Synthesis and Properties of N-Substituted Purpuric Acid Derivatives and Their 2-Thioanalogues
- Authors: Krasnov K.A.1, Feklistova K.A.1, Krasnova A.A.1, Papp V.T.1, Gaft S.S.1
-
Affiliations:
- Golikov Scientific and Clinical Center of Toxicology of the Federal Medical and Biological Agency of Russia
- Issue: Vol 94, No 9 (2024)
- Pages: 958-964
- Section: Articles
- URL: https://bakhtiniada.ru/0044-460X/article/view/281314
- DOI: https://doi.org/10.31857/S0044460X24090029
- EDN: https://elibrary.ru/ROZXFJ
- ID: 281314
Cite item
Full Text
Abstract
A new route was developed for the synthesis of N-substituted derivatives of purple acid based on the condensation of methylene-active barbituric acids with the corresponding derivatives of 5-hydroxyiminobarbituric acid. 2-Thioanalogs of purple acid were obtained for the first time using a similar method. The spectral properties and hydrolytic stability of the synthesized purpurates were studied.
Full Text
ВВЕДЕНИЕ
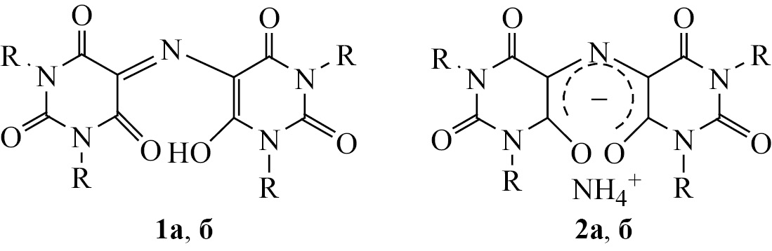
Пурпуровая кислота 1а в виде солей используется в органической химии очень давно. Пурпурат аммония 2а (мурексид, схема 1), впервые полученный в 1830 г., стал одним из первых синтетических красителей [1].
Схема 1
R = H (а), CH3 (б).
В свое время мурексид широко применялся в аналитической химии в качестве комплексонометрического индикатора для определения катионов кальция, магния, меди, никеля, кобальта и других металлов [2–7]. В биохимическом анализе тест «мурексидная проба» до сих пор используется для обнаружения пуриновых веществ [8].
Роль мурексида как индикатора в настоящее время снижается, однако как комплексоны пурпуровые кислоты могут быть интересны для биологии. Так, различные комплексообразующие средства находят применение в медицине для выведения тяжелых металлов и радионуклидов из организма [9], а в последние годы у подобных веществ обнаруживаются новые интересные свойства [10, 11]. Например, молекулы, хелатирующие железо, вызывают внимание как противоопухолевые агенты [12]. Некоторые комплексоны снижают нейтротоксичность катионов железа, марганца и меди [13], в связи с чем рассматриваются как потенциальные средства терапии нейродегенеративных расстройств [14, 15]. Имеются данные о том, что хелатирующие агенты способны усиливать действие антимикробных средств [16]. В связи с этим, производные пурпуровой кислоты, как комплексоны, структурно родственные природным пиримидиновым основаниям, могут представлять серьезный интерес для биологических исследований.
Однако структурная база пурпуратов ограничена всего двумя примерами. Так, к настоящему времени описаны соли незамещенной кислоты 1 и ее N,N,N,N-тетраметилпроизводного 2, но методы синтеза других производных не отработаны. Мурексид 2а получают обработкой аллоксана аммиаком [17], окислением пуриновых веществ [8, 18], или окислением урамила [19]. Аналогичными путями можно получить тетраметилмурексид 2б, но для синтеза других N-замещенных пурпуратов и их 2-тиоаналогов данные подходы неудобны из-за труднодоступности исходных соединений. Еще можно упомянуть, что пурпуровые кислоты обнаруживались в качестве примесей в составе продуктов нитрозирования барбитуровой или 2-тиобарбитуровой кислот [20], однако такие примеси не выделялись.
Целью настоящего исследования состояла в разработке удобного подхода к синтезу N-замещенных пурпуратов и их 2-тиоаналогов, представляющих потенциальный интерес для биоскрининга.
