Численное исследование неустойчивости границы раздела сред при термоядерном горении цилиндрической оболочечной микромишени
- Авторы: Хищенко К.В.1, Чарахчьян А.А.2
-
Учреждения:
- ОИВТ РАН
- ФИЦ ИУ РАН
- Выпуск: Том 63, № 4 (2023)
- Страницы: 678-693
- Раздел: МАТЕМАТИЧЕСКАЯ ФИЗИКА
- URL: https://bakhtiniada.ru/0044-4669/article/view/136171
- DOI: https://doi.org/10.31857/S0044466923040099
- EDN: https://elibrary.ru/IPFYTI
- ID: 136171
Цитировать
Полный текст
Аннотация
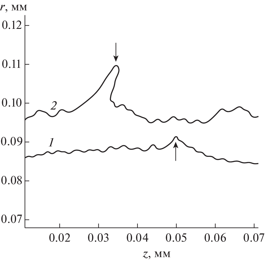
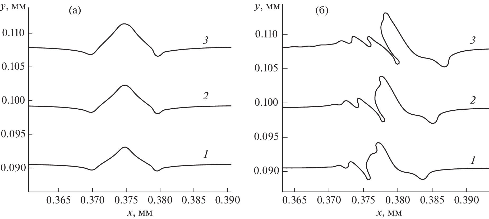
Исследование ограничено двумерными возмущениями границы раздела сред. Использовалась вычислительная технология, основанная на явном выделении границы раздела в виде одной из линий регулярной сетки. Предложен способ визуализации спонтанных возмущений на ранней стадии, когда их еще нельзя увидеть на профиле границы раздела. Показано, что ошибка округления компьютера играет незначительную роль в их формировании. Для поздней стадии развития возмущений предложен способ получения профиля локальной амплитуды колебаний вдоль границы раздела. Изучены особенности спонтанного возмущения на разных стадиях его развития. Показано, что спонтанное возмущение имеет тенденцию к сеточной сходимости по крайней мере до начала процесса формирования квазистационарной безударной волны горения. Показано, что при формировании квазистационарной волны и ее последующем движении возникает дополнительное спонтанное возмущение. Изучено взаимодействие с квазистационарной волной горения задаваемого синусоидального возмущения c начальной амплитудой до 0.1 от длины волны. Показано, что неустойчивость Кельвина–Гельмгольца является основным механизмом развития неустойчивости на нелинейной стадии. Волна горения не разрушается. Получены профили амплитуды колебаний задаваемого возмущения, из которых можно выделить универсальную часть, не зависящую от времени. Библ. 41. Фиг. 12.
Об авторах
К. В. Хищенко
ОИВТ РАН
Email: konst@ihed.ras.ru
Россия, 125412, Москва, ул. Ижорская, 13, стр. 2
А. А. Чарахчьян
ФИЦ ИУ РАН
Автор, ответственный за переписку.
Email: chara@ccas.ru
Россия, 119333, Москва, ул. Вавилова, 40
Список литературы
- Лебо И.Г., Тишкин В.Ф. Исследование гидродинамической неустойчивости в задачах лазерного термоядерного синтеза методами математического моделирования. М.: Физматлит, 2006.
- Змитренко Н.В., Кучугов П.А., Ладонкина М.Е., Тишкин В.Ф. Моделирование развития неустойчивости Кельвина–Гельмгольца в задачах физики высоких плотностей энергии // Научная визуализация. 2020. Т . 12. № 1. С. 103–111. https://doi.org/10.26583/sv.12.1.09
- Бельков С.А., Бондаренко С.В., Вергунова Г.А. и др. Влияние пространственной неоднородности нагрева на сжатие и горение термоядерной мишени при прямом многопучковом облучении лазерным импульсом мегаджоульного уровня // ЖЭТФ. 2017. Т. 151. № 2. С. 396–408. https://doi.org/10.7868/S0044451017020183
- Гуськов С.Ю., Демченко Н.Н., Змитренко Н.В. и др. Сжатие и горение термоядерной мишени при зажигании фокусирующейся ударной волной в условиях нарушения симметрии облучения лазерными пучками // ЖЭТФ. 2020. Т. 157. № 5. С. 889–900. https://doi.org/10.31857/S0044451020050120
- Долголева Г.В., Лебо И.Г. К вопросу о разработке нейтронного источника для ядерно-термоядерного реактора с лазерным возбуждением // Квантовая электроника. 2019. Т. 49. № 8. С. 796–800.
