Эволюция формы облака газа при импульсном лазерном испарении в вакуум: прямоe статистическоe моделирование и решение модельного уравнения
- Авторы: Морозов А.А.1,2, Титарев В.А.2
-
Учреждения:
- Институт теплофизики им. С.С. Кутателадзе СО РАН
- ФИЦ ИУ РАН
- Выпуск: Том 63, № 12 (2023)
- Страницы: 1960-1972
- Раздел: МАТЕМАТИЧЕСКАЯ ФИЗИКА
- URL: https://bakhtiniada.ru/0044-4669/article/view/233008
- DOI: https://doi.org/10.31857/S0044466923120207
- EDN: https://elibrary.ru/ZUMXKA
- ID: 233008
Цитировать
Полный текст
Аннотация
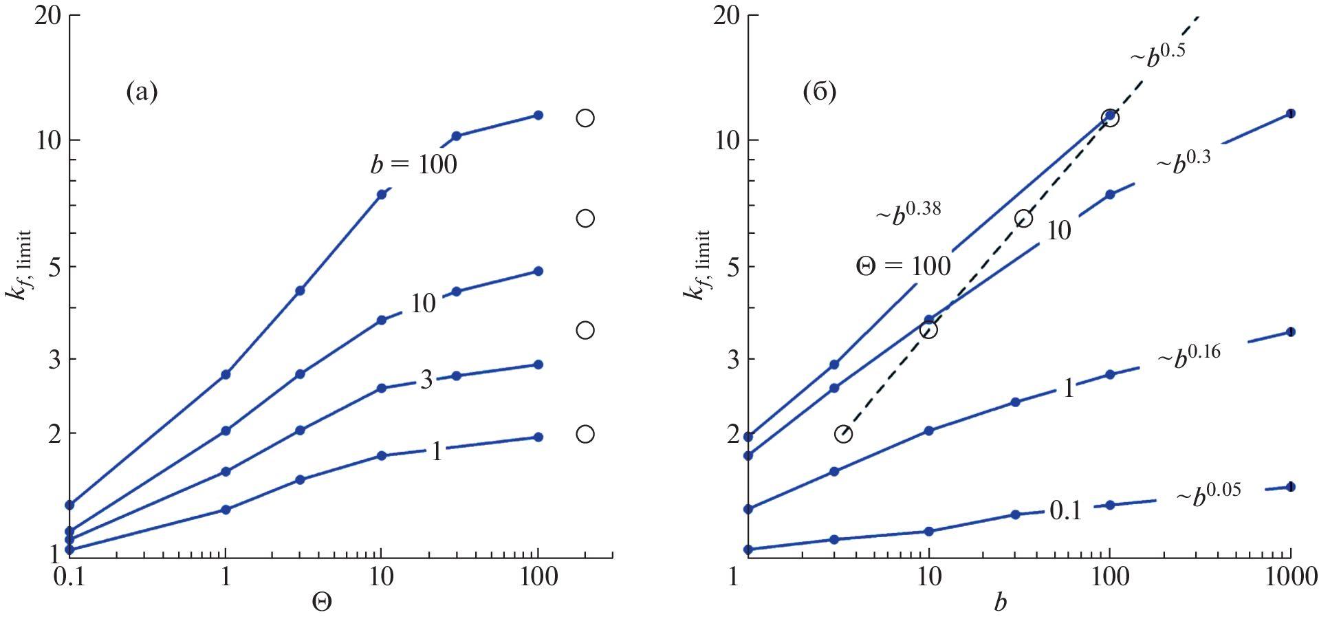
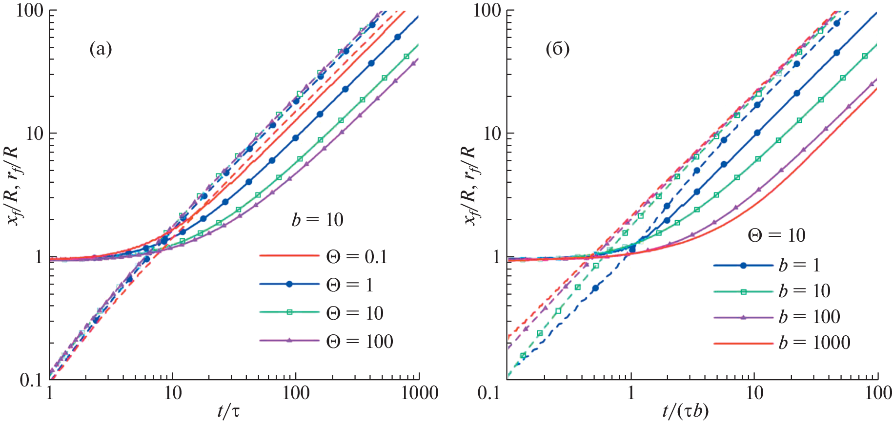
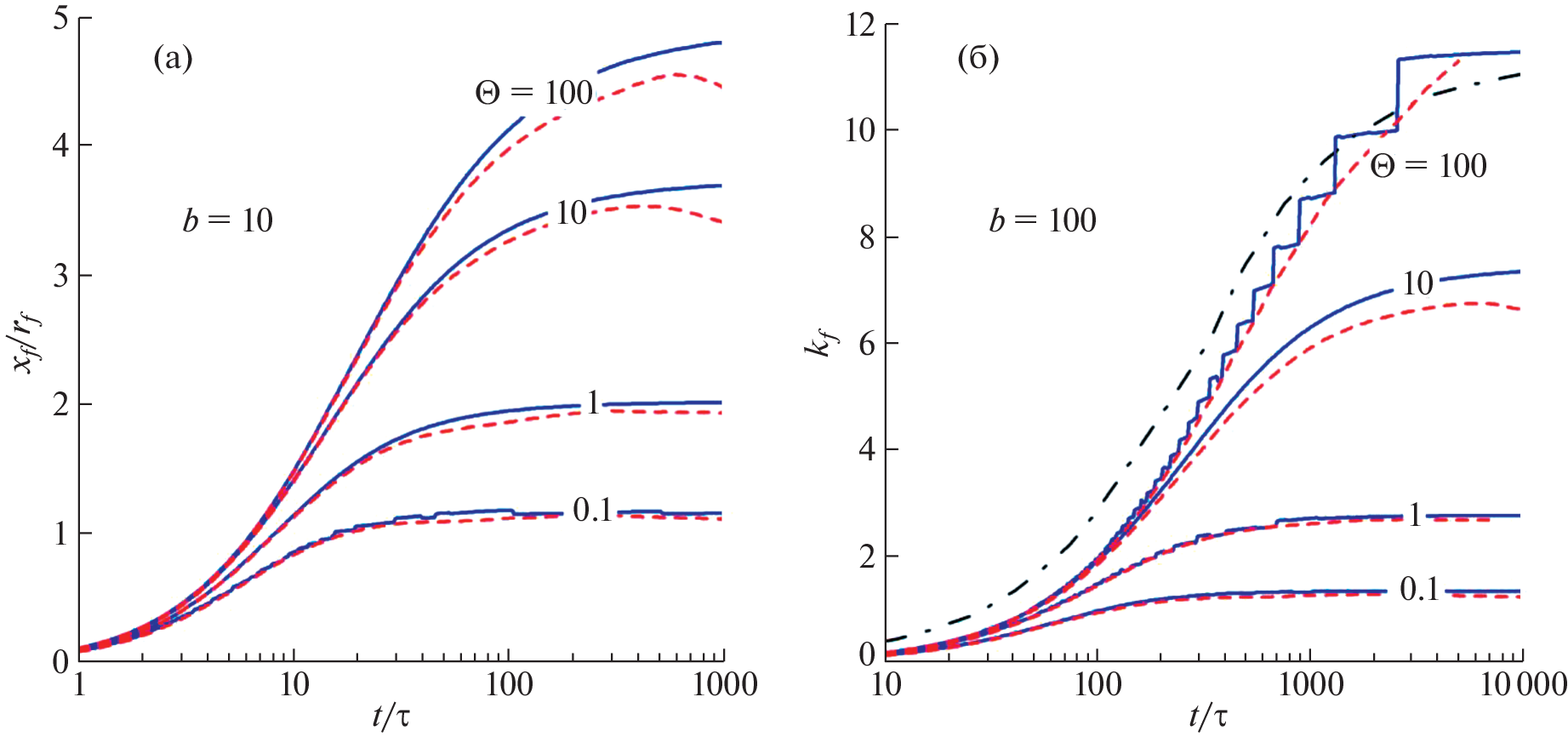
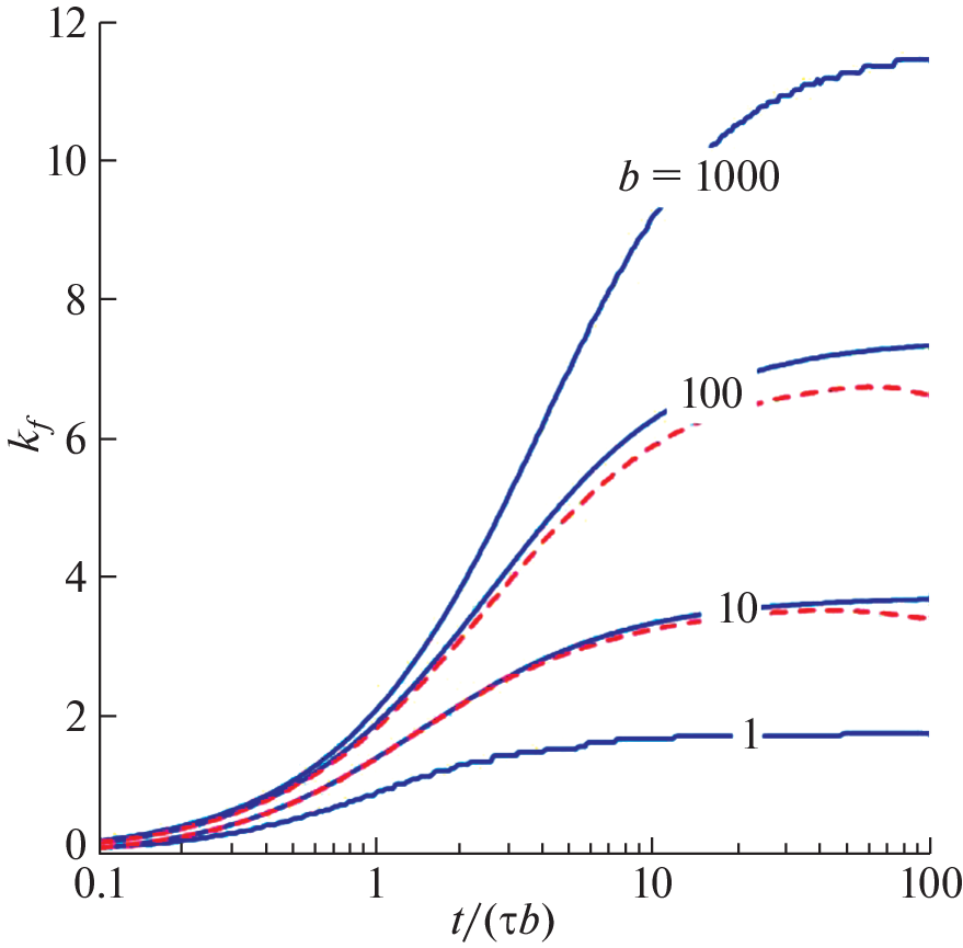
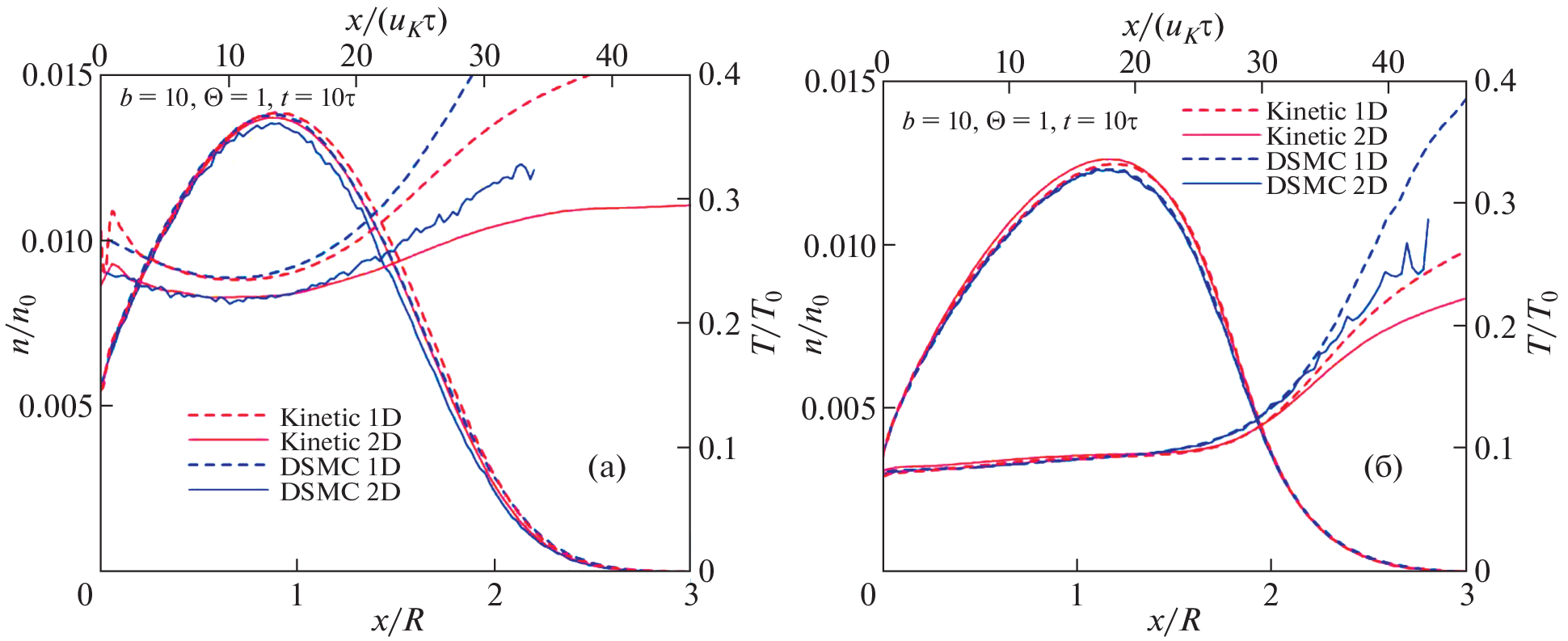
Проведено исследование динамики разлета газа при наносекундном лазерном испарении в вакуум. Задача рассматривается в осесимметричной постановке для широкого диапазона параметров: числа испаренных монослоев и размера пятна испарения. Для получения достоверного численного решения используются два разных кинетических подхода: прямое статистическое моделирование методом Монте-Карло и решение модельного кинетического уравнения БГК. Анализируется изменение формы облака испаренного вещества в процессе разлета. Показано сильное влияние степени разреженности на форму формирующегося облака. При испарении большого числа монослоев наблюдается хорошее согласие с континуальным решением. Библ. 57. Фиг. 6.
Об авторах
А. А. Морозов
Институт теплофизики им. С.С. Кутателадзе СО РАН; ФИЦ ИУ РАН
Email: morozov@itp.nsc.ru
Россия, 630090, Новосибирск, пр-т Лаврентьева, 1; Россия, 119333, Москва, ул. Вавилова, 40
В. А. Титарев
ФИЦ ИУ РАН
Автор, ответственный за переписку.
