Разработка технологической схемы получения изоапиола со стадией ректификации
- Авторы: Русак В.В.1, Козлов М.А.1, Чартов Э.М.1, Ушкаров В.И.1, Самет А.В.1, Семенов В.В.1
-
Учреждения:
- Институт органической химии им. Н. Д. Зелинского РАН
- Выпуск: Том 97, № 3 (2024)
- Страницы: 251-257
- Раздел: Органический синтез и технология органических производств
- URL: https://bakhtiniada.ru/0044-4618/article/view/265094
- DOI: https://doi.org/10.31857/S0044461824030083
- EDN: https://elibrary.ru/VHKYZE
- ID: 265094
Цитировать
Полный текст
Аннотация
Разработан метод синтеза изоапиола ((E)-4,7-диметокси-5-(проп-1-ен-1-ил)бензо[d]1,3-диоксола) изомеризацией апиола со стадией ректификации. В качестве катализатора использован KОН. Определены оптимальные параметры процесса изомеризации: температура реакции 80°С, продолжительность реакции 3 ч, концентрация катализатора 1 мас%. Определена зависимость упругости насыщенных паров от температуры для индивидуальных веществ. Исследованы фазовые равновесия жидкость–пар в бинарных смесях апиол–изоапиол. На основании полученных данных рассчитан средний коэффициент относительной летучести. Представлена технологическая схема получения изоапиола.
Полный текст
Выделение практически значимых компонентов из возобновляемых природных источников на основе сельскохозяйственного сырья является перспективной задачей современной химической технологии. Одним из перспективных направлений является экстракция жидким или сверхкритическим CO2 семян различных сельскохозяйственных культур. СО2-экстракты петрушки и укропа содержат смеси различных полиалкоксибензолов [1–3], которые могут быть выделены в виде индивидуальных веществ. В частности, некоторые экстракты семян растений петрушки посевной (Petroselinum sativum Hoffm.) содержат 5-аллил-4,7-диметоксибензо[d][1, 3]-диоксол (апиол) в концентрации 50–75 мас% [4, 5].
Ранее нами совместно с ООО «Компания Караван» была показана возможность CО2-экстракции эфирного масла и выделения из него ряда полиалкоксибензолов методом ректификации. СО2-экстракт с содержанием апиола (I) 70–75 мас% был получен из измельченных семян Petroselinum sativum Hoffm. сорта корневая «Сахарная». В условиях стендовой установки Института органической химии им. Н. Д. Зелинского РАН проведена ректификация СО2-экстракта. В результате получен апиол (I) с содержанием основного вещества не менее 98 мас% [5]. Такой подход обусловлен низкой стоимостью исходного сырья, тогда как известные синтетические пути требуют дорогих реагентов и проходят не менее чем в 6 стадий [6]. Таким образом, выделение апиола из растительного сырья в данном случае выглядит явно более предпочтительным, чем его химический синтез.
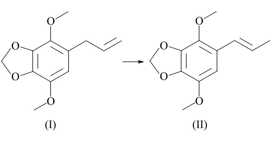
Благодаря наличию активной аллильной группы и ароматического кольца полиалкоксиаллилбензолы (в частности, апиол) могут использоваться в качестве исходных реагентов для органического синтеза [7, 8], в том числе для получения ряда биологически активных соединений, обладающих противоопухолевым и антиоксидантным действием [9, 10]. Промежуточным продуктом в синтезе этих соединений является (E)-4,7-диметокси-5-(проп-1-ен-1-ил)бензо[d]1,3-диоксол (изоапиол), получаемый изомеризацией апиола (III):
Разработка технологической схемы получения изоапиола (II) с использованием ректификации для масштабирования процесса включает определение длительности и температуры реакции, концентрации катализатора, а также расчет параметров ректификационной колонны.
Цель исследования — разработка метода синтеза изоапиола изомеризацией апиола с использованием ректификации.
