Полифункциональный модификатор на основе конденсированных соединений азота, фосфора и бора для огнетеплостойких эластомерных материалов
- Authors: Каблов В.Ф.1, Кочетков В.Г.1, Кейбал Н.А.1, Новопольцева О.М.1, Крюкова Д.А.1, Уржумов Д.А.1
-
Affiliations:
- Волгоградский государственный технический университет
- Issue: Vol 97, No 7-8 (2024)
- Pages: 532-539
- Section: Высокомолекулярные соединения и материалы на их основе
- URL: https://bakhtiniada.ru/0044-4618/article/view/277724
- DOI: https://doi.org/10.31857/S0044461824070028
- EDN: https://elibrary.ru/JNEEZV
- ID: 277724
Cite item
Full Text
Abstract
Синтезировано элементоорганическое соединение на основе аминотриметиленфосфоновой кислоты, диэтиленгликоля и борной кислоты N(P(O)(OC2H4OC2H4OB(O~)2 )2)3. Полученный продукт за счет наличия атомов азота и фосфора проявляет адгезионную, термостабилизующую и антипирирующую активность. Исследована возможность применения полученного соединения в качестве модификатора, повышающего огнетеплозащитные характеристики эластомерных материалов, показано улучшение физико-механических показателей вулканизатов на основе СКЭПТ-40 (условная прочность при растяжении, относительное удлинение при разрыве, относительная остаточная деформация) и их стойкость к высокотемпературным воздействиям.
Full Text
Для уменьшения воспламеняемости полимерных материалов часто используют различные соединения, содержащие только галогены, либо фосфор (фосфаты, фосфонаты), либо азот (в основном амины), либо бор (чаще всего бораты), либо металлы в молекулах. В последнее время исследователи все больше обращают внимание на комбинации антипиренов или соединения, включающие эти элементы одновременно, для повышения эффективности снижения горючести материалов [1].
Одним из видов антипиренов являются вспенивающиеся фосфорсодержащие и азотсодержащие системы. Этот класс замедлителей горения способствует образованию на поверхности горящего полимера слоя пенококса, который обеспечивает термоизоляцию полимера и препятствует распространению пламени и образованию продуктов пиролиза [2]. Предполагаемый механизм защиты основан на действии коксового слоя как физического барьера, замедляющего передачу тепла от газовой фазы к конденсированной. Образование коксового слоя при воздействии пламени приводит к уменьшению горючести материала [3].
Антипирены должны не только обладать высокой термостойкостью, но и разлагаться на активные продукты в диапазоне температур термодеструкции соответствующей полимерной матрицы. И наконец, они должны быть экологически безопасными продуктами, не приводящими к загрязнению окружающей среды при тепловом воздействии и в условиях эксплуатации [3].
Синергическое воздействие соединений фосфора и азота обусловлено следующим: азотсодержащие соединения в условиях высокотемпературного воздействия способствуют образованию полифосфорной кислоты, которая действует как дегидратирующий агент и катализатор процессов коксования; фосфоразотсодержащие смеси или их деструкционные продукты разлагаются с выделением воды, углерода и азота, ингибирующих горение в газовой фазе, и образуют термоустойчивые пленки на поверхности материала:
При нагревании антипиренов, содержащих функциональные группы (I), происходят структурные изменения при 300°C, образование неидентифицируемой фазы при 400°C, что указывает на взаимодействие компонентов синергической системы и разложение этих продуктов с эндотермическим эффектом при 500°C.
Комбинация атомов азота, фосфора и бора в составе может значительно повысить термостойкость и огнестойкость материалов. Например, при нагревании фосфор может образовывать защитный углеродный слой, который замедляет процесс горения. При этом азот может способствовать образованию стабильных структур, которые не разлагаются при высоких температурах. Бор в свою очередь может улучшать механическую прочность и термическую стабильность материалов.
При выборе антипиренов предпочтение отдается веществам полифункционального действия, которые, помимо своей основной функции, должны обладать свойствами поверхностно-активных веществ, пластификаторов, вспенивающих агентов, отвердителей или структурообразователей [1].