РЕЗУЛЬТАТЫ И ОБСУЖДЕНИЕ
Мы установили, что производные 5-оксииминобарбитуровой (виолуровой) кислоты 3 в присутствии ацетата аммония в мягких условиях взаимодействуют с метиленактивными барбитуровыми кислотами 4, образуя аммониевые соли соответствующих пурпуровых кислот 2, 5 (схема 2).
Схема 2.
R1, R2, R3, R4 = H, CH3, n-Bu, Ph; X1, X2 = O, S; Z+ = NH4+, Na+, K+.
Данная реакция, очевидно, имеет общий характер, учитывая, что в нее вступают как кислородные виолуровые кислоты, так и их 2-тиоаналоги. Характер замещения при атомах азота не оказывает существенного влияния на скорость процесса.
Реакции проводили в ДМСО при 40–70°С, конечные продукты − производные пурпуровой и тиопурпуровой кислот выделяли в виде аммониевых, натриевых или калиевых солей (табл. 1).
Таблица 1. Структура и выход производных пурпуровой и 2-тиопурпуровой кислот 2, 5
Продукт | R1 | R2 | R3 | R4 | Х1 | Х2 | Z+ | Выход, % | Исходные соединения | |
2а | Н | Н | Н | Н | О | О | NH4+ | 71 | 3а | 4а |
2б | CH3 | CH3 | CH3 | CH3 | О | О | NH4+ | 82 | 3б | 4б |
5а | H | CH3 | CH3 | Н | О | О | Nа+ | 64 | 3в | 4в |
5б | Н | Н | CH3 | CH3 | О | О | Nа+ | 22а | 3а | 4б |
5в | H | n-Bu | n-Bu | Н | О | О | К+ | 49 | 3г | 4г |
5г | Н | Н | n-Bu | Н | О | О | Nа+ | 31а | 3а | 4г |
5д | H | Ph | Ph | Н | О | О | NH4+ | 66 | 3д | 4д |
5е | H | H | Н | Н | S | S | NH4+ | 70 | 3е | 4е |
5ж | H | CH3 | CH3 | H | S | S | NH4+ | 50 | 3ж | 4ж |
5з | H | Ph | Ph | H | S | S | NH4+ | 25 | 3з | 4з |
5и | H | H | Н | Н | S | O | NH4+ | 33а | 3е | 4а |
а Выход указан после повторной кристаллизации.
Выходы симметрично замещенных N-алкилпурпуратов 2а, 2б, 5а, 5в, 5д–ж достаточно высоки (50–80%), но при получении асимметрично замещенных продуктов, таких как соединения 5б и 5и, требовалась дополнительная очистка, что существенно снижало конечный выход (табл. 1). Образование примесей в данном случае связано с побочной реакцией обмена, протекающей между исходным субстратом 4 и конечным продуктом (пурпуратом). Также низкий выход получен в случае N,N′-дифенилзамещенного тиопурпурата 5з, что обусловлено повышенной гидролитической лабильностью этого соединения.
Все пурпураты представляют собой ярко окрашенные вещества, в электронных спектрах которых присутствуют характерные полосы поглощения: А (λmax = 245–250 нм), В (λmax = 315–340 нм) и С (λmax = 530–570 нм) (рис. 1, табл. 2).
Рис. 1. Спектры поглощения соединений 2а, 5е, 5и в концентрации 1 · 10–4 моль/л (вода, рН = 7).
Таблица 2. Максимумы поглощения (λmax) и мольные коэффициенты экстинкции (ε) производных пурпуровой и 2-тиопурпуровой кислот 2, 5
Соединение | λmax, нм (ε × 10–4) | ||
А | В | С | |
2а | 246.5 (1.60) | 320.0 (0.83) | 521.0 (1.04) |
2б | 252.0 (1.69) | 317.0 (1.19) | 529.5 (1.36) |
5а | 249.0 (1.62) | 321.5 (0.77) | 525.5 (1.33) |
5б | 247.5 (1.83) | 322.0 (0.86) | 525.5 (1.44) |
5в | 250.0 (1.58) | 322.0 (0.95) | 528.5 (1.29) |
5г | 247.5 (1.55) | 323.0 (0.75) | 525.0 (1.21) |
5д | 248.0 (1.66) | 321.0 (0.82) | 526.5 (1.38) |
5е | 244.5 (1.80) | 337.0 (1.50) | 568.5 (1.95) |
5ж | 243.0 (2.54) | 339.0 (2.27) | 571.5 (2.68) |
5з | 246.0 (2.16) | 339.5 (1.74) | 572.0 (1.81) |
5и | 246.5 (1.65) | 331.0 (1.04) | 549.5 (1.50) |
По данным спектрофотометрии, замена водорода при атомах азота в соединении 2а на алкильные или арильные заместители сопровождается гиперхромным эффектом. При замене кислорода на серу в положениях 2(2′) гиперхромный эффект еще более выражен, при этом наблюдается также батохромный сдвиг длинноволновой полосы С (табл. 2).
