A Waveguide Model of the Developed Turbulent Boundary Layer
- Authors: Zharov V.A.1, Lipatov I.I.1, Selim R.S.1
-
Affiliations:
- Moscow Institute of Physics and Technology
- Issue: Vol 63, No 5 (2023)
- Pages: 827-839
- Section: Mathematical physics
- URL: https://bakhtiniada.ru/0044-4669/article/view/136139
- DOI: https://doi.org/10.31857/S0044466923050241
- EDN: https://elibrary.ru/GGJGQN
- ID: 136139
Cite item
Full Text
Abstract
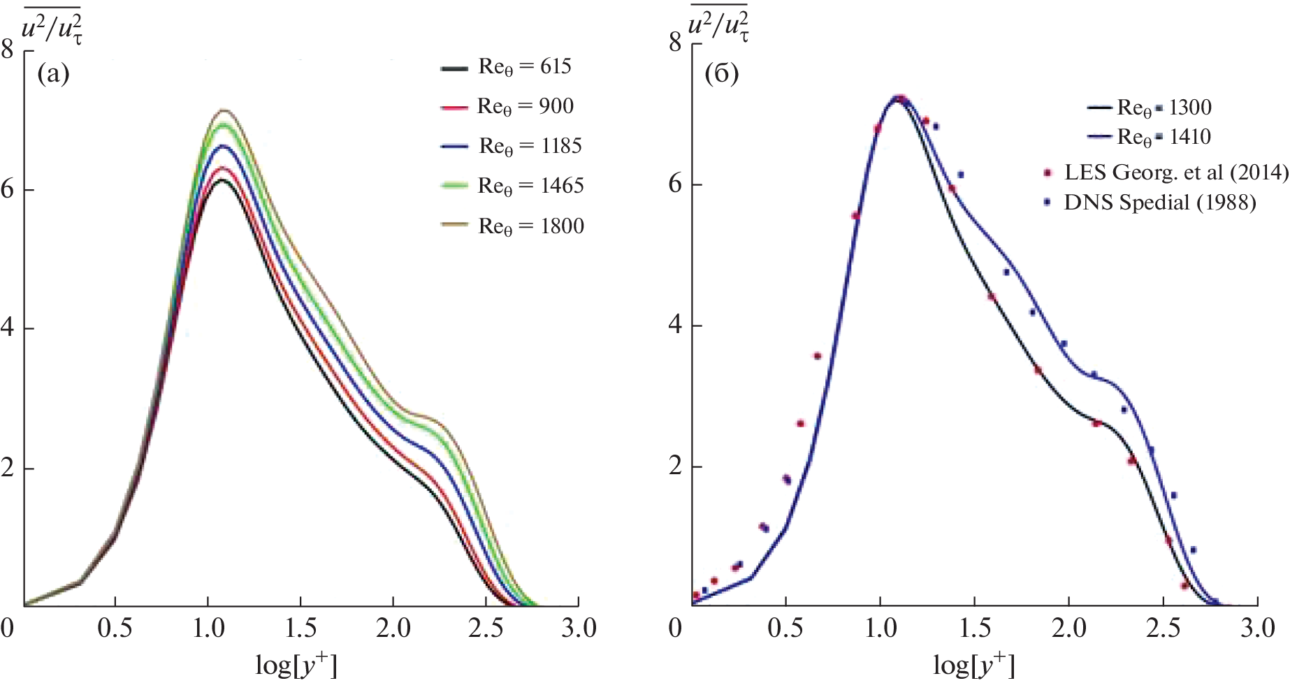
A study of the developed turbulent boundary layer that emerges when incompressible viscous fluid flows around a plate at a zero angle of attack and with zero longitudinal pressure gradient is presented. The waveguide approach is used for describing the turbulent boundary layer; in this approach, turbulent fluctuations are related with Tollmien–Schlichting waves that are in three-wave resonance. To study the original nonlinear system of equations, an estimate of hydrodynamic quantities is proposed that does not violate the generally accepted approach in the boundary layer but leads to the appearance of a new small parameter—the ratio of the thickness of the boundary layer momentum loss to the damping length of the least damped mode of the Tollmien–Schlichting waves. Equations for the coherent and stochastic parts of fluctuations are obtained on the basis of the method of multiple scales. The dispersion characteristics of waves of the least damped mode on the profile of the average longitudinal velocity of the developed turbulent boundary layer are determined, and the conditions for the multiple three-wave resonance of this mode of the Tollmien–Schlichting waves are analyzed. For the coherent part of the fluctuations, the fluctuation characteristics are compared with the known numerical results.