Экспериментальная часть
Спектры 1Н ЯМР получены на спектрометре Bruker DRX-500 (500.13 МГц) в СDCl3, внутренний стандарт Me4Si (δ = 0.00 м. д.). Количественный анализ продуктов реакции, состава равновесных жидкой и паровой фаз выполняли на газожидкостном хроматографе ЛХМ-80 (ОАО «Хроматограф») с пламенно-ионизационным детектором и кварцевой капиллярной колонкой 50 м, с нанесенной неподвижной фазой XE-60, температура испарителя и детектора 250°С, температура термостата колонки 130°С, режим изотермический, объем вводимой пробы 0.1 мкл, в качестве газа-носителя использовали гелий, расход 1.9 мл·мин–1, сброс 1:20. Хроматографические данные записывали и обрабатывали с помощью модуля Waters-740 (Waters).
В работе использовали апиол, полученный в Институте органической химии им. Н. Д. Зелинского РАН по методике [5], гидроксид калия KOH (АО «ЭКОС-1», х.ч.), гидроксид натрия NaOH (АО «ЭКОС-1», х.ч.), 2-пирролидон (ООО ТД «ХИММЕД», кат. № 73694, ч.)
Оптимизацию изомеризации апиола проводили по следующим параметрам: температура, концентрация катализатора и длительность реакции. В качестве катализатора использовали KОН или NaOH. При этом определяли количество образовавшихся смол.
Изоапиол. В трехгорлую колбу, снабженную механической мешалкой, обратным холодильником, термометром и нагревательной баней, помещали апиол 22.2 г (0.1 моль) и катализатор. Концентрацию катализатора в опытах варьировали от 0.5 до 5.0 мас% от загруженного апиола. В серии опытов реакционную массу нагревали при различных температурах 50–150°С в течение временных промежутков 1–5 ч соответственно. Реакционную массу перегоняли при 1–2 мм рт. ст. при температуре 100–140°C и определяли количество отгона и кубового остатка.
Aпиол 1H ЯМР (CDCl3, 500 MГц): 3.30 д (J = 6.8 Гц, 2Н, CH2); 3.85, 3.88 оба с (по 3H, OMe); 5.04 уш.д (2H, H2C═); 5.93 м (1H, НС═); 5.95 с (2H, OCH2O); 6.30 с (1H, H-6).
Изоапиол 1H ЯМР (CDCl3, 500 MГц): 1.87 д.д (J = 6.6 Гц, J = 1.8 Гц, 3Н, CH3); 3.87, 3.88 оба с (по 3H, OMe); 5.95 с (2H, OCH2O); 6.10 д.к (1H, J = 15.8 Гц, J = 6.6 Гц, HC═); 6.56 с (1H, H-6); 6.57 д.к (1H, J = 15.8 Гц, J = 1.8 Гц, HC═).
Содержание веществ, анализ равновесных фаз и соотношение апиол:изоапиол (мас%) подтверждали методом газожидкостной хроматографии (ГЖХ). Время удерживания (tR) индивидуальных веществ определяли для апиола и изоапиола с содержанием основного вещества не менее 99 мас%. Для апиола и изоапиола время удерживания составило 7.25 и 8.36 мин соответственно. В качестве внутреннего стандарта использовали 2-пирролидон. Подготовку проб для внутреннего стандарта проводили с использованием аналитических весов ViBRA HT-224RCE (VIBRA). Поправочный коэффициент (ki) для бинарных смесей равен единице [5].
Зависимость упругости насыщенного пара от температуры индивидуальных веществ и фазовые равновесия жидкость–пар в бинарных смесях апиол–изоапиол изучали при остаточном давлении 2 мм рт. ст. на циркуляционном приборе Джиллеспи1 раздельной циркуляцией жидкой и паровой фаз. Прибор снабжен системой для поддержания вакуума, включающей вакуумный насос, маностат, ртутный манометр и ловушку с жидким азотом. Температуру кипения веществ измеряли с точностью 0.1°С, давление поддерживали с точностью до 0.5 мм рт. ст. На основании экспериментальных данных зависимости упругости насыщенного пара от температуры рассчитаны коэффициенты уравнения Калингерта–Дэвиса.
