Synthesis and Comparative Study of Silicone Composites Containing Sodium Diclofenac Using New Types of Cross-Linking Agents
- Authors: Atabekyan M.L.1, Farmazyan Z.M.1, Hakopyan E.A.1, Torosyan M.S.1, Topuzyan V.O.1, Grigoryan S.G.1
-
Affiliations:
- Scientific and Technological Center of Organic and Pharmaceutical Chemistry of the National Academy of Sciences of the Republic of Armenia
- Issue: Vol 94, No 9 (2024)
- Pages: 1000-1010
- Section: Articles
- URL: https://bakhtiniada.ru/0044-460X/article/view/281322
- DOI: https://doi.org/10.31857/S0044460X24090073
- EDN: https://elibrary.ru/RNFZSC
- ID: 281322
Cite item
Full Text
Abstract
A new type of silicone composites in the form of films containing sodium diclofenac were obtained, which can potentially be used as transdermal patches. Glycerol and propylene glycol analogues of tetraethoxysilane, tetrakis(2,3-dihydroxypropoxy)silane and tetrakis(2-hydroxypropoxy)silane, were first used to cure polydimethylsiloxane with terminal hydroxyl groups (PDMS-OH) to obtain silicone composites. It was shown that these cross-linking agents have a number of advantages over tetraethoxysilane.
Full Text
ВВЕДЕНИЕ
Нестероидные противовоспалительные препараты широко используются в качестве жаропонижающих, противовоспалительных и обезболивающих средств. Открыто более 40 различных нестероидных противовоспалительных препаратов, в состав которых входит большое количество различных органических соединений, классифицированных по их химической структуре [1]. Нестероидные противовоспалительные препараты имеют ряд нежелательных побочных действий: повышают риск желудочно-кишечных кровотечений, сердечно-сосудистых проблем [2–4].
В зависимости от пути доставки существуют разные способы введения нестероидных противовоспалительных препаратов: инъекции, пероральное введение и введение через кожу. Среди них привлекательным подходом является трансдермальная (через кожу) система доставки лекарств. По сравнению с системной терапией местное применение нестероидных противовоспалительных препаратов требует более низких доз для достижения облегчения боли и, таким образом, представляет меньший риск серьезных побочных действий. Кроме того, эти системы обеспечивают длительное проникновение лекарства (в течение 1–7 сут) через кожу [5, 6].
Для синтеза трансдермальных пленок, содержащих нестероидных противовоспалительных препаратов, в работах в качестве носителей лекарственных средств использовались различные полимеры. К ним относятся поливиниловый спирт, поли(эфир-уретан)силикон, смесь акриламида и силиконового полимера, сополимеры бутилированного метакрилата, силиконовые полимеры и др. [7–9]. Благодаря ряду особенностей (биосовместимости, биостабильности, высокой кислородо- и влагопроницаемости и др.) силиконы широко используются в медицинской практике [10–16]. В ряде работ сообщается о применении силиконовых полимеров в качестве пленок, содержащих различные физиологически активные соединения, и для этих целей используются готовые двухкомпонентные полимерные системы: SILGARD, BIO-PSA, SILASTIC и др. [17–21].
Тетраэтоксисилан используется в качестве сшивающего агента для синтеза силиконовых эластомеров из линейных силиконов, содержащих концевые гидроксильные группы (ПДМС-ОН) [20]. В реакциях образования силиконового эластомера в качестве наиболее эффективных катализаторов вулканизации обычно используют дибутилдилаурат олова(II) или 2-этилгексаноат олова(II). Даже небольшое количество этих катализаторов обеспечивает высокую скорость отверждения силиконов для получения эластомерных сеток [22–24]. Использование высокомолекулярного силикона с концевыми аминопропильными группами (ПДМС-NH2) в качестве катализатора встречается лишь в немногих работах [20, 25].
