Synthesis of Diethyl 6-Amino-1-aryl-2-oxo-1,2-dihydropyridine-3,5-carboxylate
- Authors: Khachatryan A.K.1,2, Avagyan K.A.1, Badasyan A.E.1
-
Affiliations:
- Scientific Technological Center of Organic and Pharmaceutical Chemistry of the National Academy of Sciences of the Republic of Armenia
- Crisis Management State Academy of the Ministry of Internal Affairs
- Issue: Vol 94, No 4 (2024)
- Pages: 462-468
- Section: Articles
- URL: https://bakhtiniada.ru/0044-460X/article/view/262777
- DOI: https://doi.org/10.31857/S0044460X24040011
- EDN: https://elibrary.ru/ECIZJX
- ID: 262777
Cite item
Full Text
Abstract
It was found that the reaction of malonic acid N-arylamidoesters with ethyl 2-cyano-3-ethoxyacrylate in ethanol in the presence of equimolar amounts of triethylamine both at room temperature and under reflux leads to the formation of previously unknown diethyl 6-amino-1-aryl-2-oxo-1,2-dihydropyridine-3,5-carboxylates with yields of 40–70%. Structure of the obtained compounds was confirmed by NMR and IR spectroscopy data. Antibacterial activity of some of the obtained compounds was studied.
Full Text
Введение
В последние десятилетия синтез производных азотсодержащих гетероциклов, в частности функционально-замещенных пиридинов, привлекают исследователей своим разнообразием биологической активности [1–4]. Производные пиридина являются удобными синтетическими предшественниками хиральных дигидро- и тетрагидропиридинов [5–8]. В частности, 1,2-дигидропиридины являются ценными, реакционноспособными синтонами и особенно полезными для синтеза распространенных структурных компонентов фармацевтических препаратов [9, 10]. Кроме того, производные дигидропиридина проявляют многообразние фармакологических эффектов в качестве лекарственных средств, в основном как антигипертензивные и антиаритмические препараты [11], противомикробные и противовирусные агенты [12, 13], противораковые средства [14, 15].
Исходя из вышеизложенного, синтез функционально-замещенных 1,2-дигидропиридинов является весьма актуальной задачей современной органической химии.
Результаты и обсуждения
Один из методов синтеза замещенных пиридинов, в частности 1,2-дигидропиридинов, основан на взаимодействии активных метиленовых соединений (CH-нуклеофилы) с активированными алкенами, несущими электроноакцепторные группы (реакция Михаэля). В качестве потенциального нуклеофила наименее изучены амидоэфиры малоновой кислоты [16–18].
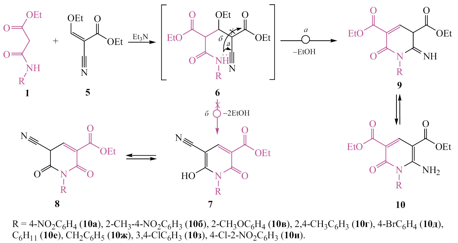
Ранее нами было показано, что при взаимодействии N-ариламидоэфиров малоновой кислоты 1 с арилметилиденциануксусным эфиром 2 в присутствии каталитических количеств пиперидина образующийся промежуточный аддукт Михаэля 3 подвергается гетероциклизации только по нитрильной группе, образуя диэтил-6-амино-1,4-диарил-2-оксо-1,2,3,4-тетрагидропиридин-3,5-дикарбоксилаты 4 с выходами 15–83% (схема 1) [19].
Схема 1.
Эти исследования интересны тем, что дают возможность изучить влияние природы реакционного центра на региоселективность внутримолекулярной гетероциклизации. Известны работы, в которых промежуточные аддукты Михаэля, содержащие разные реакционные центры [20, 21], в частности циано- и этоксикарбонильную группы, подвергаются гетероциклизации с участием как сложноэфирной группировки [22], так и цианогруппы [23], а также обеих групп одновременно [24].
