbWaaSaaaeaacqGHciITcaWGMbWaaSbaaSqaaiaa icdaaeqaaaGcbaGaeyOaIyRaa4hCaaaacaaI9aGae8NhWxMaamyrai aaiIcacaWG4bGaaGykaiaadwgadaahaaWcbeqaaiabgkHiTiaadMga cqaHjpWDcaWG0baaaOWaaSaaaeaacqGHciITcaWGMbWaaSbaaSqaai aaicdaaeqaaaGcbaGaeyOaIyRaamiCamaaBaaaleaacaWG4baabeaa aaGccaaI9aaabaGaeyypa0Jae8NhWxMaamyraiaaiIcacaWG4bGaaG ykaiaadwgadaahaaWcbeqaaiabgkHiTiaadMgacqaHjpWDcaWG0baa aOWaaSaaaeaacqGHciITcaWGMbWaaSbaaSqaaiaaicdaaeqaaaGcba GaamyBaiabgkGi2kaadAhadaWgaaWcbaGaamiEaaqabaaaaOGaaGyp aiabgkHiTiab=5b8LjaadweacaaIOaGaamiEaiaaiMcacaWGLbWaaW baaSqabeaacqGHsislcaWGPbGaeqyYdCNaamiDaaaakmaalaaabaGa amODamaaBaaaleaacaWG4baabeaakiaadAgadaWgaaWcbaGaaGimaa qabaaakeaacaWGRbWaaSbaaSqaaiaadkeaaeqaaOGaamivaaaacaaI Uaaaaaa@8F40@  (16)

Учитывая эти равенства и подставив в уравнения (10) и (11) выражения (13) MathType@MTEF@5@5@+= feaahGart1ev3aqatCvAUfeBSjuyZL2yd9gzLbvyNv2CaerbuLwBLn hiov2DGi1BTfMBaeXatLxBI9gBaerbd9wDYLwzYbItLDharqqtubsr 4rNCHbGeaGqiVu0Je9sqqrpepC0xbbL8F4rqqrFfpeea0xe9Lq=Jc9 vqaqpepm0xbba9pwe9Q8fs0=yqaqpepae9pg0FirpepeKkFr0xfr=x fr=xb9adbaqaaeGaciGaaiaabeqaamaabaabaaGcbaacbaqcLbvaqa aaaaaaaaWdbiaa=nbiaaa@3794@ (16) для f(x,v,t) MathType@MTEF@5@5@+= feaahGart1ev3aaatCvAUfeBSjuyZL2yd9gzLbvyNv2Caerbov2D09 MBdbqedmvETj2BSbqeduuDJXwAKbYu51MyVXgarqqr1ngBPrgifHhD YfgasaacHOWxh9vrFfeu0dXdh9vqqj=hEeeu0xXdbba9frFj0=OqFf ea0dXdd9vspGe9FjuP0=fs0xXdbba9pGe9xq=Jbba9suk9fr=xfr=x frpeWZqaaeaabiGaaiaadaqabeaabeqacqaaaOqaaiaadAgacaaIOa GaamiEaiaaiYcaieWacaWF2bGaaGilaiaadshacaaIPaaaaa@3F3A@  и f eq (x,v,t) MathType@MTEF@5@5@+= feaahGart1ev3aaatCvAUfeBSjuyZL2yd9gzLbvyNv2Caerbov2D09 MBdbqedmvETj2BSbqeduuDJXwAKbYu51MyVXgarqqr1ngBPrgifHhD YfgasaacHOWxh9vrFfeu0dXdh9vqqj=hEeeu0xXdbba9frFj0=OqFf ea0dXdd9vspGe9FjuP0=fs0xXdbba9pGe9xq=Jbba9suk9fr=xfr=x frpeWZqaaeaabiGaaiaadaqabeaabeqacqaaaOqaaiaadAgadaWgaa WcbaGaamyzaiaadghaaeqaaOGaaGikaiaadIhacaaISaGaamODaiaa iYcacaWG0bGaaGykaaaa@4148@ , получаем уравнения

v x h(x, v x ) x +(νiω)h(x, v x )= = e v x k B T E(x)+ν n 1 (x) n 0 , MathType@MTEF@5@5@+= feaahGart1ev3aaatCvAUfeBSjuyZL2yd9gzLbvyNv2Caerbov2D09 MBdbqedmvETj2BSbqeduuDJXwAKbYu51MyVXgarqqr1ngBPrgifHhD YfgasaacHOWxh9vrFfeu0dXdh9vqqj=hEeeu0xXdbba9frFj0=OqFf ea0dXdd9vspGe9FjuP0=fs0xXdbba9pGe9xq=Jbba9suk9fr=xfr=x frpeWZqaaeaabiGaaiaadaqabeaabeqacqaaaOabaiqabaGaamODam aaBaaaleaacaWG4baabeaakmaalaaabaGaeyOaIyRaamiAaiaaiIca caWG4bGaaGilaiaadAhadaWgaaWcbaGaamiEaaqabaGccaaIPaaaba GaeyOaIyRaamiEaaaacqGHRaWkcaaIOaGaeqyVd4MaeyOeI0IaamyA aiabeM8a3jaaiMcacaWGObGaaGikaiaadIhacaaISaGaamODamaaBa aaleaacaWG4baabeaakiaaiMcacaaI9aaabaGaeyypa0ZaaSaaaeaa tuuDJXwAKzKCHTgD1jharyqr1ngBPrgigjxyRrxDYbacfaGae8NhWx MaamODamaaBaaaleaacaWG4baabeaaaOqaaiaadUgadaWgaaWcbaGa amOqaaqabaGccaWGubaaaiaadweacaaIOaGaamiEaiaaiMcacqGHRa WkcqaH9oGBdaWcaaqaaiaad6gadaWgaaWcbaGaaGymaaqabaGccaaI OaGaamiEaiaaiMcaaeaacaWGUbWaaSbaaSqaaiaaicdaaeqaaaaaki aaiYcaaaaa@72E0@  (17)

dE(x) dx =4πe m 2π k B T + e β v x 2 h(x, v x )d v x . MathType@MTEF@5@5@+= feaahGart1ev3aaatCvAUfeBSjuyZL2yd9gzLbvyNv2Caerbov2D09 MBdbqedmvETj2BSbqeduuDJXwAKbYu51MyVXgarqqr1ngBPrgifHhD YfgasaacHOWxh9vrFfeu0dXdh9vqqj=hEeeu0xXdbba9frFj0=OqFf ea0dXdd9vspGe9FjuP0=fs0xXdbba9pGe9xq=Jbba9suk9fr=xfr=x frpeWZqaaeaabiGaaiaadaqabeaabeqacqaaaOqaamaalaaabaGaam izaiaadweacaaIOaGaamiEaiaaiMcaaeaacaWGKbGaamiEaaaacaaI 9aGaaGinaiabec8aWnrr1ngBPrMrYf2A0vNCaeHbfv3ySLgzGyKCHT gD1jhaiuaacqWFEaFzdaGcaaqaamaalaaabaGaamyBaaqaaiaaikda cqaHapaCcaWGRbWaaSbaaSqaaiaadkeaaeqaaOGaamivaaaaaSqaba GcdaWdXaqabSqaaiabgkHiTiabg6HiLcqaaiabgUcaRiabg6HiLcqd cqGHRiI8aOGaamyzamaaCaaaleqabaGaeyOeI0IaeqOSdiMaamODam aaBaaabaGaamiEaaqabaWaaWbaaeqabaGaaGOmaaaaaaGccaWGObGa aGikaiaadIhacaaISaGaamODamaaBaaaleaacaWG4baabeaakiaaiM cacaaMi8UaamizaiaadAhadaWgaaWcbaGaamiEaaqabaGccaaIUaaa aa@6E0F@  (18)

Используя представления (8) и (12) для n eq (x,t) MathType@MTEF@5@5@+= feaahGart1ev3aaatCvAUfeBSjuyZL2yd9gzLbvyNv2Caerbov2D09 MBdbqedmvETj2BSbqeduuDJXwAKbYu51MyVXgarqqr1ngBPrgifHhD YfgasaacHOWxh9vrFfeu0dXdh9vqqj=hEeeu0xXdbba9frFj0=OqFf ea0dXdd9vspGe9FjuP0=fs0xXdbba9pGe9xq=Jbba9suk9fr=xfr=x frpeWZqaaeaabiGaaiaadaqabeaabeqacqaaaOqaaiaad6gadaWgaa WcbaGaamyzaiaadghaaeqaaOGaaGikaiaadIhacaaISaGaamiDaiaa iMcaaaa@3F9F@  и учитывая закон сохранения числа частиц, получаем:

3 f eq d 3 v= 3 f d 3 v n eq (x,t)= n 0 + e iωt m 2π k B T + e β v x 2 h(x, v x )d v x n 1 (x)= m 2π k B T + e β v x 2 h(x, v x )d v x . MathType@MTEF@5@5@+= feaahGart1ev3aaatCvAUfeBSjuyZL2yd9gzLbvyNv2Caerbov2D09 MBdbqedmvETj2BSbqeduuDJXwAKbYu51MyVXgarqqr1ngBPrgifHhD YfgasaacHOWxh9vrFfeu0dXdh9vqqj=hEeeu0xXdbba9frFj0=OqFf ea0dXdd9vspGe9FjuP0=fs0xXdbba9pGe9xq=Jbba9suk9fr=xfr=x frpeWZqaaeaabiGaaiaadaqabeaabeqacqaaaOabaiqabaWaa8qeae qaleaatuuDJXwAK1uy0HMmaeHbfv3ySLgzG0uy0HgiuD3BaGqbaiab =1risnaaCaaabeqaaiaaiodaaaaabeqdcqGHRiI8aOGaamOzamaaBa aaleaacaWGLbGaamyCaaqabaGccaaMi8UaamizamaaCaaaleqabaGa aG4maaaakiaadAhacaaI9aWaa8qeaeqaleaacqWFDeIudaahaaqabe aacaaIZaaaaaqab0Gaey4kIipakiaadAgacaaMi8UaamizamaaCaaa leqabaGaaG4maaaakiaadAhacaaMf8UaeyO0H4nabaGaeyO0H4Taam OBamaaBaaaleaacaWGLbGaamyCaaqabaGccaaIOaGaamiEaiaaiYca caWG0bGaaGykaiaai2dacaWGUbWaaSbaaSqaaiaaicdaaeqaaOGaey 4kaSIaamyzamaaCaaaleqabaGaeyOeI0IaamyAaiabeM8a3jaadsha aaGcdaGcaaqaamaalaaabaGaamyBaaqaaiaaikdacqaHapaCcaWGRb WaaSbaaSqaaiaadkeaaeqaaOGaamivaaaaaSqabaGcdaWdXaqabSqa aiabgkHiTiabg6HiLcqaaiabgUcaRiabg6HiLcqdcqGHRiI8aOGaam yzamaaCaaaleqabaGaeyOeI0IaeqOSdiMaamODamaaBaaabaGaamiE aaqabaWaaWbaaeqabaGaaGOmaaaaaaGccaWGObGaaGikaiaadIhaca aISaGaamODamaaBaaaleaacaWG4baabeaakiaaiMcacaaMi8Uaamiz aiaadAhadaWgaaWcbaGaamiEaaqabaGccaaMf8UaeyO0H4nabaGaey O0H4TaamOBamaaBaaaleaacaaIXaaabeaakiaaiIcacaWG4bGaaGyk aiaai2dadaGcaaqaamaalaaabaGaamyBaaqaaiaaikdacqaHapaCca WGRbWaaSbaaSqaaiaadkeaaeqaaOGaamivaaaaaSqabaGcdaWdXaqa bSqaaiabgkHiTiabg6HiLcqaaiabgUcaRiabg6HiLcqdcqGHRiI8aO GaamyzamaaCaaaleqabaGaeyOeI0IaeqOSdiMaamODamaaBaaabaGa amiEaaqabaWaaWbaaeqabaGaaGOmaaaaaaGccaWGObGaaGikaiaadI hacaaISaGaamODamaaBaaaleaacaWG4baabeaakiaaiMcacaaMi8Ua amizaiaadAhadaWgaaWcbaGaamiEaaqabaGccaaIUaaaaaa@B81D@  (19)

Подставим результаты (19) в (17) и получим два уравнения относительно двух неизвестных функций E(x) и h(x, v x ) MathType@MTEF@5@5@+= feaahGart1ev3aaatCvAUfeBSjuyZL2yd9gzLbvyNv2Caerbov2D09 MBdbqedmvETj2BSbqeduuDJXwAKbYu51MyVXgarqqr1ngBPrgifHhD YfgasaacHOWxh9vrFfeu0dXdh9vqqj=hEeeu0xXdbba9frFj0=OqFf ea0dXdd9vspGe9FjuP0=fs0xXdbba9pGe9xq=Jbba9suk9fr=xfr=x frpeWZqaaeaabiGaaiaadaqabeaabeqacqaaaOqaaiaadIgacaaIOa GaamiEaiaaiYcacaWG2bWaaSbaaSqaaiaadIhaaeqaaOGaaGykaaaa @3EB8@ :

v x h(x, v x ) x +(νiω)h(x, v x )= e v x k B T E(x)+ν m 2π k B T + e β v x 2 h(x, v x )d v x , MathType@MTEF@5@5@+= feaahGart1ev3aaatCvAUfeBSjuyZL2yd9gzLbvyNv2Caerbov2D09 MBdbqedmvETj2BSbqeduuDJXwAKbYu51MyVXgarqqr1ngBPrgifHhD YfgasaacHOWxh9vrFfeu0dXdh9vqqj=hEeeu0xXdbba9frFj0=OqFf ea0dXdd9vspGe9FjuP0=fs0xXdbba9pGe9xq=Jbba9suk9fr=xfr=x frpeWZqaaeaabiGaaiaadaqabeaabeqacqaaaOqaaiaadAhadaWgaa WcbaGaamiEaaqabaGcdaWcaaqaaiabgkGi2kaadIgacaaIOaGaamiE aiaaiYcacaWG2bWaaSbaaSqaaiaadIhaaeqaaOGaaGykaaqaaiabgk Gi2kaadIhaaaGaey4kaSIaaGikaiabe27aUjabgkHiTiaadMgacqaH jpWDcaaIPaGaamiAaiaaiIcacaWG4bGaaGilaiaadAhadaWgaaWcba GaamiEaaqabaGccaaIPaGaeyypa0ZaaSaaaeaatuuDJXwAKzKCHTgD 1jharyqr1ngBPrgigjxyRrxDYbacfaGae8NhWxMaamODamaaBaaale aacaWG4baabeaaaOqaaiaadUgadaWgaaWcbaGaamOqaaqabaGccaWG ubaaaiaadweacaaIOaGaamiEaiaaiMcacqGHRaWkcqaH9oGBdaGcaa qaamaalaaabaGaamyBaaqaaiaaikdacqaHapaCcaWGRbWaaSbaaSqa aiaadkeaaeqaaOGaamivaaaaaSqabaGcdaWdXaqabSqaaiabgkHiTi abg6HiLcqaaiabgUcaRiabg6HiLcqdcqGHRiI8aOGaamyzamaaCaaa leqabaGaeyOeI0IaeqOSdiMaamODamaaBaaabaGaamiEaaqabaWaaW baaeqabaGaaGOmaaaaaaGccaWGObGaaGikaiaadIhacaaISaGaamOD amaaBaaaleaacaWG4baabeaakiaaiMcacaaMi8UaamizaiaadAhada WgaaWcbaGaamiEaaqabaGccaaISaaaaa@8AA4@  (20)

dE(x) dx =4πe m 2π k B T + e β v x 2 h(x, v x )d v x . MathType@MTEF@5@5@+= feaahGart1ev3aaatCvAUfeBSjuyZL2yd9gzLbvyNv2Caerbov2D09 MBdbqedmvETj2BSbqeduuDJXwAKbYu51MyVXgarqqr1ngBPrgifHhD YfgasaacHOWxh9vrFfeu0dXdh9vqqj=hEeeu0xXdbba9frFj0=OqFf ea0dXdd9vspGe9FjuP0=fs0xXdbba9pGe9xq=Jbba9suk9fr=xfr=x frpeWZqaaeaabiGaaiaadaqabeaabeqacqaaaOqaamaalaaabaGaam izaiaadweacaaIOaGaamiEaiaaiMcaaeaacaWGKbGaamiEaaaacaaI 9aGaaGinaiabec8aWnrr1ngBPrMrYf2A0vNCaeHbfv3ySLgzGyKCHT gD1jhaiuaacqWFEaFzdaGcaaqaamaalaaabaGaamyBaaqaaiaaikda cqaHapaCcaWGRbWaaSbaaSqaaiaadkeaaeqaaOGaamivaaaaaSqaba GcdaWdXaqabSqaaiabgkHiTiabg6HiLcqaaiabgUcaRiabg6HiLcqd cqGHRiI8aOGaamyzamaaCaaaleqabaGaeyOeI0IaeqOSdiMaamODam aaBaaabaGaamiEaaqabaWaaWbaaeqabaGaaGOmaaaaaaGccaWGObGa aGikaiaadIhacaaISaGaamODamaaBaaaleaacaWG4baabeaakiaaiM cacaaMi8UaamizaiaadAhadaWgaaWcbaGaamiEaaqabaGccaaIUaaa aa@6E0F@  (21)