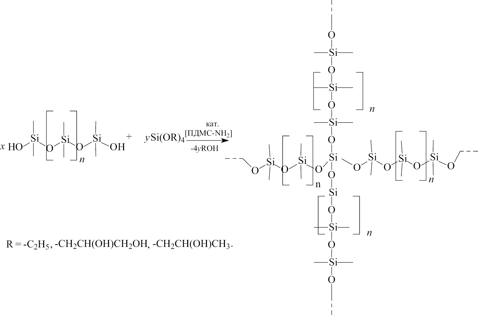
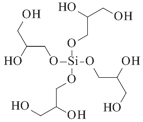
Для получения силиконовых эластомеров из полидиметилсилоксанов с концевыми гидроксильными группами (ПДМС-ОН) в качестве сшивающих агентов нами был изучен тетраэтоксисилан и впервые в качестве сшивающих агентов нами использовались тетра(2,3-дигидроксипропокси)силан и тетра(2-гидроксипропокси)силан, синтез которых описан в патенте [26]. В рамках патентной работы нами проведено сравнение их сшивающих свойств [27].
В качестве образца препарата выбран диклофенак по следующей причине: используемые на практике пластыри (Вольтарол 140мг Medicated Plaster, Флектор) имеют сложный состав (два разных типа полимеров, сополимер бутилированного метакрилата и сополимер акрилата и винилацетата, тканый полиэтилентерефталат и несколько добавок) для придания пластырю, содержащего лекарственное средство, слоев с адгезивными и мембранными свойствами. Разрабатываемые нами силиконовые пластыри имеют более простой состав и простой метод синтеза.
Таким образом, целью исследования является получение силиконовых композитов нового типа, содержащих лекарственный препарат диклофенак, которые потенциально могут найти применение в качестве трансдермальных пластырей.
РЕЗУЛЬТАТЫ И ОБСУЖДЕНИЕ
Синтезированы силиконовые эластомеры на основе коммерчески доступного полидиметилсилоксана с концевыми гидроксильными группами (ПДМС-ОН) с использованием четырех сшивающих агентов: тетраэтоксисилана и трех новых- тетра(2,3-дигидроксипропокси)силана (ТДГПС-7 и ТДГПС-4). и тетра(2-гидроксипропокси)силана (ТГПС-7), сравнены их свойства при получении силиконовых композитов (схема 1). В молекулах ТГПС-7, ТДГПС-7, кроме четырех ковалентно-связанных, присутствуют еще 3 ассоциированные молекулы гликолей. В качестве вулканизирующего агента исследовали коммерчески доступный полидиметилсилоксан с аминопропильными концевыми группами (ПДМС-NH2). В качестве модельного физиологически активного соединения исследован диклофенак натрия.
Схема 1.
В композитах определены количественные соотношения компонентов, обеспечивающие образование эластомерной пленки в течение наиболее короткого промежутка времени (табл. 1).
Таблица 1. Количественные соотношения компонентов при синтезе композитов
№ образца | ПДМС-OH, г/ммоль | Сшивающий агент, г/ммоль | ПДМС-NH2, г/ммоль | Диклофенак, г/ммоль |
1 | 1.8:0.05 | 0.16:0.77 (тетраэтоксисилан) | 0.07:0.78 | 0.06:0.19 |
2 | 1.8:0.05 | 0.09:0.16 (ТГПС-7) | 0.07:0.78 | 0.06:0.19 |
3 | 1.8:0.05 | 0.5:0.76 (ТДГПС-7) | 0.07:0.78 | 0.06:0.19 |
4 | 1.8:0.05 | 0.3:0.76 (ТДГПС-4) | 0.07:0.78 | 0.06:0.19 |
На образование сшитой структуры указывают как визуальные наблюдения: переход от жидкого в гелеобразное и в твердое состояние, а также потеря растворимости силиконовой матрицы в толуоле, изопропиловом спирте и диметилформамиде. На примере используемого препарата диклофенака исследовано влияние сшивающих агентов на продолжительность отверждения и внешний вид полученных композитных пленок. Композитная пленка с тетраэтоксисиланом (образец №1) с тем же мольным количеством сшивается за 48 ч при комнатной температуре с образованием очень мягкой и липкой пленки, в то время как образцы № 2, 3 и 4 сшивались в течение 24 ч с формированием стабильных эластомерных пленок, не изменяющих внешний вид с течением времени.
Исследовалась in vitro кинетика высвобождения диклофенака в двух различных средах: фосфатном буфере (рН = 6.86) и физиологическом растворе (0.9%-ный раствор NaCl). Как видно из рис. 1, количество высвобожденного лекарственного средства из композитов, синтезированных с использованием 4 сшивающих агентов в буферном растворе вдвое ниже по сравнению с физиологическим раствором․ Исследования показали, что в течение 72 ч скорости высвобождения диклофенака из композитов в буферном растворе имеют низкие значения – 7–13 мас. %, в физиологическом растворе – 9–37 мас. %.
