Synthesis of phosphinic structural analogue of Met-Glu-His-Phe
- Authors: Shevchenko V.P.1, Borodachev А.V.2, Dmitriev М.E.2, Shevchenko К.V.1, Kalashnikova I.P.2, Ivanov А.N.3, Nagaev I.Y.1, Ragulin V.V.2, Myasoedov N.F.1
-
Affiliations:
- National Research Centre “Kurchatov Institute”
- Federal Research Center of Problems of Chemical Physics and Medicinal Chemistry of the Russian Academy of Sciences
- University “Synergy”
- Issue: Vol 94, No 5 (2024)
- Pages: 608-618
- Section: Articles
- URL: https://bakhtiniada.ru/0044-460X/article/view/266163
- DOI: https://doi.org/10.31857/S0044460X24050087
- EDN: https://elibrary.ru/FJXPXF
- ID: 266163
Cite item
Full Text
Abstract
The synthesis of a phosphinic structural analogue of the tetrapeptide Met-Glu-γ-His-Phe by adding the dipeptide component His-Phe to the adamantyl ester of the phosphinic pseudo-Met-[P]-Glu-peptide in the form of cyclic glutamate anhydride is proposed. The conditions for the interaction of phosphinic pseudo-Met-[P]-Glu-anhydride with His-Phe in free form to form phosphinic Met-[P]-Glu-γ-His-Phe tetrapeptide have been found. A chromatographic mass-spectrometry study, including MS2, and NMR of the phosphinic tetrapeptide on 1H, 13C, 31P nuclei was carried out using the methods of two-dimensional 1H–1H COSY, 1H–13C HSQC and 1H–13C HMBC NMR spectroscopy.
Full Text
ВВЕДЕНИЕ
В современной медицине просматривается тенденция в разработке лекарственных препаратов двойного назначения. В одних сочетаниях и дозах они оказывают помощь больным пациентам, в других – помогают здоровым людям адаптироваться в неблагоприятных условиях, которые могут возникнуть на работе и в быту. Большой интерес, в связи с этим, привлекают нейропептиды, компоненты адренокортикотропного гормона [1]. Эти соединения способны участвовать в процессах, связанных с функционированием центральной нервной системы. Одним из таких пептидов является фрагмент адренокортикотропного гормона Met-Glu-His-Phe. Несмотря на свою привлекательность в качестве биологически активного соединения, этот пептид оказался ферментативно лабильным и нуждался в модифицировании для увеличения стабильности при медицинском применении. Удачным подходом к решению проблемы защиты С-терминальной составляющей этого пептида оказалась его конденсация с «коллагеновым» трипептидом Pro-Gly-Pro. Образовавшийся препарат Met-Glu-His-Phe-Pro-Gly-Pro, получивший название Семакс, является более, чем в 50 раз более устойчивым к воздействию карбоксипептидаз по сравнению с исходным пептидом [1, 2]. Это позволило использовать Семакс в медицинской практике для стимулирования умственной работоспособности, лечения острого ишемического инсульта и других заболеваний ЦНС [3]. Повышение устойчивости Met-Glu-His-Phe можно ожидать и при модификации самой молекулы этого пептида, например, превращая альфа-глутамилпептиды в гамма-глутамилпептиды. Оба типа пептидных аналогов являются биологически активными соединениями. Найдено, что (R)-2-амино-5-{[(S)-1-карбокси-2-(1H-индол-3-ил)этил]амино}-5-оксопентановая кислота, состоящая из остатков гамма-глутаминовой кислоты и триптофана, оказывает иммунодепрессивное действие, подавляет реакции гуморального и клеточного иммунитета, нетоксична и не обладает мутагенными и тератогенными свойствами [4, 5].