Характеризуя свойства синтезированных соединений, важно оценить их гидролитическую устойчивость в водных растворах. Как известно, мурексид в подкисленных растворах разрушается на аллоксан и урамил, гидролиз ускоряется с понижением рН среды [21]. Аналогичная зависимость прослеживается и для пурпуратов 5, при этом скорость гидролиза зависит также и от структуры заместителя. Константа скорости гидролиза мурексида Kг = 1.9 · 10–3 с–1, для его N-алкилпроизводных 5а, 5в Kг = 1 · 10–3 с–1 (рН = 2.7, 25°С), т. е. последние почти в 2 раза устойчивее мурексида в данных условиях. Дифенилпроизводное 5д в кислой среде еще более устойчиво (Kг = 3 · 10–4 с–1 при рН = 2.7), однако в слабощелочных растворах (рН = 8) оно гидролизовалось быстрее, чем мурексид и его N-алкилпроизводные 5а, 5в. 2,2′-Дитиоаналоги пурпуровой кислоты 5е, 5ж, 5з гидролитически менее устойчивы, чем соответствующие кислородные производные, особенно соединение 5з (Kг = 0.01 с–1 при рН = 2.7 и Kг = 2 · 10–3 с–1 при рН = 8). В целом, можно отметить, что пурпураты наиболее устойчивы в нейтральных растворах, а сдвиг рН как в кислую, так и в щелочную область приводит к ускорению гидролиза.
ВЫВОДЫ
Таким образом, найден простой и удобный подход к синтезу N-замещенных производных пурпуровой кислоты и их 2-тиоаналогов. Полученные соединения представляют интерес для биологического тестирования. В частности, по прогнозу, сделанному с помощью программы PASS Online, они с высокой (0.98) вероятностью могут быть перспективны как средства для лечения синдрома непереносимости глютена, а также как ингибиторы тестостерон-17β-дегидрогеназы, птерин-деаминазы, трансглутаминазы-2 и ряда других ферментов.
ЭКСПЕРИМЕНТАЛЬНАЯ ЧАСТЬ
В качестве стандарта использовали мурексид категории ЧДА с чистотой не менее 99%. Электронные спектры записаны на спектрофотометре Shimadzu UV-1800 с использованием стандартных кварцевых кювет. Спектры ЯМР 1H и 13С сняты в ДМСО-d6 на приборе Bruker Avance 400WB при рабочей частоте 400 и 100 МГц соответственно. Чистоту синтезированных соединений контролировали методом ВЭЖХ на хроматографе Shimadzu LC-20 Prominence с СФ детектором диодно-матричного типа. Разделение проводили на обращенно-фазной колонке монолитного типа (Chromolit Performance-RP) длиной 10 см, в качестве подвижной фазы использовали ацетонитрил (фаза А) и водный раствор ацетата аммония 0.1% (фаза Б) в условиях градиентного элюирования.
Скорость гидролиза производных пурпуровой кислоты 2, 5 в водных растворах оценивали спектрофотометрически по изменению оптической плотности в видимой области спектра с заданными значениями рН при 25°С, при концентрации исследуемых соединений от 1 · 10–4 до 1 · 10–5 моль/л.
Исходные барбитуровые кислоты 3 получены из замещенных мочевин и малонового эфира, виолуровые кислоты 4 синтезированы нитрозированием соответствующих барбитуровых кислот 3 по методике, описанной в работе [22]. Все остальные реагенты коммерчески доступны.