Используя формулу для плазменной частоты

ω p 2 = 4π e 2 n 0 m , MathType@MTEF@5@5@+= feaahGart1ev3aaatCvAUfeBSjuyZL2yd9gzLbvyNv2Caerbov2D09 MBdbqedmvETj2BSbqeduuDJXwAKbYu51MyVXgarqqr1ngBPrgifHhD YfgasaacHOWxh9vrFfeu0dXdh9vqqj=hEeeu0xXdbba9frFj0=OqFf ea0dXdd9vspGe9FjuP0=fs0xXdbba9pGe9xq=Jbba9suk9fr=xfr=x frpeWZqaaeaabiGaaiaadaqabeaabeqacqaaaOqaaiabeM8a3naaDa aaleaacaWGWbaabaGaaGOmaaaakiaai2dadaWcaaqaaiaaisdacqaH apaCtuuDJXwAKzKCHTgD1jharyqr1ngBPrgigjxyRrxDYbacfaGae8 NhWx2aaWbaaSqabeaacaaIYaaaaOGaamOBamaaBaaaleaacaaIWaaa beaaaOqaaiaad2gaaaGaaGilaaaa@50C3@

можно преобразовать коэффициент перед интегралом в уравнении (21):

4πe= 4π e 2 n 0 m me n 0 = ω p 2 m e n 0 . MathType@MTEF@5@5@+= feaahGart1ev3aaatCvAUfeBSjuyZL2yd9gzLbvyNv2Caerbov2D09 MBdbqedmvETj2BSbqeduuDJXwAKbYu51MyVXgarqqr1ngBPrgifHhD YfgasaacHOWxh9vrFfeu0dXdh9vqqj=hEeeu0xXdbba9frFj0=OqFf ea0dXdd9vspGe9FjuP0=fs0xXdbba9pGe9xq=Jbba9suk9fr=xfr=x frpeWZqaaeaabiGaaiaadaqabeaabeqacqaaaOqaaiaaisdacqaHap aCtuuDJXwAKzKCHTgD1jharyqr1ngBPrgigjxyRrxDYbacfaGae8Nh WxMaaGypamaalaaabaGaaGinaiabec8aWjab=5b8LnaaCaaaleqaba GaaGOmaaaakiaad6gadaWgaaWcbaGaaGimaaqabaGccaWGTbaabaGa amyBaiab=5b8Ljaad6gadaWgaaWcbaGaaGimaaqabaaaaOGaaGypam aalaaabaGaeqyYdC3aa0baaSqaaiaadchaaeaacaaIYaaaaOGaamyB aaqaaiab=5b8Ljaad6gadaWgaaWcbaGaaGimaaqabaaaaOGaaGOlaa aa@5FA9@

Далее перейдем к безразмерным переменным v' и x', используя скорость теплового движения частиц v T MathType@MTEF@5@5@+= feaahGart1ev3aaatCvAUfeBSjuyZL2yd9gzLbvyNv2Caerbov2D09 MBdbqedmvETj2BSbqeduuDJXwAKbYu51MyVXgarqqr1ngBPrgifHhD YfgasaacHOWxh9vrFfeu0dXdh9vqqj=hEeeu0xXdbba9frFj0=OqFf ea0dXdd9vspGe9FjuP0=fs0xXdbba9pGe9xq=Jbba9suk9fr=xfr=x frpeWZqaaeaabiGaaiaadaqabeaabeqacqaaaOqaaiaadAhadaWgaa WcbaGaamivaaqabaaaaa@3A85@  и длину свободного пробега частиц между столкновениями x 0 MathType@MTEF@5@5@+= feaahGart1ev3aaatCvAUfeBSjuyZL2yd9gzLbvyNv2Caerbov2D09 MBdbqedmvETj2BSbqeduuDJXwAKbYu51MyVXgarqqr1ngBPrgifHhD YfgasaacHOWxh9vrFfeu0dXdh9vqqj=hEeeu0xXdbba9frFj0=OqFf ea0dXdd9vspGe9FjuP0=fs0xXdbba9pGe9xq=Jbba9suk9fr=xfr=x frpeWZqaaeaabiGaaiaadaqabeaabeqacqaaaOqaaiaadIhadaWgaa WcbaGaaGimaaqabaaaaa@3A68@ :

x 0 = v T ν , v T = 2 k B T m , v = v x v T , x = x x 0 . MathType@MTEF@5@5@+= feaahGart1ev3aaatCvAUfeBSjuyZL2yd9gzLbvyNv2Caerbov2D09 MBdbqedmvETj2BSbqeduuDJXwAKbYu51MyVXgarqqr1ngBPrgifHhD YfgasaacHOWxh9vrFfeu0dXdh9vqqj=hEeeu0xXdbba9frFj0=OqFf ea0dXdd9vspGe9FjuP0=fs0xXdbba9pGe9xq=Jbba9suk9fr=xfr=x frpeWZqaaeaabiGaaiaadaqabeaabeqacqaaaOqaaiaadIhadaWgaa WcbaGaaGimaaqabaGccaaI9aWaaSaaaeaacaWG2bWaaSbaaSqaaiaa dsfaaeqaaaGcbaGaeqyVd4gaaiaaiYcacaaMf8UaamODamaaBaaale aacaWGubaabeaakiaai2dadaGcaaqaamaalaaabaGaaGOmaiaadUga daWgaaWcbaGaamOqaaqabaGccaWGubaabaGaamyBaaaaaSqabaGcca aISaGaaGzbVlqadAhagaqbaiaai2dadaWcaaqaaiaadAhadaWgaaWc baGaamiEaaqabaaakeaacaWG2bWaaSbaaSqaaiaadsfaaeqaaaaaki aaiYcacaaMf8UabmiEayaafaGaaGypamaalaaabaGaamiEaaqaaiaa dIhadaWgaaWcbaGaaGimaaqabaaaaOGaaGOlaaaa@58E9@

Напряженность внешнего электрического поля на границе слоя равна E ext MathType@MTEF@5@5@+= feaahGart1ev3aaatCvAUfeBSjuyZL2yd9gzLbvyNv2Caerbov2D09 MBdbqedmvETj2BSbqeduuDJXwAKbYu51MyVXgarqqr1ngBPrgifHhD YfgasaacHOWxh9vrFfeu0dXdh9vqqj=hEeeu0xXdbba9frFj0=OqFf ea0dXdd9vspGe9FjuP0=fs0xXdbba9pGe9xq=Jbba9suk9fr=xfr=x frpeWZqaaeaabiGaaiaadaqabeaabeqacqaaaOqaaiaadweadaWgaa WcbaacbaGaa8xzaiaa=HhacaWF0baabeaaaaa@3C58@ . Введем следующие безразмерные функции:

G(x)= E(x) E ext ,H( x , v )= kTν e E ext v T h( x , v ). MathType@MTEF@5@5@+= feaahGart1ev3aaatCvAUfeBSjuyZL2yd9gzLbvyNv2Caerbov2D09 MBdbqedmvETj2BSbqeduuDJXwAKbYu51MyVXgarqqr1ngBPrgifHhD YfgasaacHOWxh9vrFfeu0dXdh9vqqj=hEeeu0xXdbba9frFj0=OqFf ea0dXdd9vspGe9FjuP0=fs0xXdbba9pGe9xq=Jbba9suk9fr=xfr=x frpeWZqaaeaabiGaaiaadaqabeaabeqacqaaaOqaaiaadEeacaaIOa GaamiEaiaaiMcacaaI9aWaaSaaaeaacaWGfbGaaGikaiaadIhacaaI PaaabaGaamyramaaBaaaleaaieaacaWFLbGaa8hEaiaa=rhaaeqaaa aakiaaiYcacaaMf8UaaGzbVlaadIeacaaIOaGabmiEayaafaGaaGil aiqadAhagaqbaiaaiMcacaaI9aWaaSaaaeaacaWGRbGaamivaiabe2 7aUbqaamrr1ngBPrMrYf2A0vNCaeHbfv3ySLgzGyKCHTgD1jhaiuaa cqGFEaFzcaWGfbWaaSbaaSqaaiaa=vgacaWF4bGaa8hDaaqabaGcca WG2bWaaSbaaSqaaiaadsfaaeqaaaaakiaadIgacaaIOaGabmiEayaa faGaaGilaiqadAhagaqbaiaaiMcacaaIUaaaaa@691B@

Подставив новые переменные и новые функции в уравнения (20), (21) и отказавшись от индексов у переменных, получаем систему уравнений:

v H x (x,v)+(1 iω ν )H(x,v)=vG(x)+ + k(ξ)H(x,ξ)dξ, MathType@MTEF@5@5@+= feaahGart1ev3aaatCvAUfeBSjuyZL2yd9gzLbvyNv2Caerbov2D09 MBdbqedmvETj2BSbqeduuDJXwAKbYu51MyVXgarqqr1ngBPrgifHhD YfgasaacHOWxh9vrFfeu0dXdh9vqqj=hEeeu0xXdbba9frFj0=OqFf ea0dXdd9vspGe9FjuP0=fs0xXdbba9pGe9xq=Jbba9suk9fr=xfr=x frpeWZqaaeaabiGaaiaadaqabeaabeqacqaaaOqaaiaadAhacaWGib WaaSbaaSqaaiaadIhaaeqaaOGaaGikaiaadIhacaaISaGaamODaiaa iMcacqGHRaWkcaaIOaGaaGymaiabgkHiTmaalaaabaGaamyAaiabeM 8a3bqaaiabe27aUbaacaaIPaGaamisaiaaiIcacaWG4bGaaGilaiaa dAhacaaIPaGaeyypa0JaamODaiaadEeacaaIOaGaamiEaiaaiMcacq GHRaWkdaWdXaqabSqaaiabgkHiTiabg6HiLcqaaiabgUcaRiabg6Hi LcqdcqGHRiI8aOGaam4AaiaaiIcacqaH+oaEcaaIPaGaamisaiaaiI cacaWG4bGaaGilaiabe67a4jaaiMcacaWGKbGaeqOVdGNaaGilaaaa @66FD@  (22)

G (x)= 2 ω p 2 ν 2 + k(ξ)H(x,ξ)dξ. MathType@MTEF@5@5@+= feaahGart1ev3aaatCvAUfeBSjuyZL2yd9gzLbvyNv2Caerbov2D09 MBdbqedmvETj2BSbqeduuDJXwAKbYu51MyVXgarqqr1ngBPrgifHhD YfgasaacHOWxh9vrFfeu0dXdh9vqqj=hEeeu0xXdbba9frFj0=OqFf ea0dXdd9vspGe9FjuP0=fs0xXdbba9pGe9xq=Jbba9suk9fr=xfr=x frpeWZqaaeaabiGaaiaadaqabeaabeqacqaaaOqaaiqadEeagaqbai aaiIcacaWG4bGaaGykaiaai2dadaWcaaqaaiaaikdacqaHjpWDdaqh aaWcbaGaamiCaaqaaiaaikdaaaaakeaacqaH9oGBdaahaaWcbeqaai aaikdaaaaaaOWaa8qmaeqaleaacqGHsislcqGHEisPaeaacqGHRaWk cqGHEisPa0Gaey4kIipakiaadUgacaaIOaGaeqOVdGNaaGykaiaadI eacaaIOaGaamiEaiaaiYcacqaH+oaEcaaIPaGaamizaiabe67a4jaa i6caaaa@57BB@  (23)

Функция

k(ξ)= e ξ 2 π MathType@MTEF@5@5@+= feaahGart1ev3aaatCvAUfeBSjuyZL2yd9gzLbvyNv2Caerbov2D09 MBdbqedmvETj2BSbqeduuDJXwAKbYu51MyVXgarqqr1ngBPrgifHhD YfgasaacHOWxh9vrFfeu0dXdh9vqqj=hEeeu0xXdbba9frFj0=OqFf ea0dXdd9vspGe9FjuP0=fs0xXdbba9pGe9xq=Jbba9suk9fr=xfr=x frpeWZqaaeaabiGaaiaadaqabeaabeqacqaaaOqaaiaadUgacaaIOa GaeqOVdGNaaGykaiaai2dadaWcaaqaaiaadwgadaahaaWcbeqaaiab gkHiTiabe67a4naaCaaabeqaaiaaikdaaaaaaaGcbaWaaOaaaeaacq aHapaCaSqabaaaaaaa@43FB@  (24)

обладает свойством k(ξ)dξ=1, MathType@MTEF@5@5@+= feaahGart1ev3aaatCvAUfeBSjuyZL2yd9gzLbvyNv2Caerbov2D09 MBdbqedmvETj2BSbqeduuDJXwAKbYu51MyVXgarqqr1ngBPrgifHhD YfgasaacHOWxh9vrFfeu0dXdh9vqqj=hEeeu0xXdbba9frFj0=OqFf ea0dXdd9vspGe9FjuP0=fs0xXdbba9pGe9xq=Jbba9suk9fr=xfr=x frpeWZqaaeaabiGaaiaadaqabeaabeqacqaaaOqaamaapedabeWcba GaeyOeI0IaeyOhIukabaGaeyOhIukaniabgUIiYdGccaWGRbGaaGik aiabe67a4jaaiMcacaWGKbGaeqOVdGNaaGypaiaaigdacaaISaaaaa@4784@  а коэффициенты в уравнениях (22) и (23) соответственно 1iω/ν MathType@MTEF@5@5@+= feaahGart1ev3aaatCvAUfeBSjuyZL2yd9gzLbvyNv2Caerbov2D09 MBdbqedmvETj2BSbqeduuDJXwAKbYu51MyVXgarqqr1ngBPrgifHhD YfgasaacHOWxh9vrFfeu0dXdh9vqqj=hEeeu0xXdbba9frFj0=OqFf ea0dXdd9vspGe9FjuP0=fs0xXdbba9pGe9xq=Jbba9suk9fr=xfr=x frpeWZqaaeaabiGaaiaadaqabeaabeqacqaaaOqaaiaaigdacqGHsi slcaWGPbGaeqyYdCNaaG4laiabe27aUbaa@3F59@  и 2 ω p 2 / ν 2 MathType@MTEF@5@5@+= feaahGart1ev3aaatCvAUfeBSjuyZL2yd9gzLbvyNv2Caerbov2D09 MBdbqedmvETj2BSbqeduuDJXwAKbYu51MyVXgarqqr1ngBPrgifHhD YfgasaacHOWxh9vrFfeu0dXdh9vqqj=hEeeu0xXdbba9frFj0=OqFf ea0dXdd9vspGe9FjuP0=fs0xXdbba9pGe9xq=Jbba9suk9fr=xfr=x frpeWZqaaeaabiGaaiaadaqabeaabeqacqaaaOqaaiaaikdacqaHjp WDdaqhaaWcbaGaamiCaaqaaiaaikdaaaGccaaIVaGaeqyVd42aaWba aSqabeaacaaIYaaaaaaa@4050@  зависят от свойств плазмы и частоты внешнего поля.