About the authors
V. A. Zharov
Moscow Institute of Physics and Technology
Email: v_zharov@mail.ru
141700, Dolgoprudnyi, Moscow oblast, Russia
I. I. Lipatov
Moscow Institute of Physics and Technology
Email: v_zharov@mail.ru
141700, Dolgoprudnyi, Moscow oblast, Russia
R. S. Selim
Moscow Institute of Physics and Technology
Author for correspondence.
Email: v_zharov@mail.ru
141700, Dolgoprudnyi, Moscow oblast, Russia
References
- Kachanov Y.S. Physical mechanisms of laminar boundary layer transition // Annu. Rev. Fluid Mech.1994. V. 26. P. 411–482.
- Репик Е.У., Соседко Ю.П. Исследование прерывистой структуры течения в пристенной области турбулентного пограничного слоя. Турбулентные течения. – М.: Наука, 1974, 226 с.
- Robinson S.K. Coherent motions in the turbulent boundary layer // Annu. Rev. Fluid Mech 1991. V. 23. P. 601–639.
- Бойко А.В., Грек Г.Р., Довгаль А.В., Козлов В.В. Возникновение турбулентности в пристенных течениях. Новосибирск: Наука, 1999, 328 с.
- Белоцерковский О.М., Хлопков Ю.И., Жаров В.А., Горелов С.Л., Хлопков А.Ю. Организованные структуры в турбулентных течениях. Анализ экспериментальных работ по турбулентному пограничному слою. М.: МФТИ, 2009, 302 с.
- Borodulin V.I., Kachanov Y.S., Roschektayev A.P. The deterministic wall turbulence is possible // Advances in Turbulence XI. Proceedings of 11th EUROMECH European Turbulence Conference, June 25–28, 2007, Porto, Portugal // J.M.L.M. Palma and A. Silva Lopes, eds. – Heidelberg: Springer, 2007. P. 176–178.
- Borodulin V.I., Kachanov Y.S., Roschektayev A.P. Experimental detection of deterministic turbulence // Journal of Turbulence. 2011. V. 12. № 23. P. 1–34.
- Borodulin V.I., Kachanov Y.S. On the reproducibility of instantaneous and statistical characteristics of the deterministic turbulence // Theoretical and Applied Mechanics Letters // 2014. V. 4, 062004.
- Borodulin V.I., Kachanov Y.S. Experimental Study of Reproducibility of Instantaneous Structure of the Deterministic Wall Turbulence // Proceedings of 8th Intl. Symposium on Turbulence and Shear Flow Phenomena-TSFP-8. E.N.S.M.A. Poitiers, France. 2013. P. 1–6.
- Онлайн-курс лекций д.ф.-м.н., профессора Юрия Семеновича Качанова “ИСТОКИ ТУРБУЛЕНТНОСТИ. ФИЗИЧЕСКАЯ ПРИРОДА”. Лекция 7. 11.03.2022: “Детерминированная турбулентность – новый подход к исследованию турбулентности”. https://www.youtube.com/channel/UCyTkQLOSbkb5tecI-STYAbQ
- Жаров В.А. О волновой теории развитого турбулентного пограничного слоя // Ученые записки ЦАГИ. 1986.Т. XVII, № 5. С. 28–38.