Рис. 1. Кинетика десорбции диклофенака из композитов № 1–4 в фосфатном буфере (рН = 6.86) (а) и 0.9%-ном растворе NaCl (б). Среднеквадратические отклонения измерений R2 для кривых графиков составляют: (а) 0.97–0.98 и (б) 0.99.
Поскольку силиконовые полимеры гидрофобны, синтезированные матрицы также являются гидрофобными. Известно, что при добавлении различных гидрофилизирующих компонентов в гидрофобном полимере образуются гидрофильные домены [28], в которых, вероятно, преимущественно распределяется лекарственное средство. Поэтому синтезированы композиты путем добавления к этим матрицам глицерина (табл. 2), который является гидрофилизирующим и, вероятно, порообразующим компонентом для гидрофобной силиконовой матрицы, повышающим как растворимость, так и дальнейшую десорбцию лекарственного препарата. При приготовлении композитов выявлено еще одно преимущество новых типов сшивателей по сравнению с тетраэтоксисиланом: так, образец № 5, синтезированный с тем же мольным количеством тетраэтоксисилана и 44 мас. % глицерина, сшивается в течение 48 ч, однако полученная композитная пленка оказалась нестабильной и не удерживает в своем составе глицерин, который отслаивается и обнаруживается на дне чашки Петри. Образцы с тремя другими сшивающими агентами сшивались за 10–15 мин с образованием стабильных композитных пленок, удерживающих все количество загруженного глицерина. В физиологическом растворе через 72 ч из пленки № 6 высвободилось 75 мас. % препарата, из пленок № 7 и 8 – 82 и 93% соответственно, а из пленки № 5 после 72 ч в физиологическом растворе высвободилось 65% диклофенака (рис. 2).
Таблица 2. Количественные соотношения компонентов при синтезе композитов с использованием глицерина
№ образца | ПДМС-OH, г/ммоль | Глицерин, г/ммоль | Сшивающий агент, г/ммоль | ПДМС-NH2, г/ммоль | Диклофенак, г/ммоль |
5 | 1.8:0.05 | 1.8:19.5 | 0.16:0.76 (тетраэтоксисилан) | 0.07:0.78 | 0.06:0.19 |
6 | 1.8:0.05 | 1.6:17.4 | 0.09:0.16 (ТГПС-7) | 0.07:0.78 | 0.06:0.19 |
7 | 1.8:0.05 | 1.6:17.4 | 0.5:0.76 (ТДГПС-7) | 0.07:0.78 | 0.06:0.19 |
8 | 1.8:0.05 | 1.8:19.5 | 0.3:0.76 (ТДГПС-4) | 0.07:0.78 | 0.06:0.19 |
9а | 1.8:0.05 | 1.8:19.5 | 0.3:0.76 (ТДГПС-4) | 0.07:0.78 | 0.06:0.19 |
а Добавлен наполнитель – ксерогель диоксида кремния в количестве 1.33 г (22.17 ммоль).
Рис. 2. Кинетика десорбции диклофенака из композитов № 6–8 в буфере (а) и 0.9%-ном растворе NaCl (б). Среднеквадратические отклонения измерений R2 для кривых графиков составляют: (а) 0.98 и (б) 0.94–0.98.
Количество высвобождаемого лекарственного средства из композитов в буферном растворе меньше по сравнению с 0.9 мас. %-ным раствором NaCl. Через 72 ч из пленки № 6 десорбировалось 47 мас. % препарата, из пленок № 7 и 8 – 61%, а из пленки № 5 – 46.7% диклофенака.
Поскольку наибольшее количество диклофенака высвобождается из пленки № 8 (образец ТДГПС-Г), дальнейшие исследования продолжены с использованием рецептуры этой композитной пленки.
