Reynolds Analogy Coefficient in the Longitudinal Cylindrical Couette Problem: from the Continuous Medium to Free Molecular Flow
- Authors: Abramov A.A.1, Aleksandrov V.Y.1, Butkovskii A.V.1
-
Affiliations:
- Central Aerohydrodynamic Institute
- Issue: Vol 63, No 2 (2023)
- Pages: 317-326
- Section: Mathematical physics
- URL: https://bakhtiniada.ru/0044-4669/article/view/136123
- DOI: https://doi.org/10.31857/S0044466923020023
- EDN: https://elibrary.ru/BRDVJQ
- ID: 136123
Cite item
Full Text
Abstract
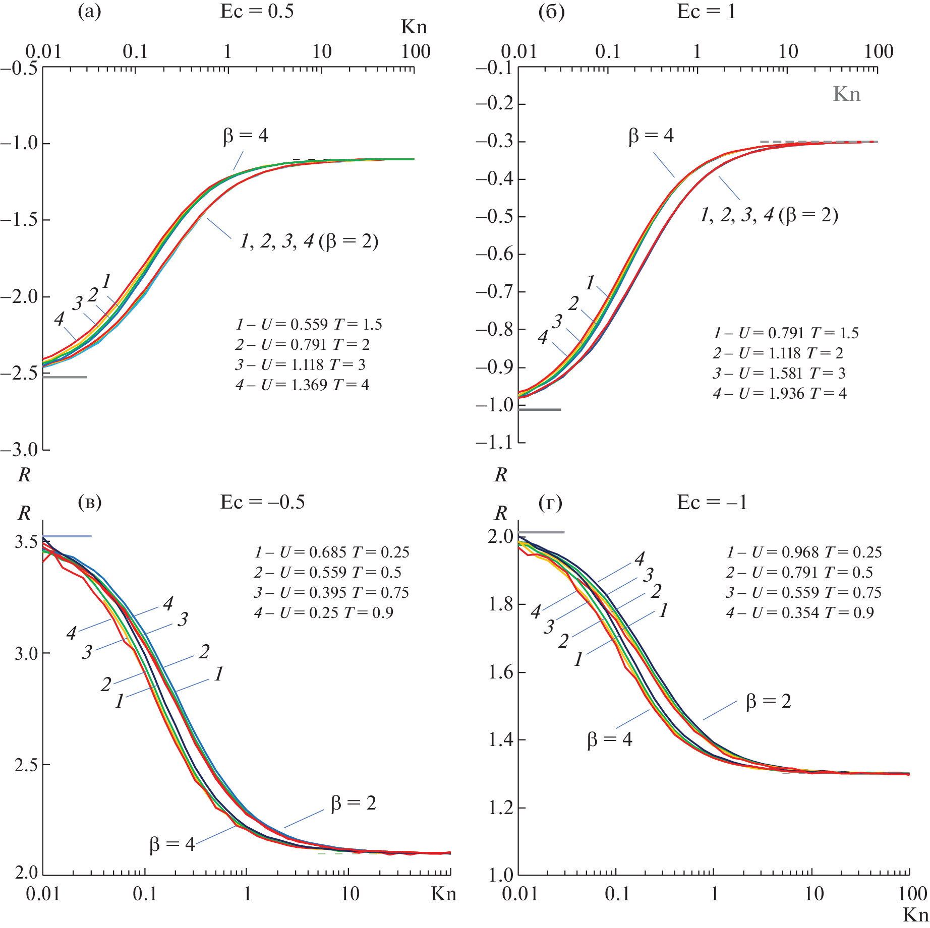
