Оценка погрешности и оптимизация метода прямого статистического моделирования с учетом пространственной регуляризации
- Авторы: Плотников М.Ю.1, Шкарупа Е.В.2
-
Учреждения:
- Ин-т теплофизики СО РАН
- Ин-т вычисл. матем. и матем. геофиз. СО РАН
- Выпуск: Том 63, № 8 (2023)
- Страницы: 1367-1379
- Раздел: МАТЕМАТИЧЕСКАЯ ФИЗИКА
- URL: https://bakhtiniada.ru/0044-4669/article/view/136213
- DOI: https://doi.org/10.31857/S0044466923070128
- EDN: https://elibrary.ru/ZXWLAB
- ID: 136213
Цитировать
Полный текст
Аннотация
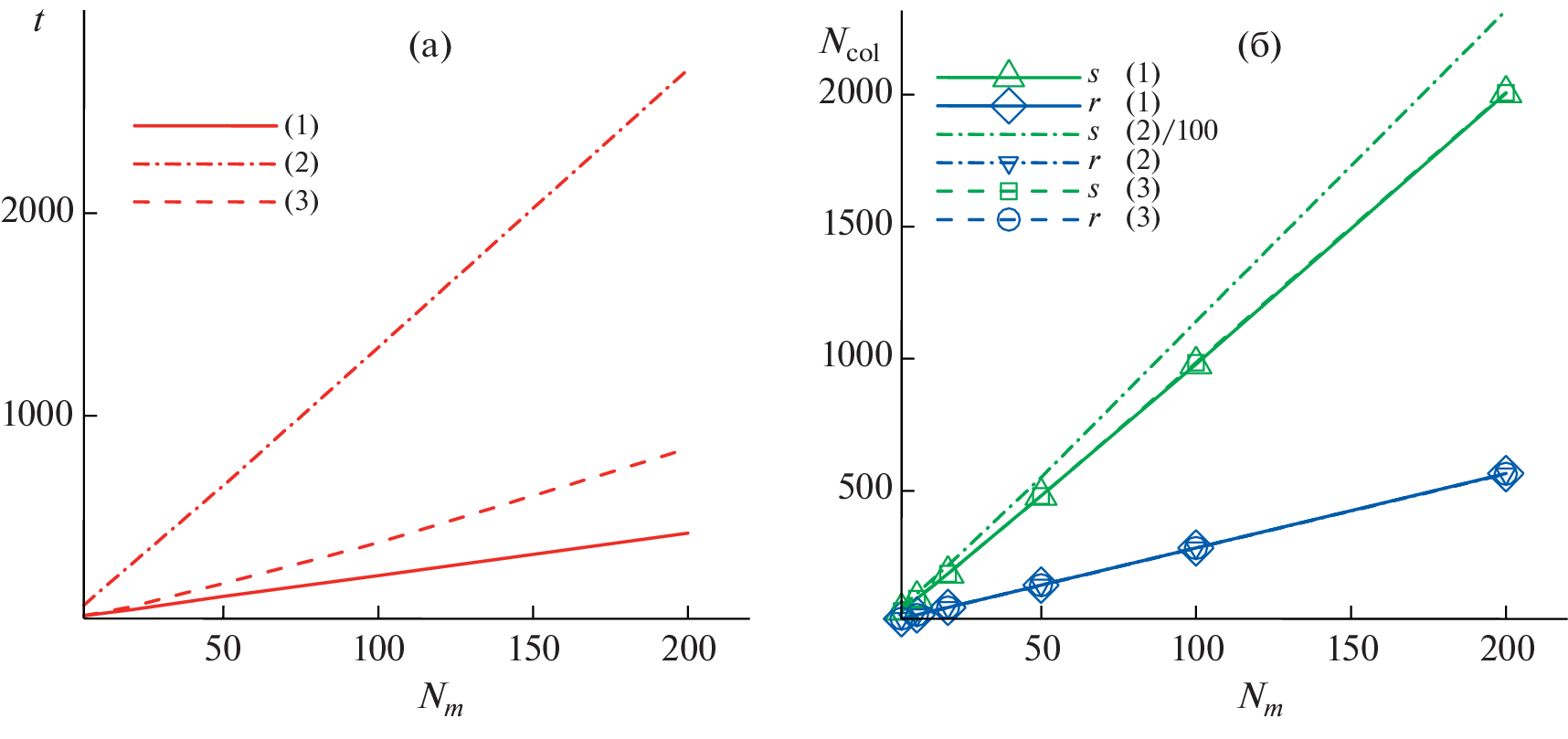
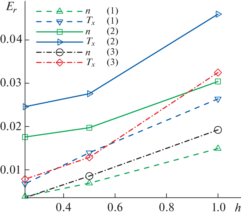
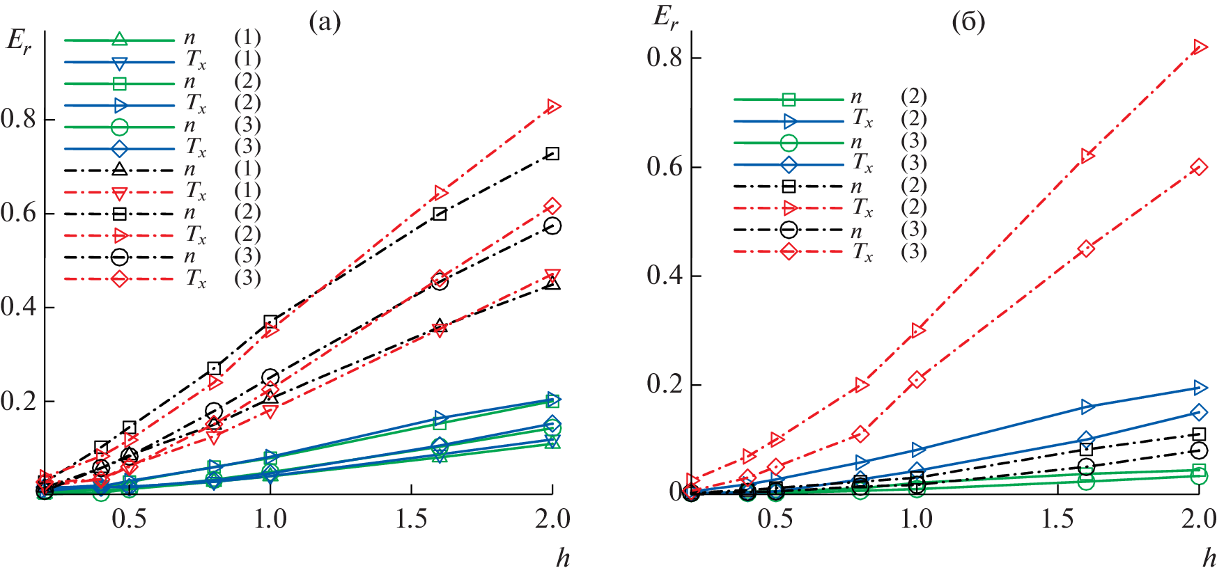
Метод прямого статистического моделирования широко применяется для решения задач динамики разреженного газа. Представленная работа направлена на исследование погрешности, вносимой пространственной регуляризацией взаимодействия двух частиц. Рассматриваются два подхода к пространственной регуляризации и три алгоритма метода прямого статистического моделирования, реализующих эти подходы. Для этих алгоритмов построена верхняя граница погрешности в метрике пространства непрерывных функций и получены условно-оптимальные параметры, гарантирующие по вероятности заданный уровень погрешности. На примере классической задачи Фурье проведено численное исследование погрешности, вносимой регуляризацией, и тестирование построенных условно-оптимальных параметров. Библ. 28. Фиг. 4. Табл. 4.
