Applicability of high-performance liquid chromatography to the analysis of cardiac glycosides in lily-of-the-valley medicines (review)
- Authors: Beketova A.V.1, Evdokimova O.V.1, Shemeryankina T.В.1, Bagirova V.L.1
-
Affiliations:
- Scientific Centre for Expert Evaluation of Medicinal Products
- Issue: Vol 97, No 3 (2024)
- Pages: 179-189
- Section: Applied Chemistry - Pharmacy
- URL: https://bakhtiniada.ru/0044-4618/article/view/265030
- DOI: https://doi.org/10.31857/S0044461824030010
- EDN: https://elibrary.ru/DTOAJB
- ID: 265030
Cite item
Full Text
Abstract
Introduction. The standardisation of lily-of-the-valley (Convallaria majalis) herbal drugs containing cardiac glycosides of the cardenolide group currently uses either animal bioassays or spectrophotometry. The need to explore the possibility of abandoning animal testing makes it essential to find a selective and sensitive physicochemical method for the determination of cardiac glycosides in lily of the valley.
Aim. This study aimed to select an appropriate alternative to animal testing through a comparative analysis of scientific publications on physicochemical methods for the determination of cardenolide cardiac glycosides.
Discussion. According to the analysis of identification and quantification methods for cardenolides, animal testing does not provide sufficient accuracy and reproducibility for the standardisation of herbal drugs, herbal drug preparations, and herbal medicinal products. However, spectrophotometry does not provide sufficient specificity, and thin-layer chromatography is mainly applicable to the identification of cardenolides. This article presents the results of comparing the chromatographic conditions used for cardenolide determination by high-performance liquid chromatography (HPLC) with various detectors. According to the study results, HPLC can replace animal bioassays or insufficiently selective methods in the determination of cardiac glycosides in lily-of-the-valley products. The development of analytical procedures for cardenolide determination can be based upon reverse-phase HPLC with octadecylsilyl (С18) as the stationary phase, a solvent mixture comprising water, acetonitrile, and/or methanol in different proportions as the mobile phase, and a diode-array detector at 220 ± 2 nm.
Conclusions. The results of this comparative analysis indicate that the method for the identification and quantification of cardiac glycosides in lily-of-the-valley herbal drugs, herbal drug preparations, and herbal medicinal products is promising for further study and experimentation. HPLC is applicable for routine use and can replace animal bioassays or insufficiently selective methods in the determination of lily-of-the-valley cardiac glycosides.
Full Text
Введение
Совершенствование методов стандартизации лекарственного растительного сырья (ЛРС) и лекарственных средств на его основе является одним из направлений деятельности Института фармакопеи ФГБУ «Научный центр экспертизы средств медицинского применения» Министерства здравоохранения Российской Федерации. Проблемы стандартизации связаны, прежде всего, со сложностью химического состава растений, влиянием большого числа факторов на образование и накопление биологически активных веществ в их составе. Для стандартизации ЛРС, содержащего сердечные гликозиды (СГ), Государственной фармакопеей Российской Федерации (ГФ РФ) предусмотрено использование биологических методов, что противоречит Директиве № 2010/63/ЕС Европейского парламента и Совета Европейского союза «О защите животных, использующихся для научных целей».1 Данный документ устанавливает в качестве основополагающего принципа поиск возможности проведения научных исследований без участия животных. При подготовке новых изданий ГФ РФ проводится работа по внедрению принципа «3R» (replacement, reduction, refinement) и изучается возможность отказа от испытаний на животных.
В ГФ РФ нет единого подхода к анализу СГ, хотя данная группа лекарственных средств достаточно широко представлена на российском фармацевтическом рынке. Если в зарубежной медицинской практике применение находят только СГ наперстянки, то в России применяют также СГ ландыша, горицвета, желтушника и др. Эти препараты имеют социальное значение, поскольку применяются в геронтологической практике за счет более мягкого действия по сравнению с монопрепаратами сердечных гликозидов. В настоящее время для оценки качества ЛРС и экстракционных препаратов, содержащих СГ, предусмотрено проведение биологических испытаний на лягушках (препараты ландыша и желтушника и др.) или использование недостаточно специфических методов для данной группы соединений (спектрофотометрия).
Цель работы — на основании сравнительного анализа данных научной литературы провести выбор подходящего физико-химического метода определения сердечных гликозидов группы карденолидов.
