Formation of alaninate complexes of Fe(II) at various ionic strengths of the solution
- Autores: Bobonazarzoda G.B.1
-
Afiliações:
- Research Institute of the Tajik National University
- Edição: Volume 94, Nº 8 (2024)
- Páginas: 907-912
- Seção: Articles
- URL: https://bakhtiniada.ru/0044-460X/article/view/275734
- DOI: https://doi.org/10.31857/S0044460X24080049
- EDN: https://elibrary.ru/SCDBCZ
- ID: 275734
Citar
Texto integral
Resumo
The complexation in the Fe(0)–Fe(II)–L-Ala–Na(H)ClO4–H2O system was studied at a temperature of 298.15 K and the ionic strength of the Na(H)ClO4 solution I = 0.1–1.0 mol/L (cFe(II) = 1·10–3 and cL = 1·10–2 mol/l) in the range of pH = 1.0–8.2. The constants of complex formation were calculated by the method of successive approximation of theoretical and experimental oxidation functions. Based on the Debye–Huckel theory, the dependence of the constant of complex formation on the ionic strength of the solution was established. It was found that with an increase in the ionic strength of the solution, the values of the constants of formation of the forming coordination compounds decrease.
Palavras-chave
Texto integral
ВВЕДЕНИЕ
Известно, что аланин является бидентатным лигандом, может координировать по амино- и карбоксильной группам и образовывать в растворах с ионами металлов гомоядерные, биядерные и гетероядерные комплексы. Изучение протолитических свойств аланина в экспериментальных условиях образования координационных соединений и построение диаграммы распределения ионных форм аминокислот показывают, что катионная форма аланина +NH3CH(CH3)COOH присутствует в растворе лишь в смеси с биполярным ионом +NH3CH(CH3)COO– при любом значении рН < 4.0. В области рН > 4.0 он существует в форме биполярного иона, а при рН > 9.0 – в виде аниона NH2CH(CH3)COO– [1, 2].
В работе [3] определены теплоты реакций образования комплексов L-аланина с ионом меди(II). Тепловые эффекты взаимодействия раствора аминокислоты с раствором нитрата меди(II) измерены при температурах 288.15, 298.15 и 308.15 K и значениях ионной силы I = 0.25, 0.50 и 0.75 моль/л на фоне KNO3.
Калориметрическим методом при 298.15 K получены комплексы β-аланина с ионами меди(II) [4], кобальта(II) [5] и цинка(II) [6] следующего состава: CuAla+ (lgb = 7.50±0.08), CuAla2 (lgb = 13.21±0.09), CoAla+ (lgb = 4.12±0.08), CoAla2 (lgb = 7.14±0.19), ZnAla+ (lgb = 4.63±0.09), ZnAla2 (lgb = 7.96±0.11).
Целью настоящей работы является изучение процессов комплексообразования в системе Fe(0)–Fe(II)–L-Ala–Na(H)ClO4–H2O при 298.15 K и ионной силе раствора Na(H)ClO4 I = 0.1–1.0 моль/л (сFe(II) = 1·10–3 и сL = 1·10–2 моль/л) в интервале pH = 1.0–8.2.
РЕЗУЛЬТАТЫ И ОБСУЖДЕНИЕ
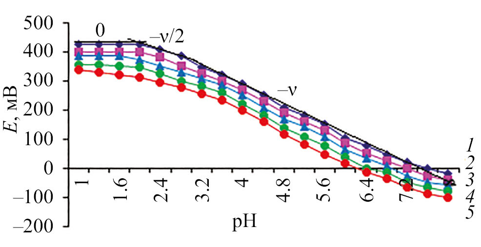
Для изучения процессов образования аланинатных комплексов железа(II) использовали метод окислительного потенциала Кларка–Никольского [7–9]. Для определения предположительного состава координационных соединений, образующихся в исследуемой системе, а также значений базисных частиц (q, s, l, k), согласно теории метода оксредметрии получены экспериментальные зависимости ЭДС (Е, мВ) от рН раствора в интервале ионных сил Na(H)ClO4 I = 0.1–1.0 моль/л (рис. 1).
Согласно теории метода оксредметрии, последовательное формирование линейных участков с тангенсами углов наклона, равными 0, –ν/2, –ν, свидетельствует о ступенчатом комплексообразовании Fe(II). Зависимости Е–рН позволяют определить общее количество координированных лигандов вокруг центрального иона комплексообразователя.