Email: vladimir.titarev@frccsc.ru
Россия, 119333, Москва, ул. Вавилова, 40
Список литературы
- Kelly R., Dreyfus R.W. Reconsidering the mechanisms of laser sputtering with Knudsen-layer formation taken into account // Nucl. Instrum. Methods Phys. Res. B. 1988. V. 32. № 1–4. P. 341–348.
- Morozov A.A. Analytical formula for interpretation of time-of-flight distributions for neutral particles under pulsed laser evaporation in vacuum // J. Phys. D: Appl. Phys. 2015. V. 48. № 19. P. 195501–195512.
- Konomi I., Motohiro T., Asaoka T. Angular distribution of atoms ejected by laser ablation of different metals // J. Appl. Phys. 2009. V. 106. P. 013107–013115.
- Bird G.A. Molecular gas dynamics and the direct simulation Monte Carlo method. Oxford: Clarendon Press, 1994.
- NoorBatcha I., Lucchese R.R., Zeiri Y. Effects of gas-phase collisions on particles rapidly desorbed from surfaces // Phys. Rev. B. 1987. V. 36. P. 4978–4981.
- Feil H., Baller T.S., Dieleman J. Effects of post-desorption collisions on the energy distribution of SiCl molecules pulsed-laser desorbed from Cl-covered Si surfaces: Monte-Carlo simulations compared to experiments // Appl. Phys. A. 1992. V. 55. P. 554–560.
- Sibold D., Urbassek H.M. Effect of gas-phase collisions in pulsed-laser desorption: a three-dimensional Monte Carlo simulation study // J. Appl. Phys. 1993. V. 73. № 12. P. 8544.
- Булгакова Н.М., Плотников М.Ю., Ребров А.К. Исследование разлета продуктов лазерного испарения методом прямого статистического моделирования // Теплофизика и аэромеханика. 1998. Т. 5. № 3. С. 421.
- Morozov A.A. Dynamics of gas cloud expansion under pulsed laser evaporation into vacuum // J. Phys. Conf. Ser. 2018. V. 1105. P. 012116.
- Itina T.E., Tokarev V.N., Marine W., Autric M. Monte Carlo simulation study of the effects of nonequilibrium chemical reactions during pulsed laser desorption // J. Chem. Phys. 1997. V. 106. P. 8905–8912.
- Petrov V.A., Ranjbar O.A., Zhilyaev P.A., Volkov A.N. Kinetic simulations of laser-induced plume expansion from a copper target into a vacuum or argon background gas based on ab initio calculation of Cu–Cu, Ar–Ar, and Ar–Cu interactions // Phys. Fluid. 2020. V. 32. P. 102010–102027.
- Konomi I., Motohiro T., Kobayashi T., Asaoka T. Considerations on the determining factors of the angular distribution of emitted particles in laser ablation // Appl. Surf. Sci. 2010. V. 256. P. 4959–4965.
- Urbassek H.M., Sibold D. Gas-phase segregation effects in pulsed laser desorption from binary targets // Phys. Rev. Lett. 1993. V. 70. P. 1886–1889.
- Morozov A.A., Mironova M.L. Numerical analysis of time-of-flight distributions of neutral particles for pulsed laser ablation of binary substances into vacuum // Appl. Phys. A. 2017. V. 123. № 12. P. 783, 1–9.
- Morozov A.A., Starinskiy S.V., Bulgakov A.V. Pulsed laser ablation of binary compounds: effect of time delay in component evaporation on ablation plume expansion // J. Phys. D: Appl. Phys. 2021. V. 54. № 17. P. 175203.
- Itina T.E., Patrone L., Marine W., Autric M. Numerical analysis of TOF measurements in pulsed laser ablation // Appl. Phys. A. 1999. V. 69. P. S59–S65.
- Garrelie F., Aubreton J., Catherinot A. Monte Carlo simulation of laser-induced plasma plume expansion under vacuum: comparison with experiments // J. Appl. Phys. 1998. V. 83. № 10. P. 5075–5082.
- Morozov A.A. Interpretation of time-of-flight distributions for neutral particles under pulsed laser evaporation using direct Monte Carlo simulation // J. Chem. Phys. 2013. V. 139. P. 234706–234714.