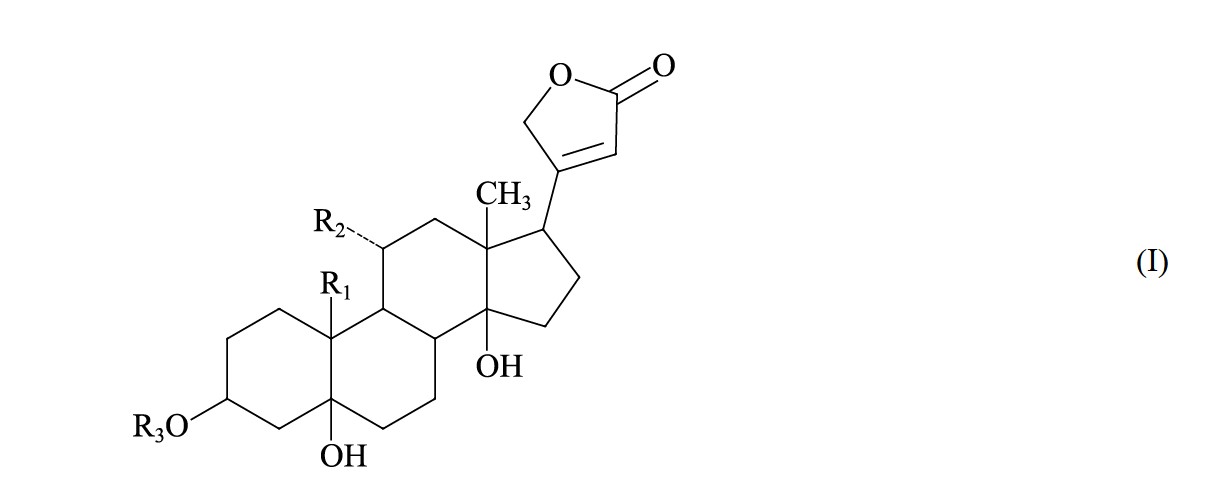
R1 | R2 | R3 | |
Конваллятоксин | –CHO | –H | –RH |
Конваллозид | –CHO | –H | –RH–GLU |
Конваллятоксол | –CH2OH | –H | –RH |
Локунджозид | –CH3 | –OH | –R |
R = 6-дезокси-α-L-маннопиранозил-; GLU= β-D-глюкопиранозил-
Работа выполнена методом информационно-аналитического поиска с использованием научных баз данных РИНЦ и PubMed.
Основная часть
Ландыш майский помимо СГ группы карденолидов, традиционно используемых в медицинской практике, содержит ряд других биологически активных веществ. Например, стероидные сапонины ландыша являются потенциальными источниками гемолитических, инсектицидных, противопаразитарных, противогрибковых, антибактериальных, противовирусных, противовоспалительных, противоопухолевых и др. лекарственных средств [1].
ЛРС являются надземные органы (трава, листья и цветки) трех видов многолетних травянистых растений рода Convallaria: ландыша майского — Convallaria majalis L., ландыша закавказского — Convallaria transcaucasica Utkin ex Grossh. и ландыша Кейске — Convallaria keiskei Miq. В подземных органах — корневищах и корнях ландыша содержится небольшое количество сердечных гликозидов, которые транспортируются туда преимущественно из листьев, и депонируются, не подвергаясь дальнейшей биотрансформации [2].
Перспективной для дальнейшего изучения группой биологически активных веществ ландыша являются сапонины — конваллямарозид, конваллямароин, конваллясапонин А и др., проявляющие антиангиогенное действие [1]. На долю стероидных соединений приходится 0.77% (мас.) этанольного экстракта из цветков ландыша. Вклад в формирование фармакологического действия препаратов ландыша вносят полиненасыщенные карбоновые кислоты (витамин F) как в свободном виде, так и в форме сложных эфиров, их содержание составляет около 58.5% (мас.), содержание спиртов, в основном непредельных — 4.59% (мас.), кремнийорганических соединений (циклогексасилоксан, циклонаносилоксан и др.) — 15.15% (мас.). Фенольные соединения, также присутствующие в спиртовом экстракте ландыша, благодаря их антиоксидантному действию защищают полиненасыщенные жирные кислоты от перекисного окисления. Помимо этого, в составе экстракта ландыша были идентифицированы производные морфолина (этил-3-(2,6-диметилморфолино)пропионат), барбитурат (2,4,5-тригидроксипиримидин), а также никотин (1-амино-2,6-диметилпипериден), которые вносят вклад в снотворное, седативное и спазмолитическое действие галеновых препаратов ландыша [3].