(5E)-5-[(6-Гидрокси-2,4-диоксо-1,2,3,4-тетрагидропиримидин-5-ил)имино]пиримидин-2,4,6(1H,3H,5H)-триона аммониевая соль (мурексид) (2а). 0.005 моль (0.785 г) виолуровой кислоты 3а и 0.005 моль (0.64 г) барбитуровой кислоты 4а растворяли в 10 мл ДМСО при 50°С. К этому раствору при перемешивании добавляли 0.01 моль ацетата аммония, растворенного в 3 мл метанола. Полученную смесь перемешивали при 50°С в течение 1 ч, затем разбавляли ее 25 мл 3%-ного водного раствора ацетата аммония и выдерживали 1 ч при комнатной температуре для формирования осадка. Осадок отделяли на фильтре Шотта, промывали 20 мл 1%-ного водного раствора ацетата аммония, затем 10 мл воды и сушили на воздухе при 50°С. Получали 1.0 г соединения 2а в виде темно-красного порошка с т. разл. свыше 250°С. Электронный спектр 2а соответствует стандартному образцу и данным работы [23].
Аналогично получали соединения 5д–ж, и.
(5E)-5-[(6-Гидрокси-1-фенил-2,4-диоксо-1,2,3,4-тетрагидропиримидин-5-ил)имино]-1-фенилпиримидин-(1H,3H,5H)-2,4,6-триона аммониевая соль (5д) получали из 1-фенилвиолуровой кислоты 3д и 1-фенилбарбитуровой кислоты 4д. Темно-красный порошок с т. разл. >250°С. Спектр ЯМР 1Н (ДМСО-d6), d, м. д.: 6.7–8.5 уш. с (4Н, NH4+), 7.23 м (4Н, Ar), 7.39 м (6Н, Ar), 10.0–11.0 уш. с (2Н, 2NH). Спектр ЯМР 13С (ДМСО-d6), dC, м. д.: 119.6 (С5 + С5а), 127.7 (2СAr), 128.6 (4СAr), 129.3 (4СAr), 136.1 (2СAr), 150.0 (2С2О), 155–165 уш. (4СО).
(5E)-5-[(6-Гидрокси-2-тио-4-оксо-1,2,3,4-тетрагидропиримидин-5-ил)имино]-1-пиримидин-(1H,3H,5H)-2-тио-4,6-диона аммониевая соль (5е) получали из 2-тиовиолуровой кислоты 3е и 2-тиобарбитуровой кислоты 4е. Красно-фиолетовый порошок с т. разл. >200°С. Спектр ЯМР 13С (ДМСО-d6), dC, м. д.: 121.8 (С5 + С5а), 157.5 уш. (4СО), 175.5 (2СS).
(5E)-5-[(6-Гидрокси-1-метил-2-тио-4-оксо-1,2,3,4-тетрагидропиримидин-5-ил)имино]-1-метилпиримидин-(1H,3H,5H)-2-тио-4,6-диона аммониевая соль (5ж) получали из 1-метил-2-тиовиолуровой кислоты 3ж и 1-метил-2-тиобарбитуровой кислоты 4ж. Темно-фиолетовый порошок с т. разл. >200°С. Спектр ЯМР 1Н (ДМСО-d6), d, м. д.: 3.53 с (6Н, NСН3), 8.0–10.0 уш. с (6Н, 2NH + NH4+). Спектр ЯМР 13С (ДМСО-d6), dC, м. д.: 33.7 (2СН3), 121.9 (С5 + С5а), 157.0 уш. (4СО), 176.5 (2СS).
(5E)-5-[(6-Гидрокси-2-тио-4-оксо-1,2,3,4-тетрагидропиримидин-5-ил)имино]-1-пиримидин-(1H,3H,5H)-2-тио-4,6-диона аммониевая соль (5и) получали из 2-тиовиолуровой кислоты 3е и барбитуровой кислоты 4а. Темно-красный порошок с т. разл. >200°С. Спектр ЯМР 13С (ДМСО-d6), dC, м. д.: 118.9 (С5), 121.8 (С5а), 150.0 (С2О), 156.1 уш. (2СО), 162.3 уш. (2СО), 175.0 (СS).
