Constructing Estimates of Reachability Sets in Crowd Flows Modeling
- Authors: Zaitseva M.V.1, Tochilin P.A.1
-
Affiliations:
- Faculty of Computational Mathematics and Cybernetics, Lomonosov Moscow State University
- Issue: Vol 63, No 8 (2023)
- Pages: 1381-1394
- Section: Computer science
- URL: https://bakhtiniada.ru/0044-4669/article/view/136217
- DOI: https://doi.org/10.31857/S0044466923070190
- EDN: https://elibrary.ru/ZXXNGL
- ID: 136217
Cite item
Full Text
Abstract
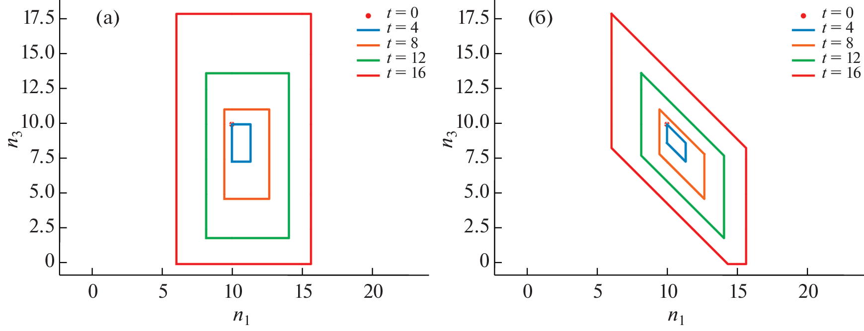
Mathematical modeling of crowd flows in a building is studied. The study is based on a modification of the discrete CTM macromodel built on guaranteed estimates. Two methods for an approximate calculation of the reachability set—the number of people in each room at the next point in time—are proposed. Interval estimates and estimates in the form of sets of two-dimensional projections are constructed. The proposed algorithms are illustrated by numerical examples.
About the authors
M. V. Zaitseva
Faculty of Computational Mathematics and Cybernetics, Lomonosov Moscow State University
Email: zaimarko@gmail.com
119991, Moscow, Russia
P. A. Tochilin
Faculty of Computational Mathematics and Cybernetics, Lomonosov Moscow State University
Author for correspondence.
Email: tochilin@cs.msu.ru
119991, Moscow, Russia
References
- Daganzo C.F. The cell transmission model: a dynamic representation of highway traffic consistent with the hydrodynamic theory // Transp. Res. B. 1994. V. 28B. № 4. P. 269–287.
- Daganzo C.F. The cell transmission model, part II: network traffic // Transp. Res. B. 1995. V. 29B. № 2. P. 79–93.
- Piccoli B., Garavello M. Traffic flow on networks. American institute of mathematical sciences. Springfield, 2006.
- Зайцева М.В., Точилин П.А. Управление потоками людей в здании во время эвакуации // Вестник Московского ун-та. Сер. 15. Вычисл. матем. и кибернетика. 2020. № 4. С. 3–17.
- Hänseler F.S., Bierlaire M., Farooq B., Mühlematter T. A macroscopic loading model for time-varying pedestrian flows in public walking areas // Transp. Res. B. 2014. V. 69. P. 60–80.
- Kachroo P., Al-nasur S.J., Wadoo S.A., Shende A. Pedestrian dynamics. Feedback control of crowd evacuation. Springer, 2008.
- Акопов А.С., Бекларян Л.А. Агентная модель поведения толпы при чрезвычайных ситуациях // Автомат. и телемех. 2015. Вып. 10. С. 131–143.
- Samson B.P.V., Aldanese IV C.R., Chan D.M.C., San Pascual J.J.S., Sido M.V.A.P. Crowd dynamics and control in high-volume metro rail stations // Proced. Comput. Sci. 2007. V. 108. P. 195–204.
- Helbing D., Farcas I., Vicsek T. Simulating dynamical features of escape panic // Nature. 2000. V. 407. P. 487–490.
- Tampere C.M.J., Corthout R., Catrysse D., Immers L.H. A generic class of first order node models for dynamic macroscopic simulation of traffic flows // Trans. Rep. B. 2011. № 45. P. 289–309.
- Kurzhanski A.B., Varaiya P. Dynamics and control of trajectory tubes. Birkhäuser, 2014.
- Корнушенко Е.К. Интервальные покоординатные оценки для множества достижимых состояний линейной стационарной системы // Автомат. и телемех. 1980. Вып. 5. С. 12–22.
- Tang W., Wang Z., Wang Y., Raissi T., Shen Y. Interval estimation methods for discrete-time linear time-invariant systems // IEEE Trans. Automat. Control. 2019. V. 64. № 11. P. 4717–4724.
- Куржанский А.Б., Куржанский А.А., Варайя П. Роль макромоделирования в активном управлении транспортной сетью // Тр. МФТИ. 2010. Т. 2. № 4. С. 100–118.
Supplementary files