Основным сердечным гликозидом, обнаруженным в ландыше, является конваллятоксин (I), он обладает дигиталис-подобным действием, применяется для лечения хронической сердечной недостаточности и пароксизмальной тахикардии. Другими, близкими по фармакологическому действию и химической структуре карденолидами (I) являются конваллозид, конваллятокин и локунджозид [1, 2].
Биологический метод. Согласно требованиям ГФ РФ2 стандартизация СГ проводится биологическим методом, который основан на способности данных соединений в токсической дозе вызывать остановку сердца животных в систоле. Активность ЛРС и лекарственных препаратов ландыша устанавливают как наименьшую дозу испытуемого препарата или стандартного образца, которая вызывает систолическую остановку сердца лягушки и выражают в лягушачьих единицах действия (ЛЕД) (табл. 1). Затем рассчитывают количество единиц действия в 1 мл или 1 г испытуемого препарата, в качестве стандартного образца используют спиртовой экстракт из цветков ландыша.
Таблица 1. Фармакопейные требования к биологической активности лекарственного растительного сырья ландыша*
Вид лекарственного растительного сырья | Биологическая активность, ЛЕД | |
цельное сырье | измельченное сырье | |
Трава | не менее 110 ЛЕД и не более 120 ЛЕД в 1 г ЛРС | не менее 110 ЛЕД и не более 120 ЛЕД в 1 г ЛРС |
Листья | не менее 80 ЛЕД и не более 90 ЛЕД в 1 г ЛРС | не менее 80 ЛЕД и не более 90 ЛЕД в 1 г ЛРС |
Цветки | не менее 190 ЛЕД и не более 200 ЛЕД в 1 г ЛРС | — |
Примечание. ЛЕД — лягушачьи единицы действия, ЛРС — лекарственное растительное сырье, «—» — сырье в данном виде не используется.
* Таблица составлена авторами по данным ФС.2.5.0022.15 Ландыша трава, ландыша листья, ландыша цветки. Государственная фармакопея Российской Федерации. XIV изд. Т. 4. М.; 2018.
В настойке ландыша количественное определение СГ проводят двумя методами: биологическим и спектрофотометрическим, при этом арбитражным является биологический метод. Согласно требованиям частных фармакопейных статей 1 мл препарата должен содержать от 10.4 до 13.3 ЛЕД.
Биологический метод позволяет установить только величину фармакологического действия СГ, но не позволяет количественно определить содержание этих веществ. Это трудоемкий метод, он имеет малую точность (± 20–25%) ввиду резко изменяющейся чувствительности лягушек в зависимости от времени года и других условий3, противоречит Директиве № 2010/63/ЕС и принципу «3R».
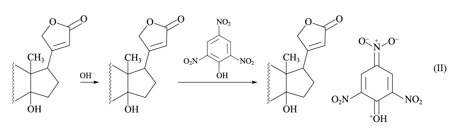
Спектрофотометрия в видимой и ультрафиолетовой областях спектра. В основе фотометрического метода определения СГ ландыша лежит специфическая реакция взаимодействия карденолидов с полинитросоединениями в щелочной среде — реакция Балье (II).1 В данных условиях СГ ландыша в результате взаимодействия с пикриновой кислотой образуют окрашенные в оранжевый цвет продукты реакции, имеющие характерный спектр поглощения.
Данный метод используется в качестве второго метода количественного определения суммы СГ в ландыша травы настойке в пересчете на конваллятоксин4. Методика включает предварительную очистку препарата с помощью свинца(II) ацетата раствора 10% с последующим извлечением суммы СГ спирто-хлороформной смесью с дальнейшим пропусканием испытуемого раствора через 1.5 г полиамида для колоночной хроматографии или 5 г силикагеля для хроматографии (L 100/250). Проводят реакцию взаимодействия полученного раствора с натрия пикрата раствором 1%, измеряют оптическую плотность продукта реакции при 495 нм. В расчетной формуле по данной методике предусмотрено использование удельного показателя поглощения комплекса конваллятоксина с натрия пикратом при 495 нм, равного 170.