Расчет технологических параметров стадии ректификации проводили методом Фенске–Андервуда–Джиллилэнда. Термодинамическую проверку экспериментальных данных проводили с использованием уравнения Дюгема–Маргулиса.2 Среднее отклонение расчетных и экспериментальных составов паровой фазы не превышало 2%.
В условиях стендовой установки Института органической химии им. Н. Д. Зелинского РАН была проведена серия балансовых опытов по изомеризации апиола и выделению изоапиола ректификацией. Наработку проводили в трехгорлой колбе емкостью 2 л, снабженной механической мешалкой, обратным холодильником, термометром и нагревательной баней. В колбу последовательно загружали апиол 1210.1 г (5.45 моль) и KОН 12.1 г (0.22 моль). Изомеризацию проводили при температуре 80°С в течение 3 ч, затем реакционную массу отгоняли на роторном испарителе ИРМ-8 (Специальное конструкторское бюро Института органической химии им. Н. Д. Зелинского АH СССР) при остаточном давлении 1–2 мм рт. ст. и температуре 120–130°С. Кубовой остаток 19.2 г, содержащий KОН, возвращали на стадию изомеризации, а отгон 1200.3 г загружали в куб ректификационной колонны. Ректификацию проводили при остаточном давлении 1–2 мм рт. ст. на колонне периодического действия производительностью 0–1000 г·ч–1, снабженной стеклянным кубом объемом 3 л, головкой полной конденсации и системой отбора фракций под вакуумом. Колонна насадочная (высота насадочного слоя 2 м) со стеклянными царгами и термокомпенсационным нагревом, внутренний диаметр 40 мм, насадка — спирально-призматическая из нержавеющей стали 08Х18Н10Т размером 2 × 2 мм. Мощности кубового нагревателя и термокомпенсационного нагрева царг вариабельны и составляют 0–2000 и 0–1000 Вт соответственно. Эффективность колонны 15 теоретических тарелок определяли по эталонной смеси бензол–четыреххлористый углерод при атмосферном давлении. Процесс ректификации проводили при флегмовых числах 2–4. Отбиралась 1 фракция при температуре кипения в вакууме 110–134°С/1–2 мм рт. ст. Фракция 1 288.4 г, содержавшая апиол 89.3 мас% и изоапиол 10.7 мас%, была направлена на стадию изомеризации. Кубовой остаток 910.9 г содержал изоапиол 99.7 мас% c Ткип = 136.6°С/1–2 мм рт. ст. Выход 75.3%.
Обсуждение результатов
Ранее при изомеризации апиола в изоапиол использовалось добавление межфазного катализатора (тетрабутиламмоний бромид) с последующей перекристаллизацией продукта, необходимой для его очистки от примеси катализатора [11, 12]. Также применялся катализ переходными металлами и использование растворителей для выделения и перекристаллизации конечного продукта [13]. В настоящей работе показано, что в добавлении этих катализаторов, а также растворителей нет необходимости. Высокий выход и содержание основного вещества (99 мас%) в целевом продукте достигаются при использовании каталитических количеств KОН и проведении стадии ректификации.
В экспериментах, где количество смол <1 мас%, концентрация KОН не превышает 1.0 мас%, но при этом соотношение апиол:изоапиол составляет 60:40–20:80 мас% (табл. 1). При увеличении концентрации KОН наблюдалось смещение процесса в сторону изоапиола, но при этом наблюдали значительное осмоление реакционной массы. Увеличение температуры реакции >80°C, как и увеличение длительности реакции >3 ч, также способствует осмолению продуктов реакции. Следует отметить, что при использовании в качестве катализатора гидроксида натрия (NaOH) превращение апиола в изоапиол не происходит.
