Characteristic-Based Volume Penalization-Imposed Wall Function Method for Turbulent Boundary Layer Modeling
- Authors: Vasilyev O.V.1, Zhdanova N.S.1
-
Affiliations:
- Federal Research Center Keldysh Institute of Applied Mathematics, Russian Academy of Sciences
- Issue: Vol 63, No 5 (2023)
- Pages: 778-794
- Section: Mathematical physics
- URL: https://bakhtiniada.ru/0044-4669/article/view/136136
- DOI: https://doi.org/10.31857/S0044466923050198
- EDN: https://elibrary.ru/GGGNJE
- ID: 136136
Cite item
Full Text
Abstract
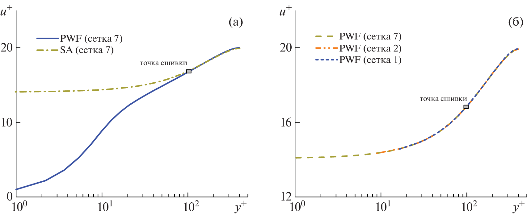
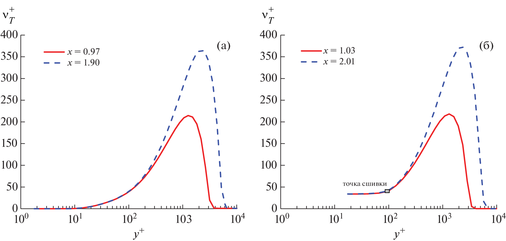
A method to approximate near-wall boundary conditions for the compressible Reynolds-Averaged Navier–Stokes equations is proposed. The differential formulation to match the external and the wall function solutions is reformulated in a form of the generalized characteristic-based volume penalization method to model the transfer of the shear stress from the outer region of the boundary layer to the wall. The exchange location is specified implicitly in terms of a localized source term in the boundary layer equation written as a function of the distance from the wall normalized by the viscous length scale. The shear stress on the wall is determined by solving an auxiliary equation for the wall-stress imposing the analytical wall function solution through the characteristic-based volume penalization method. The proposed method noticeably reduces the near-wall mesh resolution requirements without a significant modification of the numerical algorithm and completely eliminates the ill-defined explicit solution matching procedure. The developed approach is numerically implemented using the vertex-centered control volume method on structured meshes. Its effectiveness is demonstrated by solving two test problems: the two-dimensional channel flow and turbulent flow over an infinitely thin plate.
About the authors
O. V. Vasilyev
Federal Research Center Keldysh Institute of Applied Mathematics, Russian Academy of Sciences
Email: oleg.v.vasilyev@gmail.com
125047, Moscow, Russia
N. S. Zhdanova
Federal Research Center Keldysh Institute of Applied Mathematics, Russian Academy of Sciences
Author for correspondence.
Email: nat.zhdanova@gmail.com
125047, Moscow, Russia
References
- Moin P., Mahesh K. Direct numerical simulation: A tool in turbulence research // Ann. Rev. Fluid Mech. 1998. V. 30. P. 539–578.
- Spalart P.R., Allmaras S.R. A one equation turbulence model for aerodinamic flows // AIAA J. 1992. V. 94.
- Gatski T.B., Hussaini M.Y., Lumley J.L. Simulation and Modeling of Turbulent Flows. Oxford, 1996.
- Durbin P.A., Reif B., Pettersson A. Statistical Theory and Modeling for Turbulent Flows. Wiley, 2001.
- Wilcox D.C. Formulation of the Turbulence Model Revisited // AIAA J. 2008. V. 46. 11. P. 2823–2838.
- Froehlich J., von Terzi D. Hybrid LES/RANS methods for the simulation of turbulent flows // Progress in Aerospace Sci. 2008. JUL. V. 44. 5. P. 349–377.
- Xiao H., Jenny P. A consistent dual-mesh framework for hybrid LES/RANS modeling // J. Comp. Phys. 2012. FEB 20. V. 231. 4. P. 1848–1865.
- Spalart P.R., Jou W.H., Strelets M. et al. Comments on the feasibility of LES for wings, and on a hybrid RANS/LES approach // First AFOSR Inter. Conf. on DNS/LES, Ruston, Louisiana. V. 1. Greyden Press, Columbus, OH, 1997. P. 4–8.
- Spalart P.R., Deck S., Shur M.L., et al. A new version of detached-eddy simulation, resistant to ambiguous grid densities // Theoretic. and Comput. Fluid. Dynamic. 2006. V. 20. 3. P. 181–195.
- Shur M.L., Spalart P.R., Strelets M.K., Travin A.K. A hybrid RANS-LES approach with delayed-DES and wall-modelled LES capabilities // Inter. J. of Heat and Fluid Flow. 2008. V. 29. 6. P. 1638–1649.
- Patankar S.V., Spalding D.B. Heat and Mass Transfer in Boundary Layers. Morgan-Grampia, 1968.
- Зайчик Л.И. Пристеночные функции для моделирования турбулентного течения и теплообмена // Теплофизика высоких температур. 1997. Т. 35. 3. С. 391–396.
- Craft T.J., Gant S.E., Gerasimov A.V., et al. Development and application of wall-function treatments for turbulent forced and mixed convection flows // Fluid Dynamic. Res. 2006. V. 38. 2. P. 127–144. Seiken Symposium. URL: https://www.sciencedirect.com/science/article/pii/S0169598305000778.
- Beaugendre H., Morency F. Penalization of the Spalart–Allmaras turbulence model without and with a wall function: Methodology for a vortex in cell scheme // Comput. and Fluid. 2018. Jul. V. 170. P. 313–323. URL: https://hal.inria.fr/hal-01963687.