Одним из перспективных в этом плане веществ является аминотриметиленфосфоновая кислота, применяемая для получения слоистых структур с интеркалированными соединениями,1 в процессах термохимической очистки нефти и для ингибирования процессов коррозии и защиты оборудования [4]. Термолиз растворов аминотриметиленфосфоновой кислоты при температуре более 200°С приводит к появлению соединений фосфора и азота, стимулирующих процессы коксообразования полимерных материалов. Выбор этого соединения обусловлен наличием в его составе азота и реакционноспособных фосфатных групп, позволяющих дополнительно ввести бор.
Цель работы — исследование влияния синтезированного модификатора на комплекс вулканизационных, физико-механических, теплофизических и огнетеплозащитных свойств резин на основе этиленпропилендиенового каучука.
Экспериментальная часть
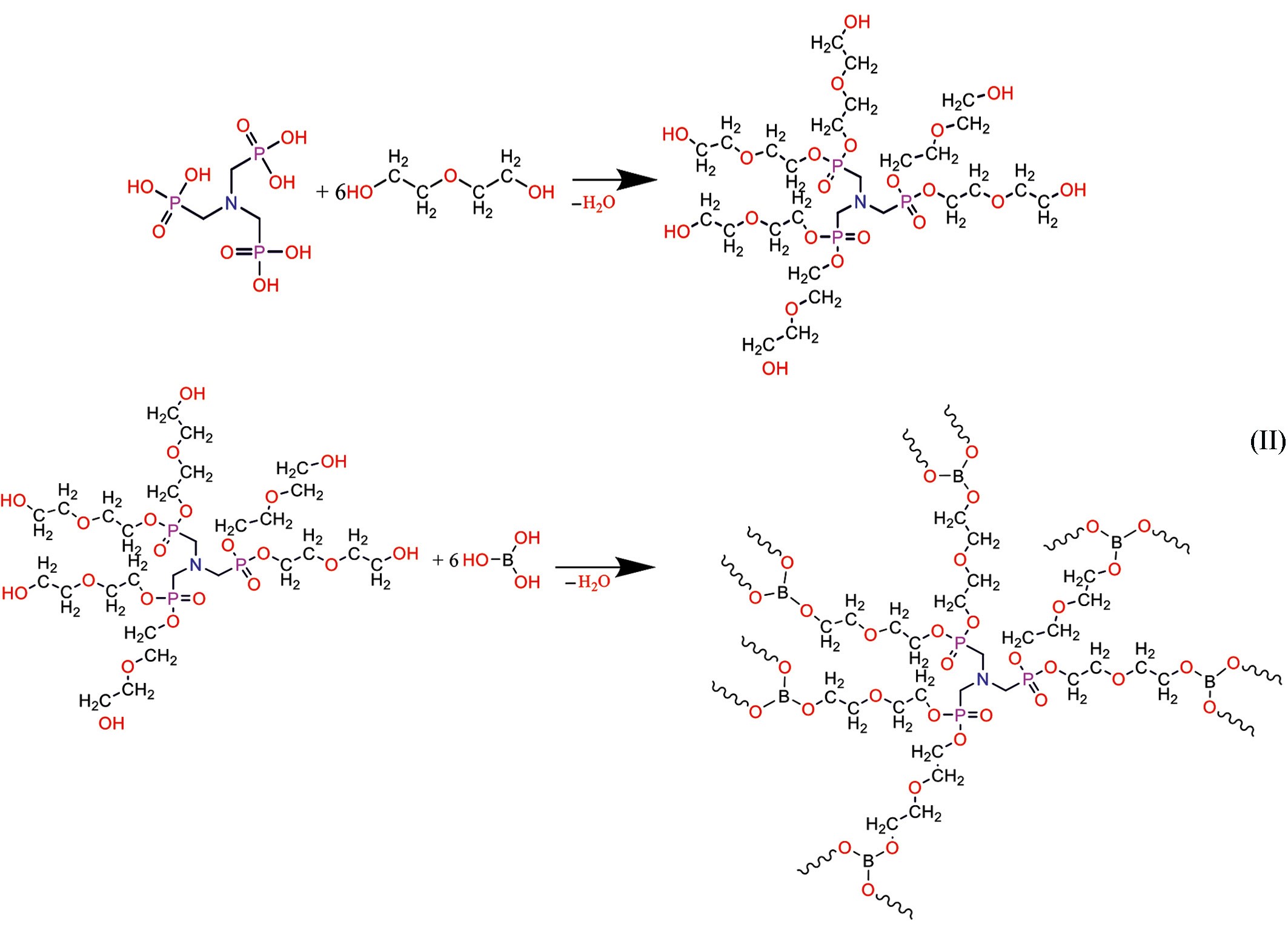
Авторами был синтезирован новый модификатор, представляющий собой продукт взаимодействия аминотриметиленфосфоновой кислоты, диэтиленгликоля и борной кислоты.