С целью создания нового способа получения функционально-замещенных 1,2-дигидропиридинов и установления региоселективности внутримолекулярной гетероциклизации промежуточного аддукта Михаэля в представленной работе исследовано взаимодействие N-ариламидоэфиров малоновой кислоты 1 с этил-2-циано-3-этоксиакрилатом 5 (схема 2).
Проведенные опыты показали, что указанное взаимодействие протекает в абсолютном этаноле в присутствии триэтиламина при комнатной температуре, а также при кипячении. Как видно из схемы 2, в промежуточном ациклическом аддукте Михаэля 8, образующемся в результате взаимодействия N-ариламидоэфиров малоновой кислоты 1 с этил-2-циано-3-этоксиакрилатом 5, одновременно присутствуют циано- и этоксикарбонильные группы, т. е. указанный аддукт может подвергаться гетероциклизации как по циано- (путь а), так и по этоксикарбонильной группе (путь б). Согласно данным ИК, ЯМР 1H, 13C спектроскопии, единственным продуктом реакции являются диэтил-6-амино-1-арил-2-оксо-1,2-дигидропиридин-3,5-дикарбоксилаты 10а–и, образующиеся с выходами 40–70%. Соединения 7–9 выделить или обнаружить в реакционной смеси нам не удалось. По всей вероятности, это свидетельствует о региоселективности гетероциклизации по нитрильной группе и последующей изомеризации иминопроизводного 9 в соответствующий таутомер ‒ енамин 10.
Схема 2.
Схема 3.
Рис. 1. Антибактериальная активность соединений 10а–ж в отношении штаммов E. coli 0-55, Sh. flexneri 6858, B. subtilis 6633, St. aureus 209p.
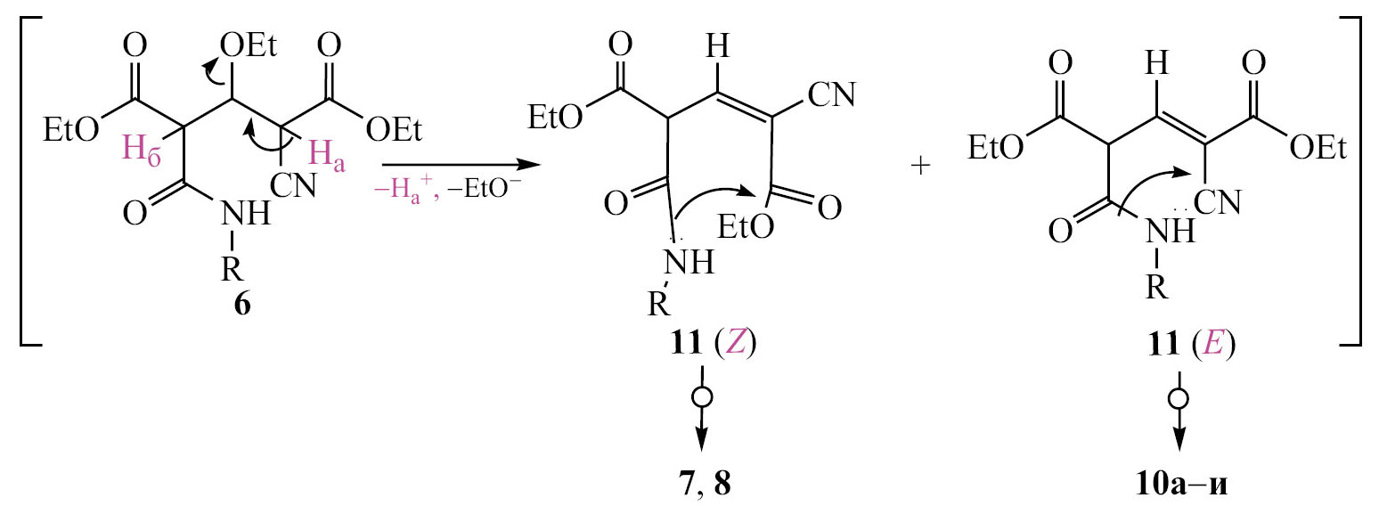
Образование соединений 10а–и можно объяснить тем, что промежуточный ациклический аддукт Михаэля 6 до циклизации, в отличие от аддукта Михаэля 3, по-видимому, подвергается элиминированию с отщеплением этилат-аниона и протона Ha+ с образованием замещенных олефинов 11 (Z,E)-конфигурации. На наш взгляд, из-за пространственных затруднений в изомере (Z)-11, дальнейшей циклизации подвергается изомер (E)-конфигурации с образованием соединений 10а–и (схема 3).