- Долголева Г.В., Лебо А.И., Лебо И.Г. Моделирование сжатия термоядерных мишеней на уровне энергии лазера порядка 1 МДж // Матем. моделирование. 2016. Т. 28. № 1. С. 23–32.
- Тишкин В.Ф., Гасилов В.А., Змитренко Н.В. и др. Современные методы математического моделирования развития гидродинамических неустойчивостей и турбулентного перемешивания // Матем. моделирование. 2020. Т. 32. № 8. С. 57–90. https://doi.org/10.20948/mm-2020-08-05
- Аврорин Е.Н., Бунатян А.А., Гаджиев А.Д. и др. Численные расчеты термоядерной детонации в плотной плазме // Физика плазмы. 1984. Т. 10. Вып. 3. С. 514–521.
- Basko M.M., Churazov M.D., Aksenov A.G. Prospects of heavy ion fusion in cylindrical geometry // Laser and Particle Beams. 2002. V. 20. P. 411–414. https://doi.org/10.1017/S0263034602203080
- Vatulin V.V., Vinokurov O. A. Fast ignition of the DT fuel in the cylindrical channel by heavy ion beams // Laser and Particle Beams. 2002. V. 20. P. 415–418. https://doi.org/10.1017/S0263034602203092
- Ramis R., Meyer-ter-Vehn J. On thermonuclear burn propagation in a pre-compressed cylindrical DT target ignited by a heavy ion beam pulse // Laser and Particle Beams. 2014. V. 32. P. 41–47. https://doi.org/10.1017/S0263034613000839
- Basov N.G., Gus’kov S.Yu., Feoktistov L.P. Thermonuclear gain of ICF targets with direct heating of ignitor // J. Sov. Laser Res. 1992. V. 13. № 5. P. 396–399. https://doi.org/10.1007/BF01124892
- Tabak M., Hammer J., Glinsky M.E., et al. Ignition and high gain with ultrapowerful lasers // Phys. Plasmas. 1994. V. 1. № 5. P. 1626–1634. https://doi.org/10.1063/1.870664
- Фролова А.А., Хищенко К.В., Чарахчьян А.А. Быстрое зажигание пучком протонов и горение цилиндрической оболочечной DT-мишени // Физика плазмы. 2019. Т. 45. № 9. С. 804–824. https://doi.org/10.1134/S0367292119080043
- Ландау Л.Д., Лифшиц Е.М. Гидродинамика. М.: Наука, 1986.
- Феоктистов Л.П. Термоядерная детонация //УФН. 1998. Т. 168. № 11. С. 1247–1255. https://doi.org/10.3367/UFNr.0168.199811f.1247
- Хищенко К.В., Чарахчьян А.А. Отражение детонационной волны от плоскости симметрии внутри цилиндрической мишени для управляемого термоядерного синтеза // Ж. вычисл. матем. и матем. физ. 2021. Т. 61. № 10. С. 131–149. https://doi.org/10.31857/S0044466921100069
- Richtmyer R.D. Taylor instability in shock acceleration of compressible fluids // Commun. Pure Appl. Math. 1960. V. 13. P. 297–319. https://doi.org/10.1002/cpa.3160130207
- Дразин Ф. Введение в теорию гидродинамической устойчивости. М.: Физматлит, 2005.
- Васильев А.А., Троцюк А.В. Экспериментальное исследование и численное моделирование расширяющейся многофронтовой детонационной волны // Физика горения и взрыва. 2003. Т. 39. № 1. С. 92–103.
- Чарахчьян А.А. Неустойчивость Рихтмайера–Мешкова границы раздела сред при прохождении через нее двух последовательных ударных волн // Приклад. мех. и техн. физ. 2000. Т. 41. № 1. С. 28–37.