Таблица 1. Оптимизация процесса изомеризации апиола
Температура, °C | Длительность реакции, ч | Концентрация катализатора, мас% | Соотношение апиол:изоапиол, мас% | Смолы, мас% |
50 | 3 | 1.5 | 60:40 | <1 |
70 | 3 | 1.5 | 20:80 | 3 |
80 | 3 | 1.5 | 15:85 | 5 |
90 | 3 | 1.5 | 10:90 | 13 |
100 | 3 | 1.5 | 2:98 | 18 |
150 | 3 | 1.5 | 1:99 | 30 |
80 | 3 | 0.5 | 30:70 | <1 |
80 | 3 | 0.8 | 25:75 | <1 |
80 | 3 | 1.0 | 20:80 | <1 |
80 | 3 | 1.2 | 20:80 | 2 |
80 | 3 | 1.8 | 2:98 | 6 |
80 | 3 | 2.5 | 1:99 | 10 |
80 | 3 | 5.0 | 1:99 | 15 |
70 | 1 | 1.5 | 50:50 | <1 |
70 | 2 | 1.5 | 30:70 | <1 |
70 | 3.5 | 1.5 | 12:88 | 6 |
70 | 5 | 1.5 | 1:99 | 15 |
80 | 3 | 2.5* | 100:0 | <1 |
100 | 5 | 5.0* | 100:0 | <1 |
* В качестве катализатора использован NaOH.
Таким образом, температура 80°C, концентрация катализатора (KОН) 1 мас%, время реакции 3 ч являются оптимальными условиями процесса изомеризации апиола в изоапиол.
Так как соотношение апиол:изоапиол в этих условиях составляет 20:80 мас%, то для получения изоапиола с содержанием основного вещества не менее 99 мас% необходимо применение ректификации продуктов реакции. В литературе отсутствуют достоверные данные по зависимостям упругости насыщенного пара от температуры для апиола и изоапиола, значения коэффициентов уравнений Калингерта–Дэвиса, а также данные по фазовым равновесиям жидкость–пар, необходимые для параметров процесса ректификации.
Измерения упругости насыщенного пара в зависимости от температуры (табл. 2) проводили для апиола и изоапиола с содержанием основного вещества 99 мас%, полученных по описанной выше методике.
Таблица 2. Зависимость упругости насыщенного пара от температуры для апиола и изоапиола
Давление p, мм рт. ст. | Ткип, °С | |
апиол | изоапиол | |
1 | 100.6 | 121.1 |
2 | 114.6 | 136.6 |
5 | 135.1 | 156.2 |
10 | 147.9 | 176.3 |
20 | 163.8 | 191.9 |
25 | 169.6 | 198.4 |
Разница температур кипения для апиола и изоапиола в интервале давлений 1–25 мм рт. ст. составляет 20.5–28.8°С. Рассчитаны коэффициенты уравнения Калингерта–Дэвиса: для апиола А = 18.875, В = –6250.018 и изоапиола А = 18.01629, В = –6333.3.
Фазовые равновесия жидкость–пар (табл. 3) исследовали в изобарных условиях. При остаточном давлении 2 мм рт. ст. азеотропы в смесях нами не обнаружены. Рассчитанные коэффициенты относительной летучести α имеют значения 2.71–2.77, что свидетельствует о возможности применения ректификации для разделения смеси с параметрами, приемлемыми для масштабирования процесса.
Таблица 3. Фазовые равновесия жидкость–пар в бинарных смесях aпиол–изоапиол при давлении 2 мм рт. ст.