Исследования антибактериальной активности показали, что изученные соединения обладают антибактериальными свойствами. Однако по активности они несколько отличаются между собой. Так, соединения 10б, в, е проявляют слабую активностъ, подавляя рост всех использованных микроорганизмов в зоне диаметром 11–15 мм (рис. 1). Соединения 10а, г, ж оказались более эффективными (подавление роста микроорганизмов составляет d = 16–19 мм), а соединение 10д проявляет умеренную активность только в отношении грамотрицательных штаммов (d = 15–16 мм). Следует отметить, что изученные соединения по активности значительно уступают контрольному препарату ‒ фуразолидону (d = 24–25 мм).
Выводы
Таким образом, разработан новый доступный метод синтеза ранее неизвестных функционально-замещенных дигидропиридинов – диэтил-6-амино-1-арил-2-оксо-1,2-дигидропиридин-3,5-дикарбоксилатов 10а–и – с выходами 40–70% на основе взаимодействия N-ариламидоэфиров малоновой кислоты с этил-2-циано-3-этоксиакрилатом. Установлено, что образующийся по последовательному тандемному АЕ (присоединение/отщепление) механизму промежуточный ациклический аддукт Михаэля подвергается нуклеофильной гетероциклизации только с участием нитрильной группы. Ряд полученных соединений проявляет антибактериальную активность, однако значительно уступают контрольному препарату ‒ фуразолидону.
Экспериментальная часть
Реактивы получены из коммерческих источников и использованы без дополнительной очистки. Растворители перед использованием очищены перегонкой, кристаллические исходные соединения предварительно перекристаллизовывали из подходящего растворителя.
ИК спектры сняты на спектрофотометре Nicolet Avatar 330 FT-IR (США) в вазелиновом масле в тонком слое. Спектры ЯМР 1H и 13C записаны на спектрометре Varian Mercury 300VX (США) с рабочей частотой 300 и 75 МГц соответственно в растворе ДМСО-d6–CCl4 (1:3), внутренний стандарт – ТМС. Элементный анализ выполнен на приборе Коршун–Климовой для C и H и методом Дюма–Прегля для N. Температуры плавления определены на микронагревательном столике Boetius (Германия).
Общая методика получения диэтил-6-амино-1-арил-2-оксо-1,2-дигидропиридин-3,5-дикарбоксилатов 10а–и. Смесь эквимольных количеств (1.5 ммоль) соединений 1а‒в, 5 и триэтиламина в абсолютном этаноле перемешивали при комнатной температуре в течение 3 сут (10а‒в) либо при кипячении в течение 10 ч (10г‒и). После отгонки основной части этанола к остатку добавляли воду и подкисляли соляной кислотой до pH = 1–2. Выделившиеся кристаллы отфильтровывали, промывали водой, диэтиловым эфиром и перекристаллизовывали из изопропилового спирта.