В случае зеркального отражения электронов от границы плазмы для функции распределения электронов имеем следующие граничные условия на границе слоя размера 2L:

f(±L,v,t)=f(±L,v,t), MathType@MTEF@5@5@+= feaahGart1ev3aaatCvAUfeBSjuyZL2yd9gzLbvyNv2Caerbov2D09 MBdbqedmvETj2BSbqeduuDJXwAKbYu51MyVXgarqqr1ngBPrgifHhD YfgasaacHOWxh9vrFfeu0dXdh9vqqj=hEeeu0xXdbba9frFj0=OqFf ea0dXdd9vspGe9FjuP0=fs0xXdbba9pGe9xq=Jbba9suk9fr=xfr=x frpeWZqaaeaabiGaaiaadaqabeaabeqacqaaaOqaaiaadAgacaaIOa GaeyySaeRaamitaiaaiYcaieWacaWF2bGaaGilaiaadshacaaIPaGa aGypaiaadAgacaaIOaGaeyySaeRaamitaiaaiYcacqGHsislcaWF2b GaaGilaiaadshacaaIPaGaaGilaaaa@4BD1@

что равносильно условию:

h(±L, v x )=h(±L, v x ),< v x <+. MathType@MTEF@5@5@+= feaahGart1ev3aaatCvAUfeBSjuyZL2yd9gzLbvyNv2Caerbov2D09 MBdbqedmvETj2BSbqeduuDJXwAKbYu51MyVXgarqqr1ngBPrgifHhD YfgasaacHOWxh9vrFfeu0dXdh9vqqj=hEeeu0xXdbba9frFj0=OqFf ea0dXdd9vspGe9FjuP0=fs0xXdbba9pGe9xq=Jbba9suk9fr=xfr=x frpeWZqaaeaabiGaaiaadaqabeaabeqacqaaaOqaaiaadIgacaaIOa GaeyySaeRaamitaiaaiYcacaWG2bWaaSbaaSqaaiaadIhaaeqaaOGa aGykaiaai2dacaWGObGaaGikaiabgglaXkaadYeacaaISaGaeyOeI0 IaamODamaaBaaaleaacaWG4baabeaakiaaiMcacaaISaGaaGzbVlaa ywW7cqGHsislcqGHEisPcaaI8aGaamODamaaBaaaleaacaWG4baabe aakiaaiYdacqGHRaWkcqGHEisPcaaIUaaaaa@5718@

Для электрического поля граничное условие имеет вид:

E(L)= E ext ,E(L)= E ext . MathType@MTEF@5@5@+= feaahGart1ev3aaatCvAUfeBSjuyZL2yd9gzLbvyNv2Caerbov2D09 MBdbqedmvETj2BSbqeduuDJXwAKbYu51MyVXgarqqr1ngBPrgifHhD YfgasaacHOWxh9vrFfeu0dXdh9vqqj=hEeeu0xXdbba9frFj0=OqFf ea0dXdd9vspGe9FjuP0=fs0xXdbba9pGe9xq=Jbba9suk9fr=xfr=x frpeWZqaaeaabiGaaiaadaqabeaabeqacqaaaOqaaiaadweacaaIOa GaamitaiaaiMcacaaI9aGaamyramaaBaaaleaaieaacaWFLbGaa8hE aiaa=rhaaeqaaOGaaGilaiaaywW7caaMf8UaamyraiaaiIcacqGHsi slcaWGmbGaaGykaiaai2dacaWGfbWaaSbaaSqaaiaa=vgacaWF4bGa a8hDaaqabaGccaaIUaaaaa@4D3B@

Отсюда для функций H(x,v) MathType@MTEF@5@5@+= feaahGart1ev3aaatCvAUfeBSjuyZL2yd9gzLbvyNv2Caerbov2D09 MBdbqedmvETj2BSbqeduuDJXwAKbYu51MyVXgarqqr1ngBPrgifHhD YfgasaacHOWxh9vrFfeu0dXdh9vqqj=hEeeu0xXdbba9frFj0=OqFf ea0dXdd9vspGe9FjuP0=fs0xXdbba9pGe9xq=Jbba9suk9fr=xfr=x frpeWZqaaeaabiGaaiaadaqabeaabeqacqaaaOqaaiaadIeacaaIOa GaamiEaiaaiYcacaWG2bGaaGykaaaa@3D65@  и G(x) MathType@MTEF@5@5@+= feaahGart1ev3aaatCvAUfeBSjuyZL2yd9gzLbvyNv2Caerbov2D09 MBdbqedmvETj2BSbqeduuDJXwAKbYu51MyVXgarqqr1ngBPrgifHhD YfgasaacHOWxh9vrFfeu0dXdh9vqqj=hEeeu0xXdbba9frFj0=OqFf ea0dXdd9vspGe9FjuP0=fs0xXdbba9pGe9xq=Jbba9suk9fr=xfr=x frpeWZqaaeaabiGaaiaadaqabeaabeqacqaaaOqaaiaadEeacaaIOa GaamiEaiaaiMcaaaa@3BB3@  получаем следующие граничные условия:

H(l,v)=H(l,v),H(l,v)=H(l,v), MathType@MTEF@5@5@+= feaahGart1ev3aaatCvAUfeBSjuyZL2yd9gzLbvyNv2Caerbov2D09 MBdbqedmvETj2BSbqeduuDJXwAKbYu51MyVXgarqqr1ngBPrgifHhD YfgasaacHOWxh9vrFfeu0dXdh9vqqj=hEeeu0xXdbba9frFj0=OqFf ea0dXdd9vspGe9FjuP0=fs0xXdbba9pGe9xq=Jbba9suk9fr=xfr=x frpeWZqaaeaabiGaaiaadaqabeaabeqacqaaaOqaaiaadIeacaaIOa GaamiBaiaaiYcacaWG2bGaaGykaiaai2dacaWGibGaaGikaiaadYga caaISaGaeyOeI0IaamODaiaaiMcacaaISaGaaGjbVlaadIeacaaIOa GaeyOeI0IaamiBaiaaiYcacaWG2bGaaGykaiaai2dacaWGibGaaGik aiabgkHiTiaadYgacaaISaGaeyOeI0IaamODaiaaiMcacaaISaaaaa@5410@  (25)

G(l)=1,G(l)=1. MathType@MTEF@5@5@+= feaahGart1ev3aaatCvAUfeBSjuyZL2yd9gzLbvyNv2Caerbov2D09 MBdbqedmvETj2BSbqeduuDJXwAKbYu51MyVXgarqqr1ngBPrgifHhD YfgasaacHOWxh9vrFfeu0dXdh9vqqj=hEeeu0xXdbba9frFj0=OqFf ea0dXdd9vspGe9FjuP0=fs0xXdbba9pGe9xq=Jbba9suk9fr=xfr=x frpeWZqaaeaabiGaaiaadaqabeaabeqacqaaaOqaaiaadEeacaaIOa GaamiBaiaaiMcacaaI9aGaaGymaiaaiYcacaaMe8Uaam4raiaaiIca cqGHsislcaWGSbGaaGykaiaai2dacaaIXaGaaGOlaaaa@45B5@  (26)

Здесь l=L/ x 0 MathType@MTEF@5@5@+= feaahGart1ev3aaatCvAUfeBSjuyZL2yd9gzLbvyNv2Caerbov2D09 MBdbqedmvETj2BSbqeduuDJXwAKbYu51MyVXgarqqr1ngBPrgifHhD YfgasaacHOWxh9vrFfeu0dXdh9vqqj=hEeeu0xXdbba9frFj0=OqFf ea0dXdd9vspGe9FjuP0=fs0xXdbba9pGe9xq=Jbba9suk9fr=xfr=x frpeWZqaaeaabiGaaiaadaqabeaabeqacqaaaOqaaiaadYgacaaI9a Gaamitaiaai+cacaWG4bWaaSbaaSqaaiaaicdaaeqaaaaa@3DAA@   MathType@MTEF@5@5@+= feaahGart1ev3aqatCvAUfeBSjuyZL2yd9gzLbvyNv2CaerbuLwBLn hiov2DGi1BTfMBaeXatLxBI9gBaerbd9wDYLwzYbItLDharqqtubsr 4rNCHbGeaGqiVu0Je9sqqrpepC0xbbL8F4rqqrFfpeea0xe9Lq=Jc9 vqaqpepm0xbba9pwe9Q8fs0=yqaqpepae9pg0FirpepeKkFr0xfr=x fr=xb9adbaqaaeGaciGaaiaabeqaamaabaabaaGcbaacbaqcLbvaqa aaaaaaaaWdbiaa=nbiaaa@3794@  величина слоя в единицах свободного пробега электронов. Таким образом, задача об отклике плазмы на внешнее воздействие состоит в нахождении такого решения уравнений (22), (23), которое удовлетворяет краевым условиям (25), (26).

Статья организована следующим образом: в разд. 2 представлено аналитическое решение поставленной задачи, полученное на основе утверждений из [4] и [5]. В разд. 3 представлено численное исследование решения, полученного в разд. 2.

2. АНАЛИТИЧЕСКОЕ ПРЕДСТАВЛЕНИЕ РЕШЕНИЯ КРАЕВОЙ ЗАДАЧИ

Мы получили систему интегродифференциальных уравнений для функций H(x,v) и G(x):

v H x (x,v)+AH(x,v)=vG(x)+ + k(ξ)H(x,ξ)dξ, MathType@MTEF@5@5@+= feaahGart1ev3aaatCvAUfeBSjuyZL2yd9gzLbvyNv2Caerbov2D09 MBdbqedmvETj2BSbqeduuDJXwAKbYu51MyVXgarqqr1ngBPrgifHhD YfgasaacHOWxh9vrFfeu0dXdh9vqqj=hEeeu0xXdbba9frFj0=OqFf ea0dXdd9vspGe9FjuP0=fs0xXdbba9pGe9xq=Jbba9suk9fr=xfr=x frpeWZqaaeaabiGaaiaadaqabeaabeqacqaaaOqaaiaadAhacaWGib WaaSbaaSqaaiaadIhaaeqaaOGaaGikaiaadIhacaaISaGaamODaiaa iMcacqGHRaWkcaWGbbGaamisaiaaiIcacaWG4bGaaGilaiaadAhaca aIPaGaeyypa0JaamODaiaadEeacaaIOaGaamiEaiaaiMcacqGHRaWk daWdXaqabSqaaiabgkHiTiabg6HiLcqaaiabgUcaRiabg6HiLcqdcq GHRiI8aOGaam4AaiaaiIcacqaH+oaEcaaIPaGaamisaiaaiIcacaWG 4bGaaGilaiabe67a4jaaiMcacaWGKbGaeqOVdGNaaGilaaaa@6033@  (27)

G (x)=B + k(ξ)H(x,ξ)dξ. MathType@MTEF@5@5@+= feaahGart1ev3aaatCvAUfeBSjuyZL2yd9gzLbvyNv2Caerbov2D09 MBdbqedmvETj2BSbqeduuDJXwAKbYu51MyVXgarqqr1ngBPrgifHhD YfgasaacHOWxh9vrFfeu0dXdh9vqqj=hEeeu0xXdbba9frFj0=OqFf ea0dXdd9vspGe9FjuP0=fs0xXdbba9pGe9xq=Jbba9suk9fr=xfr=x frpeWZqaaeaabiGaaiaadaqabeaabeqacqaaaOqaaiqadEeagaqbai aaiIcacaWG4bGaaGykaiaai2dacaWGcbWaa8qmaeqaleaacqGHsisl cqGHEisPaeaacqGHRaWkcqGHEisPa0Gaey4kIipakiaadUgacaaIOa GaeqOVdGNaaGykaiaadIeacaaIOaGaamiEaiaaiYcacqaH+oaEcaaI PaGaamizaiabe67a4jaai6caaaa@5156@  (28)

Функции H(x,v) и G(x) заданы в полосе

Π={x(l,l),v}, MathType@MTEF@5@5@+= feaahGart1ev3aaatCvAUfeBSjuyZL2yd9gzLbvyNv2Caerbov2D09 MBdbqedmvETj2BSbqeduuDJXwAKbYu51MyVXgarqqr1ngBPrgifHhD YfgasaacHOWxh9vrFfeu0dXdh9vqqj=hEeeu0xXdbba9frFj0=OqFf ea0dXdd9vspGe9FjuP0=fs0xXdbba9pGe9xq=Jbba9suk9fr=xfr=x frpeWZqaaeaabiGaaiaadaqabeaabeqacqaaaOqaaiabfc6aqjaai2 dacaaI7bGaamiEaiabgIGiolaaiIcacqGHsislcaWGSbGaaGilaiaa dYgacaaIPaGaaGilaiaadAhacqGHiiIZtuuDJXwAK1uy0HMmaeHbfv 3ySLgzG0uy0HgiuD3BaGqbaiab=1risjaai2hacaaISaaaaa@52E4@  (29)

и удовлетворяют следующим граничным условиям:

H(l,v)=H(l,v),H(l,v)=H(l,v), MathType@MTEF@5@5@+= feaahGart1ev3aaatCvAUfeBSjuyZL2yd9gzLbvyNv2Caerbov2D09 MBdbqedmvETj2BSbqeduuDJXwAKbYu51MyVXgarqqr1ngBPrgifHhD YfgasaacHOWxh9vrFfeu0dXdh9vqqj=hEeeu0xXdbba9frFj0=OqFf ea0dXdd9vspGe9FjuP0=fs0xXdbba9pGe9xq=Jbba9suk9fr=xfr=x frpeWZqaaeaabiGaaiaadaqabeaabeqacqaaaOqaaiaadIeacaaIOa GaamiBaiaaiYcacaWG2bGaaGykaiaai2dacaWGibGaaGikaiaadYga caaISaGaeyOeI0IaamODaiaaiMcacaaISaGaaGjbVlaadIeacaaIOa GaeyOeI0IaamiBaiaaiYcacaWG2bGaaGykaiaai2dacaWGibGaaGik aiabgkHiTiaadYgacaaISaGaeyOeI0IaamODaiaaiMcacaaISaaaaa@5410@  (30)

G(l)=1,G(l)=1. MathType@MTEF@5@5@+= feaahGart1ev3aaatCvAUfeBSjuyZL2yd9gzLbvyNv2Caerbov2D09 MBdbqedmvETj2BSbqeduuDJXwAKbYu51MyVXgarqqr1ngBPrgifHhD YfgasaacHOWxh9vrFfeu0dXdh9vqqj=hEeeu0xXdbba9frFj0=OqFf ea0dXdd9vspGe9FjuP0=fs0xXdbba9pGe9xq=Jbba9suk9fr=xfr=x frpeWZqaaeaabiGaaiaadaqabeaabeqacqaaaOqaaiaadEeacaaIOa GaamiBaiaaiMcacaaI9aGaaGymaiaaiYcacaaMe8Uaam4raiaaiIca cqGHsislcaWGSbGaaGykaiaai2dacaaIXaGaaGOlaaaa@45B5@  (31)

Функция k(ξ) MathType@MTEF@5@5@+= feaahGart1ev3aaatCvAUfeBSjuyZL2yd9gzLbvyNv2Caerbov2D09 MBdbqedmvETj2BSbqeduuDJXwAKbYu51MyVXgarqqr1ngBPrgifHhD YfgasaacHOWxh9vrFfeu0dXdh9vqqj=hEeeu0xXdbba9frFj0=OqFf ea0dXdd9vspGe9FjuP0=fs0xXdbba9pGe9xq=Jbba9suk9fr=xfr=x frpeWZqaaeaabiGaaiaadaqabeaabeqacqaaaOqaaiaadUgacaaIOa GaeqOVdGNaaGykaaaa@3C9D@  определяется формулой (24), а коэффициенты A и B зависят от свойств плазмы и выражаются формулами

A=1i ω ν ,B= 2 ω p 2 ν 2 . MathType@MTEF@5@5@+= feaahGart1ev3aaatCvAUfeBSjuyZL2yd9gzLbvyNv2Caerbov2D09 MBdbqedmvETj2BSbqeduuDJXwAKbYu51MyVXgarqqr1ngBPrgifHhD YfgasaacHOWxh9vrFfeu0dXdh9vqqj=hEeeu0xXdbba9frFj0=OqFf ea0dXdd9vspGe9FjuP0=fs0xXdbba9pGe9xq=Jbba9suk9fr=xfr=x frpeWZqaaeaabiGaaiaadaqabeaabeqacqaaaOqaaiaadgeacaaI9a GaaGymaiabgkHiTiaadMgadaWcaaqaaiabeM8a3bqaaiabe27aUbaa caaISaGaaGjbVlaaysW7caWGcbGaaGypamaalaaabaGaaGOmaiabeM 8a3naaDaaaleaacaWGWbaabaGaaGOmaaaaaOqaaiabe27aUnaaCaaa leqabaGaaGOmaaaaaaGccaaIUaaaaa@4D7F@  (32)

Решение задачи (27)–(31) ищется в следующем классе функций:

HC( Π ¯ \{v=±}), H x C(Π),GC[l,+l] C 1 (l,+l). MathType@MTEF@5@5@+= feaahGart1ev3aaatCvAUfeBSjuyZL2yd9gzLbvyNv2Caerbov2D09 MBdbqedmvETj2BSbqeduuDJXwAKbYu51MyVXgarqqr1ngBPrgifHhD YfgasaacHOWxh9vrFfeu0dXdh9vqqj=hEeeu0xXdbba9frFj0=OqFf ea0dXdd9vspGe9FjuP0=fs0xXdbba9pGe9xq=Jbba9suk9fr=xfr=x frpeWZqaaeaabiGaaiaadaqabeaabeqacqaaaOqaaiaadIeacqGHii IZcaWGdbGaaGikamaanaaabaGaeuiOdafaaiaacYfacaaI7bGaamOD aiaai2dacqGHXcqScqGHEisPcaaI9bGaaGykaiaaiYcacaaMf8Uaam isamaaBaaaleaacaWG4baabeaakiabgIGiolaadoeacaaIOaGaeuiO daLaaGykaiaaiYcacaaMf8Uaam4raiabgIGiolaadoeacaaIBbGaey OeI0IaamiBaiaaiYcacqGHRaWkcaWGSbGaaGyxaiabgMIihlaadoea daahaaWcbeqaaiaaigdaaaGccaaIOaGaeyOeI0IaamiBaiaaiYcacq GHRaWkcaWGSbGaaGykaiaai6caaaa@657D@  (33)