Авторы работы [4] использовали данный метод для количественного определения конваллятоксина и других СГ сходного химического строения, получили воспроизводимый аналитический сигнал в виде максимума поглощения при 490 ± 3 нм и показали, что полученные спектры определяются структурой агликона. Однако при анализе спектров поглощения хромогенных комплексов пикриновой кислоты с извлечениями, содержащими сумму СГ [4], следует отметить отсутствие ярко выраженных максимумов поглощения.
При количественном анализе, основанном на образовании окрашенных продуктов с последующим спектрофотометрическим определением, основным недостатком метода является отсутствием специфичности. Если проводят анализ извлечения, содержащего сумму веществ, а не только СГ, то получаемые результаты могут оказаться завышенными за счет влияния сопутствующих веществ [5].
Тонкослойная хроматография. В литературе описаны различные системы растворителей для разделения СГ с помощью тонкослойной хроматографии (ТСХ) и бумажной хроматографии.5 Подвижные фазы (ПФ) можно разделить на следующие группы: для слабо-полярных гликозидов и агликонов и для полярных гликозидов и агликонов. Согласно проведенной сравнительной оценке требований фармакопей различных стран было показано, что универсальной системой для ТСХ является смесь растворителей этилацетат-метанол-вода в различных соотношениях [6]. СГ флуоресцируют в ультрафиолетовой (УФ) области спектра, поэтому для их обнаружения используют обработку хроматограмм реактивами Кедде, Легаля, Раймонда, Балье, Пезеца и др. [5].
Согласно фармакопейным требованиям определение биологически активных веществ в ЛРС ландыша6 и настойке ландыша7 проводят методом ТСХ с ПФ хлороформ-ацетон-метанол в соотношении (6:2:2), детектируют хроматографическую пластину ванилина раствором 1% в хлорной кислоте разведенной 10% с последующим нагреванием при 80–110°С в течение 10–30 мин. По требованиям фармакопеи Франции8 и немецкой гомеопатической фармакопеи9 при идентификации лекарственных средств из ландыша в качестве ПФ применяют смесь этилацетат-метанол-вода в соотношении (81:11:8), а в качестве реактива для детектирования 10 г·л–1 раствор динитробензойной кислоты и 2 M раствор калия гидроксида.
Метод тонкослойной хроматографии применяется, в основном, для подтверждения подлинности ЛРС ландыша и лекарственных средств на его основе.
Высокоэффективная жидкостная хроматография. Высокоэффективная жидкостная хроматография (ВЭЖХ) нашла широкое применение в анализе СГ [8–19], так как позволяет проводить одновременно качественный и количественный анализ данной группы биологически активных веществ. Метод предусматривает использование, как правило, адсорбционной хроматографии в обращенно-фазововом варианте. Различные условия проведения данного анализа для ландыша и других лекарственных растений, содержащих карденолиды, указаны в табл. 2.
Таблица 2. Хроматографические условия для ВЭЖХ-методик определения карденолидов
Колонка (сорбент, конфигурация) | Тип детектора/длина волны, нм | Подвижная фаза (ПФ) | Режим элюирования | Объект исследования/ источник литературы | ||||||||||||||||||||||||
Силикагель октадецилсилильный для хроматографии 250 × 4.0 мм, 3 мкм | УФ / 222 | Ацетонитрил–вода (25:75) | Изократический | Ландыш майский [8] | ||||||||||||||||||||||||
Силикагель октадецилсилильный для хроматографии 150 × 4.6 мм, 3 мкм | Диодно-матричный / 218 | ПФА — ацетонитрил ПФБ — вода | Градиентный
| Различные виды молочая [9] | ||||||||||||||||||||||||
Силикагель октадецилсилильный для хроматографии 150 × 4.6 мм, 3 мкм | Диодно-матричный / 218 и 222 | ПФА — ацетонитрил ПФБ — вода | Градиентный