Диэтил-6-амино-1-(4-нитрофенил)-2-оксо-1,2-дигидропиридин-3,5-дикарбоксилат (10а). Выход 0.28 г (50%), желтые кристаллы, т. пл. 332°C. ИК спектр, ν, см–1: 3401 (NH2), 1732 (COOC), 1681 (СО), 1652 (CON). Спектр ЯМР 1Н, δ, м. д.: 1.30 т (3H, CH3, J 7.1 Гц,), 1.39 т (3H, CH3, J 7.1 Гц), 4.19 к (2H, CH2, J 7.1 Гц), 4.30 к (2H, CH2, J 7.1 Гц), 7.22 уш. с (1H, NH2), 7.56 д. д (2H, C6H4NO2, J 8.8, 4.8 Гц), 8.43 д. д (2H, C6H4NO2, J 8.8, 4.8 Гц), 8.64 с (1H, CH), 8.87 уш. с (1H, NH2). Спектр ЯМР 13C, δС, м. д.: 13.8 (CH3), 14.0 (CH3), 59.0 (CH2), 59.8 (CH2), 88.3, 103.8, 125.0 (2CH), 130.5 (2CH), 140.5, 146.4, 147.9, 156.6, 157.6, 163.3, 165.5. Найдено, %: C 53.87; H 4.53; N 11.09. C17H17N3O7. Вычислено, %: C 54.40; H 4.57; N 11.20.
Диэтил-6-амино-1-(-2метил-4-нитрофенил)-2-оксо-1,2-дигидропиридин-3,5-дикарбоксилат (10б). Выход 0.34 г (60%), бежевые кристаллы, т. пл. 280°C. ИК спектр, ν, см–1: 3273 (NH2), 1717 (COOC), 1690 (СО), 1636 (CON). Спектр ЯМР 1Н, δ, м. д.: 1.31 т (3H, CH3, J 7.1 Гц,), 1.40 т (3H, CH3, J 7.1 Гц), 2.21 с (3H, CH3-Аr), 4.20 к (2H, CH2, J 7.1 Гц), 4.31 к (2H, CH2, J 7.1 Гц), 7.18 уш. с (1H, NH2), 7.43 д (1H, C6H3, J 7.1 Гц), 8.19–8.31 м (2H, C6H4NO2), 8.64 с (1H, CH), 8.83 уш. с (1H, NH2). Спектр ЯМР 13C, δС, м. д.: 13.9 (CH3), 14.0 (CH3), 16.6 (CH3), 59.1 (CH2), 59.7 (CH2), 88.2, 103.9, 122.4, 125.9, 130.2, 138.4, 139.5, 146.6, 148.0, 156.1, 156.9, 163.2, 165.5. Найдено, %: C 54.97; H 4.95; N 10.68. C18H19N3O7. Вычислено, %: C 55.53; H 4.92; N 10.79.
Диэтил-6-амино-1-(2-метоксифенил)-2-оксо-1,2-дигидропиридин-3,5-дикарбоксилат (10в). Выход 0.27 г (50%), белые кристаллы, т. пл. 165°C. ИК спектр, ν, см–1: 3358 (NH2), 1773 (COOC), 1677 (СО), 1623 (CON). Спектр ЯМР 1Н, δ, м. д.: 1.36 т (3H, CH3, J 7.1 Гц), 1.43 т (3H, CH3, J 7.1 Гц), 3.99 с (3H, OCH3-Аr), 4.26 к (2H, CH2, J 7.1 Гц), 4.38 к (2H, CH2, J 7.1 Гц), 7.02–7.26 м (3H, C6H4), 7.93–8.01 м (1H, C6H4), 8.53 уш. с (1H, NH2), 8.64 с (1H, CH), 11.63 уш. с (1H, NH2). Спектр ЯМР 13C, δС, м. д.: 13.9 (CH3), 14.0 (CH3), 53.6 (CH3), 55.5 (CH2), 59.6 (CH2), 68.1, 88.1, 110.7, 120.5, 120.8, 123.8, 126.1, 149.3, 150.7, 152.5, 162.2, 162.4, 164.6. Найдено, %: C 59.39; H 5.53; N 7.69. C18H20N2O6. Вычислено, %: C 59.99; H 5.59; N 7.77.