Из рис. 1 видно, что зависимость ЭДС от рН при всех значениях ионных сил раствора имеет идентичный вид, а значения ЭДС в зависимости от рН плавно уменьшаются. Представленные зависимости при различных ионных силах указывают на существование в системе последовательного ступенчатого процесса образования комплексов. Необходимо отметить особенность кривых Е–рН: с увеличением ионной силы раствора все наклоны кривых сохраняются, следовательно, состав комплексов не меняется, но установленная зависимость смещается в сторону меньших значений рН. Область формирования и доминирования комплексов, а также их устойчивость изменяются. Такой экспериментальный факт объясняется тем, что при смещении кривых в кислую область рН, возрастает комплексообразующая сила лиганда.
Рис. 1. Зависимость ЭДС от рН в системе Fe(0)–Fe(II)–L-Ala–Na(H)ClO4–H2O при 298.15 K и различных значениях ионной силы раствора Na(H)ClO4 (сFe(II) = 1·10–3 и сL = 1·10–2 моль/л). I = 0.10 (1), 0.25 (2), 0.50 (3), 0.75 (4), 1.00 моль/л (5).
Анализ всех экспериментальных зависимостей рассмотрим на примере системы Fe(0)–Fe(II)–L-Ala–Na(H)ClO4–H2O при 298.15 K, ионной силе раствора Na(H)CIO4 I = 0.10 (cFe(II) = 1·10–3 и cL = 1·10–2 моль/л).
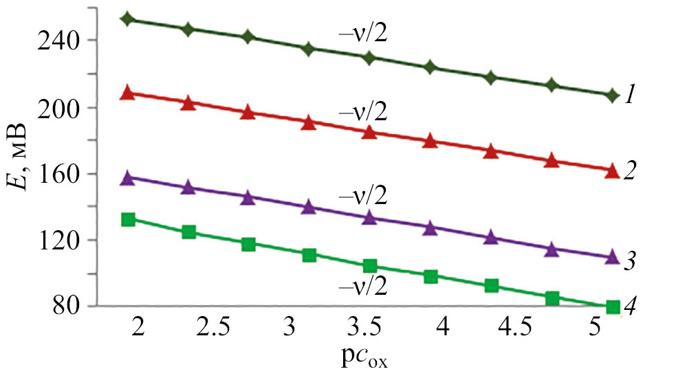
Ядерность (q) образующегося координационного соединения устанавливали по данным анализа экспериментальной зависимости ЭДС (Е) гальванического элемента от показателя концентрации ионов Fe+2 (pсox= –lgсFe+2), которая представлена на рис. 2.
Рис. 2. Зависимость ЭДС системы Fe(0)–Fe(II)–L-Ala–Na(H)ClO4–H2O от pсox при 298.15 K и ионной силе раствора Na(H)CIO4 I = 0.10 моль/л (сL = 1·10–2 моль/л). рН = 4.5 (1), 6.5 (2), 7.5 (3), 8.0 (4).
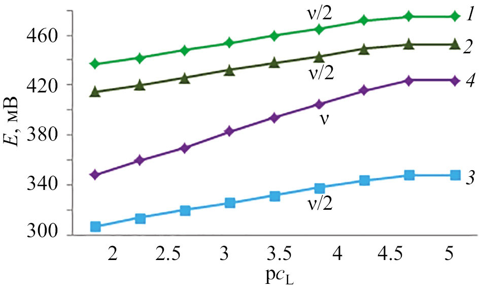
На зависимостях, приведенных на рис. 3, можно выделить линейные участки с угловыми коэффициентами +ν/2 и +ν. Следовательно, можно сделать вывод о вхождении во внутреннюю координационную сферу комплекса одного и двух лигандов.
Рис. 3. Зависимость ЭДС системы Fe(0)–Fe(II)–L-Ala–Na(H)ClO4–H2O от рсL при 298.15 K и ионной силе раствора Na(H)CIO4 I = 0.10 моль/л. рН = 2.0 (1), 4.0 (2), 8.0 (3), 5.5 (4).
Анализ наклонов всех полученных экспериментальных кривых позволил составить матрицу значений угловых коэффициентов, с помощью которых определены предположительные составы образующихся координационных соединений (табл. 1).
Таблица 1. Экспериментальные значения угловых коэффициентов зависимостей ЭДС от концентрационных переменных в системе Fe(0)–Fe(II)–L-Ala–Na(H)ClO4–H2O при 298.15 K, ионной силе раствора Na(H)CIO4 I = 0.10 моль/л (сFe(II) = 1·10–3 и сL = 1·10–2 моль/л).