Ключевые слова
Об авторах
М. Ю. Плотников
Ин-т теплофизики СО РАН
Email: plotnikov@itp.nsc.ru
Россия, 630090, Новосибирск, пр-т Лаврентьева, 1
Е. В. Шкарупа
Ин-т вычисл. матем. и матем. геофиз. СО РАН
Автор, ответственный за переписку.
Email: sev@osmf.sscc.ru
Россия, 630090, Новосибирск, пр-т Лаврентьева, 6
Список литературы
- Bird G.A. Perception of numerical methods in rarefied gas dynamics // in: Proc. of 16-th Intern. Symp. on Rarefied Gas Dynamics, Eds. by E.P. Muntz, D.P. Weaver, D.H. Campbell, V. 118. (Progress in Astro. and Aero., 1989), P. 211.
- Ivanov M.S., Rogasinsky S.V. Analysis of the numerical techniques of the direct simulation Monte Carlo method in the rarefied gas dynamics // Soviet J. Numer. Anal. Math. Modelling. 1988. V. 3. № 6. P. 453.
- Черемисин Ф.Г. Решение кинетического уравнения Больцмана для высокоскоростных течений // Ж. вычисл. матем. и матем. физ. 2006. Т. 46. № 2. С. 329.
- Титарев В.А., Шахов Е.М. Гибридный метод расчета струи разреженного газа при истечении через очень длинный канал в вакуум // Ж. вычисл. матем. и матем. физ. 2020. Т. 60. № 11. С. 1998.
- Titarev V.A., Frolova A.A., Rykov V.A., Vashchenkov P.V., Shevyrin A.A., Bondar Ye.A. Comparison of the Shakhov kinetic equation and DSMC method as applied to space vehicle aerothermodynamics // J. Comput. Appl. Math. 2020. V. 364. 112354.