- Bykov N.Y., Bulgakova N.M., Bulgakov A.V., Loukianov G.A. Pulsed laser ablation of metals in vacuum: DSMC study versus experiment // Appl. Phys. A. 2004. V. 79. P 1097–1100.
- Morozov A.A. Analysis of time-of-flight distributions under pulsed laser ablation in vacuum based on the DSMC calculations // Appl. Phys. A. 2013. V. 111. P. 1107–1111.
- Morozov A.A., Evtushenko A.B., Bulgakov A.V. Gas-dynamic acceleration of laser-ablation plumes: Hyperthermal particle energies under thermal vaporization // Appl. Phys. Lett. 2015. V. 106. P. 054107–054122.
- Morozov A., Titarev V. Planar gas expansion under intensive nanosecond laser evaporation into vacuum as applied to time-of-flight analysis // Entropy. 2022. V. 24. P. 1738.
- Ellegaard O., Schou J., Urbassek H.M. Monte–Carlo description of gas flow from laser-evaporated silver // A-ppl. Phys. A. 1999. V. 69. P. S577–S581.
- Morozov A.A. Effect of temporal evolution of the evaporation surface temperature on the plume expansion under pulsed laser ablation // J. Phys. Conf. Ser. 2020. V. 1677. P. 012143–012150.
- Morozov A.A. Effect of evaporation-flux nonuniformity along the irradiation-spot radius on the plume expansion dynamics during pulsed laser ablation in vacuum // Thermophysics and Aeromechanics. 2022. V. 29. P. 437–448.
- Kelly R. Gas dynamics of the pulsed emission of a perfect gas with applications to laser sputtering and to nozzle expansion. // Phys. Rev. A. 1992. V. 46. № 2. P. 860–874.
- Sibold D., Urbassek H.M. Gas-dynamic study of pulsed desorption flows into a vacuum // Phys. Fluids A. 1992. V. 4. P. 165.
- Kelly R., Miotello A. Pulsed-laser sputtering of atoms and molecules. Part I: Basic solutions for gas-dynamic effects // Appl. Phys. B. 1993. V. 57. P. 145–158.
- Miotello A., Moro C. Numerical solution of gas-dynamic equations with boundary conditions for reflection and recondensation // Phys. Lett. A. 1995. V. 199. P. 333–338.
- Singh R.K., Narayan J. Pulsed-laser evaporation technique for deposition of thin films: physics and theoretical model // Phys. Rev. B. 1990. V. 41. № 13. P. 8843–8859.
- Anisimov S.I., Bäuerle D., Luk’yanchuk B.S. Gas dynamics and film profiles in pulsed-laser deposition of materials // Phys. Rev. B. 1993. V. 48. P. 12076–12081.
- Morozov A.A., Frolova A.A., Titarev V.A. On different kinetic approaches for computing planar gas expansion under pulsed evaporation into vacuum // Phys. Fluid. 2020. V. 32. № 11. P. 112005.
- Bhatnagar P.L., Gross E.P., Krook M. A model for collision processes in gases. I. Small amplitude processes in charged and neutral one-component systems // Phys. Rev. 1954. V. 94. № 511. P. 1144–1161.
- Shakhov E.M. Solution of axisymmetric problems of the theory of rarefied gases by the finite-difference method // USSR Comput. Math. and Math. Phys. 1974. V. 14. № 4. P. 147–157.
- Larina I.N., Rykov V.A. A numerical method for calculating axisymmetric rarefied gas flows // Comput. Math. and Math. Phys. 1998. V. 38. № 8. P. 1335–1346.
- Titarev V.A., Morozov A.A. Arbitrary Lagrangian-Eulerian discrete velocity method with application to laser-induced plume expansion // Appl. Math. and Comput. 2022. V. 429. P. 127241.
- Titarev V.A. Implicit numerical method for computing three-dimensional rarefied gas flows using unstructured meshes // Comput. Math. and Math. Phys. 2010. V. 50. № 10. P. 1719–1733.