Температура кипения смеси, °С | Жидкость, апиол, мас% | Пар, апиол, мас% | α |
135.0 | 10.1 | 18.2 | 2.71 |
134.8 | 19.8 | 35.0 | 2.72 |
131.5 | 29.3 | 53.7 | 2.73 |
129.4 | 45.1 | 67.3 | 2.74 |
128.3 | 55.5 | 73.4 | 2.74 |
125.9 | 69.2 | 79.8 | 2.75 |
124.3 | 82.5 | 90.3 | 2.75 |
119.8 | 92.1 | 96.4 | 2.77 |
На основании исследований фазовых равновесий жидкость–пар в бинарных смесях апиол–изоапиол рассчитано среднее значение коэффициента относительной летучести αср = 2.74. Проведен расчет технологических параметров ректификации смеси: значений минимального (Rмин = 1.4) и рабочего (Rраб = = 2.5) флегмовых чисел; минимального (Nт.тмин = 6.7) и рабочего (Nт.траб = 12) количества теоретических тарелок — для получения изоапиола с содержанием основного вещества 99 мас%. На основании экспериментальных данных и расчетов процесса предложена технологическая схема (см. рисунок) для получения изоапиола, включающая ректификационную колонну периодического действия.
Технологическая схема изомеризации и ректификации изоапиола.
1 — реактор изомеризации, 2 — шнековый дозатор, 3 — роторный испаритель, 4 — куб ректификационной колонны, 5 — ректификационная колонна, 6 — холодильник-дефлегматор, 7 — делитель флегмы, 8 — холодильник, 9 — мерный сборник.
В реактор 1 (аппарат емкостной, стальной, снабженный мешалкой, загрузочным люком и рубашкой для подогрева) при перемешивании загружали апиол и через шнековый дозатор 2 KОН. Нагрев реакционной массы при температуре 80°С проводили в течение 3 ч. Затем реакционную массу направляли на роторный испаритель 3, где происходило отделение кубового остатка, содержащего KОН, который возвращали на стадию изомеризации, а отгон (соотношение апиол:изоапиол — 20:80 мас%) направляли в куб ректификационной колонны 4 (аппарат емкостной, стальной, снабженный мешалкой, загрузочным люком и рубашкой для подогрева). На колонне 5 (колонна ректификационная, насадочная, эффективностью не менее 12 теоретических тарелок) проводили ректификацию реакционной смеси. Полученную в голове колонны фракцию, обогащенную апиолом, направляли на стадию изомеризации. Кубовой остаток с содержанием изоапиола не менее 99 мас% направляли для последующего использования или хранения. В данной технологической схеме не указаны объемы и производительность технологического оборудования. Данные параметры определяют после оценки потребления изоапиола.
Преимущества данного процесса заключаются в следующем: исходный апиол получен из растительного, возобновляемого сырья; отсутствуют дорогостоящие и малодоступные реагенты; использован рецикл катализатора (KОН) и непрореагировавшего апиола.
Выводы
Предложенный метод получения изоапиола изомеризацией апиола с последующей стадией ректификации реакционной массы имеет значительные преимущества перед традиционными методами синтеза. Проведенные эксперименты показали нецелесообразность достижения полной конверсии апиола в изоапиол путем увеличения количества катализатора, температуры и продолжительности процесса, так как при этом происходит накопление смол, что приводит к общему снижению выхода целевого продукта и возрастанию количества отходов. В технологическом отношении более целесообразным оказалось по достижении определенного соотношения апиол:изоапиол проводить ректификацию смеси. Отсутствие возможности замены используемого KОН более дешевым NaOH, в присутствии которого реакция не проходила, говорит о необходимости продолжать исследования в области поиска более дешевых и эффективных катализаторов изомеризации.
Таким образом, разработанный метод получения изоапиола из растительного сырья представляется удобным и экономически целесообразным c учeтом простоты технологической реализации процесса по сравнению c методами, включающими использование межфазных или металлокомплексных катализаторов. Следует также отметить, что предложенная технологическая схема максимально замкнута и характеризуется минимальным количеством химических отходов производства.
Финансирование работы
Работа выполнена при финансовой поддержке Российского научного фонда (проект 24-23-00109).
Конфликт интересов
Авторы заявляют об отсутствии конфликта интересов, требующего раскрытия в данной статье.