Известно, что ксерогели диоксида кремния обеспечивают пролонгированное высвобождение физиологически активных соединений и могут изменять их физические свойства, например, привести к фазовым изменениям: переходу от кристаллических к аморфным формам [29], поэтому при синтезе пленки вводили ксерогель диоксида кремния в качестве наполнителя, чтобы оказать влияние на количество высвобожденного лекарства в первые часы. Практически на основе состава пленки № 8 была синтезирована новая пленка № 9 (ТДГПС-К) с введением в композит ксерогеля диоксида кремния (табл. 2). Как видно из рис. 3, количество высвободившегося лекарственного средства из образца № 9 увеличивалось по сравнению с образцом № 8 как в буфере, так и в растворе хлорида натрия. 60 и 88% препарата высвободилось из пленки № 9 в 0.9%-ном NaCl через 4.5 и 24 ч соответственно, из пленки № 8 за то же время высвободилось 31 и 77% диклофенака. Через 48 ч из пленки № 9 высвободилось 96.5% лекарства. Количество высвободившегося через 24 ч диклофенака из образца № 9 в фосфатном буфере по сравнению с образцом № 8 увеличивалось, достигнув 50 (вместо 34%) и 64% (вместо 52%) через 48 ч, т. е. при добавлении ксерогеля диоксида кремния количество высвобождаемого препарата заметно увеличивается.
Рис. 3. Кинетика десорбции диклофенака из оптимальных композитов № 8 (образец ТДГПС-Г) и № 9 (образец ТДГПС-К) в фосфатном буфере (1 – ТДГПС-Г, 2 – ТДПС-К) и 0.9%-ном растворе NaCl (3 – ТДГПС-Г, 4 – ТДПС-К). Среднеквадратические отклонения измерений R2 для кривых графика составляют 0.96–0.98.
Для подтверждения того, что высокое количество высвобождения лекарственного средства при добавлении гидрофилизирующего компонента – глицерина – обусловлено также отсутствием химического взаимодействия глицерина с лекарственным средством, сделан ИК спектральный анализ смеси глицерина и диклофенака. Наблюдался лишь незначительный сдвиг полосы поглощения в области 1570 см–1 в карбоксилат-ионе препарата, что практически подтверждает отсутствие взаимодействия с ОН-группой глицерина. Вероятно, это способствует высокому высвобождению препарата.
Проведена сканирующая электронная микроскопия (СЭМ) пленок № 8 и № 9, результаты исследования представлены на рис. 4. Как видно из фотографий, на поверхности пленки № 8 имеются равномерно распределенные полости разного размера, которые, вероятно, позволяют раствору проникать в эти полости и выводить диклофенак. Поверхность пленки № 9 не имеет подобной сетчатой структуры, но видны отдельные полости и каналы. В обеих пленках структурные частицы, содержащие диклофенак, равномерно распределены на поверхности и равномерно диспергированы в объеме пленок.
Рис. 4. СЭМ-изображения композитных пленок № 8 (образец ТДГПС-Г) (левая колонка) и № 9 (образец ТДГПС-К) (правая колонка).
В рамановской спектроскопии полученного композита № 8 использована картографическая функция [30] на трех случайных участках (33 × 40 мкм). Кроме того, получены и нормализованы чистые спектры каждого составляющего соединения. Количественная оценка выполнена с помощью программного обеспечения LabSpec с использованием чистых спектров. Анализ проводили с использованием лазера с длиной волны 785 нм, мощностью 25% (15 мВт), объективом 100×, решеткой 1200 г/мм, шагом 2.5 мкм. На рис. 5–7 показаны результаты картирования. Результаты распределения соединений для трех разных областей приведены в табл. 3. Результаты этих измерений также указывают на то, что диклофенак в композите распределен достаточно равномерно.
Рис. 5. Первая область картирования композита № 8.
Рис. 6. Вторая область картирования композита № 8.
Рис. 7. Третья область картирования композита № 8.
Таблица 3. Распределение ингредиентов в композите № 8
Область | Диклофенак | Полимер | Глицерин |
Первая | 2.2% | 61.6% | 36.2% |
Вторая | 2.2% | 63.4% | 34.4% |
Третья | 2% | 48.4% | 49.6% |
ЭКСПЕРИМЕНТАЛЬНАЯ ЧАСТЬ
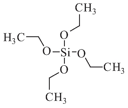
Полидиметилсилоксан с концевыми гидроксильными группами (ПДМС-OH, 2000 сСт, ~36000 г/моль, Gelest), тетраэтоксисилан (Aldrich), полидиметилсилоксан с концевыми аминопропильными группами (ПДМС-NH2, 850–900 г/моль, Gelest), глицерин (Aldrich), 1,2-пропиленгликоль (Aldrich), натриевую соль диклофенака (Aldrich) использовали в готовом виде. Тетра(2,3-дигидроксипропокси)силан и тетра(2-гидроксипропокси)силан синтезировали по методикам, описанным в патенте РФ [26]. Структуры сшивающих агентов представлены в табл. 4. Ксерогель диоксида кремния получен по методике [29].