(5E)-5-[(6-гидрокси-1,3-диметил-2,4-диоксо-1,2,3,4-тетрагидропиримидин-5-ил)имино]-1,3-диметилпиримидин-2,4,6(1H,3H,5H)-триона аммониевая соль (мурексид) (2б). 0.005 моль 1,3-диметилвиолуровой кислоты 3б и 0.005 моль 1,3-диметилбарбитуровой кислоты 4б растворяли в 7 мл ДМСО при 40°С. К этому раствору при перемешивании добавляли 0.01 моль (0.77 г) ацетата аммония, растворенного в 3 мл метанола. Полученную смесь перемешивали при 50°С в течение 1 ч, затем разбавляли ее 25 мл 3%-ного метанольного раствора ацетата аммония и выдерживали 2 ч при 10°С. Выделившийся осадок отделяли на фильтре Шотта, промывали 20 мл 1%-ного водного раствора ацетата аммония, затем 10 мл воды и сушили на воздухе при 50°С. Получали 1.43 г соединения 2б в виде темно-красного порошка с т. разл. >250°С. Спектр ЯМР 1Н (ДМСО-d6), d, м. д.: 3.17 с (12Н, NСН3), 7.0–8.0 уш. с (4Н, NH4+). Спектр ЯМР 13С (ДМСО-d6), dC, м. д.: 27.6 (4СН3), 117.5 (С5 + С5а), 150.1 (2С2О) 159.0 уш. (4СО).
(5E)-5-[(6-Гидрокси-1-метил-2,4-диоксо-1,2,3,4-тетрагидропиримидин-5-ил)имино]-1-метилпиримидин-(1H,3H,5H)-2,4,6-триона натриевая соль (5а). 0.005 моль 1-метилвиолуровой кислоты 3в и 0.005 моль 1-метилбарбитуровой кислоты 4в растворяли в 8 мл ДМСО при 40°С. К этому раствору при перемешивании добавляли раствор 0.01 моль (0.77 г) ацетата аммония, растворенного в 3 мл метанола. Полученную смесь перемешивали при 50°С в течение 1 ч и затем разбавляли 30 мл 3%-ного водного раствора гидрокарбоната натрия. Реакционную смесь выдерживали 2 ч при комнатной температуре для формирования осадка. Осадок отделяли на фильтре, промывали 20 мл 1%-ного водного раствора NaHCO3, затем 10 мл воды и сушили на воздухе при 40°С. Получали 0.99 г соединения 5а в виде темно-красного порошка с т. разл. >250°С. Спектр ЯМР 1Н (ДМСО-d6), d, м. д.: 3.14 с (6Н, NСН3), 10.94 уш. с (2Н, NH). Спектр ЯМР 13С (ДМСО-d6), dC, м. д.: 27.2 (2СН3), 117.6 (С5 + С5а), 150.4 (2С2О), 155.0 уш. (2СО), 163.3 уш. (2СО).
Аналогично получали соединения 5б–г.
(5E)-5-[(6-Гидрокси-1,3-диметил-2,4-диоксо-1,2,3,4-тетрагидропиримидин-5-ил)имино]пиримидин-(1H,3H,5H)-2,4,6-триона натриевая соль (5б) получали из виолуровой кислоты 3а и 1,3-диметилбарбитуровой кислоты 4б. Темно-красный порошок с т. разл. >250°С. Спектр ЯМР 1Н (ДМСО-d6), d, м. д.: 3.17 с (6Н, NСН3), 8.47 уш. с (2Н, NH). Спектр ЯМР 13С (ДМСО-d6), dC, м. д.: 27.9 (СН3), 28.0 (СН3), 118.2 (С5), 119.6 (С5а), 150.0 (С2О), 151.0 (С2аО), 156.0 уш. (2СО), 162.8 уш. (2СО).
(5E)-5-[(6-Гидрокси-1-бутил-2,4-диоксо-1,2,3,4-тетрагидропиримидин-5-ил)имино]-1-бутилпиримидин-(1H,3H,5H)-2,4,6-триона калиевая соль (5в) получали из 1-бутилвиолуровой кислоты 3г и 1-бутилбарбитуровой кислоты 4г. Темно-красный порошок с т. разл. >250°С. Спектр ЯМР 1Н (ДМСО-d6), d, м. д.: 0.89 т (6Н, СН3, J 7.2 Гц), 1.28 м (4Н, СН2), 1.50 м (4Н, СН2), 3.72 к (4Н, NСН2, J 7.2 Гц). Спектр ЯМР 13С (ДМСО-d6), dС, м. д.: 13.7 (2СН3), 19.6 (2СН2), 30.0 (2СН2), 79.1 (2СН2N), 118.1 (С5 + С5а), 150.8 (2С2О), 156.6 уш. (2СО), 162.5 уш. (2СО).