Информация о вкладе авторов
В. В. Русак — проведение экспериментов по оптимизации процесса изомеризации; В. В. Семенов — постановка задач и плана исследования, участие в обсуждении результатов; М. А. Козлов, Э. М. Чартов — исследование фазовых равновесий, расчет параметров ректификации; А. В. Самет — проведение экспериментов, сбор литературных данных; В. И. Ушкаров — проведение экспериментов на стендовой установке, газожидкостная хроматография полученного продукта.
1 Хала Э., Пик И., Фрид В., Вилим О. Равновесие между жидкостью и паром / Под ред. А. Г. Морочевского. Пер. с англ. И. Я. Городецкого и Л. Ш. Городецкого. М.: ИЛ, 1962. С. 290–295 [Hala E., Pick J., Fried V., Vilim O. Vapour–liquid equilibrium. Departament of Physical Chemistry, Institute of Chemical Technology, Prague, Czecoslvakia, 1958].
2 Коган В. Б. Азеотропная и экстрактивная ректификация. Л.: Химия, 1971. С. 25–28.
Об авторах
Вячеслав Владимирович Русак
Институт органической химии им. Н. Д. Зелинского РАН
Автор, ответственный за переписку.
Email: slawa1112004@mail.ru
ORCID iD: 0009-0007-7338-4745
к.т.н.
Россия, 119991, г. Москва, Ленинский пр., д. 47Михаил Андреевич Козлов
Институт органической химии им. Н. Д. Зелинского РАН
Email: slawa1112004@mail.ru
ORCID iD: 0009-0007-6355-6275
Россия, 119991, г. Москва, Ленинский пр., д. 47
Эдуард Маркович Чартов
Институт органической химии им. Н. Д. Зелинского РАН
Email: slawa1112004@mail.ru
ORCID iD: 0009-0007-5637-1010
к.т.н.
Россия, 119991, г. Москва, Ленинский пр., д. 47Владимир Игоревич Ушкаров
Институт органической химии им. Н. Д. Зелинского РАН
Email: slawa1112004@mail.ru
к.х.н.
Россия, 119991, г. Москва, Ленинский пр., д. 47Александр Викторович Самет
Институт органической химии им. Н. Д. Зелинского РАН
Email: slawa1112004@mail.ru
ORCID iD: 0000-0002-0100-085X
д.х.н.
Россия, 119991, г. Москва, Ленинский пр., д. 47Виктор Владимирович Семенов
Институт органической химии им. Н. Д. Зелинского РАН
Email: slawa1112004@mail.ru
ORCID iD: 0000-0003-1889-341X
д.х.н.
Россия, 119991, г. Москва, Ленинский пр., д. 47Список литературы
- Piras A., Rosa A., Marongiu B., Atzeri A., Dessì M. A., Falconieri D., Porcedda S. Extraction and separation of volatile and fixed oils from seeds of myristica fragrans by supercritical CO2: Chemical composition and cytotoxic fctivity on Caco-2 cancer cells // J. Food Sci. 2012. V. 77. P. 448–453. https://doi.org/10.1111/j.1750-3841.2012.02618.x
- Файзиев Ш. И., Абидов К. З., Гафуров К. Х. Экспериментальное исследование технологического процесса СО2-экстракции ингредиентов из растительного сырья // Universum: технические науки: электрон. науч. журн. 2020. № 8 (77). URL: https://7universum.com/ru/tech/archive/item/10635 (дата обращения: 28.07.2024).