В работах [4], [5] был предложен метод и построено аналитическое решение задачи (27) MathType@MTEF@5@5@+= feaahGart1ev3aqatCvAUfeBSjuyZL2yd9gzLbvyNv2CaerbuLwBLn hiov2DGi1BTfMBaeXatLxBI9gBaerbd9wDYLwzYbItLDharqqtubsr 4rNCHbGeaGqiVu0Je9sqqrpepC0xbbL8F4rqqrFfpeea0xe9Lq=Jc9 vqaqpepm0xbba9pwe9Q8fs0=yqaqpepae9pg0FirpepeKkFr0xfr=x fr=xb9adbaqaaeGaciGaaiaabeqaamaabaabaaGcbaacbaqcLbvaqa aaaaaaaaWdbiaa=nbiaaa@3794@ (31) для случая, когда k(ξ) MathType@MTEF@5@5@+= feaahGart1ev3aaatCvAUfeBSjuyZL2yd9gzLbvyNv2Caerbov2D09 MBdbqedmvETj2BSbqeduuDJXwAKbYu51MyVXgarqqr1ngBPrgifHhD YfgasaacHOWxh9vrFfeu0dXdh9vqqj=hEeeu0xXdbba9frFj0=OqFf ea0dXdd9vspGe9FjuP0=fs0xXdbba9pGe9xq=Jbba9suk9fr=xfr=x frpeWZqaaeaabiGaaiaadaqabeaabeqacqaaaOqaaiaadUgacaaIOa GaeqOVdGNaaGykaaaa@3C9D@   MathType@MTEF@5@5@+= feaahGart1ev3aqatCvAUfeBSjuyZL2yd9gzLbvyNv2CaerbuLwBLn hiov2DGi1BTfMBaeXatLxBI9gBaerbd9wDYLwzYbItLDharqqtubsr 4rNCHbGeaGqiVu0Je9sqqrpepC0xbbL8F4rqqrFfpeea0xe9Lq=Jc9 vqaqpepm0xbba9pwe9Q8fs0=yqaqpepae9pg0FirpepeKkFr0xfr=x fr=xb9adbaqaaeGaciGaaiaabeqaamaabaabaaGcbaacbaqcLbvaqa aaaaaaaaWdbiaa=nbiaaa@3794@  произвольная бесконечно дифференцируемая функция с асимптотикой k(ξ)=O( e ξ 2 ),ξ± MathType@MTEF@5@5@+= feaahGart1ev3aaatCvAUfeBSjuyZL2yd9gzLbvyNv2Caerbov2D09 MBdbqedmvETj2BSbqeduuDJXwAKbYu51MyVXgarqqr1ngBPrgifHhD YfgasaacHOWxh9vrFfeu0dXdh9vqqj=hEeeu0xXdbba9frFj0=OqFf ea0dXdd9vspGe9FjuP0=fs0xXdbba9pGe9xq=Jbba9suk9fr=xfr=x frpeWZqaaeaabiGaaiaadaqabeaabeqacqaaaOqaaiaadUgacaaIOa GaeqOVdGNaaGykaiaai2datuuDJXwAK1uy0HwmaeHbfv3ySLgzG0uy 0Hgip5wzaGqbaiab=5q8pjaaiIcacaWGLbWaaWbaaSqabeaacqGHsi slcqaH+oaEdaahaaqabeaacaaIYaaaaaaakiaaiMcacaaISaGaeqOV dGNaeyOKH4QaeyySaeRaeyOhIukaaa@569A@  и нормированная на единицу, т.е. + k(ξ)dξ=1 MathType@MTEF@5@5@+= feaahGart1ev3aaatCvAUfeBSjuyZL2yd9gzLbvyNv2Caerbov2D09 MBdbqedmvETj2BSbqeduuDJXwAKbYu51MyVXgarqqr1ngBPrgifHhD YfgasaacHOWxh9vrFfeu0dXdh9vqqj=hEeeu0xXdbba9frFj0=OqFf ea0dXdd9vspGe9FjuP0=fs0xXdbba9pGe9xq=Jbba9suk9fr=xfr=x frpeWZqaaeaabiGaaiaadaqabeaabeqacqaaaOqaamaapedabeWcba GaeyOeI0IaeyOhIukabaGaey4kaSIaeyOhIukaniabgUIiYdGccaWG RbGaaGikaiabe67a4jaaiMcacaWGKbGaeqOVdGNaaGypaiaaigdaaa a@47B0@ , а величины A и B являются комплексной и вещественной константами соответственно. Частным случаем такой функции является k(ξ) MathType@MTEF@5@5@+= feaahGart1ev3aaatCvAUfeBSjuyZL2yd9gzLbvyNv2Caerbov2D09 MBdbqedmvETj2BSbqeduuDJXwAKbYu51MyVXgarqqr1ngBPrgifHhD YfgasaacHOWxh9vrFfeu0dXdh9vqqj=hEeeu0xXdbba9frFj0=OqFf ea0dXdd9vspGe9FjuP0=fs0xXdbba9pGe9xq=Jbba9suk9fr=xfr=x frpeWZqaaeaabiGaaiaadaqabeaabeqacqaaaOqaaiaadUgacaaIOa GaeqOVdGNaaGykaaaa@3C9D@ , определенная по формуле (24). Указанное решение задачи было построено с помощью новых результатов, развивающих подход [14], [15] в теории преобразования Фурье обобщенных функций, а также методов [16], [17] для решения сингулярных интегральных уравнений.

Для того чтобы выписать результат решения, введем функцию:

Λ(λ)=1 B A 2 λ 2 B A 2 λ λ 2 A B + k(ξ) ξλ dξ, MathType@MTEF@5@5@+= feaahGart1ev3aaatCvAUfeBSjuyZL2yd9gzLbvyNv2Caerbov2D09 MBdbqedmvETj2BSbqeduuDJXwAKbYu51MyVXgarqqr1ngBPrgifHhD YfgasaacHOWxh9vrFfeu0dXdh9vqqj=hEeeu0xXdbba9frFj0=OqFf ea0dXdd9vspGe9FjuP0=fs0xXdbba9pGe9xq=Jbba9suk9fr=xfr=x frpeWZqaaeaabiGaaiaadaqabeaabeqacqaaaOqaaiabfU5amjaaiI cacqaH7oaBcaaIPaGaaGypaiaaigdacqGHsisldaWcaaqaaiaadkea aeaacaWGbbWaaWbaaSqabeaacaaIYaaaaaaakiabeU7aSnaaCaaale qabaGaaGOmaaaakiabgkHiTmaalaaabaGaamOqaaqaaiaadgeadaah aaWcbeqaaiaaikdaaaaaaOGaeq4UdW2aaeWaaeaacqaH7oaBdaahaa WcbeqaaiaaikdaaaGccqGHsisldaWcaaqaaiaadgeaaeaacaWGcbaa aaGaayjkaiaawMcaamaapedabeWcbaGaeyOeI0IaeyOhIukabaGaey 4kaSIaeyOhIukaniabgUIiYdGcdaWcaaqaaiaadUgacaaIOaGaeqOV dGNaaGykaaqaaiabe67a4jabgkHiTiabeU7aSbaacaWGKbGaeqOVdG NaaGilaaaa@6377@  (34)

от структуры множества нулей которой зависит общий вид решения задачи. Заметим, что вид функции Λ(λ) MathType@MTEF@5@5@+= feaahGart1ev3aaatCvAUfeBSjuyZL2yd9gzLbvyNv2Caerbov2D09 MBdbqedmvETj2BSbqeduuDJXwAKbYu51MyVXgarqqr1ngBPrgifHhD YfgasaacHOWxh9vrFfeu0dXdh9vqqj=hEeeu0xXdbba9frFj0=OqFf ea0dXdd9vspGe9FjuP0=fs0xXdbba9pGe9xq=Jbba9suk9fr=xfr=x frpeWZqaaeaabiGaaiaadaqabeaabeqacqaaaOqaaiabfU5amjaaiI cacqaH7oaBcaaIPaaaaa@3D13@  общий для любого решения системы (27), (28), а ее свойства определяются набором параметров k(ξ) MathType@MTEF@5@5@+= feaahGart1ev3aaatCvAUfeBSjuyZL2yd9gzLbvyNv2Caerbov2D09 MBdbqedmvETj2BSbqeduuDJXwAKbYu51MyVXgarqqr1ngBPrgifHhD YfgasaacHOWxh9vrFfeu0dXdh9vqqj=hEeeu0xXdbba9frFj0=OqFf ea0dXdd9vspGe9FjuP0=fs0xXdbba9pGe9xq=Jbba9suk9fr=xfr=x frpeWZqaaeaabiGaaiaadaqabeaabeqacqaaaOqaaiaadUgacaaIOa GaeqOVdGNaaGykaaaa@3C9D@ , A и B, которые зависят от свойств плазмы.

Аналитические и численные оценки показали, что и для модели, рассматриваемой в [4], и для модели, рассматриваемой в настоящей работе, для физически значимых параметров функция Λ(λ) MathType@MTEF@5@5@+= feaahGart1ev3aaatCvAUfeBSjuyZL2yd9gzLbvyNv2Caerbov2D09 MBdbqedmvETj2BSbqeduuDJXwAKbYu51MyVXgarqqr1ngBPrgifHhD YfgasaacHOWxh9vrFfeu0dXdh9vqqj=hEeeu0xXdbba9frFj0=OqFf ea0dXdd9vspGe9FjuP0=fs0xXdbba9pGe9xq=Jbba9suk9fr=xfr=x frpeWZqaaeaabiGaaiaadaqabeaabeqacqaaaOqaaiabfU5amjaaiI cacqaH7oaBcaaIPaaaaa@3D13@  имеет два простых корня, которые являются комплексными и противоположными по знаку ± λ 0 MathType@MTEF@5@5@+= feaahGart1ev3aaatCvAUfeBSjuyZL2yd9gzLbvyNv2Caerbov2D09 MBdbqedmvETj2BSbqeduuDJXwAKbYu51MyVXgarqqr1ngBPrgifHhD YfgasaacHOWxh9vrFfeu0dXdh9vqqj=hEeeu0xXdbba9frFj0=OqFf ea0dXdd9vspGe9FjuP0=fs0xXdbba9pGe9xq=Jbba9suk9fr=xfr=x frpeWZqaaeaabiGaaiaadaqabeaabeqacqaaaOqaaiabgglaXkabeU 7aSnaaBaaaleaacaaIWaaabeaakiabgMGipprr1ngBPrwtHrhAYaqe guuDJXwAKbstHrhAGq1DVbacfaGae8xhHifaaa@4955@ , что позволяет нам использовать результаты работы [4].

Следуя [4], введем также функции

ϰ(λ,v):= 1 A λ 2 A/B λv λ , MathType@MTEF@5@5@+= feaahGart1ev3aaatCvAUfeBSjuyZL2yd9gzLbvyNv2Caerbov2D09 MBdbqedmvETj2BSbqeduuDJXwAKbYu51MyVXgarqqr1ngBPrgifHhD YfgasaacHOWxh9vrFfeu0dXdh9vqqj=hEeeu0xXdbba9frFj0=OqFf ea0dXdd9vspGe9FjuP0=fs0xXdbba9pGe9xq=Jbba9suk9fr=xfr=x frpeWZqaaeaabiGaaiaadaqabeaabeqacqaaaOqaamrr1ngBPrwtHr hAXaqeguuDJXwAKbstHrhAG8KBLbacfaGae8h8dKVaaGikaiabeU7a SjaaiYcacaWG2bGaaGykaiaaiQdacaaI9aWaaSaaaeaacaaIXaaaba GaamyqaaaadaqadaqaamaalaaabaGaeq4UdW2aaWbaaSqabeaacaaI YaaaaOGaeyOeI0Iaamyqaiaai+cacaWGcbaabaGaeq4UdWMaeyOeI0 IaamODaaaacqGHsislcqaH7oaBaiaawIcacaGLPaaacaaISaaaaa@5ACC@  (35)

Λ 0 (λ)=1 B A 2 λ 2 B A 2 λ λ 2 A B v.p. + k(ξ) ξλ dξ,λ(,+), MathType@MTEF@5@5@+= feaahGart1ev3aaatCvAUfeBSjuyZL2yd9gzLbvyNv2Caerbov2D09 MBdbqedmvETj2BSbqeduuDJXwAKbYu51MyVXgarqqr1ngBPrgifHhD YfgasaacHOWxh9vrFfeu0dXdh9vqqj=hEeeu0xXdbba9frFj0=OqFf ea0dXdd9vspGe9FjuP0=fs0xXdbba9pGe9xq=Jbba9suk9fr=xfr=x frpeWZqaaeaabiGaaiaadaqabeaabeqacqaaaOqaaiabfU5amnaaBa aaleaacaaIWaaabeaakiaaiIcacqaH7oaBcaaIPaGaaGypaiaaigda cqGHsisldaWcaaqaaiaadkeaaeaacaWGbbWaaWbaaSqabeaacaaIYa aaaaaakiabeU7aSnaaCaaaleqabaGaaGOmaaaakiabgkHiTmaalaaa baGaamOqaaqaaiaadgeadaahaaWcbeqaaiaaikdaaaaaaOGaeq4UdW 2aaeWaaeaacqaH7oaBdaahaaWcbeqaaiaaikdaaaGccqGHsisldaWc aaqaaiaadgeaaeaacaWGcbaaaaGaayjkaiaawMcaaiaabAhacaaIUa acbaGaa8hCaiaai6cadaWdXaqabSqaaiabgkHiTiabg6HiLcqaaiab gUcaRiabg6HiLcqdcqGHRiI8aOWaaSaaaeaacaWGRbGaaGikaiabe6 7a4jaaiMcaaeaacqaH+oaEcqGHsislcqaH7oaBaaGaamizaiabe67a 4jaaiYcacaaMf8Uaeq4UdWMaeyicI4SaaGikaiabgkHiTiabg6HiLk aaiYcacqGHRaWkcqGHEisPcaaIPaGaaGilaaaa@7412@  (36)

где символ v.p. MathType@MTEF@5@5@+= feaahGart1ev3aaatCvAUfeBSjuyZL2yd9gzLbvyNv2Caerbov2D09 MBdbqedmvETj2BSbqeduuDJXwAKbYu51MyVXgarqqr1ngBPrgifHhD YfgasaacHOWxh9vrFfeu0dXdh9vqqj=hEeeu0xXdbba9frFj0=OqFf ea0dXdd9vspGe9FjuP0=fs0xXdbba9pGe9xq=Jbba9suk9fr=xfr=x frpeWZqaaeaabiGaaiaadaqabeaabeqacqaaaOqaaiaabAhacaaIUa acbaGaa8hCaiaai6caaaa@3BE8@  означает, что интеграл понимается в смысле главного значения. Введем еще одну величину, которая потребуется далее MathType@MTEF@5@5@+= feaahGart1ev3aqatCvAUfeBSjuyZL2yd9gzLbvyNv2CaerbuLwBLn hiov2DGi1BTfMBaeXatLxBI9gBaerbd9wDYLwzYbItLDharqqtubsr 4rNCHbGeaGqiVu0Je9sqqrpepC0xbbL8F4rqqrFfpeea0xe9Lq=Jc9 vqaqpepm0xbba9pwe9Q8fs0=yqaqpepae9pg0FirpepeKkFr0xfr=x fr=xb9adbaqaaeGaciGaaiaabeqaamaabaabaaGcbaacbaqcLbvaqa aaaaaaaaWdbiaa=nbiaaa@3794@  значение дисперсионной функции Λ(λ) MathType@MTEF@5@5@+= feaahGart1ev3aaatCvAUfeBSjuyZL2yd9gzLbvyNv2Caerbov2D09 MBdbqedmvETj2BSbqeduuDJXwAKbYu51MyVXgarqqr1ngBPrgifHhD YfgasaacHOWxh9vrFfeu0dXdh9vqqj=hEeeu0xXdbba9frFj0=OqFf ea0dXdd9vspGe9FjuP0=fs0xXdbba9pGe9xq=Jbba9suk9fr=xfr=x frpeWZqaaeaabiGaaiaadaqabeaabeqacqaaaOqaaiabfU5amjaaiI cacqaH7oaBcaaIPaaaaa@3D13@  на бесконечности:

Λ :=Λ(). MathType@MTEF@5@5@+= feaahGart1ev3aaatCvAUfeBSjuyZL2yd9gzLbvyNv2Caerbov2D09 MBdbqedmvETj2BSbqeduuDJXwAKbYu51MyVXgarqqr1ngBPrgifHhD YfgasaacHOWxh9vrFfeu0dXdh9vqqj=hEeeu0xXdbba9frFj0=OqFf ea0dXdd9vspGe9FjuP0=fs0xXdbba9pGe9xq=Jbba9suk9fr=xfr=x frpeWZqaaeaabiGaaiaadaqabeaabeqacqaaaOqaaiabfU5amnaaBa aaleaacqGHEisPaeqaaOGaaGOoaiaai2dacqqHBoatcaaIOaGaeyOh IuQaaGykaiaai6caaaa@422F@  (37)

В дальнейшем также потребуются функции S(v) MathType@MTEF@5@5@+= feaahGart1ev3aaatCvAUfeBSjuyZL2yd9gzLbvyNv2Caerbov2D09 MBdbqedmvETj2BSbqeduuDJXwAKbYu51MyVXgarqqr1ngBPrgifHhD YfgasaacHOWxh9vrFfeu0dXdh9vqqj=hEeeu0xXdbba9frFj0=OqFf ea0dXdd9vspGe9FjuP0=fs0xXdbba9pGe9xq=Jbba9suk9fr=xfr=x frpeWZqaaeaabiGaaiaadaqabeaabeqacqaaaOqaamrr1ngBPrwtHr hAXaqeguuDJXwAKbstHrhAG8KBLbacfaGae8NeXpLaaGikaiaadAha caaIPaaaaa@464A@ , удовлетворяющие требованиям приведенного замечания.