Синтез элементоорганического соединения проводили в соответствии со схемой (II). На первой стадии аминотриметиленфосфоновая кислота (95%, кат. номер 72568, Sigma-Aldrich) взаимодействует с диэтиленгликолем (99.99%, кат. номер 8.03131, Sigma-Aldrich) в молярном соотношении 1:6 в течение 3 ч при 135°С. На второй стадии в реакционную массу при 135°С вводится расчетное количество борной кислоты (99.5%, кат. номер B0394, Sigma-Aldrich) в мольном соотношении 1:3, время взаимодействия 2.5 ч. О полноте реакций судили по прекращению изменения коэффициентов вязкости и преломления (рис. 1). При использовании данного мольного соотношения образуется маловязкая желто-оранжевая жидкость с содержанием гидроксильных групп 18%. При растворении этого соединения в воде кристаллы борной кислоты не выпадают. Полученное вещество в ацетоне нерастворимо.
Рис. 1. Зависимость коэффициентов преломления и вязкости продукта взаимодействия аминотриметиленфосфоновой кислоты, диэтиленгликоля и борной кислоты от длительности синтеза
Состав и строение полученных соединений подтверждали с помощью ИК-спектров (ИК-Фурье-спектрометр Nicolet-6700, Thermo Fisher Scientific). В ходе анализа установлено наличие групп —(C—O)2 —P=O (2570–2565 см–1), —B(OR)3 (1380–1375 см–1), —C—N— (1660–1645 см–1).2
Полученный продукт вводили в эластомерную композицию на основе этиленпропилендиенового каучука с серной вулканизующей группой, наполненной 30 мас. ч. белой сажи БС-120 (АО «Русхимсеть»). В качестве образца-сравнения была изготовлена эластомерная композиция, не содержащая модификатора (контрольный образец).
Изготовление в микрорезиносмесителе РС-0.2 (ООО «Полимермаш») и вулканизацию резиновых смесей осуществляли в вулканизационном прессе Carver (LTD Carver) при температуре 165°С в течение 40 мин по методике.3
Определение вулканизационных характеристик резиновых смесей проводили на реометре MDR 3000 Professional (LTD MonTech) по методике4. Когезионную прочность композиций определяли в соответствии с методикой5, определение упругопрочностных свойств резин — по методике6. Для оценки сохранения работоспособности эластомерных огнетеплозащитных материалов при повышенных температурах (75–150°С) осуществлялось определение упругопрочностных свойств с помощью разрывной машины Shimadzu AG-X Plus (LTD Shimadzu), дополнительно оснащенной термокамерой. Испытания на стойкость к термическому старению резин выполняли согласно методике7. Для оценки огне- и теплостойкости образцов определяли следующие параметры: зависимость температуры на необогреваемой поверхности образца от времени воздействия открытого пламени плазмотрона, стойкость к термоокислительной деструкции8 и скорость линейного горения9. При кратковременном высокотемпературном прогреве на поверхности образца создавалась температура ~2000°С.
Степень диспергирования микроволокна в эластомерной матрице оценивали с помощью диспертестера Disper Tester 3000 Plus (LTD MonTech).
Исследование влияния содержания модификатора на адгезионные свойства композиции проводили по методике10, образцы склеивали стандартным клеевым составом на основе полихлоропрена (88СА, АО «Новбытхим»).