Диэтил-6-амино-1-(2,4-диметилфенил)-2-оксо-1,2-дигидропиридин-3,5-дикарбоксилат (10г). Выход 0.21 г (40%), белые кристаллы, т. пл. 205°C. ИК спектр, ν, см–1: 3435 (NH2), 1731 (COOC), 1696 (СО), 1651 (CON). Спектр ЯМР 1Н, δ, м. д.: 1.33 т (3H, CH3, J 7.1 Гц), 1.40 т (3H, CH3, J 7.1 Гц), 2.04 с (3H, CH3-Аr), 2.43 с (3H, CH3-Аr), 4.20 к (2H, CH2, J 7.1 Гц), 4.31 к (2H, CH2, J 7.1 Гц), 6.48 уш. с (1H, NH2), 6.98 д (1H, C6H3), 7.17–7.26 м (2H, C6H3), 8.64 с (1H, CH), 8.81 уш. с (1H, NH2). Спектр ЯМР 13C, δС, м. д.: 14.0 (CH3), 14.1 (CH3), 16.4 (CH3), 20.6 (CH3), 58.9 (CH2), 59.5 (CH2), 87.9 (CH), 104.1 (CH), 127.9 (2CH), 130.6 (CH), 131.8, 135.3, 138.6, 146.1, 156.4, 157.1, 163.4, 165.5. Найдено, %: C 63.81; H 6.12; N 7.74. C19H22N2O5. Вычислено, %: C 63.67; H 6.19; N 7.82.
Диэтил-6-амино-1-(4-бромфенил)-2-оксо-1,2-дигидропиридин-3,5-дикарбоксилат (10д). Выход 0.36 г (59%), бежевые кристаллы, т. пл. 320°C. ИК спектр, ν, см–1: 3266 (NH2), 1713 (COOC), 1678 (СО), 1629 (CON). Спектр ЯМР 1Н, δ, м. д.: 1.31 т (3H, CH3, J 7.1 Гц), 1.39 т (3H, CH3, J 7.1 Гц), 4.19 к (2H, CH2, J 7.1 Гц), 4.30 к (2H, CH2, J 7.1 Гц), 6.97 уш. с (1H, NH2), 7.15–7.20 м (2H, C6H4Br), 7.71–7.76 м (2H, C6H4Br), 8.61 с (1H, CH), 8.85 уш. с (1H, NH2). Спектр ЯМР 13C, δС, м. д.: 14.0 (CH3), 14.1 (CH3), 58.9 (CH2), 59.6 (CH2), 88.1, 104.0, 122.6, 130.6 (2CH), 132.8 (2CH), 133.7, 146.1 (CH), 156.7, 157.6, 163.4, 165.5. Найдено, %: C 49.39; H 4.14; Br 19.33; N 6.78. C17H17BrN2O5. Вычислено, %: C 49.89; H 4.19; Br 19.53, N 6.85.
Диэтил-6-амино-1-циклогексил-2-оксо-1,2-дигидропиридин-3,5-дикарбоксилат (10е). Выход 0.35 г (70%), белые кристаллы, т. пл. 225°C. ИК спектр, ν, см–1: 3129 (NH2), 1723 (COOC), 1694 (СО), 1664 (CON). Спектр ЯМР 1Н, δ, м. д.: 1.24 т (3H, CH3, J 7.1 Гц), 1.26 т (3H, CH3, J 7.1 Гц), 1.38–1.45 м (2H, CH2), 1.46–1.50 м (2H, CH2), 1.51–1.53 м (2H, CH2), 1.55–1.58 м (2H, CH2), 1.59–1.61 м (2H, CH2), 3.09–3.13 м (1H,CH), 4.08 к (2H, CH2, J 7.1 Гц), 4.37 к (2H, CH2, J 7.1 Гц), 7.93 уш. с (1H, NH2), 8.56 с (1H, CH), 9.84 уш. с (1H, NH2). Спектр ЯМР 13C, δС, м. д.: 14.0 (2CH3), 25.1 (CH2), 25.3 (2CH2), 31.5 (2CH2), 61.0 (CH2), 61.1 (CH2), 61.8 (CH), 88.4, 124.4, 152.3, 154.9, 156.3, 165.1, 165.5. Найдено, %: C 60.09; H 7.11; N 8.24. C17H24N2O5. Вычислено, %: C 60.70; H 7.19; N 8.33.