| Наперстянка шерстистая [10] | ||||||||||||||||||||||||
Силикагель октадецилсилильный для хроматографии 150 × 4.6 мм, 3 мкм | Диодно-матричный / 218 | ПФА — ацетонитрил ПФБ — вода | Градиентный
| Молочай [11] | ||||||||||||||||||||||||
Силикагель октадецилсилильный для хроматографии 75 × 4.6 мм, 3,5 мкм | УФ / 220 | ПФА — ацетонитрил ПФБ — вода | Градиентный
| Конваллятоксин в анчаре [12] | ||||||||||||||||||||||||
Силикагель октилсилильный для хроматографии 250 × 4.6 мм, 5 мкм | Диодно-матричный / 218 | ПФА — ацетонитрил ПФБ — вода с 0,1% трифторуксусной кислотой | Градиентный
| Пахиподиум [13] | ||||||||||||||||||||||||
Силикагель октадецилсилильный для хроматографии 150 × 2.0 мм, 3 мкм | импульсный амперометрический УФ / 220 | ПФА — раствор ацетонитрила 10% ПФБ — раствор ацетонитрила 60% | Градиентный
| Наперстянка шерстистая [14] | ||||||||||||||||||||||||
Силикагель октадецилсилильный для хроматографии 250 × 4.6 мм, 5 мкм | УФ / 225 | Ацетонитрил–метанол–вода (10:15:18) | Изократический | Уабаин и его эндогенные аналоги [15] | ||||||||||||||||||||||||
Силикагель октадецилсилильный для хроматографии 250 × 4.6 мм, 5 мкм | УФ / 220 | Ацетонитрил–вода (20:80) | Изократический | Различные сердечные гликозиды [16] | ||||||||||||||||||||||||
Micro Pac-MCH l0 (250 × 2.2 мм) | УФ / 220 | Ацетонитрил–метанол–вода (1:2:1) | Изократический | Наперстянка пурпурная [17] | ||||||||||||||||||||||||
Силикагель октилсилильный для хроматографии | УФ / 220 | Ацетонитрил–метанол–вода (10:15:18) | Изократический | Различные виды наперстянки [18] | ||||||||||||||||||||||||
Силикагель октадецилсилильный для хроматографии 150 × 4 мм, 5 мкм | УФ / 240 | Ацетонитрил–вода (20:80) | Изократический | Различные карденолиды [19] | ||||||||||||||||||||||||
Силикагель октадецилсилильный для хроматографии 150 × 3.9 мм, 5 мкм | УФ / 220 | ПФА ацетонитрил–вода (10:90) ПФБ вода–ацетонитрил (10:90) | Градиентный
| Дигоксин13 | ||||||||||||||||||||||||
Силикагель октадецилсилильный для хроматографии 150–200 × × 4 мм, 5 мкм | УФ / 230 | ПФА ацетонитрил–вода (10:90) ПФБ вода–ацетонитрил (40:60) | Градиентный
| Дигитоксин14 | ||||||||||||||||||||||||
Силикагель октадецилсилильный для хроматографии 250 × 4.6 мм, 5 мкм | УФ / 218 | Ацетонитрил–вода (13:37) | Изократический | Дигоксин15 | ||||||||||||||||||||||||
Силикагель октадецилсилильный для хроматографии 300 × 3.9 мм, 5 мкм | УФ / 218 | Вода–ацетонитрил (55:45) | Изократический | Дигитоксин16 | ||||||||||||||||||||||||
Силикагель октадецилсилильный для хроматографии 250 × 4.6 мм, 5 мкм | УФ / 220 | Ацетонитрил–вода (30:70) | Изократический | Дигоксин17 | ||||||||||||||||||||||||
Силикагель октадецилсилильный для хроматографии 150–200 × × 4 мм, 5 мкм | УФ / 230 | Метанол–вода (3:1) | Изократический | Дигитоксин18 |
Применяют как изократический, так и градиентный режимы элюирования, чаще всего используют колонки с обращенной фазой — силикагель октадецилсилильный для хроматографии (С18). В качестве подвижной фазы (ПФ), как правило, предлагается вода, ацетонитрил и метанол в различных соотношениях, иногда с добавлением аммония ацетата, аммония гидрокарбоната, трифторуксусной или ортофосфорной кислот. В качестве селективных детекторов применяют диодно-матричные детекторы при длине волны 220 нм (иногда 218 или 222 нм).
Использование УФ-детектора в диапазоне длин волн 215–220 нм основано на избирательном поглощении карденолидов за счет пятичленного лактонного кольца. Было показано,10 что данное поглощение связано с наличием α,β-ненасыщенного лактонного кольца и не зависит от стероидной части молекулы и величины углеводного фрагмента [7].