Величину коксового остатка и тепловыделения определяли методами дифференциального термического и термогравиметрического анализа (дериватограф Q-1500 D, МОМ).
Обсуждение результатов
Введение синтезированного модификатора практически не влияет на реометрические характеристики материала (минимальный и максимальный крутящие моменты, индукционный период, показатель скорости вулканизации), однако при содержании более 10 мас. ч. происходит снижение максимального крутящего момента и уменьшение оптимального времени вулканизации (табл. 1). Также наблюдается увеличение эффекта Пейна, что может свидетельствовать о появлении структур типа «сетка в сетке». Влияние модификатора на условную прочность при растяжении носит экстремальный характер с максимумом при содержании 3–5 мас. ч. (увеличение по сравнению с контрольным образцом на 63–72%), что может быть связано с пластифицирующим действием модификатора (увеличение относительного удлинения при разрыве на 8–17%).
Таблица 1. Влияние содержания синтезированного продукта взаимодействия аминотриметиленфосфоновой кислоты, диэтиленгликоля и борной кислоты на вулканизационные, физико-механические показатели и огнетеплозащитные свойства композиции
Показатель | Шифр образца* | ||||
контрольный образец | АФБ-3 | АФБ-5 | АФБ-10 | АФБ-15 | |
Содержание модификатора, мас. ч. на 100 мас. ч. каучука | 0 | 3 | 5 | 10 | 15 |
Характеристики резиновых смесей | |||||
Разность максимального и минимального крутящих моментов, Н·м | 1.63 | 1.67 | 1.57 | 1.46 | 1.10 |
Индукционный период, мин | 1.90 | 1.82 | 1.57 | 1.92 | 1.74 |
Оптимальное время вулканизации, мин | 28.52 | 23.48 | 22.40 | 21.62 | 17.61 |
Показатель скорости вулканизации, мин–1 | 0.02 | 0.02 | 0.02 | 0.02 | 0.02 |
Эффект Пейна, кПа | 85.87 | 72.91 | 94.21 | 104.57 | 114.38 |
Когезионная прочность композиции, кН·м–1 | 0.836 | 0.825 | 0.837 | 0.843 | 0.839 |
Свойства вулканизатов (вулканизация 165°С, 40 мин) | |||||
Условная прочность при растяжении, МПа | 10.3 | 17.74 | 16.79 | 12.47 | 10.56 |
Относительное удлинение при разрыве, % | 643 | 603 | 640 | 650 | 705 |
Относительное остаточное удлинение после разрыва, % | 20 | 13 | 15 | 15 | 18 |
Плотность, кг·м–3 | 1060 | 1029 | 1035 | 1041 | 1049 |
Прочность при склеивании резин на основе СКЭПТ-40, МПа | 0.63 | 0.74 | 0.85 | 0.88 | 0.82 |
Изменение показателей после теплового старения (125°С, 72 ч) | |||||
∆fp, % | –10.9 | –44.64 | –4.65 | 2.57 | 14.39 |
∆ε, % | –49.55 | –56.55 | –43.44 | –44.36 | –43.64 |
Теплозащитные и теплофизические свойства вулканизатов | |||||
Время прогрева необогреваемой поверхности образца до 100°С, с | 140 | 160 | 185 | 220 | 225 |
Скорость линейного горения, мм·с–1 | 0.688 | 0.448 | 0.425 | 0.412 | 0.401 |
Коксовый остаток, % | 19.68 | 22.22 | 22.99 | 29.17 | 20.00 |
* Контрольный образец — образец без модификатора; образцы, содержащие продукт взаимодействия аминотриметиленфосфоновой кислоты, диэтиленгликоля и борной кислоты в количестве: АФБ-3 — 3 мас. ч., АФБ-5 — 5 мас. ч., АФБ-10 — 10 мас. ч., АФБ-15 — 15 мас. ч.