(5E)-5-[(6-Гидрокси-1-бутил-2,4-диоксо-1,2,3,4-тетрагидропиримидин-5-ил)имино]пиримидин-(1H,3H,5H)-2,4,6-триона натриевая соль (5г) получали из виолуровой кислоты 3а и 1-бутилбарбитуровой кислоты 4г. Темно-красный порошок с т. разл. >250°С. Спектр ЯМР 1Н (ДМСО-d6), d, м. д.: 0.89 т (3Н, СН3, J 7.2 Гц), 1.28 м (2Н, СН2), 1.49 м (2Н, СН2), 3.72 к (4Н, NСН2, J 7.2 Гц), 4.5 уш. с (2Н, NH). Спектр ЯМР 13С (ДМСО-d6), dC, м. д.: 13.7 (СН3), 19.6 (СН2), 30.0 (СН2), 79.1 (СН2N), 119.3 (С5 + С5а), 150.2 (2С2О) 155.5 уш. (2СО), 162.2 уш. (2СО).
(5E)-5-[(6-Гидрокси-1-фенил-2-тио-4-оксо-1,2,3,4-тетрагидропиримидин-5-ил)имино]-1-фенилпиримидин-(1H,3H,5H)-2-тио-4,6-диона калиевая соль (5з). 1.24 г (0.005 моль) 1-фенил-2-тиовиолуровый кислоты 3з и 1.1 г (0.005 моль) 1-фенил-2-тиобарбитуровой кислоты 4з растворяли в 10 мл ДМСО при 40°С. К реакционной смеси при перемешивании добавляли 0.77 г (0.01 моль) ацетата аммония, растертого с 3 мл ДМСО. Полученную смесь перемешивали при 50°С в течение 10 мин и затем разбавляли 30 мл 3%-ного водного раствора KHCO3 с добавкой 0.1 мл уксусной кислоты. Реакционную смесь выдерживали 20 мин при 10°С до формирования осадка. Осадок отделяли на фильтре Шотта, промывали 10 мл 1%-ного водного раствора KHCO3, затем 5 мл воды и сушили на воздухе при комнатной температуре. Получали 0.56 г соединения 5з в виде красно-фиолетового порошка с т. разл. >200°С. Спектр ЯМР 1Н (ДМСО-d6), d, м. д.: 7.23 м (4Н, Ar), 7.38м (6Н, Ar), 12.28 уш. с (2Н, NH). Спектр ЯМР 13С (ДМСО-d6), dC, м. д.: 119.6 (С5 + С5a), 127.7 (2СAr), 128.6 (4СAr), 129.3 (4СAr), 136.1 (2СAr), 150.0 (2С2О), 155–165 уш. (4СО).
ФИНАНСОВАЯ ПОДДЕРЖКА
Работа выполнена в рамках государственного задания Научно-клинического центра токсикологии им. С. Н. Голикова ФМБА России на 2024–2026 г.г. (шифр «Виолурат»).
КОНФЛИКТ ИНТЕРЕСОВ
Авторы заявляют об отсутствии конфликта интересов.
About the authors
K. A. Krasnov
Golikov Scientific and Clinical Center of Toxicology of the Federal Medical and Biological Agency of Russia
Author for correspondence.
Email: institute@toxicology.ru
ORCID iD: 0000-0003-1503-2243
Russian Federation, Saint Petersburg, 192019
K. A. Feklistova
Golikov Scientific and Clinical Center of Toxicology of the Federal Medical and Biological Agency of Russia
Email: institute@toxicology.ru
ORCID iD: 0009-0006-3670-2145
Russian Federation, Saint Petersburg, 192019
A. A. Krasnova
Golikov Scientific and Clinical Center of Toxicology of the Federal Medical and Biological Agency of Russia
Email: institute@toxicology.ru
ORCID iD: 0009-0004-1666-2161
Russian Federation, Saint Petersburg, 192019
V. T. Papp
Golikov Scientific and Clinical Center of Toxicology of the Federal Medical and Biological Agency of Russia
Email: institute@toxicology.ru
Russian Federation, Saint Petersburg, 192019
S. S. Gaft
Golikov Scientific and Clinical Center of Toxicology of the Federal Medical and Biological Agency of Russia
Email: institute@toxicology.ru
ORCID iD: 0009-0008-5092-8161
Russian Federation, Saint Petersburg, 192019
References
- Morris P.J.T., Travis A.S. // Am. Dyest. Rep. 1991. Vol. 81. N 11. P. 59.