Все большее значение в анализе СГ в последнее время приобретает с ВЭЖХ с надежным высокочувствительным масс-спектрометрическим (МС) детектированием [20]. Условия хроматографического определения СГ методом обращенно-фазовой ВЭЖХ-УФ-МС: подвижная фаза: 0.1% муравьиной кислоты в ацетонитриле и 0.1% водный раствор муравьиной кислоты, градиентный режим элюирования. Параметры квадрупольного времяпролетного МС/МС детектирования: электрораспылительная ионизация аналитов при положительной полярности, напряжение на капилляре +3.5 или +4.5 кВ, скорость распыляющего газа (азота): 3 л·мин–1, скорость потока и температура осушающего газа (азота) — 6 л·мин–1, 220°С или 250°С, диапазон масс: m/z от 100 до 120011 [20].
Идентификацию соединений осуществляют на основании расшифровки масс-спектров и сопоставления хроматографических характеристик обнаруженных СГ с данными литературы. Единственным ограничением для использования данного метода в рутинном анализе является его высокая стоимость.
На основании данных табл. 2 наиболее подходящим для рутинного количественного анализа СГ в ЛРС ландыша и препаратах на его основе предлагаем считать варианты методики на основе обращенно-фазовой ВЭЖХ с октадецилсилильным сорбентом для хроматографии (С18), в качестве ПФ — смесь растворителей вода, ацетонитрил и (или) метанол в различных соотношениях, детектор — диодно-матричный при длине волны 220 ± 2 нм. Все реагенты и расходные материалы, используемые при анализе в данных хроматографических условиях, являются коммерчески доступными и сравнительно недорогими.
Имеются данные экспериментального исследования, которые подтверждают, что результаты количественного определения СГ методом ВЭЖХ сопоставимы с результатами, полученными биологическим методом, а результаты фотометрического анализа оказываются несколько завышенными.12
Заключение
Проведенный анализ данных литературы показал возможность использования для дальнейшего изучения и экспериментальной проверки хроматографических методов вместо биологических при стандартизации лекарственного растительного сырья ландыша и лекарственных средств на его основе по содержанию сердечных гликозидов. Специфичность и универсальность метода ВЭЖХ при его использовании в фармакогностическом анализе, возможность одновременного проведения количественного определения и идентификации позволяют считать данный метод предпочтительным по сравнению с менее специфичным спектрофотометрическим методом.
Финансирование работы
Работа выполнена в рамках государственного задания ФГБУ «НЦЭСМП» Минздрава России № 056-00026-24-01 на проведение прикладных научных исследований (номер государственного учета НИР 124022200096-0).
Конфликт интересов
Авторы заявляют об отсутствии конфликта интересов, требующего раскрытия в данной статье.
Информация о вкладе авторов
Все авторы подтверждают соответствие своего авторства критериям ICMJE. Наибольший вклад распределен следующим образом: А. В. Бекетова — сбор и систематизация данных литературы, постановка задач исследования; написание текста рукописи; О. В. Евдокимова — критический пересмотр и переработка текста рукописи; Т. Б. Шемерянкина — анализ данных литературы; В. Л. Багирова — утверждение окончательного варианта рукописи для публикации.
1 Директива Европейского парламента и Совета Европейского союза от 22.09.2010 № 2010/63/ЕС «О защите животных, использующихся для научных целей».
2 ОФС.1.2.4.0009.15. Биологические методы оценки активности лекарственного растительного сырья и лекарственных препаратов, содержащих сердечные гликозиды. Государственная фармакопея Российской Федерации. XIV изд. Т. 1. М.; 2018.
3 Химический анализ лекарственных растений. Уч. пособие для фармацевтических вузов / Под ред. Н. И. Гринкевича, Л. Н. Сафронича. М.: Высш. шк.; 1983.
4 ФС.3.4.0003.18 Ландыша травы настойка. Государственная фармакопея Российской Федерации. XIV изд. Т. 4. М.; 2018.
5 Смирнова Т. В. Исследование по использованию хроматографических методов для контроля качества и стандартизации целанида в стандартном образце, субстанции, сырье и лекарственных формах: Автореф. канд. дис. М.; 1999.
6 ФС.2.5.0022.15 Ландыша трава, ландыша листья, ландыша цветки. Государственная фармакопея Российской Федерации. XIV изд. Т. 4. М.; 2018.
7 ФС.3.4.0003.18 Ландыша травы настойка. Государственная фармакопея Российской Федерации. XIV изд. Т. 4. М.; 2018.