Таблица 4. Структуры сшивающих агентов
Тетраэтоксисилан | ТГПС-7 | ТДГПС-4 | ТДГПС-7 |
тетраэтоксисилан SiC8H20O4 M 208.3 | тетра(2-гидроксипропокси)-силан Si(С3Н7O2)4·2.9С3Н8О2 M 549.1 | тетра(2,3-дигидроксипропокси)-силан Si(C3H7O3)4 M 392.4 | тетра(2,3-дигидроксипропокси)силан Si(C3H7O3)4·2.9C3H8O3 M 659.4 |
Калибровочную кривую натриевой соли диклофенака строили с использованием буферного раствора (рН = 6.86, Na+/K+/H2PO4) и 0.9%-ных растворов NaCl. Препарат анализировали спектрофотометрически (спектрофотометр Cary 100 UV-Vis). Кривые оказались линейными в диапазоне 5–0.625 мг/100 мл, коэффициенты регрессии составили 1.93 при 276 нм в буфере и 1.54 при 275 в 0.9%-ном растворе NaCl.
СЭМ-Изображения получены на приборе Prisma E SEM (ThermoFisher). ИК спектры записывали на FTIR-спектрометре Avatar Nicolet. Рамановский спектрометр HORIBA XploRATM PLUS использовали для оценки количества составляющих соединений в полимерной матрице.
Высвобождение лекарственного средства in vitro определяли методом УФ спектрофотометрии при длине волны 275, 276 нм. Три образца пленок массой по 0.03–0.04 г помещали в пробирки Эппендорфа и заполняли по 2 мл буфера (рН = 6.86) или 0.9%-ного раствора NaCl. Через определенное время жидкость отбирали и определяли десорбцию лекарства. Свежую порцию растворов добавляли в пробирки. Количество высвободившегося лекарственного средства (%) рассчитывали, как среднее из трех измерений относительно количества диклофенака в образце. В течение всего времени испытаний на высвобождение лекарственного средства образцы хранили в термостате при температуре 37–38°С.
Приготовление композитных пленок. Количественные соотношения компонентов для приготовления композитных пленок приведены в табл. 1 и 2. Определенное количество (1.8 г) ПДМС-OH перемешивали вручную с глицерином (1.8 г глицерина использовали, когда сшивающим агентом был ТДГПС-4, поскольку он не содержал сольватированный глицерин, в остальных случаях брали 1.6 г глицерина, табл. 2). В случае образцов № 1–4 синтез проводили без глицерина (табл. 1). Добавляли сшивающий агент, катализатор вулканизации и диклофенак, а в случае образца № 9 в реакционную смесь добавляли еще и ксерогель диоксида кремния (табл. 2). После добавления всех компонентов жидкую смесь перемешивали вручную в течение 8–10 мин, после чего выливали в пластиковые чашки Петри. Пленкам давали затвердеть при комнатной температуре, они имели диаметр 4.5 см и толщину: 0.08–1.1 мм (образцы № 1–4), 1.3–1.5 мм (образцы № 5–8), 2.1–2.3 мм (образец № 9).
ВЫВОДЫ
Таким образом, на основе полидиметилсилоксана с концевыми гидроксильными группами (ПДМС-ОН) синтезированы пленки, содержащие диклофенак. Глицериновые и пропиленгликолевые аналоги тетраэтоксисилана – тетра(2,3-дигидроксипропокси)-силан (ТДГПС-7, ТДГПС-4) и тетра(2-гидроксипропокси)силан (ТГПС-7) – впервые использованы для отверждения ПДМС-ОН. Показано, что сшивающие агенты имеют ряд преимуществ перед тетраэтоксисиланом. Например, наблюдается быстрая, в течение 10–15 мин, сшивка с образованием стабильных эластомерных пленок, содержащих глицерин. В качестве катализатора вулканизации силикона использовали аминный катализатор – полидиметилсилоксан с концевыми аминопропильными группами ПДМС-NH2. Исследованиями in vitro показано влияние используемого раствора на высвобождение диклофенака из полимерных пленок. Установлено, что оптимальными образцами являются пленки № 8 и № 9, из которых наблюдалось наибольшее и контролируемое высвобождение лекарственного препарата. Ведение в реакционную смесь ксерогеля диоксида кремния (пленка № 9) оказывает заметное влияние на скорость десорбции диклофенака по сравнению с пленкой № 8 как в фосфатном буфере, так и в физиологическом растворе. По данным СЭМ и рамановской спектрометрии образцов № 8 и № 9, диклофенак в композитных пленках распределен достаточно равномерно. На основании проведенных исследований можно сделать вывод о том, что благодаря простоте состава и легкости технологии полученные пленки могут стать альтернативой существующим диклофенаксодержащим пленкам и могут потенциально быть использованы в качестве трансдермальных пластырей.