Диэтил-6-амино-1-бензил-2-оксо-1,2-дигидропиридин-3,5-дикарбоксилат (10ж). Выход 0.33 г (64%), белые кристаллы, т. пл. 240°C. ИК спектр, ν, см–1: 3366 (NH2), 1722 (COOC), 1676 (СО), 1644 (CON). Спектр ЯМР 1Н, δ, м. д.: 1.33 т (3H, CH3, J 7.1 Гц), 1.38 т (3H, CH3, J 7.1 Гц), 4.21 к (2H, CH2, J 7.1 Гц), 4.28 к (2H, CH2, J 7.1 Гц), 5.29 с (2H, CH2), 7.19 уш. с (1H, NH2), 7.20–7.32 м (5H, C6H5), 8.02 с (1H, CH), 8.60 уш. с (1H, NH2). Спектр ЯМР 13C, δС, м. д.: 14.0 (CH3), 14.1 (CH3), 59.0 (CH2), 59.6 (CH2), 88.2, 103.4, 126.4 (2CH), 126.6 (2CH), 127.9 (2CH), 135.0, 145.5, 156.6, 157.7, 163.6, 165.8. Найдено, %: C 62.15; H 5.79; N 8.04. C18H20N2O5. Вычислено, %: C 62.78; H 5.85; N 8.13.
Диэтил-6-амино-1-(3,4-дихлорфенил)-2-оксо-1,2-дигидропиридин-3,5-дикарбоксилат (10з). Выход 0.36 г (59%), бежевые кристаллы, т. пл. 320°C. ИК спектр, ν, см–1: 3375 (NH2), 1736 (COOC), 1689 (СО), 1651 (CON). Спектр ЯМР 1Н, δ, м. д.: 1.31 т (3H, CH3, J 7.1 Гц), 1.40 т (3H, CH3, J 7.1 Гц), 4.20 к (2H, CH2, J 7.1 Гц), 4.30 к (2H, CH2, J 7.1 Гц), 7.10 уш. с (1H, NH2), 7.19 д (1H, C6H3, J 2.4 Гц), 7.22 д (1H, C6H3, J 2.4 Гц), 7.47 д (1H, C6H3, J 2.4 Гц), 8.61 с (1H, CH), 8.90 уш. с (1H, NH2). Спектр ЯМР 13C, δС, м. д.: 14.0 (CH3), 14.2 (CH3), 61.0 (CH2), 61.8 (CH2), 84.2, 124.4, 128.5, 129.0 (2.CH), 131.1, 131.2, 133.4, 154.9, 157.5, 160.7, 165.0, 165.5 Найдено, %: C 50.62; H 3.99; Cl 17.58; N 6.94. C17H16Cl2N2O5. Вычислено, %: C 51.14; H 4.04; Cl 17.76; N 7.02.
Диэтил-6-амино-1-(4-хлор-2-нитрофенил)-2-оксо-1,2-дигидропиридин-3,5-дикарбоксилат (10и). Выход 0.25 г (41%), желтые кристаллы, т. пл. 240°C. ИК спектр, ν, см–1: 3265 (NH2), 1728 (COOC), 1705 (СО), 1681 (CON). Спектр ЯМР 1Н, δ, м. д.: 1.30 т (3H, CH3, J 7.1 Гц), 1.41 т (3H, CH3, J 7.1 Гц), 4.18 к (2H, CH2, J 7.1 Гц), 4.32 к (2H, CH2, J 7.1 Гц), 7.46 уш. с (1H, NH2), 7.48–754 м (1H, C6H3), 7.90–7.99 м (2H, C6H3), 8.67 с (1H, CH), 8.97 уш. с (1H, NH2). Спектр ЯМР 13C, δС, м. д.: 14.2 (2CH3), 61.1 (CH2), 61.7 (CH2), 84.4, 123.9, 124.4, 125.8, 129.2, 131.4, 135.1, 143.8, 154.9, 157.5, 160.7, 165.0, 165.5. Найдено, %: C 49.33; H 3.97; Cl 8.56; N 10.14. C17H16ClN3O7. Вычислено, %: C 49.83; H 3.94; Cl 8.65; N 10.25.