8 Pharmacopée française. Paris: Adrapharm; 2012.
9 Homöopathisches Arzneibuch. Frankfurt–Stuttgart: Deutscher Apotheker Verlag, Govi-Verlag GmbH; 2015.
10 Химический анализ лекарственных растений. Уч. пособие для фармацевтических вузов / Под ред. Н. И. Гринкевича, Л. Н. Сафронича. М.: Высш. шк.; 1983.
11 Ng M. The qualitative identification of cardenolide-containing plants using ultra high performance liquid chromatography — high resolution mass spectrometry chromatograms at select ions. Thesis/dissertation Master of Science. Davis; 2023.
12 Смирнова Т. В. Исследование по использованию хроматографических методов для контроля качества и стандартизации целанида в стандартном образце, субстанции, сырье и лекарственных формах: Автореф. канд. дис. М.; 1999.
13 European Pharmacopoeia. 11th Ed. Strasbourg: EDQM; 2022. Государственная фармакопея Республики Беларусь. Т. 1–3. Минск: Центр экспертиз и испытаний в здравоохранении; 2012.
14 Chinese Pharmacopoeia Commission. Pharmacopoeia of the People’s Republic of China. V. I. Beijing: China Medical Science and Technology Press; 2015.
15 United States Pharmacopoeia. USP–NF. Rockville, MD; 2023.
16 United States Pharmacopoeia. USP–NF. Rockville, MD; 2023.
17 Japanese Pharmacopoeia. 17th Ed. Tokyo; 2016.
18 Там же.
About the authors
Anastasia V. Beketova
Scientific Centre for Expert Evaluation of Medicinal Products
Author for correspondence.
Email: beketova@expmed.ru
ORCID iD: 0000-0001-6975-516X
канд. фарм. наук
Russian Federation, 127051, Moscow, 8/2 Petrovsky BlvdOlga V. Evdokimova
Scientific Centre for Expert Evaluation of Medicinal Products
Email: beketova@expmed.ru
ORCID iD: 0000-0003-2191-1033
д-р фарм. наук, доцент
Russian Federation, 127051, Moscow, 8/2 Petrovsky BlvdTatyana В. Shemeryankina
Scientific Centre for Expert Evaluation of Medicinal Products
Email: beketova@expmed.ru
ORCID iD: 0000-0003-3720-9687
канд. фарм. наук
Russian Federation, 127051, Moscow, 8/2 Petrovsky BlvdValeria L. Bagirova
Scientific Centre for Expert Evaluation of Medicinal Products
Email: beketova@expmed.ru
ORCID iD: 0000-0003-0379-6158
д-р фарм. наук, профессор
Russian Federation, 127051, Moscow, 8/2 Petrovsky BlvdReferences
- Доронина Д. А. Перспективы изучения биологически активных веществ Ландыша майского Convallaria mayalis L. // От биохимии растений к биохимии человека. М.; 2022. С. 281–287. https://doi.org/10.52101/9785870191041_281].
- Schrutka-Rechtenstamm R., Kopp B. Origin of cardenolides in rhizomes and roots of Convallaria majalis L. Biogenesis in situ or transport from leaves // Z. Naturforsch C. 2014. V. 40. N 9. P. 627–630. https://doi.org/10.1515/znc-1985-9-1007
- Платонов В. В., Волочаева М. В., Хадарцев А. А., Мелякова Д. А., Сухих Г. Т., Дунаева И. В. Химический состав этанольного экстракта Ландыша майского (Сonvallaria majalis L., семейство лилейных) // Вестн. новых мед. технологий. 2019. Т. 26. № 2. С. 53–60. https://doi.org/10.24411/1609-2163-2019-16356].
- Круглов Д. С., Кошкарева К. Е. Количественное определение конваллятоксина в растительном сырье, содержащем кардиостероиды, методом фотометрии // Сиб. мед. вестн. 2019. Т. 4. С. 34–37. https://www.elibrary.ru/lhxxyu
- Евдокимова О. В., Бекетова А. В., Наумова О. А., Клинкова И. В., Шемерянкина Т. Б., Ладыгина Л. А., Бущик К. С. Современные физико-химические методы анализа сердечных гликозидов // Ведомости Научного центра экспертизы средств медицинского применения. Регуляторные исследования и экспертиза лекарственных средств. 2023. Т. 13. № 4. С. 567–577. https://doi.org/10.30895/1991-2919-2023-13-4-567-577
- Орынбекова С. О., Келеке А. С., Сакипова З. Б., Ибрагимова Л. Н., Сермухомедова О. В., Нургожин Т. С. Сравнительная оценка методик идентификации сердечных гликозидов в лекарственном растительном сырье // Вестн. КазНМУ. 2019. № 2. С. 396–400.