Увеличение содержания синтезированного модификатора положительно влияет на стойкость полимерной композиции к термоокислительному старению — происходит дополнительное структурирование. Это согласуется с уменьшением молекулярной массы между двумя поперечными сшивками (табл. 2). Как показали исследования, введение модификатора положительно влияет на физико-механические свойства материала в этих условиях (табл. 3).
Таблица 2. Величина молекулярной массы между двумя поперечными сшивками, ∙ 105, моль · см–3 в зависимости от содержания продукта взаимодействия аминотриметиленфосфоновой кислоты, диэтиленгликоля и борной кислоты и условий старения
Шифр образца* | Содержание продукта, мас. ч. на 100 мас. ч. каучука | Исходный образец | 8 мин, 75°С | 8 мин, 125°С | 8 мин, 150°С | 72 ч, 125°С |
Контрольный образец | 0 | 5.57 | 5.96 | 6.38 | 6.82 | 7.30 |
АФБ-3 | 3 | 6.09 | 6.07 | 5.57 | 5.40 | 6.28 |
АФБ-5 | 5 | 5.57 | 5.71 | 5.27 | 5.33 | 6.30 |
АФБ-10 | 10 | 5.40 | 4.91 | 5.19 | 5.09 | 6.19 |
АФБ-15 | 15 | 4.70 | 4.77 | 4.78 | 5.10 | 6.28 |
* Контрольный образец — образец без модификатора; образцы, содержащие продукт взаимодействия аминотриметиленфосфоновой кислоты, диэтиленгликоля и борной кислоты в количестве: АФБ-3 — 3 мас. ч., АФБ-5 — 5 мас. ч., АФБ-10 — 10 мас. ч., АФБ-15 — 15 мас. ч.
Таблица 3. Изменение условной прочности при растяжении и относительного удлинения при разрыве при различных температурах испытания
Шифр образца* | Условная прочность при растяжении, МПа | Относительное удлинение при разрыве, % | ||||
75°С | 125°С | 150°С | 75°С | 125°С | 150°С | |
Контрольный образец | 3.44 | 2.51 | 2.06 | 278 | 188 | 123 |
АФБ-3 | 3.87 | 2.87 | 3.00 | 203 | 138 | 146 |
АФБ-5 | 4.03 | 2.01 | 2.79 | 269 | 131 | 161 |
АФБ-10 | 3.85 | 3.08 | 2.18 | 245 | 179 | 130 |
АФБ-15 | 2.93 | 1.73 | 1.60 | 262 | 138 | 118 |
* Контрольный образец — образец без модификатора; образцы, содержащие продукт взаимодействия аминотриметиленфосфоновой кислоты, диэтиленгликоля и борной кислоты в количестве: АФБ-3 — 3 мас. ч., АФБ-5 — 5 мас. ч., АФБ-10 — 10 мас. ч., АФБ-15 — 15 мас. ч.
Технология изготовления огнетеплозащитных материалов предусматривает многослойность готового изделия, обеспечение прочной связи между слоями достигается за счет использования соответствующего промотора адгезии. Наличие в составе соединения азота позволяет ожидать адгезионной активности продукта, который может вступать во взаимодействие с макромолекулами пленкообразующего полимера.
Введение модифицирующей добавки увеличивает адгезионную прочность. Наибольшая адгезионная прочность достигается при склеивании клеем 88 СА резин на основе этиленпропиленового каучука с добавлением в рецептуру модификатора в количестве 5–10 мас. ч. Дальнейшее увеличение содержания модификатора не оказывает существенного влияния на прочностные характеристики, что может быть связано с ослаблением диффузионного характера взаимодействия адгезива и субстрата.
Синтезированный модификатор в эластомерном материале также может играть роль соагента адгезии, способствующего усилению прочности связи в системе клей–эластомер. При этом его присутствие улучшает диффузионные процессы при склеивании.
Наличие в составе продукта атомов азота и фосфора определяет интумесцентные свойства [3, 5]. Равномерное распределение модификатора в эластомерной матрице позволяет создавать более плотный и мелкопористый слой в предпиролизной зоне, приводящий к увеличению общего количества пор (рис. 2) и повышению огнетеплозащитной эффективности материала.