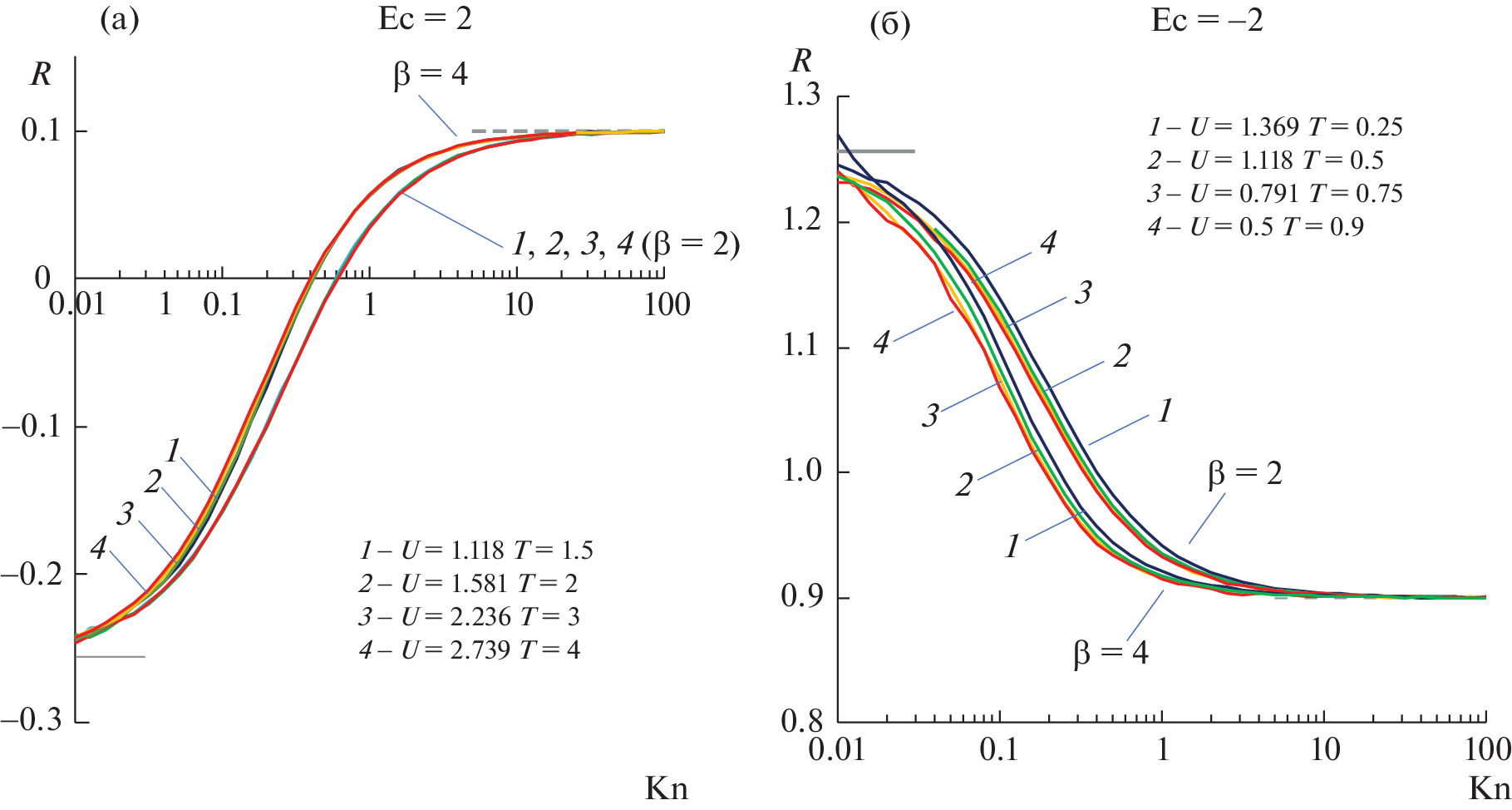
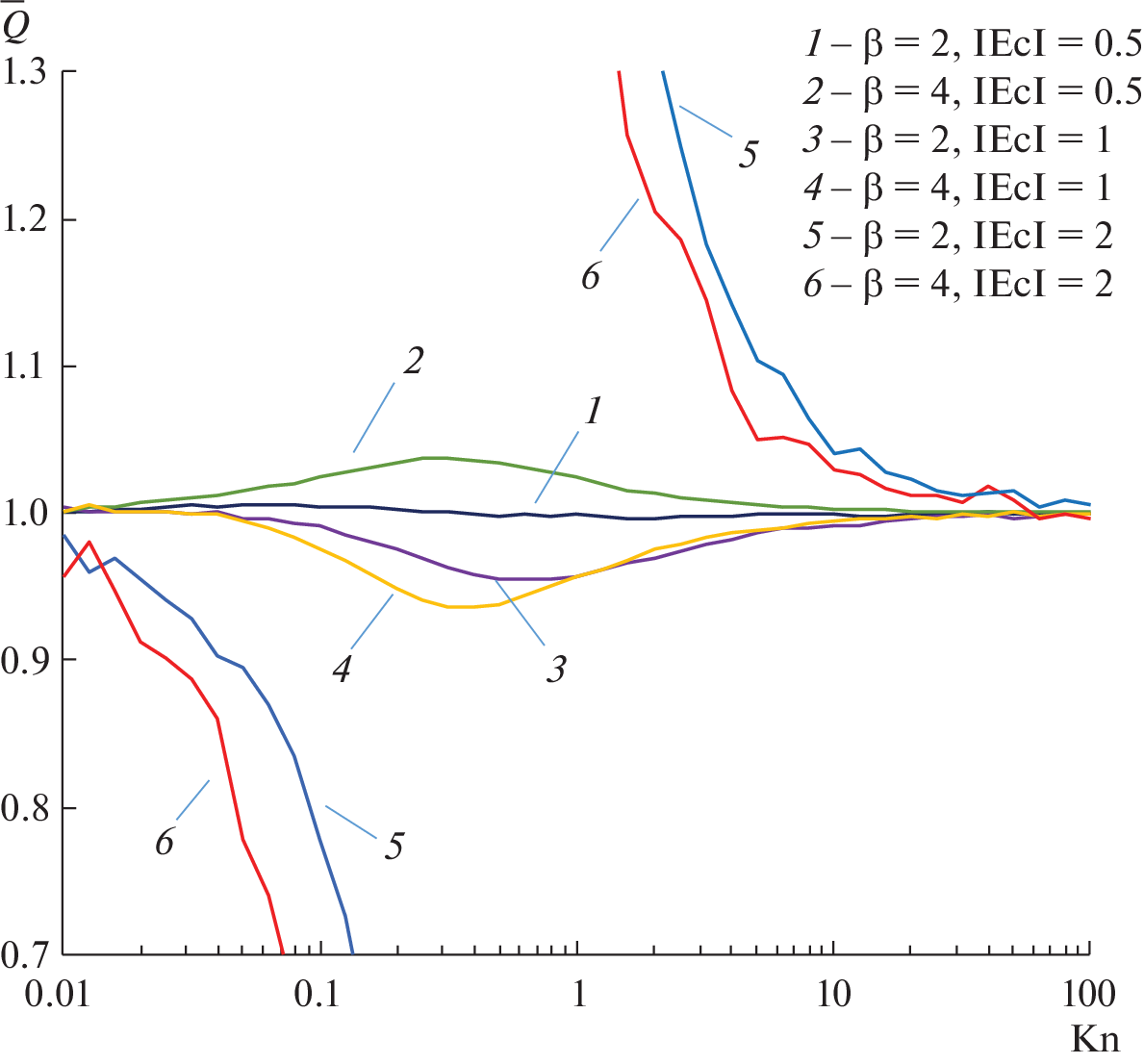
The gas Couette flow for a cylindrical geometry of bounding surfaces that move in the longitudinal direction relative to their symmetry axis is considered. For a monoatomic gas, the relation between the shear stress and the energy flux transferred to the longitudinal-flow surface (Reynolds analogy) is studied. In the case of continuous medium and free molecular flow regimes, simple explicit analytical expressions for the Reynolds analogy coefficient are obtained, which depend only on the Eckert number and are independent of the ratio of the cylinder radii. The transitional regime for various values of the Knudsen number is studied using the direct simulation Monte Carlo (DSMC) method. It is shown that, in this case, the Reynolds analogy coefficient at a fixed ratio of the radii and the Knudsen number depends on the relative velocity and temperatures of the surfaces mainly through the Eckert number. A relationship between the linear energy fluxes transferred to the cylindrical surfaces is found.