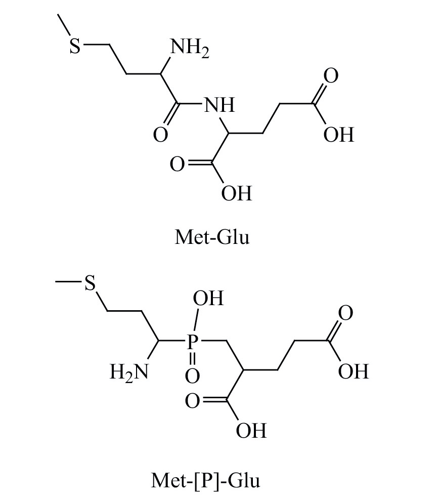
Кроме того, устойчивость Met-Glu-His-Phe по отношению к аминопептидазам можно повысить путем фосфиновой модификации N-терминальной составляющей этого пептида (схема 1). Замена природной пептидной NHC(O) связи негидролизуемым CH2P(O)OH фрагментом при сохранении исходной аминокислотной последовательности приводит к имитации переходного состояния пептидного гидролиза с тетракоординированным атомом углерода [6–8] и придает фосфиновым кислым пептидам свойства мощных ингибиторов Zn-металлопротеиназ [9–12]. Таким образом, фосфоизостеры пептидов характеризуется повышенной устойчивостью псевдопептидной связи к гидролитическому воздействию аминопептидаз [9–12]. Следовательно, можно ожидать более длительное сохранение молекулы фосфоизостера Met-[P]-Glu, где [P] = ψ[P(O)(OH)CH2], на пути к биомишени, по сравнению с исходным пептидом Met-Glu, лабильным в условиях протеолиза [1–3]. Подобные модификации Met-Glu-His-Phe могут придать его фосфиновому аналогу не только высокую ферментативную и гидролитическую устойчивость, но и интересные биологические свойства, что наблюдалось при изучении фосфинового аналога Pro-[P]-Gly-Pro [13].
Схема 1.
В данной работе осуществлен синтез ранее не описанного фосфинового тетрапептида EtOC(O)-Met-ψ[P(O)(OAd)CH2]-Glu-γ-His-Phe-OH 1 и проведено хромато-масс-спектральное и ЯМР исследование этого уникального соединения.
РЕЗУЛЬТАТЫ И ОБСУЖДЕНИЕ
Синтез тетрапептида 1 основан на разработанной ранее процедуре получения N,P-дизащищенного строительного блока Met-ψ[P(O)OAd]-Glu 2 с карбоновыми функциями, связанными в ангидридный глутаматный цикл (схема 2). Ангидрид 2 синтезирован согласно опубликованной ранее методике [14], представленной в Дополнительных материалах. В соответствии с развиваемой нами методологией синтеза фосфиновых пептидов мы осуществили синтез N-защищенного фосфинового изостера Met-Glu, дипептидной составляющей Семакса [15–18]. Последующее получение адамантилового эфира образовавшейся фосфиновой кислоты, содержащей структурный изостер глутамата и образование глутаматного ангидридного цикла дает структурный блок 2 [14].
Схема 2.
Синтез EtOC(O)-Met-ψ[P(O)OАd]-γ-Glu-His-Phe 1 проводили конденсацией пептида His-Phe 3 с ангидридом 2 в растворе метанола. После очистки методом ВЭЖХ был получен тетрапептид 1 в виде порошкообразного вещества с отсутствием четкой температуры плавления, что, вероятно можно объяснить наличием четырех асимметрических центров на атомах углерода и одного на атоме фосфора (не считая наличие асимметрии на углеродах адамантилового фрагмента). Это позволяет преположить, что исследуемый фосфиновый тетрапептид может существовать в виде смеси достаточно большого числа (>10) диастереомеров, в различной степени проявляющихся в спектрах ЯМР. В этой связи был необходим детальный ЯМР-спектральный анализ тетрапептида 1.
Наблюдаемое экспериментально с применением методов двумерного ЯМР усложнение спектров дополнительно обусловлено наличием различных конформерных (ротамерных) состояний, связанных с затрудненным вращением вокруг амидной и карбаматной связей. Возможно также наличие стерических затруднений вращению, обусловленных наличием объемного эфирного адамантилового фрагмента при атоме фосфора. Различные конформерные состояния связаны с особенностями сольватации различными растворителями, это позволило найти оптимальную среду для съемки спектров ЯМР исследуемого фосфинового тетрапептида 1. Наиболее наглядно наличие диастереомерных и конформерных форм проявляется в спектрах ЯМР 31P. На рис. 1 представлены спектры 31P ЯМР в CDCl3, ацетоне-d6, смеси ацетон-d6–D2O (8:2, об.) в области сигналов целевой молекулы 1.
Рис. 1. Спектры ЯМР 31P{1H} (202.48 МГц) тетрапептида 1 в CDCl3 (1), ацетоне-d6 (2), смеси ацетон-d6–D2O (8:2, об.) (3).