Антибактериальная активность соединений 10а–ж изучена методом «диффузии в агаре» при бактериальной нагрузке 20 млн микробных тел на 1 мл среды [25]. В опытах использованы четыре штамма микроорганизмов: грамположительные стафилоккоки (St. aureus 209p, B. subtilis 6633) и грамотрицательные палочки (Sh. flexneri 6858, E. сoli 0-55), в качестве положительного контроля выступал лекарственный препарат фуразолидон [26].
Благодарность
Авторы выражают благодарность Центру исследования строения молекул Научно-технологического центра органической и фармацевтической химии за полученные физико-химические данные, а также биологическому отделению Научно-технологического центра органической и фармацевтической химии за исследования антибактериальной активности полученных соединений.
Финансовая поддержка
Работа выполнена при поддержке Государственного комитета по науке Республики Армения (исследовательский проект № 23AA-1D001).
Конфликт интересов
Авторы заявляют об отсутствии конфликта интересов.
About the authors
A. Kh. Khachatryan
Scientific Technological Center of Organic and Pharmaceutical Chemistry of the National Academy of Sciences of the Republic of Armenia; Crisis Management State Academy of the Ministry of Internal Affairs
Author for correspondence.
Email: avagyan9248@gmail.com
ORCID iD: 0000-0003-1210-9903
Armenia, Yerevan, 0014; Yerevan, 0040
K. A. Avagyan
Scientific Technological Center of Organic and Pharmaceutical Chemistry of the National Academy of Sciences of the Republic of Armenia
Email: avagyan9248@gmail.com
ORCID iD: 0000-0002-5370-041X
Armenia, Yerevan, 0014
A. E. Badasyan
Scientific Technological Center of Organic and Pharmaceutical Chemistry of the National Academy of Sciences of the Republic of Armenia
Email: avagyan9248@gmail.com
ORCID iD: 0009-0003-6123-9867
Armenia, Yerevan, 0014
References
- Joy M., Anabha E.R., Gopi S., Mathew B., Kumar A.S., Mathews A. // Acta Crystallogr. 2018. Vol. 74. P. 807. doi: 10.1107/S2053229618007490
- Saleem F., Khan K.M., Ullah N., Özil M., Baltaş N., Hameed Sh., Salar U., Wadood A., Rehman A.Ur., Kumar M., Taha M., Haider S.M. // Arch. Pharm. 2022. Vol. 356. N 1. doi: 10.1002/ardp.202200400
- Patel N.B., Sharma R.D. // Synth. Commun. 2013. Vol. 43. N 9. P. 1250. doi: 10.1080/00397911.2011.630771
- Sangwan S., Yadav N., Kumar R., Chauhan S., Dhanda V., Walia P., Duhan A. // Eur. J. Med. Chem. 2022. Vol. 232. P. 114199. doi: 10.1016/j.ejmech.2022.114199
- Duttwyler S., Chen S., Lu C., Mercado B.Q., Bergman R.G., Ellman J.A. // Angew. Chem. Int. Ed. 2014. Vol. 53. N 15. P. 3877. doi: 10.1002/anie.201310517