Область существования комплексов по шкале рН | Зависимость ЭДС от концентрационных параметров | Предположительный состав комплексов | ||
рH | рсox | pсL | ||
1.0–3.0 | 0 | – | – | [Fe(H2O)6]2+ |
1.0–3.8 | –ν/2 | –ν/2 | – | [Fe(OH)(H2O)5]+ |
1.0–4.2 | –ν/2 | –ν/2 | ν/2 | [FeL(H2O)5]+ |
1.4–6.2 | –ν | –ν/2 | ν/2 | [FeL(OH)(H2O)4]0 |
2.0–5.4 | –ν | –ν/2 | – | [Fe(OH)2(H2O)4]0 |
2.8–8.2 | –ν | –ν/2 | n | [Fe(HL)L–(H2O)4]+ |
Для расчета констант равновесия использована окислительная функция Юсупова [10].
По экспериментальным значениям ЭДС на ее зависимости от рН сначала рассчитаны величины экспериментальной окислительной функции fэ по уравнению (1):
(1)
где Е – экспериментально измеренное значение ЭДС; Е0 – значение стандартной ЭДС; n – число электронов, участвующих в окислительно-восстановительной реакции; ν = 2.303RT/F.
Теоретическое значение fт рассчитывали с учетом установленных составов координационных соединений (2):
(2)
где h – концентрация ионов водорода; Kа – константа диссоциации аланина; cа – равновесная концентрация аланината; β – константа образования комплексов.
По данным общего анализа наклонов экспериментальных кривых от концентрационных параметров определены составы образующихся координационных соединений: [Fe(H2O)6]2+, [Fe(OH)(H2O)5]+, [FeL(H2O)5]+, [FeL(OH)(H2O)4]0, [Fe(OH)2(H2O)4]0, [Fe(HL)L–(H2O)4]+. Методом итерации экспериментальной окислительной функции с теоретической, выведенной нами, рассчитаны их константы образования (рис. 4). Для этого предварительно необходимо рассчитать экспериментальную окислительную функцию по значениям экспериментального окислительного потенциала от рН и построить ее зависимость от рН. Затем, последовательно приближая зависимость экспериментальной окислительной функции от рН с теоретической, после 3–6 итераций определяли истинные значения констант образования комплексов. Основное преимущество этого метода в том, что хорошее приближение, совпадение двух кривых происходит только при правильном определении состава комплексов.
Рис. 4. Зависимости логарифмических значений экспериментальной fэ (1) и теоретической fт (2) окислительной функций от рН для системы Fe(0)–Fe(II)–L-Ala–Na(H)ClO4–H2O при 298.15 K, ионной силе раствора Na(H)CIO4 I = 0.10 (cFe(II) = 1·10–3 и cL = 1·10–2 моль/л).
Как видно из представленного рисунка кривые дают хорошее приближение при указанных в табл. 1 составах. Попытки осуществить приближение кривых зависимостей теоретической и экспериментальной окислительной функций без гидроксокомплексов [FeOH]+ и [Fe(OH)2]0 привели к слишком большому расхождению кривых, что, согласно работам [7, 8], говорит о неправильно определенных составах комплексов. Кроме того, как показывают полученные нами данные из диаграмм их распределения (рис. 5), мольные доли или максимальные их степени накопления в системе составляют всего лишь ~12.50% [FeOH]+ (рис. 4, кривая 2) и около 8.24% для [Fe(OH)2]0 (рис. 5, кривая 5). Аналогичные расчеты проведены при различных ионных силах раствора (табл. 2).
Рис. 5. Зависимость степени накопления комплексов от рН для системы Fe(0)–Fe(II)–L-Ala–Na(H)ClO4–H2O при 298.15 K, ионной силе раствора Na(H)CIO4 I = 0.10 моль/л (сFe(II) = 1·10–3 и сL = 1·10–2 моль/л). 1 – [Fe(H2O)6]2+, 2 – [Fe(OH)(H2O)5]+, 3 – [FeL(H2O)5]+, 4 – [FeL(OH)(H2O)4]0, 5 – [Fe(OH)2(H2O)4]0, 6 – [Fe(HL)L–(H2O)4]+.
Таблица 2. Численные значения констант устойчивости комплексов железа(II) для системы Fe(0)–Fe(II)–L-Ala–Na(H)ClO4–H2O при 298.15 K и различных значениях ионной силы раствора Na(H)ClO4 I = 0.1–1.0 моль/л (сFe(II) = 1·10–3 и сL = 1·10–2 моль/л).
