Стеклокомпозиты на основе эпоксиизоцианатных связующих с повышенными тепло-, термостойкостью и физико-механическими характеристиками
- Авторы: Борисов С.В.1, Ярославцев Н.А.1, Кобелев А.А.2, Буравов Б.А.1, Ваниев М.А.1, Соколов П.Э.3, Акчурин Т.К.3, Новаков И.А.1
-
Учреждения:
- Волгоградский государственный технический университет
- Академия Государственной противопожарной службы МЧС России
- Институт архитектуры и строительства (ИАиС) Волгоградского государственного технического университета
- Выпуск: Том 97, № 11-12 (2024)
- Страницы: 764-775
- Раздел: Композиционные материалы
- URL: https://bakhtiniada.ru/0044-4618/article/view/284510
- DOI: https://doi.org/10.31857/S0044461824110045
- EDN: https://elibrary.ru/LFPOEH
- ID: 284510
Цитировать
Аннотация
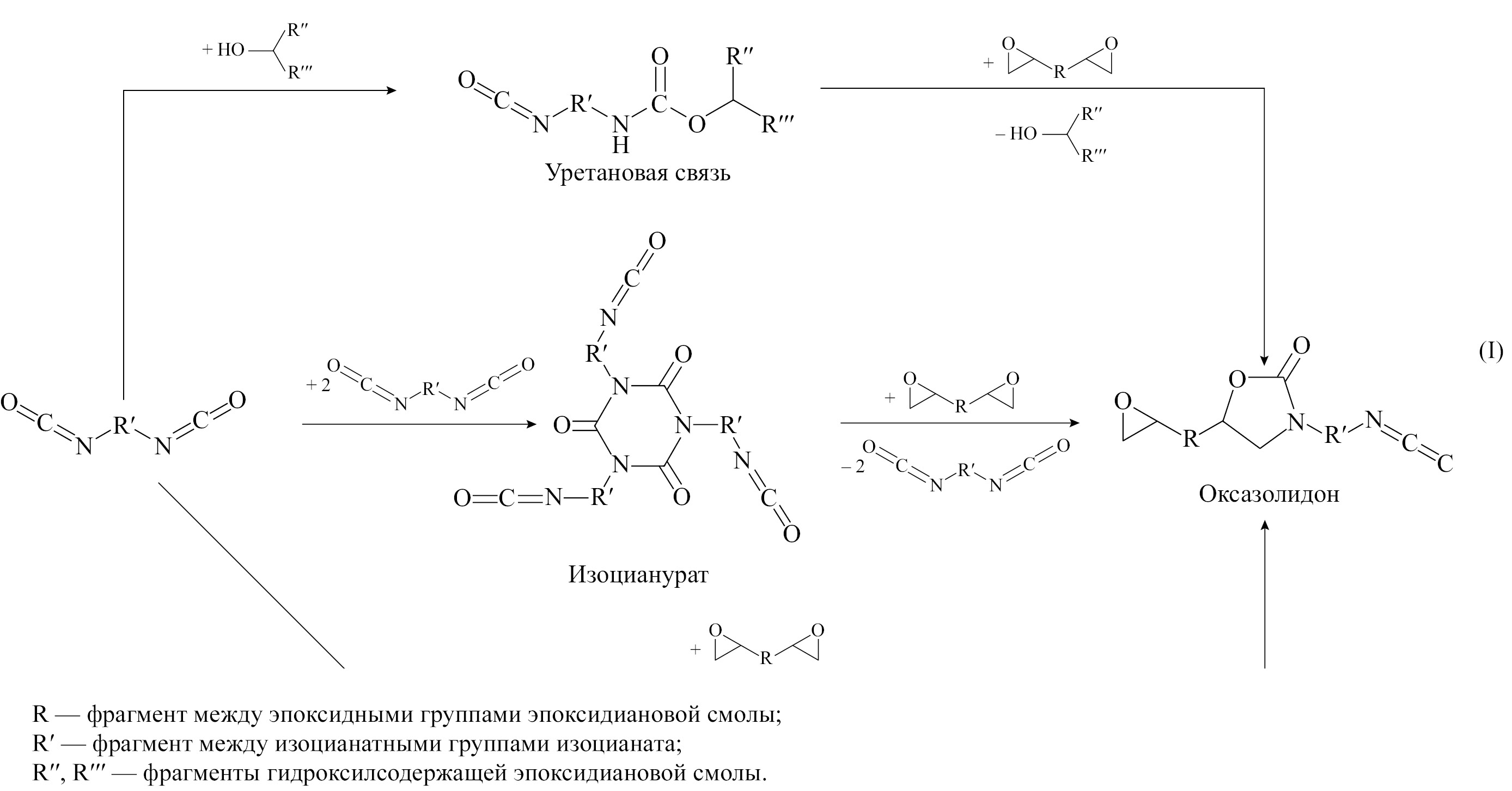
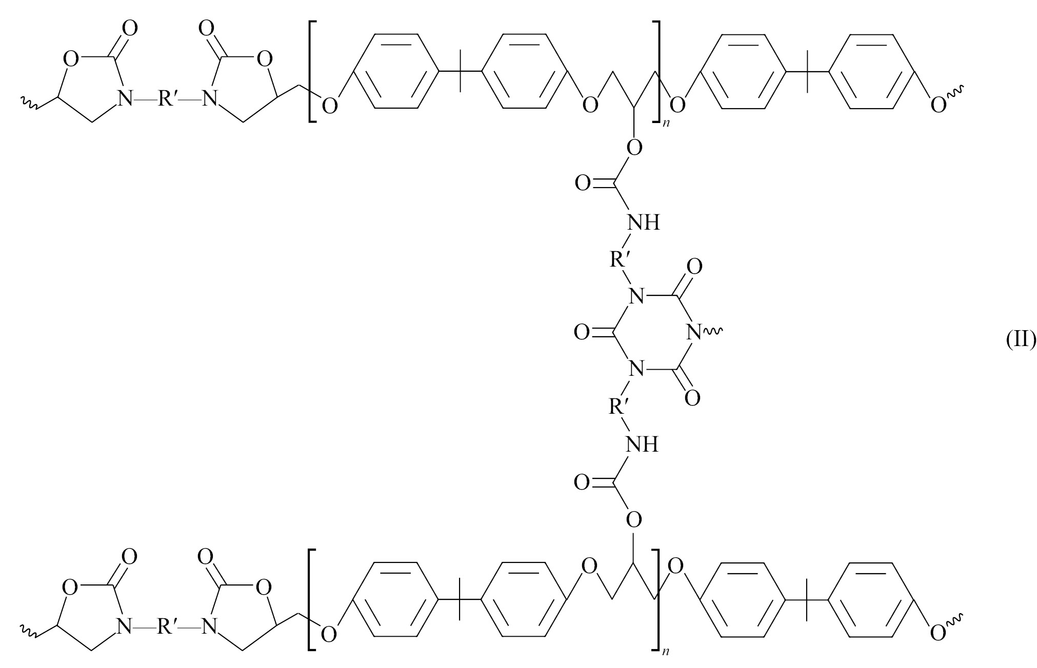
Установлено, что рост содержания оксазолидоновых фрагментов в трехмерно сшитой структуре полимеров, обусловленный увеличением доли полиизоцианата в рецептуре связующих, приводит к росту значений модуля упругости и разрушающего напряжения при статическом изгибе, тепло- и термостойкости получаемых материалов. Стеклокомпозиты, изготовленные на основе алюмоборосиликатного