ФИНАНСОВАЯ ПОДДЕРЖКА
Работа выполнена при финансовой поддержке ООО «Филип Моррис Армения».
КОНФЛИКТ ИНТЕРЕСОВ
Авторы заявляют об отсутствии конфликта интересов.
About the authors
M. L. Atabekyan
Scientific and Technological Center of Organic and Pharmaceutical Chemistry of the National Academy of Sciences of the Republic of Armenia
Email: grigstepan@yahoo.com
ORCID iD: 0000-0002-5265-5469
Armenia, Yerevan, 0014
Z. M. Farmazyan
Scientific and Technological Center of Organic and Pharmaceutical Chemistry of the National Academy of Sciences of the Republic of Armenia
Email: grigstepan@yahoo.com
ORCID iD: 0000-0001-9841-5586
Armenia, Yerevan, 0014
E. A. Hakopyan
Scientific and Technological Center of Organic and Pharmaceutical Chemistry of the National Academy of Sciences of the Republic of Armenia
Email: grigstepan@yahoo.com
ORCID iD: 0000-0003-2409-1894
Armenia, Yerevan, 0014
M. S. Torosyan
Scientific and Technological Center of Organic and Pharmaceutical Chemistry of the National Academy of Sciences of the Republic of Armenia
Email: grigstepan@yahoo.com
ORCID iD: 0009-0008-3399-2137
Armenia, Yerevan, 0014
V. O. Topuzyan
Scientific and Technological Center of Organic and Pharmaceutical Chemistry of the National Academy of Sciences of the Republic of Armenia
Email: grigstepan@yahoo.com
ORCID iD: 0000-0002-1721-1993
Armenia, Yerevan, 0014
S. G. Grigoryan
Scientific and Technological Center of Organic and Pharmaceutical Chemistry of the National Academy of Sciences of the Republic of Armenia
Author for correspondence.
Email: grigstepan@yahoo.com
ORCID iD: 0000-0002-7193-9803
Armenia, Yerevan, 0014
References
- Haley R.M., von Recum H.A. // Exp. Biol. Med. 2019. Vol. 244. P. 433. doi: 10.1177/1535370218787770
- Blanca-Lopez N., Soriano V., Garcia-Martin E., Canto G., Blanca M. // J. Asthma Allergy. 2019. Vol. 12. P. 217. doi: 10.2147/JAA.S164806
- McGettigan P., Henry D. // PLoS Medicine. 2013. Vol. 10. N 2. P. 1. e1001388. doi: 10.1371/journal.pmed.1001388
- Davis A., Robson J. // British J. Gen. Pract. 2016. Vol. 66. P. 172. doi: 10.3399/bjgp16X684433
- Awachat A., Shukla D., Bhola N.D. // Cureus. 2022. Vol. 14. P. e30411. doi: 10.7759/cureus.30411
- Kapo S.M., Rakanović-Todić M., Burnazović-Ristić L., Kusturica J., Ćesić A.K., Ademović E., Aganović-Mušinović I. // J. King Saud Univ. Sci. 2023. Vol. 35. N 1. P. 102394. doi: 10.1016/j.jksus.2022.102394
- Snorradottir B.S., Gudnason P.I., Scheving R., Thorsteinsson F., Masson M. // Pharmazie. 2009. Vol. 64. P. 19. doi: 10.1691/ph.2008.8206
- Ailincai D., Dorobanțu A.M., Dima B., Irimiciuc Ș.A., Lupașcu C., Agop M., Olguta O. // J. Immunol. Res. 2020. P. 1. doi: 10.1155/2020/3124304
- Sa’adon S., Ansari M.N.M., Razak S.I.A., Anand J.S., Nayan N.H.M., Ismail A.E., Haider A. // Polymer. 2021. Vol. 15. P. 2459. doi: 10.3390/polym13152459
- Stewart S.A., Domínguez-Robles J., Donnelly R.F., Larrañeta E. // Polymer. 2018. Vol. 10. N 12. P. 1379. doi: 10.3390/polym10121379
- Soroory H., Mashak A., Rahimi A. // Iran. Polym. J. 2013. Vol. 22. P. 791. doi: 10.1007/s13726-013-0178-7
- Mashak A., Rahimi A. // Iran. Polym. J. 2009. Vol. 18. N 4. P. 279.