Замечание 1. Будем предполагать, что функция S(v) MathType@MTEF@5@5@+= feaahGart1ev3aaatCvAUfeBSjuyZL2yd9gzLbvyNv2Caerbov2D09 MBdbqedmvETj2BSbqeduuDJXwAKbYu51MyVXgarqqr1ngBPrgifHhD YfgasaacHOWxh9vrFfeu0dXdh9vqqj=hEeeu0xXdbba9frFj0=OqFf ea0dXdd9vspGe9FjuP0=fs0xXdbba9pGe9xq=Jbba9suk9fr=xfr=x frpeWZqaaeaabiGaaiaadaqabeaabeqacqaaaOqaamrr1ngBPrwtHr hAXaqeguuDJXwAKbstHrhAG8KBLbacfaGae8NeXpLaaGikaiaadAha caaIPaaaaa@464A@  непрерывна при v MathType@MTEF@5@5@+= feaahGart1ev3aaatCvAUfeBSjuyZL2yd9gzLbvyNv2Caerbov2D09 MBdbqedmvETj2BSbqeduuDJXwAKbYu51MyVXgarqqr1ngBPrgifHhD YfgasaacHOWxh9vrFfeu0dXdh9vqqj=hEeeu0xXdbba9frFj0=OqFf ea0dXdd9vspGe9FjuP0=fs0xXdbba9pGe9xq=Jbba9suk9fr=xfr=x frpeWZqaaeaabiGaaiaadaqabeaabeqacqaaaOqaaiaadAhacqGHii IZtuuDJXwAK1uy0HMmaeHbfv3ySLgzG0uy0HgiuD3BaGqbaiab=1ri sbaa@45BC@ , удовлетворяет условию S(v)=o( e C 1 |v| ) MathType@MTEF@5@5@+= feaahGart1ev3aaatCvAUfeBSjuyZL2yd9gzLbvyNv2Caerbov2D09 MBdbqedmvETj2BSbqeduuDJXwAKbYu51MyVXgarqqr1ngBPrgifHhD YfgasaacHOWxh9vrFfeu0dXdh9vqqj=hEeeu0xXdbba9frFj0=OqFf ea0dXdd9vspGe9FjuP0=fs0xXdbba9pGe9xq=Jbba9suk9fr=xfr=x frpeWZqaaeaabiGaaiaadaqabeaabeqacqaaaOqaamrr1ngBPrwtHr hAXaqeguuDJXwAKbstHrhAG8KBLbacfaGae8NeXpLaaGikaiaadAha caaIPaGaaGypaiaad+gacaaIOaGaamyzamaaCaaaleqabaGaam4qam aaBaaabaGaaGymaaqabaGaaGiFaiaadAhacaaI8baaaOGaaGykaaaa @4F36@ , v± MathType@MTEF@5@5@+= feaahGart1ev3aaatCvAUfeBSjuyZL2yd9gzLbvyNv2Caerbov2D09 MBdbqedmvETj2BSbqeduuDJXwAKbYu51MyVXgarqqr1ngBPrgifHhD YfgasaacHOWxh9vrFfeu0dXdh9vqqj=hEeeu0xXdbba9frFj0=OqFf ea0dXdd9vspGe9FjuP0=fs0xXdbba9pGe9xq=Jbba9suk9fr=xfr=x frpeWZqaaeaabiGaaiaadaqabeaabeqacqaaaOqaaiaadAhacqGHsg IRcqGHXcqScqGHEisPaaa@3ECC@ , C 1 >0 MathType@MTEF@5@5@+= feaahGart1ev3aaatCvAUfeBSjuyZL2yd9gzLbvyNv2Caerbov2D09 MBdbqedmvETj2BSbqeduuDJXwAKbYu51MyVXgarqqr1ngBPrgifHhD YfgasaacHOWxh9vrFfeu0dXdh9vqqj=hEeeu0xXdbba9frFj0=OqFf ea0dXdd9vspGe9FjuP0=fs0xXdbba9pGe9xq=Jbba9suk9fr=xfr=x frpeWZqaaeaabiGaaiaadaqabeaabeqacqaaaOqaaiaadoeadaWgaa WcbaGaaGymaaqabaGccaaI+aGaaGimaaaa@3BC0@ , а кроме того, при малых v MathType@MTEF@5@5@+= feaahGart1ev3aaatCvAUfeBSjuyZL2yd9gzLbvyNv2Caerbov2D09 MBdbqedmvETj2BSbqeduuDJXwAKbYu51MyVXgarqqr1ngBPrgifHhD YfgasaacHOWxh9vrFfeu0dXdh9vqqj=hEeeu0xXdbba9frFj0=OqFf ea0dXdd9vspGe9FjuP0=fs0xXdbba9pGe9xq=Jbba9suk9fr=xfr=x frpeWZqaaeaabiGaaiaadaqabeaabeqacqaaaOqaaiaadAhaaaa@3980@  для нее справедлива асимптотика |S(v)|=O( v 2 e C 2 /|v| ) MathType@MTEF@5@5@+= feaahGart1ev3aaatCvAUfeBSjuyZL2yd9gzLbvyNv2Caerbov2D09 MBdbqedmvETj2BSbqeduuDJXwAKbYu51MyVXgarqqr1ngBPrgifHhD YfgasaacHOWxh9vrFfeu0dXdh9vqqj=hEeeu0xXdbba9frFj0=OqFf ea0dXdd9vspGe9FjuP0=fs0xXdbba9pGe9xq=Jbba9suk9fr=xfr=x frpeWZqaaeaabiGaaiaadaqabeaabeqacqaaaOqaaiaaiYhatuuDJX wAK1uy0HwmaeHbfv3ySLgzG0uy0Hgip5wzaGqbaiab=jr8tjaaiIca caWG2bGaaGykaiaaiYhacaaI9aGae8NdX=KaaGikaiaadAhadaahaa WcbeqaaiaaikdaaaGccaWGLbWaaWbaaSqabeaacqGHsislcaWGdbWa aSbaaeaacaaIYaaabeaacaaIVaGaaGiFaiaadAhacaaI8baaaOGaaG ykaaaa@55B6@ , v0 MathType@MTEF@5@5@+= feaahGart1ev3aaatCvAUfeBSjuyZL2yd9gzLbvyNv2Caerbov2D09 MBdbqedmvETj2BSbqeduuDJXwAKbYu51MyVXgarqqr1ngBPrgifHhD YfgasaacHOWxh9vrFfeu0dXdh9vqqj=hEeeu0xXdbba9frFj0=OqFf ea0dXdd9vspGe9FjuP0=fs0xXdbba9pGe9xq=Jbba9suk9fr=xfr=x frpeWZqaaeaabiGaaiaadaqabeaabeqacqaaaOqaaiaadAhacqGHsg IRcaaIWaaaaa@3C27@ , C 2 >0 MathType@MTEF@5@5@+= feaahGart1ev3aaatCvAUfeBSjuyZL2yd9gzLbvyNv2Caerbov2D09 MBdbqedmvETj2BSbqeduuDJXwAKbYu51MyVXgarqqr1ngBPrgifHhD YfgasaacHOWxh9vrFfeu0dXdh9vqqj=hEeeu0xXdbba9frFj0=OqFf ea0dXdd9vspGe9FjuP0=fs0xXdbba9pGe9xq=Jbba9suk9fr=xfr=x frpeWZqaaeaabiGaaiaadaqabeaabeqacqaaaOqaaiaadoeadaWgaa WcbaGaaGOmaaqabaGccaaI+aGaaGimaaaa@3BC1@ .

Таким образом, справедливо следующее утверждение, см. [5].

Теорема 1. Пусть функция k(ξ) MathType@MTEF@5@5@+= feaahGart1ev3aaatCvAUfeBSjuyZL2yd9gzLbvyNv2Caerbov2D09 MBdbqedmvETj2BSbqeduuDJXwAKbYu51MyVXgarqqr1ngBPrgifHhD YfgasaacHOWxh9vrFfeu0dXdh9vqqj=hEeeu0xXdbba9frFj0=OqFf ea0dXdd9vspGe9FjuP0=fs0xXdbba9pGe9xq=Jbba9suk9fr=xfr=x frpeWZqaaeaabiGaaiaadaqabeaabeqacqaaaOqaaiaadUgacaaIOa GaeqOVdGNaaGykaaaa@3C9D@ , фигурирующая в (27), (28), определена формулой (24), A MathType@MTEF@5@5@+= feaahGart1ev3aaatCvAUfeBSjuyZL2yd9gzLbvyNv2Caerbov2D09 MBdbqedmvETj2BSbqeduuDJXwAKbYu51MyVXgarqqr1ngBPrgifHhD YfgasaacHOWxh9vrFfeu0dXdh9vqqj=hEeeu0xXdbba9frFj0=OqFf ea0dXdd9vspGe9FjuP0=fs0xXdbba9pGe9xq=Jbba9suk9fr=xfr=x frpeWZqaaeaabiGaaiaadaqabeaabeqacqaaaOqaaiaadgeacqGHii IZtuuDJXwAK1uy0HMmaeHbfv3ySLgzG0uy0HgiuD3BaGqbaiab=jqi dbaa@455D@  и B MathType@MTEF@5@5@+= feaahGart1ev3aaatCvAUfeBSjuyZL2yd9gzLbvyNv2Caerbov2D09 MBdbqedmvETj2BSbqeduuDJXwAKbYu51MyVXgarqqr1ngBPrgifHhD YfgasaacHOWxh9vrFfeu0dXdh9vqqj=hEeeu0xXdbba9frFj0=OqFf ea0dXdd9vspGe9FjuP0=fs0xXdbba9pGe9xq=Jbba9suk9fr=xfr=x frpeWZqaaeaabiGaaiaadaqabeaabeqacqaaaOqaaiaadkeacqGHii IZtuuDJXwAK1uy0HMmaeHbfv3ySLgzG0uy0HgiuD3BaGqbaiab=1ri sbaa@4588@  соответственно комплексная и вещественная величины, определяемые формулами (32), функция Λ(λ) MathType@MTEF@5@5@+= feaahGart1ev3aaatCvAUfeBSjuyZL2yd9gzLbvyNv2Caerbov2D09 MBdbqedmvETj2BSbqeduuDJXwAKbYu51MyVXgarqqr1ngBPrgifHhD YfgasaacHOWxh9vrFfeu0dXdh9vqqj=hEeeu0xXdbba9frFj0=OqFf ea0dXdd9vspGe9FjuP0=fs0xXdbba9pGe9xq=Jbba9suk9fr=xfr=x frpeWZqaaeaabiGaaiaadaqabeaabeqacqaaaOqaaiabfU5amjaaiI cacqaH7oaBcaaIPaaaaa@3D13@ , определенная из (34), имеет два комплексных корня λ 0 MathType@MTEF@5@5@+= feaahGart1ev3aaatCvAUfeBSjuyZL2yd9gzLbvyNv2Caerbov2D09 MBdbqedmvETj2BSbqeduuDJXwAKbYu51MyVXgarqqr1ngBPrgifHhD YfgasaacHOWxh9vrFfeu0dXdh9vqqj=hEeeu0xXdbba9frFj0=OqFf ea0dXdd9vspGe9FjuP0=fs0xXdbba9pGe9xq=Jbba9suk9fr=xfr=x frpeWZqaaeaabiGaaiaadaqabeaabeqacqaaaOqaaiabeU7aSnaaBa aaleaacaaIWaaabeaaaaa@3B1F@  и λ 0 MathType@MTEF@5@5@+= feaahGart1ev3aaatCvAUfeBSjuyZL2yd9gzLbvyNv2Caerbov2D09 MBdbqedmvETj2BSbqeduuDJXwAKbYu51MyVXgarqqr1ngBPrgifHhD YfgasaacHOWxh9vrFfeu0dXdh9vqqj=hEeeu0xXdbba9frFj0=OqFf ea0dXdd9vspGe9FjuP0=fs0xXdbba9pGe9xq=Jbba9suk9fr=xfr=x frpeWZqaaeaabiGaaiaadaqabeaabeqacqaaaOqaaiabgkHiTiabeU 7aSnaaBaaaleaacaaIWaaabeaaaaa@3C0C@ , λ 0 + MathType@MTEF@5@5@+= feaahGart1ev3aaatCvAUfeBSjuyZL2yd9gzLbvyNv2Caerbov2D09 MBdbqedmvETj2BSbqeduuDJXwAKbYu51MyVXgarqqr1ngBPrgifHhD YfgasaacHOWxh9vrFfeu0dXdh9vqqj=hEeeu0xXdbba9frFj0=OqFf ea0dXdd9vspGe9FjuP0=fs0xXdbba9pGe9xq=Jbba9suk9fr=xfr=x frpeWZqaaeaabiGaaiaadaqabeaabeqacqaaaOqaaiabeU7aSnaaBa aaleaacaaIWaaabeaakiabgIGioprr1ngBPrwtHrhAYaqeguuDJXwA KbstHrhAGq1DVbacfaGae8xdHG0aaWbaaSqabeaacqGHRaWkaaaaaa@485A@ . Тогда решение краевой задачи (27)–(31) единственно и имеет вид:

H(x,v)= S 0 v A Λ B A S 1 λ 0 ϰ( λ 0 ,v) e Ax/ λ 0 + B A S 2 λ 0 ϰ( λ 0 ,v) e Ax/ λ 0 + + B iA + S(λ)k(λ) Λ 0 (λ) ϰ(λ,v) e Ax/λ dλ S(v) iv e Ax/v , MathType@MTEF@5@5@+= feaahGart1ev3aaatCvAUfeBSjuyZL2yd9gzLbvyNv2Caerbov2D09 MBdbqedmvETj2BSbqeduuDJXwAKbYu51MyVXgarqqr1ngBPrgifHhD YfgasaacHOWxh9vrFfeu0dXdh9vqqj=hEeeu0xXdbba9frFj0=OqFf ea0dXdd9vspGe9FjuP0=fs0xXdbba9pGe9xq=Jbba9suk9fr=xfr=x frpeWZqaaeaabiGaaiaadaqabeaabeqacqaaaOabaiqabaGaamisai aaiIcacaWG4bGaaGilaiaadAhacaaIPaGaaGypamaalaaabaWefv3y SLgznfgDOfdaryqr1ngBPrginfgDObYtUvgaiuaacqWFse=udaWgaa WcbaGaaGimaaqabaGccaWG2baabaGaamyqaiabfU5amnaaBaaaleaa cqGHEisPaeqaaaaakiabgkHiTmaalaaabaGaamOqaaqaaiaadgeaaa GaeyyXICTae8NeXp1aaSbaaSqaaiaaigdaaeqaaOGaeq4UdW2aaSba aSqaaiaaicdaaeqaaOGae8h8dKVaaGikaiabeU7aSnaaBaaaleaaca aIWaaabeaakiaaiYcacaWG2bGaaGykaiaadwgadaahaaWcbeqaaiab gkHiTiaadgeacaWG4bGaaG4laiabeU7aSnaaBaaabaGaaGimaaqaba aaaOGaey4kaSIaaGjbVpaalaaabaGaamOqaaqaaiaadgeaaaGaeyyX ICTae8NeXp1aaSbaaSqaaiaaikdaaeqaaOGaeq4UdW2aaSbaaSqaai aaicdaaeqaaOGae8h8dKVaaGikaiabgkHiTiabeU7aSnaaBaaaleaa caaIWaaabeaakiaaiYcacaWG2bGaaGykaiaadwgadaahaaWcbeqaai aadgeacaWG4bGaaG4laiabeU7aSnaaBaaabaGaaGimaaqabaaaaOGa ey4kaScabaGaey4kaSYaaSaaaeaacaWGcbaabaGaamyAaiaadgeaaa Waa8qmaeqaleaacqGHsislcqGHEisPaeaacqGHRaWkcqGHEisPa0Ga ey4kIipakmaalaaabaGae8NeXpLaaGikaiabeU7aSjaaiMcacaWGRb GaaGikaiabeU7aSjaaiMcaaeaacqqHBoatdaWgaaWcbaGaaGimaaqa baGccaaIOaGaeq4UdWMaaGykaaaacqWFWpq+caaIOaGaeq4UdWMaaG ilaiaadAhacaaIPaGaamyzamaaCaaaleqabaGaeyOeI0Iaamyqaiaa dIhacaaIVaGaeq4UdWgaaOGaamizaiabeU7aSjabgkHiTmaalaaaba Gae8NeXpLaaGikaiaadAhacaaIPaaabaGaamyAaiaadAhaaaGaamyz amaaCaaaleqabaGaeyOeI0IaamyqaiaadIhacaaIVaGaamODaaaaki aaiYcaaaaa@BB3A@  (38)