- Titarev V.A. Application of model kinetic equations to hypersonic rarefied gas flows // Comput. and Fluid. 2018. V. 169. P. 62–70.
- Titarev V.A. Application of the Nesvetay code for solving three-dimensional high-altitude aerodynamics problems // Comput. Math. and Math. Phys. 2020. V. 60. P. 737–748.
- Hirsh C. Numerical computation of internal and external flows. 2nd Ed. Publ.: John Wiley & Sons, 2007.
- Gaburro E., Dumbser M., Castro M.J. Direct Arbitrary-Lagrangian-Eulerian finite volume schemes on moving nonconforming unstructured meshes // Comput. and Fluid. 2017. V. 159. P. 254–275.
- Boscheri W., Dimarco G. High order central WENO-implicit-explicit Runge Kutta schemes for the BGK model on general polygonal meshes // J. Comput. Phys. 2020. V. 422. P. 109766.
- Gusarov A.V., Smurov I. Influence of atomic collisions in vapour phase on pulsed laser ablation // Appl. Surf. Sci. 2000. V. 168. P. 96–99.
- Titarev V.A., Shakhov E.M. Heat transfer and evaporation from a plane surface into a half-space upon a sudden increase in body temperature // Fluid Dynamics. 2002. V. 37. № 1. P. 126–137.
- Колган В.П. Применение принципа минимальных значений производной к построению конечно-разностных схем для расчета разрывных течений газовой динамики // Уч. зап. ЦАГИ. 1972. Т. 3. № 6. С. 68–77.
- Kolgan V.P. Application of the principle of minimizing the derivative to the construction of finite-difference schemes for computing discontinuous solutions of gas dynamics // J. Comput. Phys. 2011. V. 230. № 7. P. 2384–2390.
- van Leer B. Towards the ultimate conservative difference scheme I: the quest for monotonicity // Lect. Not. Phys. 1973. V. 18. P. 163–168.
- Mieussens L. Discrete-velocity models and numerical schemes for the Boltzmann-BGK equation in plane and axisymmetric geometries // J. Comput. Phys. 2000. V. 162. № 2. P. 429–466.
- Gusarov A.V., Smurov I. Gas-dynamic boundary conditions of evaporation and condensation: numerical analysis of the Knudsen layer // Phys. Fluid. 2002. V. 14. № 12. P. 4242–4255.
- Shu C.-W. Total-Variation-Diminishing time discretizations // SIAM J. Sci. and Statistic. Comput. 1988. V. 9. P. 1073–1084.
- Титарев В.А. Программный комплекс Несветай-3Д моделирования пространственных течений одноатомного разреженного газа // Наука и образование. МГТУ им. Н.Э. Баумана. Элект. журн. 2014. № 6. С. 124–154.
- Titarev V.A., Utyuzhnikov S.V., Chikitkin A.V. OpenMP + MPI parallel implementation of a numerical method for solving a kinetic equation // Comput. Math. and Math. Phys. 2016. V. 56. № 11. P. 1919–1928.
- Gorobets A.V., Duben A.P. Technology for supercomputer simulation of turbulent flows in the good new days of exascale computing // Supercomput. Frontiers and Innovat. 2021. V. 8. № 4. P. 4–10.
- Alvarez-Farre X., Gorobets A., Trias F.X. A hierarchical parallel implementation for heterogeneous computing. Application to algebra-based CFD simulations on hybrid supercomputers // Comput. and Fluid. 2021. V. 214. P. 104768.
- Ansys ICEM CFD, version 2021 R2. Ansys ICEM CFD Help Manual. 772 c.
- Bird G.A. Sophisticated versus simple DSMC // Rarefied Gas Dynamics. Proc. 25th Intern. Symp., Ed. by M.S. Ivanov and A.K. Rebrov. Novosibirsk, 2007. P. 349.
- Titov E.V., Levin D.A. Extension of the DSMC method to high pressure flows // Inter. J. Comput. Fluid Dyn. 2007. V. 21. P. 351.
Дополнительные файлы