- Зибарева Л. Н. Изопреноиды — вторичные метаболиты растений. Томск: Изд-во Том. гос. ун-та; 2022.
- Harkiss K. J., Linley P. A., Mesbah K. M. Analysis of cardenolides of Convallaria majalis by hight pressure liquid chromatography // J. High Resol. Chromatogr. 1981. V. 4. N 1. P. 37–38. https://doi.org/10.1002/jhrc.1240040110
- Züst T., Petschenka G., Hastings A. P., Agrawal A. A. Toxicity of milkweed leaves and latex: Chromatographic quantification versus biological activity of cardenolides in 16 Asclepias species // J. Chem. Ecol. 2019. V. 45. N 1. P. 50–60. https://doi.org/10.1007/s10886-018-1040-3
- Ghanem S. A., Aboul-Enein A. M., El-Sawy A., Rady M. R., Ibrahem Mona M. In vitro propagation and cardiac glycosides content of Digitalis lanata // Int. J. Acad. Res. 2010. V. 2. N 6. P. 348356.
- Pokharel P., Sippel M., Vilcinskas A., Petschenka G. Defense of milkweed bugs (Heteroptera: Lygaeinae) against predatory lacewing larvae depends on structural differences of sequestered cardenolides. Insects. 2020. V. 11. N 8. ID 485. https://doi.org/10.3390/insects11080485
- Agrawal P., Akhade M., Laddha K., Narkhede S., Mirgal A., Salunke C. Quantification of convallatoxin in Antiaris toxicaria Leusch seeds by RP-HPLC // Anal. Chem. Lett. 2014. V. 4. N 3. P. 172–177. https://doi.org/10.1080/22297928.2014.925821
- Agrawal A. A., Ali А., Johnson M. D., Hastings A. P., Burge D., Weber M. G. Toxicity of the spiny thick-foot Pachypodium // Am. J. Bot. 2018. V. 105. N 4. P. 677–686. https://doi.org/10.1002/ajb2.1057
- Pellati F., Bruni R., Bellardi M. G., Bertaccini A., Benvenuti S. Optimization and validation of a high-performance liquid chromatography method for the analysis of cardiac glycosides in Digitalis lanata // J. Chromatogr. A. 2009. V. 1216. N 15. P. 3260–3269. https://doi.org/10.1016/j.chroma.2009.02.042
- Butt A. N., Tennant B. P., Gillingwater S. D., Shepherd P. S., Swaminathan R. Binding of ouabain and human ouabainlike substance to different Na+, K+-ATPase isoforms // Hypertens Res. 2000. N 23. P. 45–50. https://doi.org/10.1291/hypres.23.supplement_s45
- Sener B., Evren N., Ozguven M. Determination of some cardiac glycosides by high-performance liquid chromatography // J. Ethnopharmacol. 1988. V. 23. N 2–3. P. 188–190. https://doi.org/10.1016/0378-8741(88)90091-8
- Ikeda Y., Fujii Y., Nakaya I., Yamazaki M. Quantitative HPLC analysis of cardiac glycosides in Digitalis purpurea leaves // J. Nat. Prod. 1995. V. 58. N 6. P. 897–901. https://doi.org/10.1021/np50120a012
- Kwon H.-J., Sim H.-J., Lee S., Lee Y.-M., Park Y.-D., Hong S.-P. HPLC method validation for Digitalis and its analogue by pulsed amperometric detection // J. Pharm. Biomed. Anal. 2011. T. 54. N 1. P. 217–221. https://doi.org/10.1016/j.jpba.2010.07.037
- Shimada K., Oe T., Kanno C., Nambara T. Utility liquid of cyclodextrin in chromatographic mobile phase for high performance separation of cardenolides // Anal. Sci. 1988. V. 4. P. 377–80. https://doi.org/10.2116/analsci.4.377
- Томилова С. В., Кочкин Д. В., Тюрина Т. М., Глаголева Е. С., Лабунская Е. А., Галишев Б. А., Носов А. М. Особенности роста и синтеза вторичных метаболитов в культурах in vitro Digitalis lanata Ehrh // Физиология растений. 2022. Т. 69. № 2. С. 149–160. https://doi.org/10.31857/S0015330322020208