G(x)= S 0 Λ B A S 1 λ 0 e Ax/ λ 0 + B A S 2 λ 0 e Ax/ λ 0 + B iA + S(λ)k(λ) Λ 0 (λ) e Ax/λ dλ, MathType@MTEF@5@5@+= feaahGart1ev3aaatCvAUfeBSjuyZL2yd9gzLbvyNv2Caerbov2D09 MBdbqedmvETj2BSbqeduuDJXwAKbYu51MyVXgarqqr1ngBPrgifHhD YfgasaacHOWxh9vrFfeu0dXdh9vqqj=hEeeu0xXdbba9frFj0=OqFf ea0dXdd9vspGe9FjuP0=fs0xXdbba9pGe9xq=Jbba9suk9fr=xfr=x frpeWZqaaeaabiGaaiaadaqabeaabeqacqaaaOqaaiaadEeacaaIOa GaamiEaiaaiMcacaaMf8UaaGypamaalaaabaWefv3ySLgznfgDOfda ryqr1ngBPrginfgDObYtUvgaiuaacqWFse=udaWgaaWcbaGaaGimaa qabaaakeaacqqHBoatdaWgaaWcbaGaeyOhIukabeaaaaGccqGHsisl daWcaaqaaiaadkeaaeaacaWGbbaaaiabgwSixlab=jr8tnaaBaaale aacaaIXaaabeaakiabeU7aSnaaBaaaleaacaaIWaaabeaakiaadwga daahaaWcbeqaaiabgkHiTiaadgeacaWG4bGaaG4laiabeU7aSnaaBa aabaGaaGimaaqabaaaaOGaey4kaSYaaSaaaeaacaWGcbaabaGaamyq aaaacqGHflY1cqWFse=udaWgaaWcbaGaaGOmaaqabaGccqaH7oaBda WgaaWcbaGaaGimaaqabaGccaWGLbWaaWbaaSqabeaacaWGbbGaamiE aiaai+cacqaH7oaBdaWgaaqaaiaaicdaaeqaaaaakiabgUcaRmaala aabaGaamOqaaqaaiaadMgacaWGbbaaamaapedabeWcbaGaeyOeI0Ia eyOhIukabaGaey4kaSIaeyOhIukaniabgUIiYdGcdaWcaaqaaiab=j r8tjaaiIcacqaH7oaBcaaIPaGaam4AaiaaiIcacqaH7oaBcaaIPaaa baGaeu4MdW0aaSbaaSqaaiaaicdaaeqaaOGaaGikaiabeU7aSjaaiM caaaGaamyzamaaCaaaleqabaGaeyOeI0IaamyqaiaadIhacaaIVaGa eq4UdWgaaOGaamizaiabeU7aSjaacYcaaaa@91B4@  (39)

где постоянные величины S j ,j=0,1,2 MathType@MTEF@5@5@+= feaahGart1ev3aaatCvAUfeBSjuyZL2yd9gzLbvyNv2Caerbov2D09 MBdbqedmvETj2BSbqeduuDJXwAKbYu51MyVXgarqqr1ngBPrgifHhD YfgasaacHOWxh9vrFfeu0dXdh9vqqj=hEeeu0xXdbba9frFj0=OqFf ea0dXdd9vspGe9FjuP0=fs0xXdbba9pGe9xq=Jbba9suk9fr=xfr=x frpeWZqaaeaabiGaaiaadaqabeaabeqacqaaaOqaamrr1ngBPrwtHr hAXaqeguuDJXwAKbstHrhAG8KBLbacfaGae8NeXp1aaSbaaSqaaiaa dQgaaeqaaOGaaGilaiaayIW7caaMe8UaaGjbVlaadQgacaaI9aGaaG imaiaaiYcacaaIXaGaaGilaiaaikdaaaa@4FC3@ , даются равенствами

S 0 = 1 Λ 2 λ 0 Λ ( λ 0 )( λ 0 2 A/B) + B A 2 + λ 2 k(λ)dλ Λ + (λ) Λ (λ) 1 , MathType@MTEF@5@5@+= feaahGart1ev3aaatCvAUfeBSjuyZL2yd9gzLbvyNv2Caerbov2D09 MBdbqedmvETj2BSbqeduuDJXwAKbYu51MyVXgarqqr1ngBPrgifHhD YfgasaacHOWxh9vrFfeu0dXdh9vqqj=hEeeu0xXdbba9frFj0=OqFf ea0dXdd9vspGe9FjuP0=fs0xXdbba9pGe9xq=Jbba9suk9fr=xfr=x frpeWZqaaeaabiGaaiaadaqabeaabeqacqaaaOqaamrr1ngBPrwtHr hAXaqeguuDJXwAKbstHrhAG8KBLbacfaGae8NeXp1aaSbaaSqaaiaa icdaaeqaaOGaaGypamaabmaabaWaaSaaaeaacaaIXaaabaGaeu4MdW 0aaSbaaSqaaiabg6HiLcqabaaaaOGaeyOeI0YaaSaaaeaacaaIYaGa eq4UdW2aaSbaaSqaaiaaicdaaeqaaaGcbaGafu4MdWKbauaacaaIOa Gaeq4UdW2aaSbaaSqaaiaaicdaaeqaaOGaaGykaiaaiIcacqaH7oaB daqhaaWcbaGaaGimaaqaaiaaikdaaaGccqGHsislcaWGbbGaaG4lai aadkeacaaIPaaaaiabgUcaRmaalaaabaGaamOqaaqaaiaadgeadaah aaWcbeqaaiaaikdaaaaaaOWaa8qmaeqaleaacqGHsislcqGHEisPae aacqGHRaWkcqGHEisPa0Gaey4kIipakmaalaaabaGaeq4UdW2aaWba aSqabeaacaaIYaaaaOGaam4AaiaaiIcacqaH7oaBcaaIPaGaamizai abeU7aSbqaaiabfU5amnaaCaaaleqabaGaey4kaScaaOGaaGikaiab eU7aSjaaiMcacqqHBoatdaahaaWcbeqaaiabgkHiTaaakiaaiIcacq aH7oaBcaaIPaaaaaGaayjkaiaawMcaamaaCaaaleqabaGaeyOeI0Ia aGymaaaakiaaiYcaaaa@7E93@  (40)

S 1 = A S 0 B Λ ( λ 0 )cosh(Al/ λ 0 )( λ 0 2 A/B) , MathType@MTEF@5@5@+= feaahGart1ev3aaatCvAUfeBSjuyZL2yd9gzLbvyNv2Caerbov2D09 MBdbqedmvETj2BSbqeduuDJXwAKbYu51MyVXgarqqr1ngBPrgifHhD YfgasaacHOWxh9vrFfeu0dXdh9vqqj=hEeeu0xXdbba9frFj0=OqFf ea0dXdd9vspGe9FjuP0=fs0xXdbba9pGe9xq=Jbba9suk9fr=xfr=x frpeWZqaaeaabiGaaiaadaqabeaabeqacqaaaOqaamrr1ngBPrwtHr hAXaqeguuDJXwAKbstHrhAG8KBLbacfaGae8NeXp1aaSbaaSqaaiaa igdaaeqaaOGaaGypamaalaaabaGaamyqaiab=jr8tnaaBaaaleaaca aIWaaabeaaaOqaaiaadkeacuqHBoatgaqbaiaaiIcacqaH7oaBdaWg aaWcbaGaaGimaaqabaGccaaIPaGaci4yaiaac+gacaGGZbGaaiiAai aaiIcacaWGbbGaamiBaiaai+cacqaH7oaBdaWgaaWcbaGaaGimaaqa baGccaaIPaGaaGikaiabeU7aSnaaDaaaleaacaaIWaaabaGaaGOmaa aakiabgkHiTiaadgeacaaIVaGaamOqaiaaiMcaaaGaaGilaaaa@627B@  (41)

S 2 = S 1 = A S 0 B Λ ( λ 0 )cosh(Al/ λ 0 )( λ 0 2 A/B) , MathType@MTEF@5@5@+= feaahGart1ev3aaatCvAUfeBSjuyZL2yd9gzLbvyNv2Caerbov2D09 MBdbqedmvETj2BSbqeduuDJXwAKbYu51MyVXgarqqr1ngBPrgifHhD YfgasaacHOWxh9vrFfeu0dXdh9vqqj=hEeeu0xXdbba9frFj0=OqFf ea0dXdd9vspGe9FjuP0=fs0xXdbba9pGe9xq=Jbba9suk9fr=xfr=x frpeWZqaaeaabiGaaiaadaqabeaabeqacqaaaOqaamrr1ngBPrwtHr hAXaqeguuDJXwAKbstHrhAG8KBLbacfaGae8NeXp1aaSbaaSqaaiaa ikdaaeqaaOGaaGypaiabgkHiTiab=jr8tnaaBaaaleaacaaIXaaabe aakiaai2dacqGHsisldaWcaaqaaiaadgeacqWFse=udaWgaaWcbaGa aGimaaqabaaakeaacaWGcbGafu4MdWKbauaacaaIOaGaeq4UdW2aaS baaSqaaiaaicdaaeqaaOGaaGykaiGacogacaGGVbGaai4CaiaacIga caaIOaGaamyqaiaadYgacaaIVaGaeq4UdW2aaSbaaSqaaiaaicdaae qaaOGaaGykaiaaiIcacqaH7oaBdaqhaaWcbaGaaGimaaqaaiaaikda aaGccqGHsislcaWGbbGaaG4laiaadkeacaaIPaaaaiaaiYcaaaa@67E9@  (42)

а функция S(v) MathType@MTEF@5@5@+= feaahGart1ev3aaatCvAUfeBSjuyZL2yd9gzLbvyNv2Caerbov2D09 MBdbqedmvETj2BSbqeduuDJXwAKbYu51MyVXgarqqr1ngBPrgifHhD YfgasaacHOWxh9vrFfeu0dXdh9vqqj=hEeeu0xXdbba9frFj0=OqFf ea0dXdd9vspGe9FjuP0=fs0xXdbba9pGe9xq=Jbba9suk9fr=xfr=x frpeWZqaaeaabiGaaiaadaqabeaabeqacqaaaOqaamrr1ngBPrwtHr hAXaqeguuDJXwAKbstHrhAG8KBLbacfaGae8NeXpLaaGikaiaadAha caaIPaaaaa@464A@  определяется формулой

S(v)= i S 0 v 2 Λ 0 (v) Acosh(Al/v) Λ + (v) Λ (v) , MathType@MTEF@5@5@+= feaahGart1ev3aaatCvAUfeBSjuyZL2yd9gzLbvyNv2Caerbov2D09 MBdbqedmvETj2BSbqeduuDJXwAKbYu51MyVXgarqqr1ngBPrgifHhD YfgasaacHOWxh9vrFfeu0dXdh9vqqj=hEeeu0xXdbba9frFj0=OqFf ea0dXdd9vspGe9FjuP0=fs0xXdbba9pGe9xq=Jbba9suk9fr=xfr=x frpeWZqaaeaabiGaaiaadaqabeaabeqacqaaaOqaamrr1ngBPrwtHr hAXaqeguuDJXwAKbstHrhAG8KBLbacfaGae8NeXpLaaGikaiaadAha caaIPaGaaGypamaalaaabaGaamyAaiab=jr8tnaaBaaaleaacaaIWa aabeaakiaadAhadaahaaWcbeqaaiaaikdaaaGccqqHBoatdaWgaaWc baGaaGimaaqabaGccaaIOaGaamODaiaaiMcaaeaacaWGbbGaci4yai aac+gacaGGZbGaaiiAaiaaiIcacaWGbbGaamiBaiaai+cacaWG2bGa aGykaiabfU5amnaaCaaaleqabaGaey4kaScaaOGaaGikaiaadAhaca aIPaGaeu4MdW0aaWbaaSqabeaacqGHsislaaGccaaIOaGaamODaiaa iMcaaaGaaGilaaaa@657F@  (43)

величина Λ MathType@MTEF@5@5@+= feaahGart1ev3aaatCvAUfeBSjuyZL2yd9gzLbvyNv2Caerbov2D09 MBdbqedmvETj2BSbqeduuDJXwAKbYu51MyVXgarqqr1ngBPrgifHhD YfgasaacHOWxh9vrFfeu0dXdh9vqqj=hEeeu0xXdbba9frFj0=OqFf ea0dXdd9vspGe9FjuP0=fs0xXdbba9pGe9xq=Jbba9suk9fr=xfr=x frpeWZqaaeaabiGaaiaadaqabeaabeqacqaaaOqaaiabfU5amnaaBa aaleaacqGHEisPaeqaaaaa@3B97@  дается равенством (37), функции ϰ(λ,v) MathType@MTEF@5@5@+= feaahGart1ev3aaatCvAUfeBSjuyZL2yd9gzLbvyNv2Caerbov2D09 MBdbqedmvETj2BSbqeduuDJXwAKbYu51MyVXgarqqr1ngBPrgifHhD YfgasaacHOWxh9vrFfeu0dXdh9vqqj=hEeeu0xXdbba9frFj0=OqFf ea0dXdd9vspGe9FjuP0=fs0xXdbba9pGe9xq=Jbba9suk9fr=xfr=x frpeWZqaaeaabiGaaiaadaqabeaabeqacqaaaOqaamrr1ngBPrwtHr hAXaqeguuDJXwAKbstHrhAG8KBLbacfaGae8h8dKVaaGikaiabeU7a SjaaiYcacaWG2bGaaGykaaaa@494A@  и Λ 0 (λ) MathType@MTEF@5@5@+= feaahGart1ev3aaatCvAUfeBSjuyZL2yd9gzLbvyNv2Caerbov2D09 MBdbqedmvETj2BSbqeduuDJXwAKbYu51MyVXgarqqr1ngBPrgifHhD YfgasaacHOWxh9vrFfeu0dXdh9vqqj=hEeeu0xXdbba9frFj0=OqFf ea0dXdd9vspGe9FjuP0=fs0xXdbba9pGe9xq=Jbba9suk9fr=xfr=x frpeWZqaaeaabiGaaiaadaqabeaabeqacqaaaOqaaiabfU5amnaaBa aaleaacaaIWaaabeaakiaaiIcacqaH7oaBcaaIPaaaaa@3E03@  определены соответственно формулами (35) и (36).