About the authors
A. A. Abramov
Central Aerohydrodynamic Institute
Email: albutkov@mail.ru
140180, Zhukovskii, Moscow oblast, Russia
V. Yu. Aleksandrov
Central Aerohydrodynamic Institute
Email: albutkov@mail.ru
140180, Zhukovskii, Moscow oblast, Russia
A. V. Butkovskii
Central Aerohydrodynamic Institute
Author for correspondence.
Email: albutkov@mail.ru
140180, Zhukovskii, Moscow oblast, Russia
References
- Liepmann H.W., Roshko A. Elements of Gasdynamics. New York: Willey, 1957. Перевод Липман Г.В., Рожко А. Элементы газовой динамики. М.: Иностр. лит., 1960.
- Illingworth C.R. Some solutions of the equations of flow of a viscous compressible fluid // Math. Proc. of the Cambridge Philosophical Society. 1950. V. 46. P. 469.
- Perlmutter M. Analysis of Couette flow and heat transfer between parallel plates enclosing rarefied gas by Monte Carlo // Proc. of 5th Internat. Symposium on Rarefied Gas Dynamics, edited by C. L. Brundin. New York: -Academic Press, 1967. V. 1. P. 455.
- Sharipov F., Kalempa D. Oscillatory Couette flow at arbitrary oscillation frequency over the whole range of the Knudsen number // Microfluid Nanofluid. 2008. V. 4. P. 363.
- Roy S., Chakraborty S. Near-wall effects in micro scale Couette flow and heat transfer in the Maxwell-slip regimes // Microfluid and Nanofluid. 2007. V. 3. P. 437.
- Zahid W.A., Yin Y., Zhu K.Q. Couette–Poiseuille flow of a gas in long microchannels // Microfluidics and Nanofluidics. 2007. V. 3. P. 55.
- Deng Z., Chen Y., Shao C. Gas flow through rough microchannels in the transition flow regime / Phys. Rev. E. 2016. V. 93. P. 013128-1.
- Chen X.X., Wang Z.H., Yu Y.L. “Nonlinear Shear and Heat Transfer in Hypersonic Rarefied Flows Past Flat Plates // AIAA Journal. 2015. V. 53. P. 413.
- Abramov A.A., Butkovskii A.V. Reynolds analogy for the fluid flow past a flat plate at different regimes // Phys. Fluids. 2021. V. 33. P. 017101-1.
- Chen X.X., Wang Z.H., Yu Y.L. General Reynolds analogy for blunt-nosed bodies in hypersonic flows // AIAA J. 2015. V. 53. P. 2410.
- Abramov A., Butkovskii A. Extended Reynolds analogy for the rarefied Rayleigh problem: Similarity parameters // 31st Internat. Symposium on Rarefied Gas Dynamics, AIP Conf. Proc. 2019. V. 2132. 180013-1.
- Abramov A.A., Butkovskii A.V. The extended Reynolds analogy for the Couette problem: Similarity parameters // Internat. J. Heat Mass Transf. 2018. V. 117. P. 313.
- Коган М.Н. Динамика разреженного газа. М.: Наука,1969.
- Bird G.A. Molecular Gas Dynamics. Oxford, Clarendon Press, 1976. Перевод: Берд Г. Молекулярная газовая динамика. М.: Мир, 1981.
- Abramov A.A., Alexandrov V.Yu., Butkovskii A.V. The longitudinal cylindrical Couette problem for rarefied gas: Energy fluxes maximums // Internat. J. Heat Mass Transf. 2017. V. 111. P. 608.
- Bird G.A. Molecular Gas Dynamics and Direct Simulation of Gas Flows. Oxford, Oxford University Press, 1994.
- Abramov A.A., Butkovsky A.V. The sign change effect of the energy flux and other effects in the transitional regime for the Couette problem // AIP Conf. Proc. 2012. V. 1501. P. 123.
Supplementary files