ровинга и разработанного связующего (при содержании последнего 18–22 мас%), характеризуются значениями температуры изгиба под нагрузкой 150 МПа до 239°С и разрушающего напряжения при статическом изгибе до 1450 МПа. После 300 циклов замораживания (–20°С, ≤1 ч) и оттаивания (+20°С, 1 ч) разрушающее напряжение при статическом изгибе стеклокомпозитов на основе эпоксиизоцианатных связующих практически не изменилось (не более 5.3%).
Ключевые слова
Полный текст
Об авторах
С. В. Борисов
Волгоградский государственный технический университет
Автор, ответственный за переписку.
Email: borisov.volgograd@yandex.ru
ORCID iD: 0000-0003-4400-0822
к.т.н.
Россия, 400005, г. Волгоград, пр. им. Ленина, д. 28Н. А. Ярославцев
Волгоградский государственный технический университет
Email: borisov.volgograd@yandex.ru
ORCID iD: 0009-0009-4684-1837
Россия, 400005, г. Волгоград, пр. им. Ленина, д. 28
А. А. Кобелев
Академия Государственной противопожарной службы МЧС России
Email: borisov.volgograd@yandex.ru
ORCID iD: 0000-0003-2957-8685
к.т.н.
Россия, 129366, г. Москва, ул. Бориса Галушкина, д. 4Б. А. Буравов
Волгоградский государственный технический университет
Email: borisov.volgograd@yandex.ru
ORCID iD: 0000-0001-9039-571X
к.х.н.