- Дубень А.П., Абалакин И.В., Цветкова В.О. О граничных условиях на твердых стенках в задачах вязкого обтекания // Матем. моделирование. 2021. V. 32. 1. P. 79–98.
- Nichols R.H., Nelson C.C. Wall function boundary conditions including heat transfer and compressibility // AIAA J. 2004. V. 42. 6. P. 1107–1114.
- Bodart J., Larsson J. Wall-modeled large eddy simulation in complex geometries with application to high-lift devices // Annual Research Briefs, Center for Turbulence Research, Stanford University. 2011. P. 37–48.
- Beaugendre H., Morency F. Penalization of the Spalart-Allmaras turbulence model without and with a wall function: Methodology for a vortex in cell scheme // Comput. and Fluid. 2018. JUL 15. V. 170. P. 313–323.
- Cai S.-G., Degrigny J., Boussuge J.-F., Sagaut P. Coupling of turbulence wall models and immersed boundaries on Cartesian grids // J. Comput. Phys. 2021. V. 429. P. 109995. URL: https://www.sciencedirect.com/science/article/pii/S0021999120307695.
- Dhamankar N., Blaisdell G., Lyrintzis A. Implementation of a wall-modeled sharp immersed boundary method in a high-order large eddy simulation tool for jet aeroacoustics // 54th AIAA Aerospace Sci. Meet. 2016. 01.
- Brown-Dymkoski E., Kasimov N., Vasilyev O.V. A characteristic based volume penalization method for general evolution problems applied to compressible viscous flows // J. Comput. Phys. 2014. Vol. 262. P. 344–357.
- Kasimov N., Dymkoski E., De Stefano G., Vasilyev O.V. Galilean-invariant characteristic-based volume penalization method for supersonic flows with moving boundaries // Fluids. 2021. V. 6. 8. URL: https://www.mdpi.com/2311-5521/6/8/293.
- Kawai S., Larsson J. Wall-modeling in large eddy simulation: length scales, grid resolution, and accuracy // Phys. Fluid. 2012. V. 24. 1. P. 015105.
- Kawai S., Larsson J. Dynamic non-equilibrium wall-modeling for large eddy simulation at high Reynolds numbers // Phys. Fluid. 2013. V. 25. 1. P. 015105.
- Park G.I., Moin P. An improved dynamic non-equilibrium wall-model for large eddy simulation // Phys. Fluid. 2014. V. 26. 1. P. 37–48.
- Абалакин И.В., Васильев О.В., Жданова Н.С., Козубская Т.К. Метод характеристических штрафных функций для численного моделирования сжимаемых течений на неструктурированных сетках // Ж. вычисл. матем. и матем. физ.. 2021. V. 61. 8. P. 1336–1352.
- Жданова Н.С., Абалакин И.В., Васильев О.В. Расширение метода штрафных функций Бринкмана для сжимаемых течений вокруг подвижных твердых тел // Матем. моделирование. 2022. V. 34. 2. P. 41–57.
- Bardina J., Huang P., Coakley T., et al. Turbulence modeling validation // 28th Fluid Dynamic. Conf. 1997. P. 2121.
- Brown-Dymkoski E., Kasimov N., Vasilyev O.V. Characteristic-based volume penalization method for arbitrary mach flows around solid obstacles // Direct and Large-Eddy Simulation IX, Proceedings of the Ninth International ERCOFTAC Workshop on Direct and Large-Eddy Simulations. Eds. J. Frohlich, H. Kuerten, B.J. Geurts, V. Armenio, Springer, 2015. P. 109–115.
- Gorobets A., Bakhvalov P. Heterogeneous CPUx parallelization for high-accuracy scale-resolving simulations of compressible turbulent flows on hybrid supercomputers // Comput. Phys. Communicat. 2022. V. 271. P. 108231. URL: https://www.sciencedirect.com/science/article/pii/S001046552100343X.
- Gorobets A., Duben A. Technology for supercomputer simulation of turbulent flows in the good new days of exascale computing // Supercomput. Frontiers and Innovat. 2021. Feb. V. 8, 4. P. 4–10. URL: https://superfri.susu.ru/index.php/superfri/article/view/400.
- Bakhvalov P., Abalakin I., Kozubskaya T. Edge-based reconstruction schemes for unstructured tetrahedral meshes // Inter. J. Numer. Meth. Fluid. 2016. V. 81. 6. P. 331–356.
- van der Vorst H.A. BI-CGSTAB: A fast and smoothly converging variant of BI-CG for the solution of nonsymmetric linear systems // SIAM J. Sci. Stat. Comput. 1992. V. 13. 2. P. 631–644.
- Reichardt H. Vollständige Darstellung der turbulenten Geschwindigkeitsverteilung in glatten Leitungend // Zeitschrift fГjr Angewandte Math. und Mech. 1951. V. 31. 7. P. 208–219.
- Zanoun E.S.M. Answers to Some Open Questions in Wall Bounded Laminar and Turbulent Shear Flows. Technische Fakultät der Universität Erlangen-Nürnberg., 2003. URL: https://books.google.ru/books?id=IPVcxwEACAAJ.
- Moser R.D., Kim J., Mansour N.N. Direct numerical simulation of turbulent channel flow up to // Phys. Fluids A. 1999. V. 11. P. 943–945.
- NASA Langley Research Center Turbulence Modeling Resource. URL: https://turbmodels.larc.nasa.gov.
- Knopp T. On grid-independence of RANS predictions for aerodynamic flows using model-consistent universal wall-functions // Proceed. of the European Conf. on Comput. Fluid Dynamic. 2006.
Supplementary files