Рис. 2. Распределение пор по диаметрам в образцах. 1 — контрольный образец, без модификатора; образцы, содержащие продукт взаимодействия аминотриметиленфосфоновой кислоты, диэтиленгликоля и борной кислоты в количестве: 2 — 3 мас. ч., 3 — 5 мас. ч., 4 — 10 мас. ч., 5 — 15 мас. ч.
Как показали результаты дифференциального термического и термогравиметрического анализа, происходит увеличение площади эндотермического пика, характеризующего количество энергии, пошедшее на физико-химические процессы в образце (реакции циклизации, процессы возгонки), замедляющие процесс деструкции полимерной матрицы [6–8], и уменьшение потери массы образа (рис. 3).
Рис. 3. Кривые дифференциального термического (1 – 3) и термогравиметрического (1ʹ – 3ʹ) анализа. 1 — контрольный образец, без модификатора; образцы, содержащие продукт взаимодействия аминотриметиленфосфоновой кислоты, диэтиленгликоля и борной кислоты в количестве: 2 — 5 мас. ч., 3 — 15 мас. ч.
В отсутствие скоростного теплового потока за счет наличия модификатора происходит образование более плотной коксовой структуры, что препятствует уносу массы вещества (кривые термогравиметрического анализа образцов АФБ-5 и АФБ-15 лежат выше кривой контрольного образца).
Выводы
Синтезирован продукт взаимодействия аминотриметиленфосфоновой кислоты, диэтиленгликоля и борной кислоты, позволяющий улучшить огнетеплозащитные и адгезионные характеристики эластомерных огнетеплозащитных материалов. Показано, что его введение в композицию способствует увеличению коксового остатка на 13–48% и времени прогрева необогреваемой поверхности образца при высотемпературном воздействии на 14–60%, уменьшению скорости линейного горения при сохранении физико-механических характеристик, в том числе в условиях повышенных температур.
Финансирование работы
Работа выполнена при финансировании Министерства науки и высшего образования Российской Федерации в рамках государственного задания (шифр проекта FZUS-2024-0013) и стипендии Президента Российской Федерации молодым ученым и аспирантам (СП-1507.2022.1).
Конфликт интересов
Авторы заявляют об отсутствии конфликта интересов, требующего раскрытия в данной статье.
Информация о вкладе авторов
В. Ф. Каблов — выдвинул основные идеи, определял физико-механические характеристики исследуемых композиций; В. Г. Кочетков, Д. А. Уржумов — проведение синтеза исследуемого соединения; Д. А. Крюкова — определяла огнетеплозащитные характеристики исследуемых композиций; О. М. Новопольцева — проведение реометрических испытаний исследуемых композиций; Н. А. Кейбал — проведение синтеза исследуемого соединения и исследований влияния добавок синтезированного вещества на адгезионные свойства эластомерных композиций.
1 Müller T. J. J., Bunz U. H. F. Functional Organic Materials: Syntheses, Strategies and Applications. Wiley, 2007. Р. 387–410.
2 Тарасевич Б. Н. ИК спектры основных классов органических соединений. М.: МГУ, 2012. С. 29, 45–46.
3 ГОСТ 30263–96. Смеси резиновые для испытания. Приготовление, смешение и вулканизация. Оборудование и методы.
4 ASTM D 2084–79. Standard test method for rubber property — vulcanization using oscillating disk cure meter.
5 ISO 9026:2007. Каучук или резиновые смеси. Определение когезионной прочности.
6 ГОСТ ISO 37–2020. Резина и термоэластопласты. Определение упругопрочностных свойств при растяжении.
7 ГОСТ 9.024–74. Единая система защиты от коррозии и старения. Резины. Методы испытаний на стойкость к термическому старению.
8 ОСТ 92-0903–78. Материалы неметаллические теплозащитного и конструкционного назначения. Методы определения технологических и физико-химических характеристик.
9 ГОСТ 12.1.044–2018. Система стандартов безопасности труда. Пожаровзрывоопасность веществ и материалов. Номенклатура показателей и методы их определения.
10 ГОСТ Р 57834–2017. Композиты полимерные. Метод определения прочности при сдвиге клеевого соединения.