- Charakhch’yan A.A. Reshocking at the non-linear stage of Rictmyer–Meshkov instability // Plasma Phys. Controlled Fusion. 2001. V. 43. P. 1169–1179. https://doi.org/10.1088/0741-3335/43/9/301
- Schilling O., Latini M., Don M.S. Erratum: Physics of reshock and mixing in single-mode Richtmyer–Meshkov instability [Phys. Rev. E 76, 026319 (2007)] // Phys. Rev. E. 2012. V. 85. P. 049904(E). https://doi.org/10.1103/PhysRevE.85.049904
- Федоренко Н.В. Ионизация при столкновениях ионов с атомами // УФН. 1959. Т. 68. № 8. С. 481–511. https://doi.org/10.3367/UFNr.0068.195907g.0481
- Khishchenko K.V. Equations of state for two alkali metals at high temperatures // J. Phys.: Conf. Ser. 2008. V. 98. P. 032023. https://doi.org/10.1088/1742-6596/98/3/032023
- Charakhch’yan A.A., Khishchenko K.V. Plane thermonuclear detonation waves initiated by proton beams and quasi-one-dimensional model of fast ignition // Laser and Particle Beams. 2015. Vol. 33. P. 65–80. https://doi.org/10.1017/S0263034614000780
- Калиткин Н.Н. Модель атома Томаса–Ферми с квантовыми и обменными поправками // ЖЭТФ. 1960. Т. 38. № 5. С. 1534–1540.
- Калиткин Н.Н., Кузьмина Л.В. Таблицы термодинамических функций вещества при высокой концентрации энергии. Препринт ИПМ АН СССР 14., 1976.
- Holzapfel W.B. Equation of state for Cu, Ag, and Au and problems with shock wave reduced isotherms // High Pressure Res. 2010. V. 30. P. 372–394. https://doi.org/10.1080/08957959.2010.494845
- Баско М.М. Диффузионное описание переноса энергии заряженными продуктами термоядерных реакций // Физика плазмы. 1987. Т. 13. № 8. С. 967–973.
- Hirt C.W., Amsden A.A., Cook J.L. An arbitrary Lagrangian–Eulerian computing method for all flow speeds // J. Comput. Phys. 1974. V. 14. № 3. P. 227–253.
- Van Leer B. A second-order sequel to Godunov’s method // J. Comput. Phys. 1979. V. 32. № 1. P. 101–136.
- Родионов А.В. Повышение порядка аппроксимации схемы С. К. Годунова // Ж. вычисл. матем. и матем. физ. 1987. Т. 27. № 12. С. 1853–1860.
- Colella P., Woodward P.R. The piecewise parabolic method (PPM) for gas-dynamical simulations // J. Comput. Phys. 1984. V. 54. P. 174–201. https://doi.org/10.1016/0021-9991(84)90143-8
- Чарахчьян А.А. Расчет сжатия дейтерия в конической мишени в рамках уравнений Навье–Стокса для двухтемпературной магнитной гидродинамики // Ж. вычисл. матем. и матем. физ. 1993. Т. 33. № 5. С. 766–784.
- Де Бор К. Практическое руководство по сплайнам. М.: Радио и связь, 1985.
- Годунов С.К., Забродин А.В., Иванов М.Я. и др. Численное решение многомерных задач газовой динамики. М.: Наука, 1976.
- Грынь В.И., Фролова А.А., Чарахчьян А.А. Сеточный генератор барьерного типа и его применение для расчета течений с подвижными границами // Ж. вычисл. матем. и матем. физ. 2003. Т. 43. № 6. С. 904–917.
- Charakhch’yan A.A., Ivanenko S.A. A variational form of the Winslow grid generator // J. Comput. Phys. 1997. V. 136. P. 385–398. https://doi.org/10.1006/jcph.1997.5750
- Иваненко С.А. Построение невырожденных сеток // Ж. вычисл. матем. и матем. физ. 1988. Т. 28. № 10. С. 1498–1506.
- Meyer K.A., Blewett P.J. Numerical investigation of the stability of a shock-accelerated interface between two fluids // Phys. Fluids. 1972. V. 15. № 5. P. 753–759.
Дополнительные файлы