- Lewis M.J. // Int. J. Dairy Technol. 2011. Vol. 64. P. 1. doi: 10.1111/j.1471-0307.2010.00639.x
- Kohn R. // Chem. Zvesti. 1969. Vol. 23. P. 721.
- Fathi M.R., Shamsipur M. // Spectrosc. Lett. 1993. Vol. 26. N 9. P. 1797. doi: 10.1080/00387019308010777
- Masoud M.S., Kassem T.S., Shaker M.A., Ali A.E. // J. Therm. Anal. Calorim. 2006. Vol. 84. N 3. P. 549. doi: 10.1007/s10973-005-9991-3
- Grochala W., Bukowska J. // Vib. Spectrosc. 1998. Vol. 17. N 2. P. 145. doi: 10.1016/S0924-2031(98)00024-1
- Khaled M.E., Fatma M.N., Abdunaser M.E.-A., Noor el Huda E. // Chem. J. 2020. Vol. 5. P. 40.
- Бидоленко В.В., Попов А.С., Иванова И.С., Чухно А.С. // Междунар. научно-иссл. ж. 2022. Вып. 4(118). Ч. 2. С. 167. doi: 10.23670/IRJ.2022.118.4.103
- Машковский М.Д. Лекарственные средства. М.: Новая Волна, 2006. С. 751.
- Ковтун В.Ю., Гладких В.Д., Давидович Ю.А., Жорова Е.С., Огородникова В.В., Беляев И.К., Краснюк В.И. // Медицинская радиология и радиационная безопасность. 2015. Т. 60. Вып. 1. С. 45.
- Kontoghiorghes G.J. // Int. J. Mol. Sci. 2020. Vol. 21. N 7. P. 2499. doi: 10.3390/ijms21072499
- Ibrahim O., O’Sullivan J. // Biometals. 2020. Vol. 33. N 4. P. 201. doi: 10.1007/s10534-020-00243-3
- Aaseth J.O., Nurchi V.M. // Biomolecules. 2022. Vol. 12. N 11. P. 1713. doi: 10.3390/biom12111713
- Chaudhari V., Bagwe-Parab S., Buttar H.S., Gupta S., Vora A., Kaur G. // Neurotox. Res. 2023. Vol. 41. N 3. P. 270. doi: 10.1007/s12640-023-00634-7
- Ward R.J., Dexter D.T., Martin-Bastida A., Crichton R.R. // Int. J. Mol. Sci. 2021. Vol. 22. N 7. P. 3338. doi: 10.3390/ijms22073338
- Галынкин В.А., Еникеев А.Х., Подольская Е.П., Гпадчук А.С., Виноградова Т.И., Заболотных Н.В., Догонадзе М.З., Краснов К.А. // Медицина экстремальных ситуаций. 2022. Т. 24. Вып. 1. С. 43. doi: 10.47183/mes.2022.002
- Hartley W.N. // J. Chem. Soc. 1905. Vol. 87. P. 1791.
- Кептэнару К. Органическая химия. Б.: Кишинэу, 2021. С. 394.
- Dhahri R., Guizani M., Yılmaz M., Mechi L., Alsukaibi A.Kh.D., Alimi F., ben Salem R., Moussaoui Y. // J. Chem. 2022. P. 14. doi: 10.1155/2022/9735071
- Левина Р.Я., Величко Ф.К. // Усп. химии. 1960. Т. 29. С. 929.
- Ramaiah N.A., Gupta S.I., Vishnu J. // Z. Naturforsch. (B). 1957. Vol. 12. P. 189. doi: 10.1515/znb-1957-0311
- Пат. 2188196 (1998). РФ // Б. И. 2002. № 24.
- Biirgi H.B., Djuric S., Dobler M., Dunitz J.D. // Helv. Chim. Acta. 1972. Vol. 55. P. 1771. doi: 10.1002/hlca.19720550537
Supplementary files