About the authors
Виктор Фёдорович Каблов
Волгоградский государственный технический университет
Email: vg.kochetkov@mail.ru
ORCID iD: 0000-0002-2970-6109
д.т.н., проф.
Russian Federation, ВолжскийВладимир Григорьевич Кочетков
Волгоградский государственный технический университет
Author for correspondence.
Email: vg.kochetkov@mail.ru
ORCID iD: 0000-0002-9829-0135
к.т.н., доц.
Russian Federation, ВолжскийНаталья Александровна Кейбал
Волгоградский государственный технический университет
Email: vg.kochetkov@mail.ru
ORCID iD: 0000-0002-7168-7087
д.т.н., проф.
Russian Federation, ВолжскийОксана Михайловна Новопольцева
Волгоградский государственный технический университет
Email: vg.kochetkov@mail.ru
ORCID iD: 0000-0003-0622-7073
д.т.н., проф.
Russian Federation, ВолжскийДарья Алексеевна Крюкова
Волгоградский государственный технический университет
Email: vg.kochetkov@mail.ru
ORCID iD: 0000-0003-3789-7002
к.т.н.
Russian Federation, ВолжскийДаниил Александрович Уржумов
Волгоградский государственный технический университет
Email: vg.kochetkov@mail.ru
ORCID iD: 0009-0002-0461-9321
Russian Federation, Волжский
References
- Hilado C. J. Flame retardants New York: Technomic Publ. Co., 1974. Р. 11–15.
- Шаталин C. C., Варламов А. В., Зыбина О. А., Мнацаканов С. С. О связующих в огнезащитных вспучивающихся композициях // Дизайн. Материалы. Технология. 2014. № 34. С. 52–54. h ttps://www.elibrary.ru/tcywfh
- Богданова В. В., Кобец О. И. Исследование влияния термических превращений компонентов вспениваемых композиций на их огнетермозащитные свойства // Горение и взрыв. 2020. Т. 13. № 4. С. 108–115. https://doi.org/10.30826/CE20130411
- Жилин И. А., Чаусов Ф. Ф., Ломова Н. В., Казанцева И. С., Исупов Н. Ю., Аверкиев И. К. Влияние хелатного комплекса нитрило-трис-метиленфосфоновой кислоты с медью на коррозионно-электрохимическое поведение углеродистой стали в водной среде // ЖПХ. 2023. Т. 96. № 2. С. 184–199. https://doi.org/10.31857/S004446182302007X [Zhilin I. A., Chausov F. F., Lomova N. V., Kazantseva I. S., Isupov N. Yu., Averkiev I. K. Impact of the chelate complex of nitrilotris(methylenephosphonic acid) with copper on the corrosion-electrochemical behavior of carbon steel in an aqueous medium // Russ. J. Appl. Chem. 2023. V. 96. N 2. P. 176–189. https://doi.org/10.1134/s1070427223020089].
- Kablov V. F., Novopoltseva О. M., Kryukova D. A., Keibal N. A., Burmistrov V. V., Kochetkov V. G. Functionally active microheterogeneous systems for elastomer fire- and heat-protective materials // Molecules. 2023. N 28 (13). https://doi.org/10.3390/molecules28135267
- Zaikov G. E., Kalugina E. V., Gumargalieva K. Z. Fundamental regularities of thermal oxidation of heat-resistant heterochain polymers — thermal stability of engineering heterochain thermoresistant polymers. London: CRC Press, 2004. P. 165–180. https://doi.org/10.1201/b12192
- Wang Zh., Kong Q., Jiang P. Research progress of rubber expansive flame retardant // Polym. Mater. Sci. Technol. Eng. 2012. V. 28. N 4. Р. 160–163.
- Quagliano J., Ross P. G., Sanches N. B., Pinto J., Dutra J. Evaluation of elastomeric heat shielding materials as insulators for solid propellant rocket motors: A short review // Open Chem. 2020. V. 18. N 1. P. 1452–1467. https://doi.org/10.1515/chem-2020-0182
Supplementary files