3. ЧИСЛЕННАЯ РЕАЛИЗАЦИЯ

3.1. Алгоритм вычисления

Для вычисления решения краевой задачи (27) MathType@MTEF@5@5@+= feaahGart1ev3aqatCvAUfeBSjuyZL2yd9gzLbvyNv2CaerbuLwBLn hiov2DGi1BTfMBaeXatLxBI9gBaerbd9wDYLwzYbItLDharqqtubsr 4rNCHbGeaGqiVu0Je9sqqrpepC0xbbL8F4rqqrFfpeea0xe9Lq=Jc9 vqaqpepm0xbba9pwe9Q8fs0=yqaqpepae9pg0FirpepeKkFr0xfr=x fr=xb9adbaqaaeGaciGaaiaabeqaamaabaabaaGcbaacbaqcLbvaqa aaaaaaaaWdbiaa=nbiaaa@3794@ (31) по формулам (38) MathType@MTEF@5@5@+= feaahGart1ev3aqatCvAUfeBSjuyZL2yd9gzLbvyNv2CaerbuLwBLn hiov2DGi1BTfMBaeXatLxBI9gBaerbd9wDYLwzYbItLDharqqtubsr 4rNCHbGeaGqiVu0Je9sqqrpepC0xbbL8F4rqqrFfpeea0xe9Lq=Jc9 vqaqpepm0xbba9pwe9Q8fs0=yqaqpepae9pg0FirpepeKkFr0xfr=x fr=xb9adbaqaaeGaciGaaiaabeqaamaabaabaaGcbaacbaqcLbvaqa aaaaaaaaWdbiaa=nbiaaa@3794@ (43) выполняются следующие действия: сначала для заданных параметров плазмы ω MathType@MTEF@5@5@+= feaahGart1ev3aaatCvAUfeBSjuyZL2yd9gzLbvyNv2Caerbov2D09 MBdbqedmvETj2BSbqeduuDJXwAKbYu51MyVXgarqqr1ngBPrgifHhD YfgasaacHOWxh9vrFfeu0dXdh9vqqj=hEeeu0xXdbba9frFj0=OqFf ea0dXdd9vspGe9FjuP0=fs0xXdbba9pGe9xq=Jbba9suk9fr=xfr=x frpeWZqaaeaabiGaaiaadaqabeaabeqacqaaaOqaaiabeM8a3baa@3A52@  и ν MathType@MTEF@5@5@+= feaahGart1ev3aaatCvAUfeBSjuyZL2yd9gzLbvyNv2Caerbov2D09 MBdbqedmvETj2BSbqeduuDJXwAKbYu51MyVXgarqqr1ngBPrgifHhD YfgasaacHOWxh9vrFfeu0dXdh9vqqj=hEeeu0xXdbba9frFj0=OqFf ea0dXdd9vspGe9FjuP0=fs0xXdbba9pGe9xq=Jbba9suk9fr=xfr=x frpeWZqaaeaabiGaaiaadaqabeaabeqacqaaaOqaaiabe27aUbaa@3A3D@  вычисляются значения констант A и B, затем находится значение корня λ 0 MathType@MTEF@5@5@+= feaahGart1ev3aaatCvAUfeBSjuyZL2yd9gzLbvyNv2Caerbov2D09 MBdbqedmvETj2BSbqeduuDJXwAKbYu51MyVXgarqqr1ngBPrgifHhD YfgasaacHOWxh9vrFfeu0dXdh9vqqj=hEeeu0xXdbba9frFj0=OqFf ea0dXdd9vspGe9FjuP0=fs0xXdbba9pGe9xq=Jbba9suk9fr=xfr=x frpeWZqaaeaabiGaaiaadaqabeaabeqacqaaaOqaaiabeU7aSnaaBa aaleaacaaIWaaabeaaaaa@3B1F@   MathType@MTEF@5@5@+= feaahGart1ev3aqatCvAUfeBSjuyZL2yd9gzLbvyNv2CaerbuLwBLn hiov2DGi1BTfMBaeXatLxBI9gBaerbd9wDYLwzYbItLDharqqtubsr 4rNCHbGeaGqiVu0Je9sqqrpepC0xbbL8F4rqqrFfpeea0xe9Lq=Jc9 vqaqpepm0xbba9pwe9Q8fs0=yqaqpepae9pg0FirpepeKkFr0xfr=x fr=xb9adbaqaaeGaciGaaiaabeqaamaabaabaaGcbaacbaqcLbvaqa aaaaaaaaWdbiaa=nbiaaa@3794@  решение уравнения Λ(λ,A,B)=0 MathType@MTEF@5@5@+= feaahGart1ev3aaatCvAUfeBSjuyZL2yd9gzLbvyNv2Caerbov2D09 MBdbqedmvETj2BSbqeduuDJXwAKbYu51MyVXgarqqr1ngBPrgifHhD YfgasaacHOWxh9vrFfeu0dXdh9vqqj=hEeeu0xXdbba9frFj0=OqFf ea0dXdd9vspGe9FjuP0=fs0xXdbba9pGe9xq=Jbba9suk9fr=xfr=x frpeWZqaaeaabiGaaiaadaqabeaabeqacqaaaOqaaiabfU5amjaaiI cacqaH7oaBcaaISaGaamyqaiaaiYcacaWGcbGaaGykaiaai2dacaaI Waaaaa@418D@ в нижней полуплоскости (Im λ0 < 0). Для решения этого уравнения применяется итерационная процедура Ньютона [18], которая заключается в использовании уравнения, связывающего значение функции и ее производной:

λ 0 (n+1) = λ 0 (n) Λ( λ 0 (n) ,A,B) Λ ( λ 0 (n) ,A,B) . MathType@MTEF@5@5@+= feaahGart1ev3aaatCvAUfeBSjuyZL2yd9gzLbvyNv2Caerbov2D09 MBdbqedmvETj2BSbqeduuDJXwAKbYu51MyVXgarqqr1ngBPrgifHhD YfgasaacHOWxh9vrFfeu0dXdh9vqqj=hEeeu0xXdbba9frFj0=OqFf ea0dXdd9vspGe9FjuP0=fs0xXdbba9pGe9xq=Jbba9suk9fr=xfr=x frpeWZqaaeaabiGaaiaadaqabeaabeqacqaaaOqaaiabeU7aSnaaDa aaleaacaaIWaaabaGaaGikaiaad6gacqGHRaWkcaaIXaGaaGykaaaa kiaai2dacqaH7oaBdaqhaaWcbaGaaGimaaqaaiaaiIcacaWGUbGaaG ykaaaakiabgkHiTmaalaaabaGaeu4MdWKaaGikaiabeU7aSnaaDaaa leaacaaIWaaabaGaaGikaiaad6gacaaIPaaaaOGaaGilaiaadgeaca aISaGaamOqaiaaiMcaaeaacuqHBoatgaqbaiaaiIcacqaH7oaBdaqh aaWcbaGaaGimaaqaaiaaiIcacaWGUbGaaGykaaaakiaaiYcacaWGbb GaaGilaiaadkeacaaIPaaaaiaai6caaaa@5C44@

Значение производной вычисляется по формуле

Λ'(λ,A,B)=2BA2λ+1Aπ13BAλ2+et2dttλ++1AπλBAλ3+et2dttλ2, Im λ0. (44)

Для вычисления интегралов в функциях Λ( λ 0 (n) ,A,B) MathType@MTEF@5@5@+= feaahGart1ev3aaatCvAUfeBSjuyZL2yd9gzLbvyNv2Caerbov2D09 MBdbqedmvETj2BSbqeduuDJXwAKbYu51MyVXgarqqr1ngBPrgifHhD YfgasaacHOWxh9vrFfeu0dXdh9vqqj=hEeeu0xXdbba9frFj0=OqFf ea0dXdd9vspGe9FjuP0=fs0xXdbba9pGe9xq=Jbba9suk9fr=xfr=x frpeWZqaaeaabiGaaiaadaqabeaabeqacqaaaOqaaiabfU5amjaaiI cacqaH7oaBdaqhaaWcbaGaaGimaaqaaiaaiIcacaWGUbGaaGykaaaa kiaaiYcacaaMe8UaamyqaiaaiYcacaaMe8UaamOqaiaaiMcaaaa@466F@  и Λ ( λ 0 (n) ,A,B) MathType@MTEF@5@5@+= feaahGart1ev3aaatCvAUfeBSjuyZL2yd9gzLbvyNv2Caerbov2D09 MBdbqedmvETj2BSbqeduuDJXwAKbYu51MyVXgarqqr1ngBPrgifHhD YfgasaacHOWxh9vrFfeu0dXdh9vqqj=hEeeu0xXdbba9frFj0=OqFf ea0dXdd9vspGe9FjuP0=fs0xXdbba9pGe9xq=Jbba9suk9fr=xfr=x frpeWZqaaeaabiGaaiaadaqabeaabeqacqaaaOqaaiqbfU5amzaafa GaaGikaiabeU7aSnaaDaaaleaacaaIWaaabaGaaGikaiaad6gacaaI PaaaaOGaaGilaiaadgeacaaISaGaamOqaiaaiMcaaaa@4361@  применяются квадратурные формулы Гаусса 10-го порядка [18].

На фиг. 1 приведены графики зависимости значений λ 0 MathType@MTEF@5@5@+= feaahGart1ev3aaatCvAUfeBSjuyZL2yd9gzLbvyNv2Caerbov2D09 MBdbqedmvETj2BSbqeduuDJXwAKbYu51MyVXgarqqr1ngBPrgifHhD YfgasaacHOWxh9vrFfeu0dXdh9vqqj=hEeeu0xXdbba9frFj0=OqFf ea0dXdd9vspGe9FjuP0=fs0xXdbba9pGe9xq=Jbba9suk9fr=xfr=x frpeWZqaaeaabiGaaiaadaqabeaabeqacqaaaOqaaiabeU7aSnaaBa aaleaacaaIWaaabeaaaaa@3B1F@  от частоты внешнего поля ω MathType@MTEF@5@5@+= feaahGart1ev3aaatCvAUfeBSjuyZL2yd9gzLbvyNv2Caerbov2D09 MBdbqedmvETj2BSbqeduuDJXwAKbYu51MyVXgarqqr1ngBPrgifHhD YfgasaacHOWxh9vrFfeu0dXdh9vqqj=hEeeu0xXdbba9frFj0=OqFf ea0dXdd9vspGe9FjuP0=fs0xXdbba9pGe9xq=Jbba9suk9fr=xfr=x frpeWZqaaeaabiGaaiaadaqabeaabeqacqaaaOqaaiabeM8a3baa@3A52@ . В 4-й четверти изображены λ 0 MathType@MTEF@5@5@+= feaahGart1ev3aaatCvAUfeBSjuyZL2yd9gzLbvyNv2Caerbov2D09 MBdbqedmvETj2BSbqeduuDJXwAKbYu51MyVXgarqqr1ngBPrgifHhD YfgasaacHOWxh9vrFfeu0dXdh9vqqj=hEeeu0xXdbba9frFj0=OqFf ea0dXdd9vspGe9FjuP0=fs0xXdbba9pGe9xq=Jbba9suk9fr=xfr=x frpeWZqaaeaabiGaaiaadaqabeaabeqacqaaaOqaaiabeU7aSnaaBa aaleaacaaIWaaabeaaaaa@3B1F@ такие, что Im λ0 < 0, во 2-й четверти λ 0 MathType@MTEF@5@5@+= feaahGart1ev3aaatCvAUfeBSjuyZL2yd9gzLbvyNv2Caerbov2D09 MBdbqedmvETj2BSbqeduuDJXwAKbYu51MyVXgarqqr1ngBPrgifHhD YfgasaacHOWxh9vrFfeu0dXdh9vqqj=hEeeu0xXdbba9frFj0=OqFf ea0dXdd9vspGe9FjuP0=fs0xXdbba9pGe9xq=Jbba9suk9fr=xfr=x frpeWZqaaeaabiGaaiaadaqabeaabeqacqaaaOqaaiabeU7aSnaaBa aaleaacaaIWaaabeaaaaa@3B1F@ такие, что Im λ0 > 0.

 

Фиг. 1. Значения корней дисперсионной функции при ν/ωр=0.001 и разных ω.

 

Отметим, что метод Ньютона применим, если начальное приближение λ 0 (1) MathType@MTEF@5@5@+= feaahGart1ev3aaatCvAUfeBSjuyZL2yd9gzLbvyNv2Caerbov2D09 MBdbqedmvETj2BSbqeduuDJXwAKbYu51MyVXgarqqr1ngBPrgifHhD YfgasaacHOWxh9vrFfeu0dXdh9vqqj=hEeeu0xXdbba9frFj0=OqFf ea0dXdd9vspGe9FjuP0=fs0xXdbba9pGe9xq=Jbba9suk9fr=xfr=x frpeWZqaaeaabiGaaiaadaqabeaabeqacqaaaOqaaiabeU7aSnaaDa aaleaacaaIWaaabaGaaGikaiaaigdacaaIPaaaaaaa@3D40@  попадает в достаточно малую окрестность предполагаемого корня, поэтому начальное приближение находится с помощью асимптотических оценок.

После нахождения значения λ 0 MathType@MTEF@5@5@+= feaahGart1ev3aaatCvAUfeBSjuyZL2yd9gzLbvyNv2Caerbov2D09 MBdbqedmvETj2BSbqeduuDJXwAKbYu51MyVXgarqqr1ngBPrgifHhD YfgasaacHOWxh9vrFfeu0dXdh9vqqj=hEeeu0xXdbba9frFj0=OqFf ea0dXdd9vspGe9FjuP0=fs0xXdbba9pGe9xq=Jbba9suk9fr=xfr=x frpeWZqaaeaabiGaaiaadaqabeaabeqacqaaaOqaaiabeU7aSnaaBa aaleaacaaIWaaabeaaaaa@3B1F@  можно вычислить значения констант S 0 MathType@MTEF@5@5@+= feaahGart1ev3aaatCvAUfeBSjuyZL2yd9gzLbvyNv2Caerbov2D09 MBdbqedmvETj2BSbqeduuDJXwAKbYu51MyVXgarqqr1ngBPrgifHhD YfgasaacHOWxh9vrFfeu0dXdh9vqqj=hEeeu0xXdbba9frFj0=OqFf ea0dXdd9vspGe9FjuP0=fs0xXdbba9pGe9xq=Jbba9suk9fr=xfr=x frpeWZqaaeaabiGaaiaadaqabeaabeqacqaaaOqaamrr1ngBPrwtHr hAXaqeguuDJXwAKbstHrhAG8KBLbacfaGae8NeXp1aaSbaaSqaaiaa icdaaeqaaaaa@44D0@ , S 1 MathType@MTEF@5@5@+= feaahGart1ev3aaatCvAUfeBSjuyZL2yd9gzLbvyNv2Caerbov2D09 MBdbqedmvETj2BSbqeduuDJXwAKbYu51MyVXgarqqr1ngBPrgifHhD YfgasaacHOWxh9vrFfeu0dXdh9vqqj=hEeeu0xXdbba9frFj0=OqFf ea0dXdd9vspGe9FjuP0=fs0xXdbba9pGe9xq=Jbba9suk9fr=xfr=x frpeWZqaaeaabiGaaiaadaqabeaabeqacqaaaOqaamrr1ngBPrwtHr hAXaqeguuDJXwAKbstHrhAG8KBLbacfaGae8NeXp1aaSbaaSqaaiaa igdaaeqaaaaa@44D1@ , S2 по формулам (40) MathType@MTEF@5@5@+= feaahGart1ev3aqatCvAUfeBSjuyZL2yd9gzLbvyNv2CaerbuLwBLn hiov2DGi1BTfMBaeXatLxBI9gBaerbd9wDYLwzYbItLDharqqtubsr 4rNCHbGeaGqiVu0Je9sqqrpepC0xbbL8F4rqqrFfpeea0xe9Lq=Jc9 vqaqpepm0xbba9pwe9Q8fs0=yqaqpepae9pg0FirpepeKkFr0xfr=x fr=xb9adbaqaaeGaciGaaiaabeqaamaabaabaaGcbaacbaqcLbvaqa aaaaaaaaWdbiaa=nbiaaa@3794@ (42) и приступить к вычислению решения задачи (27) MathType@MTEF@5@5@+= feaahGart1ev3aqatCvAUfeBSjuyZL2yd9gzLbvyNv2CaerbuLwBLn hiov2DGi1BTfMBaeXatLxBI9gBaerbd9wDYLwzYbItLDharqqtubsr 4rNCHbGeaGqiVu0Je9sqqrpepC0xbbL8F4rqqrFfpeea0xe9Lq=Jc9 vqaqpepm0xbba9pwe9Q8fs0=yqaqpepae9pg0FirpepeKkFr0xfr=x fr=xb9adbaqaaeGaciGaaiaabeqaamaabaabaaGcbaacbaqcLbvaqa aaaaaaaaWdbiaa=nbiaaa@3794@ (31).

При вычислении константы S0, как и при вычислении G(x), H(x,v), необходимо найти значения функций Λ±(λ) на вещественной оси. Эти значения вычисляются с помощью выражения для Λ0(λ), которое дается формулой (36), и формул Сохоцкого [19]:

Λ±(λ)=Λ0(λ)πiBA2λ(λ2-AB)k(λ), λ (45)

Выражение для функции Λ0(λ), как и представление для H(x,v), содержит интеграл в смысле главного значения

I(λ)=v.p.-+k(ξ)ξ-λdξ,

к вычислению которого мы переходим в следующем пункте.

3.2. Представление для сингулярного интеграла I(λ)

В случае, когда равновесное состояние описывается распределением Максвелла, ядро k(ξ) в уравнениях (38), (39) принимает вид (24):

k(ξ)=e-ξ2π.

Интеграл I(λ) в таком случае принимает вид:

I(λ)=1π+eξ2dξξλ. (46)

Вводя функцию

f(u,λ)=1π+euξ2dξξλ, (47)

убеждаемся, что она удовлетворяет дифференциальному уравнению, в котором  присутствует как параметр:

f'u(u,λ)+λ2f(u,λ)=λu,   f(0,λ)=0. (48)

Тогда, как нетрудно показать,

f(u,λ)=2λeλ2u0u2eλ2t2dt. (49)

Отсюда, учитывая, что f(1,λ)=I(λ), находим 

I(λ)=2λ01eλ2(t21)dt. (50)

Отметим, что этот интеграл может быть также выражен через функцию ошибок [20]. Для вычисления будем использовать формулу (50), к которой применяем квадратурные формулы Гаусса.