- Mikolaszek B., Kazlauske J., Larsson A., Sznitowska M. // Polymer. 2020. Vol. 12. N 7. P. 1520. doi: 10.3390/polym12071520
- Gafar Ahmed M., AlHammad Z.A., Al-Jandan B. // Cureus. 2023. Vol. 15. N 2. P. e 34524.
- Mojsiewicz-Pieńkowska K. // Handbook of Polymers for Pharmaceutical Technologies, 2015. Vol. 2. P. 363. doi: 10.1002/9781119041412
- Aliyar H., Schalau G. 2nd // Therapeutic Deliv. 2015. Vol. 6. N 7. P. 827. doi: 10.4155/tde.15.39
- Snorradottir B.S., Gudnason P.I., Scheving R., Thorsteinsson F., Masson M. // Pharmazie. 2009. Vol. 64. P. 19. https://doi.org/10.1691/ph.2008.8206
- Malcolm R., McCullagh S., Woolfson A., Gorman S., Jones D., Cuddy J. // J. Control. Release. 2003. Vol. 97. P. 313. doi: 10.1016/j.jconrel.2004.03.029
- Mark J.E., Sullivan J.L. // J. Chem. Phys. 1977. Vol. 66. P. 1006. doi: 10.1063/1.434056
- Brook M.A., Holloway A.C., Kenneth K.N., Hrynyk M., Moore C., Ryan L. // Int. J. Pharm. 2008. Vol. 358. P. 121. doi: 10.1016/j.ijpharm.2008.02.029
- Soulas D.N., Sanopoulou M., Papadokostaki K.G. // Mater. Sci. Eng. 2013. Vol. C33. P. 2122. doi 10.1016/ j.msec.2013.01.031
- Mark J.E., Jiang C.Y., Tang M.Y. // Macromolecules. 1984. Vol. 17. P. 2613. doi: 10.1021/ma00142a026
- Yuan Q.W., Mark J.E. // Macromol. Chem. Phys. 1999. Vol. 200. P. 206. doi: 10.1002/(SICI)1521-3935(19990101) 200:1%3C206::AID-MACP206%3E3.0.CO;2-S
- Robinson M.W.C., Swain A.C., Khan N.A. // Polym. Degrad. Stab. 2015. Vol. 116. P. 88. doi 10.1016/ j.polymdegradstab.2013.10.011
- Rajendra V., Chen Y., Brook M.A. // Polym. Chem. 2010. Vol. 1. P. 312. doi: 10.1039/B9PY00220K
- Чупахин О.Н., Хонина Т.Г., Ларионов Л.П., Шадрина Е.В., Бойко А.А., Забокрицкий Н.А., Волков А.А. Пат. РФ 2382046 С1; Б. И. 2010. № 5
- Atabekyan M.L., Farmazyan Z.M., Grigoryan S.G., Lavanant L., Topuzyan V.O. Pat. EU 4322906 (2024); Pat. JP2024514128A (2024).
- Mazurek A., Brook M.A., Skov A.L. // Langmuir. 2018. Vol. 34. P. 11559. doi 0.1021/acs.langmuir.8b02039
- Григорян С.Г., Акопян Э.А., Акобян Р.М., Фармазян З.М., Атабекян М.Л., Топузян В.О. // ЖОХ. 2023. Т. 93. № 8. С. 1281. doi: 10.31857/S0044460X23080139; Grigoryan S.G., Hakopyan E.H., Hakobyan R.M., Farmazyan Z.M., Atabekyan M.L., Topuzyan V.O. // Russ. J. Gen. Chem. 2023. Vol. 93. N 8. P. 2048. doi: 10.1134/S1070363223080133
- Mercier K., Brule Th., Fromentoux L. Quality control of sugar content in beverages using Raman spectroscopy. https://www.horiba.com/
Supplementary files