Состав комплекса | Значения констант устойчивости комплексов | ||||
Ионная сила раствора, моль/л | |||||
0.10 | 0.25 | 0.50 | 0.75 | 1.00 | |
[FeL(H2O)5]+ | 3.48±0.09 | 3.42±0.03 | 3.29±0.02 | 3.14±0.08 | 2.82±0.05 |
[Fe(OH)(H2O)5]+ | –2.35±0.07 | –2.40±0.02 | –2.47±0.01 | –2.48±0.03 | –2.56±0.09 |
[Fe(OH)2(H2O)4]0 | –5.31±0.01 | –5.34±0.05 | –5.36±0.05 | –5.38±0.06 | –5.44±0.05 |
[FeL(OH)(H2O)4]0 | 0.88±0.09 | 0.85±0.07 | 0.59±0.06 | 0.29±0.01 | –0.08±0.04 |
[Fe(HL)L–(H2O)4]+ | 9.76±0.06 | 10.72±0.06 | 10.60±0.04 | 10.49±0.05 | 8.73±0.09 |
Установлено, что константы протолитических равновесий лиганда изменяются в зависимости от количества фонового электролита, следовательно, ионной силы раствора. Это приводит к различным выходам протонированных форм аланина. При увеличении ионной силы от 0.1 до 1.0 моль/л логарифмы констант образования (lgβqslk) комплексов (табл. 2) постепенно уменьшаются, что связано с изменением коэффициентов активности ионов раствора.
Известно, что зависимость концентрационной константы равновесия координационных соединений от ионной силы раствора выражается по теории Дебая–Хюккеля [11]. Полученные прямые линии при экстраполяции на нулевое значение ионной силы дают отрезки на оси ординат, численно равные lgβ0 (табл. 3). Угловой коэффициент полученных кривых позволил определить величину эмпирической константы b, которые приведены в табл. 3.
Таблица 3. Величины термодинамической (lgβ0) и эмпирической (b) констант для комплексов Fe(II), образующихся в системе Fe(0)–Fe(II)–L-Ala–Na(H)ClO4–H2O при 298.15 K (cFe(II) = 1·10–3 и cL = 1·10–2 моль/л).
Состав комплекса | Рассчитанные значения | |
lgβ0 | b | |
[FeL(H2O)5]+ | 3.51 | –0.36 |
[Fe(OH)(H2O)5]+ | –2.38 | 0.03 |
[Fe(OH)2(H2O)4]0 | –5.30 | 0.03 |
[FeL(OH)(H2O)4]0 | 0.65 | –0.52 |
[Fe(HL)L-(H2O)4]+ | 8.55 | –9.57 |
Полученные прямые линии при экстраполяции на I = 0 дают отрезки на оси ординат, численно равные lgβ0 (рис. 6). Угловой коэффициент полученных кривых позволил определить величину эмпирической константы b, которые приведены в табл. 3.
Рис. 6. Зависимость констант образования комплексных соединений Fe(II) от ионной силы раствора Na(H)ClO4 I = 0.1–1.0 моль/л в системе Fe(0)–Fe(II)–L-Ala–Na(H)ClO4–H2O при 298.15 K (cFe(II) = 1·10–3 и cL = 1·10–2 моль/л). 1 – [FeL(H2O)5]+, 2 – [Fe(OH)(H2O)5]+, 3 – [Fe(OH)2(H2O)4]0, 4 – [FeL(OH)(H2O)4]0, 5 – [Fe(HL)L–(H2O)4]+.
В изученной системе рассчитанные величины эмпирической константы (b) принимают отрицательные значения для всех образующихся комплексов:
. (3)
Константы образования координационных соединений, рассчитанные по экспериментальным данным, полученным методом итерации, а также с применением программы SigmaPlot-10.0 хорошо согласуются между собой, что свидетельствует о достоверности полученных результатов.
Определение термодинамических констант образования комплексных соединений по программе SigmaPlot-10.0 проще и удобнее, чем графическое. Программа для анализа и визуализации научных и статистических данных SigmaPlot-10.0 позволяет редактировать графики, а также выполнять математическую обработку табличных данных, регрессионный анализ с широким выбором вида уравнений.
ВЫВОДЫ
Методом итерации окислительной функции рассчитаны концентрационные константы образования аланинатных комплексов Fe(II). Установлена закономерность влияния ионной силы раствора на значения констант устойчивости координационных соединений, выведено соответствующее уравнение и рассчитаны их коэффициенты, а также значения термодинамических констант. Зависимость концентрационной константы равновесия координационных соединений от ионной силы раствора рассчитаны уравнением теории Дебая–Хюккеля. Проведены расчеты и статистическая обработка констант с использованием программы SigmaPlot-10.0.