Амфифильность тетрапептида 3 приводит к агрегации с образованием мицелл или подобных надмолекулярных структур, что ведет к уширению спектральных линий, особенно в спектрах ЯМР 1H. Однако степень агрегации снижается в ряду растворителей CDCl3 > ацетон-d6 > ацетон-d6–D2O, что подтверждает общий вид спектров ЯМР 1H в CDCl3, ацетоне-d6, смеси ацетон-d6–D2O (8:2, об.) (рис. 2).
Рис. 2. Спектры ЯМР 1H (500.2 МГц) тетрапептида 1 в CDCl3 (1), ацетоне-d6 (2), смеси ацетон-d6–D2O (8:2, об.) (3).
Наилучшее разрешение в спектре ЯМР 1Н в смеси ацетон-d6–D2O (8:2, об.) позволило сделать отнесение большинства сигналов характерных фрагментов молекулы фосфинового тетрапептида 1 (рис. 3), привлекая данные двумерного ЯМР (см. Дополнительные материалы). Сигналы растворителя (ацетон-d6) частично маскируют сигналы соединения как в спектре ЯМР 1H, так и в спектре ЯМР 13C{1H}. Однако большинство сигналов характерных фрагментов молекулы тетрапептида 1 удалось достоверно отнести в спектре ЯМР 13C{1H}, снятом в смеси ацетон-d6–D2O (8:2, об.) (рис. 4–8), на основе данных двумерного ЯМР. Отнесение сигналов сделано с помощью корреляций 1H–1H COSY, 1H–13C HSQC, 1H–13C HMBC (рис. 9–12).
Рис. 3. Спектр ЯМР 1H (500.2 МГц) тетрапептида 1 в смеси ацетон-d6–D2O (8:2, об.).
Рис. 4. Фрагмент спектра ЯМР 1H (500.2 МГц) тетрапептида 1 в смеси ацетон-d6–D2O (8:2, об.). Зеленым отмечены сигналы гистидина, синим – фенилаланина, красным – псевдоглутамина, сиреневым – псевдометионина.
Рис. 5. Фрагмент спектра ЯМР 1H (500.2 МГц) тетрапептида 1 в ацетоне-d6 (область NH и CH= протонов).
Рис. 6. Спектр ЯМР 13С{1H} (125.79 МГц) тетрапептида 1 в смеси ацетон-d6–D2O (8:2, об.).
Рис. 7. Фрагмент спектра ЯМР 13С{1H} (125.79 МГц) тетрапептида 1 в смеси ацетон-d6–D2O (8:2, об.). Приведена область карбоксильных и амидных углеродов. Усложнение сигналов обусловлено различными диастереомерными и конформерными формами.
Рис. 8. Фрагмент спектра ЯМР 13С{1H} (125.79 МГц) тетрапептида 1 в смеси ацетон-d6–D2O (8:2, об.). Приведена область ароматических углеродов.
Рис. 9. Спектр ЯМР 1H–1H COSY (500.2 МГц) тетрапептида 1 в смеси ацетон-d6–D2O (8:2, об.).
Рис. 10. Спектр ЯМР 1H–1H COSY (500.2 МГц) тетрапептида 1 в ацетоне-d6. Приведена область сигналов группы NH.
Рис. 11. Спектр ЯМР 1H–13C HSQC тетрапептида 1 в смеси ацетон-d6–D2O (8:2, об.).
Рис. 12. Спектр ЯМР 1H–13C HMBC тетрапептида 1 в смеси ацетон-d6–D2O (8:2, об.).
Использование D2O для большей дезагрегации молекулы 1 позволяет подтвердить отнесение сигналов NH-групп, которые подавляются из-за обмена протонов на дейтерий, что наблюдается во фрагменте спектра ЯМР 13C{1H} в области амидных (пептидных углеродов) (рис. 5, 6).
Кроме того, тетрапептид 1 был дополнительно исследован с помощью масс-спектрометрии высокого разрешения. На схеме 3 особенности фрагментации молекулы фосфинового тетрапептида 1 в условиях масс-спектромерии на основе сигналов идентифицированных фрагментов. Черным отмечена фрагментация в условиях ионизации электроспреем, зеленым фрагментация в условиях тандемной масс-спектромерии. Детальные данные масс-спектрометрии HRMS приведены в Дополнительных материалах.
Схема 3.
ВЫВОДЫ
Таким образом, осуществлен синтез нового фосфинового аналога тетрапептида EtOC(O)-Met-ψ[P(O)(OAd)CH2]-Glu-γ-His-Phe-OH 1, структура которого подробно исследована методами хромато-масс-спектрометрии и спектроскопии ЯМР.