- Shi Yangyang, Wu Lei and Shan Xiaowen. Accuracy of high-order lattice Boltzmann method for non-equilibrium gas flow // J. Fluid Mech. 2021. V. 907, A25.
- Bird G.A. Molecular gas dynamics and the direct simulation of gas flows. Oxford: Clarendon Press, 1994.
- Иванов М.С., Рогазинский С.В. Метод прямого статистического моделирования в динамике разреженного газа. Новосибирск: ВЦ СО РАН, 1988.
- Wagner W. A convergence proof for Bird’s direct simulation Monte Carlo method for the Boltzmann equation // J. Stat. Phys. 1992. V. 66. P. 101.
- Rogasinsky S.V. On the pair correlations of particle evolution in the direct statistical simulation // Monte Carlo methods and applications. 1996. V. 2. № l. P. 25.
- Alexander F.J., Garcia A.L., Alder B.J. Cell size dependence of transport coefficients in stochastic particle algorithms // Phys. Fluids. 1998. V. 10. № 6. P. 1540. https://doi.org/10.1063/1.869674
- Garcia A.L., Wagner W. Time step truncation error in direct simulation Monte Carlo // Phys. Fluids. 2000. V. 12. P. 2621.
- Hadjiconstantinou N.G. Analysis of discretization in the direct simulation Monte Carlo // Phys. Fluids. 2000. V. 12. P. 2634.
- Bobylev A.V., Ohwada T. The error of the splitting scheme for solving evolutionary equations // Appl. Math. Lett. 2001. V. 14. P. 45.
- Gallis M.A., Torczynski J., Rader D., and Bird G.A. Convergence behavior of a new DSMC algorithm // J. Comput. Phys. 2009. V. 228. P. 4532.
- Rogasinsky S.V., Levin D.A., Ivanov M.S. Statistical errors of DSMC results for rarefied gas flow // In: Proc. of 25-th Intern. Symp. on Rarefied Gas Dynamics, Eds. by A.K. Rebrov, M.S. Ivanov, (Publish House of the Siberian Branch of Russian Academy of Sciences, Novosibirsk; 2007), P. 391.
- Plotnikov M.Yu., Shkarupa E.V. Theoretical and numerical analysis of approaches to evaluation of statistical error of the DSMC method // Comput. Fluids. 2014. V. 105. P. 251.
- Плотников М.Ю., Шкарупа Е.В. Комбинированный подход к оцениванию статистической погрешности метода прямого статистического моделирования // Ж. вычисл. матем. и матем. физ. 2015. Т. 55. № 11. С. 138.
- Khisamutdinov A., Velker N. Algorithms and numerical implementation of imitation Monte Carlo methods with splitting for problems of the Boltzmann equation // Journal of Computational and Theoretical Transport. 2016. V. 45. № 3. P.230.
- Rogasinsky Sergey V. Two variants of Monte Carlo projection method for numerical solution of nonlinear Boltzmann equation // Russ. J. Numer. Anal. Math. Modelling. 2019. V. 34. № 3. P. 143.
- Myong R.S., Karchani A., Ejtehadi O. A review and perspective on a convergence analysis of the direct simulation Monte Carlo and solution verification // Phys. Fluids. 2019. V. 31. 066101.
- Stefanov Stefan, Roohi Ehsan, and Shoja-Sani Ahmad. A novel transient-adaptive subcell algorithm with a hybrid application of different collision techniques in direct simulation Monte Carlo (DSMC) // Phys. Fluids. 2022. V. 34. 092003.
- Plotnikov M.Yu., Shkarupa E.V. Selection of sampling numerical parameters for the DSMC method // Comput. Fluids. 2012. V. 58. P. 102.
- Rogasinsky S.V. Statistical modelling of the solution of the nonlinear Boltzmann equation in the spatially inhomogeneous case // Russ. J. Numer. Analys. Math. Modelling. 2009. V. 24. № 5. P. 495.
- Хисамутдинов А.И. Влияние области взаимодействий пар частиц на результаты статистического моделирования течений разреженных газов. Препринт ИНГГ СО РАН, Новосибирск. 2021. С. 1–9.
- Иванов М.С., Рогазинский С.В. Экономичные схемы прямого статистического моделирования течений разреженного газа // Матем. моделирование. 1988. Т. 1. № 7. С.130.
- Shkarupa E.V., Voytishek A.V. Optimization of discretely stochastic procedures for globally estimating the solution of an integral equation of the second kind // Russ. J. Numer. Anal. Math. Modelling. 1997. V.12. № 6. P. 525.
- Плотников М.Ю., Шкарупа Е.В. Оценка статистической погрешности метода прямого статистического моделирования // Ж. вычисл. матем. и матем. физ. 2010. Т. 50. № 2. С. 1.
Дополнительные файлы