ЭКСПЕРИМЕНТАЛЬНАЯ ЧАСТЬ
При проведении экспериментов использовали перхлорат железа(II), исходная концентрация которого определялась бихроматометрическим методам [12–14]. Концентрацию NaClO4, предварительно очищенного перекристаллизацией, определяли весовым методом [15, 16]. Аланин марки ЧДА и хлорную кислоту марки ХЧ применяли без дополнительной очистки. Концентрацию гидроксида натрия определяли методом прямого титрования 0.1 М. раствором соляной кислоты из фиксанала [15, 17].
При выполнении экспериментов использовали специальную герметичную установку [7] с анаэробными условиями в токе очищенного азота или аргона, что исключало окисление Fe(II) и образование железа(III), а также позволяло хорошо перемешивать рабочий раствор. Методика проведения эксперимента заключается в измерении ЭДС двух гальванических элементов I и II:
Fe0 | исследуемый раствор || Сl–, AgCl | Ag, (I)
Ag, AgCl | HCl | стекло | исследуемый раствор || KCl | AgCl, Ag. (II)
ФИНАНСОВАЯ ПОДДЕРЖКА
Работа выполнена в рамках проекта Научно-исследовательского института Таджикского национального университета.
КОНФЛИКТ ИНТЕРЕСОВ
Автор заявляет об отсутствии конфликта интересов.
Sobre autores
G. Bobonazarzoda
Research Institute of the Tajik National University
Autor responsável pela correspondência
Email: eshova81@mail.ru
Tajiquistão, Dushanbe, 734025
Bibliografia
- Эшова Г.Б., Давлатшоева Дж.А., Рахимова М., Мираминзода Ф., Тоирзода М.А. // ЖФХ. 2023. Т. 97. № 10. С. 1430; Eshova G.B., Davlatshoeva Dzh.A., Rakhimova M., Miraminzoda F., Toirzoda M.A. // Russ. J. Phys. Chem. (A). 2023. Vol. 97. N 10. P. 21442148. doi: 10.1134/S0036024423100084
- Альберт A., Сержент E. Константы ионизации кислот и оснований. М.: Химия, 1964. 178 с.
- Кочергина Л.А., Емельянов А.В. // ЖФХ. 2013. Т. 87. № 5. С. 775. doi: 10.7868/S0044453713050130
- Кочергина Л.А., Дробилова О.М. // ЖФХ. 2008. Т. 82. № 9. С. 1729; Kochergina L.A., Drobilova O.M. // Russ. J. Phys. Chem. (A). 2008. Vol. 82. N 9. P. 1540. doi: 10.1134/S0036024408090240
- Кочергина Л.А., Платонычева О.В., Дробилова О.М., Черников В.В. // ЖНХ. 2009. Т. 54. № 2. С. 377; Kochergina L.A., Platonycheva O.V., Drobilova O.M., Chernikov V.V. // Russ. J. Inorg. Chem. 2009. Vol. 54. N 2. P. 332. doi: 10.1134/S0036023609020302
- Кочергина Л.А., Дробилова О.М., Дробилов С.С. // Коорд. хим. 2009. Т. 35. № 5. С. 394; Kochergina L.A., Drobilova O.M., Drobilov S.S. // Russ. J. Coord. Chem. 2009. Vol. 35. N 5. P. 389. doi: 10.1134/S1070328409050121
- Якубов Х.М. Применение оксредметрии к изучению комплексообразования. Душанбе: Дониш, 1966. 121 с.
- Никольский Б.П. Оксредметрия. Л.: Химия, 1975. 305 с.
- Захарьевский М.С. Оксредметрия. Л.: Химия, 1967. 118 с.
- Pat. ТJ 97000501 (1997).
- Васильев В.П. Термодинамические свойства растворов электролитов. М.: ВШ, 1982. 317 с.
- Шумахер И. Перхлораты: свойства, производство и применение. М.: ГНТИХЛ, 1963. 276 с.
- Заворотный В.Л., Калачева Н.А. Методическое руководство к лабораторным работам по аналитической химии. Титриметрический анализ. М.: РГУ нефти и газа им. И. М. Губкина, 2007. 44 с.
- Пршибил Р. Комплексоны в химическом анализе. М.: ИЛ, 1960. С. 383.
- Сусленникова В.М., Киселева Е.К. Руководство по приготовлению титрованных растворов Л.: Химия, 1968. С. 45.
- Шарло Г. Методы аналитической химии. Количественный анализ неорганических соединений. М.: Химия, 1965. 930 с.
- Коростелев П.П. Приготовление растворов для химико-аналитических работ. М.: АН СССР, 1962. С. 311.
Arquivos suplementares