ЭКСПЕРИМЕНТАЛЬНАЯ ЧАСТЬ
Исходные реагенты предоставлены компанией «Реакор» (Alfa Aesar). Соединения и полупродукты анализировали на приборе Милихром А-02 на колонке Prontosil-120C18 AQ, система А – 200 мM LiClO4 + 5 мM HClO4, система В – метанол, линейный градиент от 0 до 100% B за 12.5 мин, скорость потока – 0.15 мл/мин.
Спектры ЯМР 1H, 31P{1H}, 13С{1H}, 1H–1H COSY, 1H–13C HSQC и 1H–13C HMBC регистрировали на Фурье-спектрометре AVANCE III 500 MHz Bruker. Внутренний стандарт для спектров ЯМР 1H и 13C – сигнал растворителя (ацетон-d6), внешний стандарт для спектров ЯМР 31P – 85%-ная H3PO4. Масс-спектрометрические данные получали на приборе LCQ Advantage MAX (Термоэлектрон, США) с ионизацией электрораспылением, прямым вводом раствора образца с концентрацией 10 мкг/мл в метаноле и дальнейшей фрагментацией молекулярного пика в анализаторе методом ионных соударений при 35 эВ. Масс-спектры высокого разрешения получены с помощью масс-спектрометра AB Sciex TripleTOF 5600+. Использовали источник ионов Duospray с ионизацией электрораспылением. Образцы вводили в виде разбавленного раствора в метаноле непосредственно в источник со скоростью 20 мкл/мин.
Синтез тетрапептида 1. Гидрохлорид His-Phe (68 мг) растворяли в 2 мл метанола, содержащего 0.2 мл триэтиламина, и к образовавшемуся раствору добавляли при перемешивании 62.5 мг ангидрида 2. Через 30 мин образуется осадок гидрохлорида триэтиламина, который растворялся при добавлении 0.6 мл воды. Реакционную смесь в водном метаноле перемешивали 15 ч, затем метанол упаривали в вакууме, воду удаляли лиофилизацией. Избыток аминосодержащего дипептидного реагента удаляли, пропуская реакционную массу, растворенную в смеси метанол–вода (1:5) через патрон с Sep-Pack C18. Искомый тетрапептид 1 смывали метанолом. Очистку соединения 1 проводили методом ВЭЖХ на колонке Reprosil pur C18aq [10 мкм, 20×150 мм, элюент А: метанол–вода–уксусная кислота–трифторуксусная кислота (50:50:0.1:0.01), элюент B: метанол, градиент B от 0 до 100% за 11 мин, скорость потока – 20 мл/мин]. Анализ химической чистоты методами ВЭЖХ и масс-спектрометрии приведен в Дополнительных материалах. Выход EtOC(O)-Met-ψ[P(O)OАd]-γ-Glu-His-Phe-OH составил 29.6 мг (30%). Спектр ЯМР 1H (500.2 МГц, ацетон-d6–D2O, 80:20), δ, м. д.: 1.11–1.20 м (3H, СН3СН2O), 1.50–1.67 м (6H, СН2, Ad), 1.73–1.92 м (1H, СН2, Glu), 1.75–1.88 м (1H, СН2, Met), 1.97–2.07 м (3H, СН3, Met), 1.97–2.10 м (6H, СН2, Ad), 2.00–2.11 м (3H, СН, Ad), 2.00–2.12 м (1H, СН2, Met), 2.14–2.34 м (2H, СН2, Glu), 2.14–2.29 м (1H, СН2, Glu), 2.18–2.37 м (2H, СН2, Glu), 2.40–2.50 м (1H, СН2S, Met), 2.55–2.62 м (1H, СН2S, Met), 2.58–2.83 м (1H, СН, Glu), 2.89–2.96 м (1H, CH2, His), 2.89–2.97 м (1H, CH2, Phe), 3.06–3.14 м (1H, CH2, His), 3.10–3.14 м (1H, CH2, Phe), 3.95–4.11 м (2H, СН3СН2O), 4.00–4.13 м (1H, CH, Met), 4.53–4.65 м (1H, CH, Phe), 4.66–4.82 м (1H, CH, His), 7.02–7.16 м (1H, CH, Im, His), 7.19–7.26 м (1H, p-CH, Ph, Phe), 7.19–7.28 м (2H, m-CH, Ph, Phe), 7.14–7.34 м (2H, o-CH, Ph, Phe), 8.60–8.76 м (1H, CH, Im, His). Спектр ЯМР 13С{1H} (125.79 МГц, ацетон-d6–D2O, 80:20), δС, м. д.: 14.72–14.80 (СН3СН2O); 14.96, 15.08, 15.10 (СН3S, Met); 27.62 (CH2, His), 28.40–29.16 (CH2, Met), 29.40–30.00 (CH2, Glu), 30.73–31.01 (CH2S, Met), 31.67–31.98 (CH, Ad), 31.67–31.98 (CH2, Glu), 33.28–33.50 (CH2, Glu), 36.08 (CH2, Ad), 37.53 (СH2, Phe), 39.04–39.22 (CH, Glu), 44.20–44.90 (CH2, Ad), 50.36 д (СН, Met, 1JРС 106.0 Гц), 50.42 д (СН, Met, 1JРС 106.0 Гц); 52.59, 52.63 (СH, His); 54.44, 54.46 (СH, Phe); 61.74, 61.90 (СН3СН2O); 83.94–84.46 (С, Ad), 117.82 (CH, Im, His), 127.51 (p-CH, Ph, Phe), 129.18 (m-CH, Ph, Phe), 129.90 (o-CH, Ph, Phe), 129.90 (C, Im, His), 134.17 (CH, Im, His), 137.68 (C, Ph, Phe), 157.69–157.95 (NHСOOEt), 171.10–171.27 (СOND, His), 173.73–174.00 (СOOD, Phe), 175.28–175.42 (СONH, Glu), 176.60–176.98 (СOOD, Glu). Спектр ЯМР 31P (202.48 МГц, CDCl3): δР 50.00–47.50 м. д. Спектр ЯМР 31P (202.48 МГц, ацетон-d6), δР, м. д.: 50.30, 50.26, 50.01, 49.98, 49.90, 49.68, 49.60, 49.55, 49.49, 49.41, 49.33, 49.31, 49.16, 48.94. Спектр ЯМР 31P (202.48 МГц, ацетон-d6–D2O, 80:20), δР, м. д.: 49.87, 49.58, 49.51, 49.38, 49.30, 49.08, 48.90, 48.68, 49.49, 48.57, 48.43.
ФИНАНСОВАЯ ПОДДЕРЖКА
Работа выполнена при частичной финансовой поддержке Российского научного фонда (грант 23-23-00158).
ДОПОЛНИТЕЛЬНЫЕ МАТЕРИАЛЫ
Дополнительные материалы для этой статьи доступны по doi 10.31857/S0044460X24050087 для авторизованных пользователей.
Конфликт интересов
Авторы заявляют об отсутствии конфликта интересов.
About the authors
V. P. Shevchenko
National Research Centre “Kurchatov Institute”
Author for correspondence.
Email: rvalery@dio.ru
Russian Federation, Moscow
А. V. Borodachev
Federal Research Center of Problems of Chemical Physics and Medicinal Chemistry of the Russian Academy of Sciences
Email: rvalery@dio.ru
Institute of Physiologically Active Compounds
Russian Federation, Chernogolovka, MoscowМ. E. Dmitriev
Federal Research Center of Problems of Chemical Physics and Medicinal Chemistry of the Russian Academy of Sciences
Email: rvalery@dio.ru
Institute of Physiologically Active Compounds
Russian Federation, Chernogolovka, MoscowК. V. Shevchenko
National Research Centre “Kurchatov Institute”
Email: rvalery@dio.ru
Russian Federation, Moscow
I. P. Kalashnikova
Federal Research Center of Problems of Chemical Physics and Medicinal Chemistry of the Russian Academy of Sciences
Email: rvalery@dio.ru
Institute of Physiologically Active Compounds
Russian Federation, Chernogolovka, MoscowА. N. Ivanov
University “Synergy”
Email: rvalery@dio.ru
Russian Federation, Moscow
I. Yu. Nagaev
National Research Centre “Kurchatov Institute”
Email: rvalery@dio.ru
Russian Federation, Moscow
V. V. Ragulin
Federal Research Center of Problems of Chemical Physics and Medicinal Chemistry of the Russian Academy of Sciences
Email: rvalery@dio.ru
Institute of Physiologically Active Compounds
Russian Federation, Chernogolovka, MoscowN. F. Myasoedov
National Research Centre “Kurchatov Institute”
Email: rvalery@dio.ru
Russian Federation, Moscow
References
- Пономарева-Степная М.А., Бахарев В.Д., Незавибатько В.Н., Андреева Л.А., Алфеева Л.Ю., Потаман В.Н. // Хим.-фарм. ж. 1986. Т. 20. № 6. С. 667.