- Жаров В.А. Волноводная модель когерентной и стохастической составляющих развитого турбулентного пограничного слоя. // Труды ЦАГИ. 2014, вып. 2731. С. 3–50.
- Жаров В.А., Липатов И.И., Селим Р.С. Волноводная модель организованных структур в турбулентном пограничном слое на пластине с нулевым продольным градиентом давления. // Ученые записки Ц-АГИ. 2020.Т. VI. № 6. С. 51–59.
- Каток A.Б., Хасселблат Б. Введение в современную теорию динамических систем. М.: “ФАКТОРИАЛ”, 1999. С. 768.
- Колмогоров А.Н. Избранные труды Математика и Механика. M: Наука, 1985, 569 с.
- Жаров В.А. Модельное представление когерентной структуры в развитом турбулентном пограничном слое // Ученые записки ЦАГИ. 2014. Т. XLV. № 5. С. 33–46.
- Musker A.J. Explicit expression for the smooth wall velocity distribution in turbulent boundary layer // AIAA Journal. 1979. V. 17 (6). P. 655–657.
- Landahl M.T. A wave-guide model for turbulent shear flow // J. Fluid Mech. 1967. V. 29. Pt. 3. P. 441–459.
- Zelman M.B. Tollmien–Schlichting–wave resonant mechanism for subharmonic–type transition // J. Fluid Mech. 1993. V. 252. P. 449–478.
- Hussain A.K.M.F., Reynolds W.C. The mechanics of an organized wave in turbulent shear flow. Part 2. Experimental results // J. Fluid Mech. 1972. V. 54. P. 241–261.
- Nayfeh A.H. Perturbation Methods. // Wily. 1973. 425 p. (Найфэ А. Методы возмущений. М.: Наука. 1986. 454 с.)
- Zhang W., Liu P., Guo H. Conditional Sampling and Wavelet Analysis in Early Stage of Step-Generated Transition // AIAA J. 2018. V. 56. P. 2471–2477.
- Pushpender K.S., Tapan K.S. Effect of frequency and wave number on the three-dimensional routes of transition by wall excitation // Phys. Fluids. 2019. V. 31. P. 64–107.
- Mathematica 5.0 User’s Guide. Wolfram Research, 2003. P. 1301.
- Селим Р.С. Собственные моды уравнения Орра-Зоммерфельда в развитом турбулентном пограничном слое // Труды МАИ. 2019. Bып № 109, URL: http://trudymai.ru/published.php?ID=111352.
- Жаров В.А., Ле Ван Ха. Построение профиля продольной скорости по заданному касательному напряжению в развитом турбулентном пограничном слое на пластине. Ученые записки ЦАГИ, 2016. № 8. Т. XLVII. С. 50–60.
- Klebanoff P.S. Characteristics of turbulence in a boundary layer with zero pressure gradient. NACA Rep. 1247 (1955) (Шлихтинг Г. Теория пограничного слоя. М.: Физматлит. 1974. 712 с.)
- Spalart P.R. Direct simulation of a turbulent boundary layer up to Reθ = 14000 // J. Fluid Mech. 1988. V. 137. P. 61–98.
- Jimenez J., Hoyas S., Simens M., Mizuno Y. Turbulent boundary layer and channels at moderate Reynold number // J. Fluid Mech. 2010. V. 667. P. 335–360.
- Skote M., Henningson Dan S., and Henkes R.A.W.M. Direct numerical simulation of self-similar turbulent boundary layers in adverse pressure gradients // Flow Turbulence and Combustion. 1998. V.60. № 1. P. 47–85.
- German S., Guillermo A. Reynolds shear stress modeling in turbulent boundary layers’ subject to very strong Favorable Pressure Gradient // Computers and Fluids. 2020. https://doi.org/10.1016/j.compfluid.2020.104494
Supplementary files

