- Dias A. L. B., dos Santos P., Martínez J. Supercritical CO2 technology applied to the production of flavor ester compounds through lipase-catalyzed reaction: A review // J. CO2 Utilization. 2018. V. 23. P. 159−178. https://doi.org/10.1016/2017.11.011
- Arranz E. Supercritical fluid extraction as an alternative process to obtain essential oils with anti-inflammatory properties from marjoram and sweet basil // Indust. Crops Prod. 2015. V. 67. P. 121−129. https://doi.org/10.1016/j.indcrop.2015.01.012
- Семенов В. В., Русак В. В., Чартов Э. М., Зарецкий М. И., Конюшкин Л. Д., Фирганг С. И., Чижов А. О., Елкин В. В., Латин Н. Н., Бонашек В. М., Стастева О. Н. Полиалкоксибензолы из растительного сырья. Сообщение 1. Выделение аллилполиалкоксибензолов из СО2-экстрактов семян растений семейства зонтичных // Изв. АН. Сер. хим. 2007. № 12. C. 2364–2371 [Semenov V. V., Rusak V. V., Chartov E. M., Zaretskii M. I., Konyushkin L. D., Firgang, S. I., Chizhov A. O., Elkin V. V., Latin N. N., Bonashek V. M., Stasʹeva O. N. Polyalkoxybenzenes from plant raw materials 1. Isolation of polyalkoxybenzenes from CO2 extracts of Umbelliferae plant seeds // Russ. Chem. Bull. 2007. V. 56. P. 2448–2455. https://doi.org/10.1007/s11172-007-0389-1 https://www.elibrary.ru/ilkokv].
- Tabassum A., Akram S., Mushtaq M. Apiole. A centum of valuable plant bioactives. Cambridge: Acad. Press, 2021. P. 233–259. https://doi.org/10.1016/B978-0-12-822923-1.00020-0
- Samet A. V., Tsyganov D. V., Kislyi V. P., Tujarov E. I., Semenov V. V. Synthesis of a new apiol-derived cyclotriveratrylene analog // Mendeleev. Commun. 2023. V. 33. P. 774–775. https://doi.org/10.1016/j.mencom.2023.10.011
- Varakutin A. E., Muravsky E. A., Khrustalev V. N., Samet A. V., Semenov V. V. Synthesis of polyalkoxymethylenedioxy-1,4-naphthoquinones from parsley seed metabolite // Curr. Org. Chem. 2024. V. 28. P. 40−45. https://doi.org/10.2174/0113852728283175231218092342
- Cimino C., Maurel O. M., Musumeci T., Bonaccorso A., Drago F., Souto E. M. B., Pignatello R., Carbone C. Essential oils: Pharmaceutical applications and encapsulation strategies into lipid-based delivery systems // Pharmaceutics. 2021. V. 13. P.1−35. https://doi.org/10.3390/pharmaceutics13030327
- Tsyganov D. V., Samet A. V., Silyanova E. A., Ushkarov V. I., Varakutin A. E., Chernysheva N. B., Chuprov-Netochin R. N., Leonov S. V., Khomutov A. A., Volkova A. S., Semenova M. N., Semenov V. V. Synthesis and antiproliferative activity of triphenylphosphonium derivatives of natural allylpolyalkoxybenzenes //ACS Omega. 2022. V. 7. P. 3369−3383. https://doi.org/10.1021/acsomega.1c05515
- Dallacker F., Gohlke F., Lipp M. Derivate des Methylendioxybenzols, 6. Mitt.: Über die Gewinnung und elektrophile Substitutionen des Myristicinsäuremethylesters und seiner Derivate // Monatsh. Chem. 1960. V. 91. P. 1089–1102. https://doi.org/10.1007/BF00899834
- Dallacker F., Imöhl W., Pauling-Walther M. Derivate des Methylendioxybenzols, XI Darstellung von Hydroxymethylverbindungen des Methylendioxybenzols // Liebigs Ann. Chem. 1965. V. 681. P. 111−117. https://doi.org/10.1002/jlac.19656810118
- Hassam M., Taher A., Arnott G. E., Green I. R., Otterlo W. A. L. Isomerization of allylbenzenes // Chem. Rev. 2015. V. 115. P. 5462−5569. https://doi.org/10.1021/acs.chemrev.5b00052
Дополнительные файлы