- Пономарева-Степная М.А., Незавибатько В.Н., Антонова Л.В., Андреева Л.А., Алфеева Л.Ю., Потаман В.Н., Каменский А.А., Ашмарин И.П. // Хим.-фарм.ж. 1984. Т. 18. № 7. С. 790.
- Ашмарин И.П., Незавибатько В.Н., Мясоедов Н.Ф., Каменский А.А., Гривенников И.А., Пономарева-Степная М.A., Андреева Л.А., Каплан А.Я., Кошелев В.Б., Рясина Т.В. // Журнал высшей нервной деятельности им. И.П. Павлова. 1997. Т. 47. № 2. С. 420.
- Amino Y., Nakazawa M., Kaneko M., Miyaki T., Miyamura N., Maruyama Y., Eto Y. // Chem. Pharm. Bull. 2016. Vol. 64. N 8. P. 1181. doi: 10.1248/cpb.c16-00293
- Государственный реестр лекарственных средств. М.: Медицинский совет, 2009. Т. 2. Ч. 1, 2.
- Collinsova M., Jiracek J. // Curr. Med. Chem. 2000. Vol. 7. N 6. P. 629. doi: 10.2174/0929867003374831
- Mucha A. // Molecules. 2012. Vol. 17. N 11. P. 13530. doi: 10.3390/molecules171113530
- Georgiadis D., Dive V. // Top. Curr. Chem. 2015.Vol. 360. P. 1. doi: 10.1007/128_2014_571
- Zinc Metalloproteases in Health and Disease / Ed. N.M. Hooper. London: Taylor and Francis, 1996. P. 153.
- Hori M., Nishida K. // Cardiovasc. Res. 2009. Vol. 81. N 3. P. 457. doi: 10.1093/cvr/cvn3359
- Whittaker M., Ayscough A. // Celltransmissions. 2001.Vol. 17. N 1. P. 3.
- Pirad B., Matter H. // J. Med. Chem. 2006. Vol. 49.N 1. P. 51. doi: 10.1021/jm050363f
- Vinyukov A.V., Dmitriev M.E., Andreeva L.A., Ustyugov A.A., Shevchenko V.P., Sidoruk K.N., Lednev B.V., Freyman V.M., Dobrovolskiy Y.A., Ragulin V.V., Myasoedov N.F. // Biochem. Biophys. Res. Commun. 2021. Vol. 539. P. 15. doi: 10.1016/j.bbrc.2020.12.087
- Дмитриев М.Э., Шевченко К.В., Шевченко В.П., Нагаев И.Ю., Калашникова И.П., Рагулин В.В., Мясоедов Н.Ф. // ЖОХ. 2023. Т. 93. № 8. С. 1253. doi: 10.31857/S0044460X23080103; Dmitriev M.E., Shevchenko K.V., Shevchenko V.P., Nagaev I.Yu., Kalashnikova I.P., Ragulin V.V., Myasoedov N.F. // Russ. J. Gen. Chem. 2023. Vol. 93. N 8. P. 2022. doi: 10.1134/S1070363223080108
- Дмитриев М.Э., Винюков А.В., Рагулин В.В., Мясоедов Н.Ф. // ЖОХ. 2015. Т. 85. Вып. 9. С. 1576; Dmitriev M.E., Vinyukov A.V., Ragulin V.V., Myasoedov N.F. // Russ. J. Gen. Chem. 2015. Vol. 85. N 9. P. 2215. doi: 10.1134/S1070363215090315
- Dmitriev M.E., Ragulin V.V. // Tetrahedron Lett. 2010. Vol. 51. N. 19. P. 2613. doi: 10.1016/j.tetlet.2010.03.02013.
- Dmitriev M.E., Ragulin V.V. // Tetrahedron Lett. 2012. Vol. 53. N. 13. P. 1634. doi: 10.1016/j.tetlet.2012.01.09414.
- Dmitriev M.E., Golovash S.R., Borodachev A.V., Ragulin V.V. // J. Org. Chem. 2021. Vol. 86. N 1. P. 593. doi: 10.1021/acs.joc.0c02259
Supplementary files

