3.3. Результаты расчетов

Построены графики напряженности самосогласованного электрического поля в слое. Вместо обозначения функции G(x) на рисунках будем использовать традиционное для напряженности обозначение E(x). Как видно из формулы (39), напряженность можно представить в виде суммы

E(x)=Ea(x)+Eb(x)+Ec(x).

Величина Ea MathType@MTEF@5@5@+= feaahGart1ev3aqatCvAUfeBSjuyZL2yd9gzLbvyNv2CaerbuLwBLn hiov2DGi1BTfMBaeXatLxBI9gBaerbd9wDYLwzYbItLDharqqtubsr 4rNCHbGeaGqiVu0Je9sqqrpepC0xbbL8F4rqqrFfpeea0xe9Lq=Jc9 vqaqpepm0xbba9pwe9Q8fs0=yqaqpepae9pg0FirpepeKkFr0xfr=x fr=xb9adbaqaaeGaciGaaiaabeqaamaabaabaaGcbaacbaqcLbvaqa aaaaaaaaWdbiaa=nbiaaa@3794@  это та составляющая самосогласованного поля, которая не зависит от координаты, являясь константой. Она показывает, какая часть внешнего поля проникает в плазменный слой. Второе слагаемое Eb(x) представляет собой гиперболический косинус, значение которого резко уменьшается при удалении от границы слоя. Это можно трактовать, как экранирование плазмой внешнего поля. Третье слагаемое Ec(x) имеет сложный характер, при малых частотах его вклад составляет доли процента, с ростом частоты внешнего поля его вклад растет. Но во всех случаях величина Ec(x) уменьшается при удалении от границы слоя.

Заметим, что при частоте внешнего поля, близкой к плазменной частоте, в слое начинают наблюдаться осцилляции по координате.

На графиках представлены зависимости от координаты как отдельных мод Eb(x) и Ec(x), так и суммарно всей напряженности E(x), значения частоты внешнего поля варьируются от 0.1 до 1.5 плазменной частоты ωp [8].

На фиг. 2 MathType@MTEF@5@5@+= feaahGart1ev3aqatCvAUfeBSjuyZL2yd9gzLbvyNv2CaerbuLwBLn hiov2DGi1BTfMBaeXatLxBI9gBaerbd9wDYLwzYbItLDharqqtubsr 4rNCHbGeaGqiVu0Je9sqqrpepC0xbbL8F4rqqrFfpeea0xe9Lq=Jc9 vqaqpepm0xbba9pwe9Q8fs0=yqaqpepae9pg0FirpepeKkFr0xfr=x fr=xb9adbaqaaeGaciGaaiaabeqaamaabaabaaGcbaacbaqcLbvaqa aaaaaaaaWdbiaa=nbiaaa@3794@ 11 изображены отдельно моды Eb(x) и Ec(x) при разных значениях частоты внешнего поля. На фиг. 12 MathType@MTEF@5@5@+= feaahGart1ev3aqatCvAUfeBSjuyZL2yd9gzLbvyNv2CaerbuLwBLn hiov2DGi1BTfMBaeXatLxBI9gBaerbd9wDYLwzYbItLDharqqtubsr 4rNCHbGeaGqiVu0Je9sqqrpepC0xbbL8F4rqqrFfpeea0xe9Lq=Jc9 vqaqpepm0xbba9pwe9Q8fs0=yqaqpepae9pg0FirpepeKkFr0xfr=x fr=xb9adbaqaaeGaciGaaiaabeqaamaabaabaaGcbaacbaqcLbvaqa aaaaaaaaWdbiaa=nbiaaa@3794@ 17 изображены графики напряженности E(x), т.е. сумма всех слагаемых Ea(x) + Eb(x) + Ec(x).

 

Фиг. 2. Величина Eb(x) в зависимости от координаты x при ω = 0.1ωp, ν / ωp = 0.001, синим – вещественная часть, красным – мнимая.

 

Фиг. 3. Величина Eb(x) в зависимости от координаты x при ω = 0.9ωp, ν / ωp = 0.001, синим – вещественная часть, красным – мнимая.

 

Фиг. 4. Величина Eb(x) в зависимости от координаты x при ω = ωp, ν / ωp = 0.001, синим – вещественная часть, красным – мнимая.

 

Фиг. 5. Величина Eb(x) в зависимости от координаты x при ω = 1.1ωp, ν / ωp = 0.001, синим – вещественная часть, красным – мнимая.

 

Фиг. 6. Величина Ec(x) в зависимости от координаты x при ω = 0.1ωp, ν / ωp = 0.001, синим – вещественная часть, красным – мнимая.

 

Фиг. 7. Величина Ec(x) в зависимости от координаты x при ω = 0.9ωp, ν / ωp = 0.001, синим – вещественная часть, красным – мнимая.

 

Фиг. 8. Величина Ec(x) в зависимости от координаты x при ω = ωp, ν / ωp = 0.001, синим – вещественная часть, красным – мнимая.

 

Фиг. 9. Величина Ec(x) в зависимости от координаты x при ω = 1.1ωp, ν / ωp = 0.001, синим – вещественная часть, красным – мнимая.

 

Фиг. 10. Величина Ec(x) в зависимости от координаты x при ω = 1.3ωp, ν / ωp = 0.001, синим – вещественная часть, красным – мнимая.

 

Фиг. 11. Величина Ec(x) в зависимости от координаты x при ω = 1.5ωp, ν / ωp = 0.001, синим – вещественная часть, красным – мнимая.

 

Фиг. 12. Величина E(x) в зависимости от координаты x при ω = 0.1ωp, ν / ωp = 0.001, синим – вещественная часть, красным – мнимая.

 

Фиг. 13. Величина E(x) в зависимости от координаты x при ω = 0.9ωp, ν / ωp = 0.001, синим – вещественная часть, красным – мнимая.

 

Фиг. 14. Величина E(x) в зависимости от координаты x при ω = 1.0ωp, ν / ωp = 0.001, синим – вещественная часть, красным – мнимая.

 

Фиг. 15. Величина E(x) в зависимости от координаты x при ω = 1.1ωp, ν / ωp = 0.001, синим – вещественная часть, красным – мнимая.

 

Фиг. 16. Величина E(x) в зависимости от координаты  при ω = 1.3ωp, ν / ωp = 0.001, синим – вещественная часть, красным – мнимая.

 

Фиг. 17. Величина E(x) в зависимости от координаты x при ω = 1.5ωp, ν / ωp = 0.001, синим – вещественная часть, красным – мнимая.

 

Численное моделирование показывает, что при малых значениях частоты внешнего поля оно почти полностью экранируется и не проникает в плазму. Явно выражен приграничный слой, имеющий размер порядка дебаевского радиуса rD [1].

При увеличении частоты внешнего поля растет модуль постоянной составляющей Ea(x), увеличивается вклад слагаемого Ec(x), а также сильнее выражен эффект экранирования. При частоте внешнего поля, равной плазменной частоте ωp, возникает резонанс, который приводит к тому, что при частоте, немного превышающей плазменную, возникают осцилляции по координате.

При частоте внешнего поля, равной 1.3 и 1.5 от плазменной частоты, внешнее электрическое поле «проходит» через плазменный слой, что соответствует теоретическим данным [6].

×

Об авторах

Н. М. Гордеева

ФИЦ ИУ РАН; МГТУ им. Н.Э. Баумана

Автор, ответственный за переписку.
Email: nmgordeeva@bmstu.ru
Россия, Москва; Москва

Список литературы

  1. Морозов А.И. Введение в плазмодинамику. М.: Физматлит, 2006.
  2. Брушлинский К.В., Кондратьев И.А. Математические модели равновесия плазмы в тороидальных и цилиндрических магнитных ловушках // Препринты ИПМ им. М.В. Келдыша. 2018. № 20. 20 с.
  3. Грицык П.А., Сомов Б.В. Современные аналитические модели ускорения и распространения электронов в солнечных вспышках // Успехи физ. наук. 2023. Т. 193. № 5. С. 465–490.
  4. Bezrodnykh S. I., Gordeeva N. M. Analytical Solution of a System of Integro-differential Equations for a Plasma Model in an External Field // Russian Journal of Mathematical Physics, 2023, 30:4, p. 23–36.
  5. Bezrodnykh S.I., Gordeeva N.M. Solution of a Boundary Value Problem for a System of Integro-Differential Equations Arising in a Modal of Plasma Physics // Math. Notes. 2023. V. 114. No 5. P. 704–715.
  6. Абрикосов А.А. Введение в теорию нормальных металлов. М.: Наука, 1972. 288 с.
  7. Кейз К.М., Цвайфель П.Ф. Линейная теория переноса. М.: Мир, 1972.
  8. Ландау Л.Д. О колебаниях электронной плазмы // Собрание трудов. М.: Наука, 1969. Т. 2. С. 7–25.
  9. Латышев А.В., Юшканов А.А. Электронная плазма в полупространстве металла в переменном электрическом поле // Ж. вычисл. матем. и матем. физ. 2001. Т. 41. № 8. С. 1229 – 1241.
  10. Гордеева Н.М., Юшканов А.А. Невырожденная электронная плазма в слое во внешнем электрическом поле с зеркальным условием на границе // Теплофиз. высоких температур. 2018. Т. 56. № 5. С. 687 – 695.
  11. Компанеец А.С. Курс теоретической физики. Т. ٢. Статистические законы. М.: Просвещение, 1975. 480 с.
  12. Bhatnagar P.L., Gross E.M., Krook M. A model for collision processes in gases. I. Small amplitude processes in charged and neutral one component systems // Phys. Rev. 1954. V. 94. P. 511–525.
  13. Левич В.Г., Вдовин Ю.А., Мямлин В.А. Курс теоретической физики. Том II. М.: Наука, 1971. 936 с.
  14. Гельфанд И.М., Шилов Г.Е. Обобщенные функции, вып. 1. Обобщенные функции и действия над ними. М.: Физматлит, 1959. 470 с.
  15. Шилов Г.Е. Математический анализ. Второй специальный курс. М.: Наука. 1965. 328 с.
  16. Гахов Ф.Д. Краевые задачи. М.: Наука, 1977. 640 с.
  17. Мусхелишвили Н.И. Сингулярные интегральные уравнения. Граничные задачи теории функций и некоторые их приложения к математической физике. М.: Наука, 1968. 513 с.
  18. Бахвалов Н.С., Жидков Н.П., Кобельков Г.М. Численные методы. М.: БИНОМ. Лаборатория знаний, 2011. 636 с.
  19. Лаврентьев М.А., Шабат Б.В. Методы теории функций комплексного переменного. М.: Наука, 1973. 736 с.
  20. Абрамовиц М., Стиган И. Справочник по специальным функциям. М.: Наука, 1979.

Дополнительные файлы

Доп. файлы
Действие
1. JATS XML
2. Фиг. 1. Значения корней дисперсионной функции при ν/ωр=0.001 и разных ω.

Скачать (82KB)
3. Фиг. 2. Величина Eb(x)  в зависимости от координаты x при ω = 0.1ωp, ν / ωp = 0.001, синим – вещественная часть, красным – мнимая.

Скачать (57KB)
4. Фиг. 3. Величина Eb(x) в зависимости от координаты x при ω = 0.9ωp, ν / ωp = 0.001, синим – вещественная часть, красным – мнимая.

Скачать (60KB)
5. Фиг. 4. Величина Eb(x) в зависимости от координаты x при ω =ωp, ν / ωp = 0.001, синим – вещественная часть, красным – мнимая.

Скачать (85KB)
6. Фиг. 5. Величина Eb(x) в зависимости от координаты x при ω = 1.1ωp, ν / ωp = 0.001, синим – вещественная часть, красным – мнимая.

Скачать (208KB)
7. Фиг. 6. Величина Ec(x) в зависимости от координаты x при ω = 0.1ωp, ν / ωp = 0.001, синим – вещественная часть, красным – мнимая.

Скачать (68KB)
8. Фиг. 7. Величина Ec(x) в зависимости от координаты x при ω = 0.9ωp, ν / ωp = 0.001, синим – вещественная часть, красным – мнимая.

Скачать (71KB)
9. Фиг. 8. Величина Ec(x) в зависимости от координаты x при ω = ωp, ν / ωp = 0.001, синим – вещественная часть, красным – мнимая.

Скачать (73KB)
10. Фиг. 9. Величина Ec(x) в зависимости от координаты x при ω = 1.1ωp, ν / ωp = 0.001, синим – вещественная часть, красным – мнимая.

Скачать (186KB)
11. Фиг. 10. Величина Ec(x) в зависимости от координаты x при ω = 1.3ωp, ν / ωp = 0.001, синим – вещественная часть, красным – мнимая.

Скачать (105KB)
12. Фиг. 11. Величина Ec(x) в зависимости от координаты x при ω = 1.5ωp, ν / ωp = 0.001, синим – вещественная часть, красным – мнимая.

Скачать (77KB)
13. Фиг. 12. Величина E(x) в зависимости от координаты x при ω = 0.1ωp, ν / ωp = 0.001, синим – вещественная часть, красным – мнимая.

Скачать (63KB)
14. Фиг. 13. Величина E(x) в зависимости от координаты x при ω = 0.9ωp, ν / ωp = 0.001, синим – вещественная часть, красным – мнимая.

Скачать (71KB)
15. Фиг. 14. Величина E(x) в зависимости от координаты x при ω = 1.0ωp, ν / ωp = 0.001, синим – вещественная часть, красным – мнимая.

Скачать (78KB)
16. Фиг. 15. Величина E(x) в зависимости от координаты x при ω = 1.1ωp, ν / ωp = 0.001, синим – вещественная часть, красным – мнимая.

Скачать (165KB)
17. Фиг. 16. Величина E(x) в зависимости от координаты  при ω = 1.3ωp, ν / ωp = 0.001, синим – вещественная часть, красным – мнимая.

Скачать (88KB)
18. Фиг. 17. Величина E(x) в зависимости от координаты x при ω = 1.5ωp, ν / ωp = 0.001, синим – вещественная часть, красным – мнимая.

Скачать (84KB)

© Российская академия наук, 2024

Согласие на обработку персональных данных с помощью сервиса «Яндекс.Метрика»

1. Я (далее – «Пользователь» или «Субъект персональных данных»), осуществляя использование сайта https://journals.rcsi.science/ (далее – «Сайт»), подтверждая свою полную дееспособность даю согласие на обработку персональных данных с использованием средств автоматизации Оператору - федеральному государственному бюджетному учреждению «Российский центр научной информации» (РЦНИ), далее – «Оператор», расположенному по адресу: 119991, г. Москва, Ленинский просп., д.32А, со следующими условиями.

2. Категории обрабатываемых данных: файлы «cookies» (куки-файлы). Файлы «cookie» – это небольшой текстовый файл, который веб-сервер может хранить в браузере Пользователя. Данные файлы веб-сервер загружает на устройство Пользователя при посещении им Сайта. При каждом следующем посещении Пользователем Сайта «cookie» файлы отправляются на Сайт Оператора. Данные файлы позволяют Сайту распознавать устройство Пользователя. Содержимое такого файла может как относиться, так и не относиться к персональным данным, в зависимости от того, содержит ли такой файл персональные данные или содержит обезличенные технические данные.

3. Цель обработки персональных данных: анализ пользовательской активности с помощью сервиса «Яндекс.Метрика».

4. Категории субъектов персональных данных: все Пользователи Сайта, которые дали согласие на обработку файлов «cookie».

5. Способы обработки: сбор, запись, систематизация, накопление, хранение, уточнение (обновление, изменение), извлечение, использование, передача (доступ, предоставление), блокирование, удаление, уничтожение персональных данных.

6. Срок обработки и хранения: до получения от Субъекта персональных данных требования о прекращении обработки/отзыва согласия.

7. Способ отзыва: заявление об отзыве в письменном виде путём его направления на адрес электронной почты Оператора: info@rcsi.science или путем письменного обращения по юридическому адресу: 119991, г. Москва, Ленинский просп., д.32А

8. Субъект персональных данных вправе запретить своему оборудованию прием этих данных или ограничить прием этих данных. При отказе от получения таких данных или при ограничении приема данных некоторые функции Сайта могут работать некорректно. Субъект персональных данных обязуется сам настроить свое оборудование таким способом, чтобы оно обеспечивало адекватный его желаниям режим работы и уровень защиты данных файлов «cookie», Оператор не предоставляет технологических и правовых консультаций на темы подобного характера.

9. Порядок уничтожения персональных данных при достижении цели их обработки или при наступлении иных законных оснований определяется Оператором в соответствии с законодательством Российской Федерации.

10. Я согласен/согласна квалифицировать в качестве своей простой электронной подписи под настоящим Согласием и под Политикой обработки персональных данных выполнение мною следующего действия на сайте: https://journals.rcsi.science/ нажатие мною на интерфейсе с текстом: «Сайт использует сервис «Яндекс.Метрика» (который использует файлы «cookie») на элемент с текстом «Принять и продолжить».