Россия, 400005, г. Волгоград, пр. им. Ленина, д. 28М. А. Ваниев
Волгоградский государственный технический университет
Email: borisov.volgograd@yandex.ru
ORCID iD: 0000-0001-6511-5835
д.т.н., доцент
Россия, 400005, г. Волгоград, пр. им. Ленина, д. 28П. Э. Соколов
Институт архитектуры и строительства (ИАиС) Волгоградского государственного технического университета
Email: borisov.volgograd@yandex.ru
ORCID iD: 0000-0002-3960-5010
к.т.н., доцент
Россия, 400074, г. Волгоград, ул. Академическая, д. 1Т. К. Акчурин
Институт архитектуры и строительства (ИАиС) Волгоградского государственного технического университета
Email: borisov.volgograd@yandex.ru
ORCID iD: 0000-0003-0410-1995
к.т.н., доцент
Россия, 400074, г. Волгоград, ул. Академическая, д. 1И. А. Новаков
Волгоградский государственный технический университет
Email: borisov.volgograd@yandex.ru
ORCID iD: 0000-0002-0980-6591
д.х.н., академик РАН
Россия, 400005, г. Волгоград, пр. им. Ленина, д. 28Список литературы
- Окольникова Г. Э., Герасимов С. В. Перспективы использования композитной арматуры в строительстве // Экология и строительство. 2015. № 3. С. 14–21. https://www.elibrary.ru/vjsovb
- Борисова Т. А., Зиннуров Т. А., Куклин А. Н. Исследование влияния температурного воздействия на работу стеклопластиковой арматуры в бетонных конструкциях // Изв. Казан. гос. архитектурно-строительного ун-та. 2018. № 2 (44). С. 136–144. https://www.elibrary.ru/xqcnjj
- Хозин В. Г., Гиздатуллин А. Р. Совместимость полимеркомпозитной арматуры с цементным бетоном в конструкциях // Строительные материалы. 2017. № 11. С. 30–38. https://www.elibrary.ru/zwufxj
- Фролов Н. П. Стеклопластиковая арматура и стеклопластобетонные конструкции. М.: Стройиздат, 1980. С 15–18.
- Kapsalis P., Triantafillou T., Korda E., Van Hemelrijck D., Tysmans T. Tensile performance of textile-reinforced concrete after fire exposure: Experimental investigation and analytical approach // J. Compos. Construct. 2022. V. 26. N 1. https://doi.org/10.1061/(ASCE)CC.1943-5614.0001162
- Rajasekharan R., Kitey R. Effect of cross-linking on dynamic mechanical and fracture behavior of epoxy
- variants // Composites. Part B: Engineering. 2016. V. 85. P. 336–342. https://doi.org/10.1016/j.compositesb.2015.09.017
- Клебанов М. С. Эпоксидные смолы для полимерных материалов с повышенной теплостойкостью // Пласт. массы. 2020. № 3–4. С. 60–63. https://doi.org/10.35164/0554-2901-2020-3-4-60-63
- Qi Y., Weng Zh., Kou Y., Li J., Cao Q., Wang J., Zhang S., Jian X. Facile synthesis of bio-based tetra-functional epoxy resin and its potential application as high-performance composite resin matrix // Chinese J. Polym. Sci. 2021. V. 214. 108749. https://doi.org/10.1016/j.compositesb.2021.108749
- Zhang L., Lin J., Sodano H. A. Isocyanurate transformation induced healing of isocyanurate–oxazolidone polymers // J. Appl. Polym. Sci. 2020. V. 137. https://doi.org/10.1002/app.48698
- Симонов-Емельянов И. Д., Зарубина A. Ю., Трофимов А. Н., Суриков П. В., Щеулова Л. К. Особенности реокинетики процесса отверждения диановых эпоксидных олигомеров промышленных марок аминным отвердителем // Вестн. МИТХТ им. М. В. Ломоносова. 2010. Т. 5. № 3. С. 102–107. https://www.elibrary.ru/mtanuf
- Русских Г. И., Башара В. А., Блазнов А. Н. Технология непрерывного формования стеклопластиков: Монография. Бийск: Алтай. гос. техн. ун-т им. И. И. Ползунова, 2016. C. 125–132. https://www.elibrary.ru/zadtoh
- Бляхман Е. М., Литвинова М. Л., Гвадыбадзе Л. Б. Исследование взаимодействия эпоксидного олигомера с диизоцианатом в присутствии третичного амина // Высокомолекуляр. соединения. 1980. Т. 22. № 5. С. 346–349.
- Федосеев М. С., Державинская Л. Ф., Щербань Р. В. Влияние природы эпоксиизоцианатных связующих на термомеханические и адгезионные свойства полимеров и композитов // Материаловедение. 2021. № 2. С. 29–35. https://doi.org/10.31044/1684-579X-2021-0-2-29-35
- Pilawka R., Kowalska J., Czech Z. Effect of 1-substituted imidazole derivatives for the curing process of epoxy-isocyanate composition // Polish J. Chem. Technol. 2013. V. 15. P. 36–41. https://doi.org/10.2478/pjct-2013-0065
- Тигер Р. П., Бадаева И. Г., Бондаренко С. П., Энтелис С. Г. Кинетика и механизм циклической тримеризации изоцианатов на каталитической системе третичный амин–окись алкилена // Высокомолекуляр. соединения. 1977. Т. 19. № 2. С. 419–427.
- Delebecq E., Pascault J.-P., Boutevin B., Ganachaud F. On the versatility of urethane/urea bonds: Reversibility, blocked isocyanate, and non-isocyanate polyurethane // Chem. Rev. 2013. V. 113. N 1. P. 80–118. https://pubs.acs.org/doi/10.1021/cr300195n
Дополнительные файлы