- Bull J.A., Mousseau J.J., Pelletier G., Charette A.B. // Chem. Rev. 2012. Vol. 112. N 5. P. 2642. doi.org/10.1021/cr200251d
- Mu B.Sh., Cui X.Y., Zeng X.P., Yu J.Sh., Zhou J. // Nat. Commun. 2021. Vol. 12. N 1. P. 2219. doi: 10.1038/s41467-021-22374-y
- Tejedor D., Cotos L., Méndez A.G., García-Tellado F. // J. Org. Chem. 2014. Vol. 79. N 21. P. 10655. doi: 10.1021/jo501991s
- Silva E.M.P., Varandas P.A.M.M., Silva A.M.S. // Synthesis. 2013. Vol. 45. N 22. P. 3053. doi: 10.1055/s-0033-1338537
- Pathak Sh., Jain S., Pratap A. // Lett. Drug Design Discov. 2024. Vol. 21. N 1. P. 15. doi 10.2174/ 1570180820666230508100955
- Altalbawy F.M.A. // Int. J. Mol. Sci. 2013. Vol. 14. P. 2967. doi: 10.3390/ijms14022967
- Karcı F., Karcı F., Demirçalı A., Yamaç M. // J. Mol. Liq. 2013. Vol. 187. P. 302. doi: 10.1016/j.molliq.2013.08.005
- Chen W., Zhan P., Rai D., De Clercq E., Pannecouque C., Balzarini J., Zhou Z., Liu H., Liu X. // Bioorg. Med. Chem. 2014. Vol. 22. N 6. P. 1863. doi 10.1016/ j.bmc.2014.01.054
- Al-Said M.S., Bashandy M.S., Al-Qasoumi S.I., Ghorab M.M. // Eur. J. Med. Chem. 2011. Vol. 46. N 1. P. 137. doi: 10.1016/j.ejmech.2010.10.024
- Abdel-Fattah M.O.A., El-Naggar M.A.M., Rashied R.M.H., Gary B.D., Piazza G.A., Abadi A.H. // Med. Chem. 2012. Vol. 8. N 3. P. 392. doi: 10.2174/1573406411208030392
- Mohareb R.M., El-Omran F.A., Ho J.Z. // Heteroatom Chem. 2001. Vol. 12. N 3. P. 168. doi: 10.1002/hc.1027
- Саргсян М.С., Авагян К.А., Саргсян А.А., Бадасян А.Э., Хачатрян А.Х., Айвазян A.Г., Балян А.А., Конькова С.Г., Айоцян С.С. // Хим. ж. Армении. 2019. Т. 72. № 3. С. 304.
- Айоцян С.С., Конькова С.Г., Асратян А.Г., Хачатрян А.Х., Бадасян А.Э., Саргсян А.А., Паносян Г.А., Саргсян М.С. // ЖОХ. 2016. Т. 86. № 10. С. 1685; Hayotsyan S.S., Kon’kova S.G., Hasratyan A.G., Khachatryan A.Kh., Badasyan A.E., Sargsyan A.A., Panosyan G.A., Sargsyan M.S. // Russ. J. Gen. Chem. 2016. Vol. 86. N 10. P. 2332. doi: 10.1134/S1070363216100145
- Авагян К.А., Саргсян М.С., Бадасян А.Э., Саргсян А.А., Манукян А.Г., Паносян Г.А., Айвазян А.Г., Хачатрян А.Х. // ЖОХ. 2023. Т. 93. № 4. С. 516. doi: 10.31857/S0044460X23040030; Avagyan K.A., Sargsyan M.S., Badasyan A.E., Sargsyan A.A., Manukyan A.G., Panosyan H.A., Ayvazyan A.G., Khachatryan A.Kh. // Russ. J. Gen. Chem. 2023. Vol. 93. N 4. P. 787. doi: 10.1134/S1070363223040035
- Дяченко В.Д., Ткачев Р.П. // ЖOрХ. 2003. Т. 39. № 6. С. 807; Dyachenko V.D., Tkachev R.P. // Russ. J. Org. Chem. 2003. Vol. 39. N 6. P. 757. doi 10.1023/ B:RUJO.0000003153.20325.22
- Krauze A., Duburs G. // Chem. Heterocycl. Compd. 1999. Vol. 35. N 4. P. 446. doi: 10.1007/bf02319332
- Дяченко А.Д., Десенко С.М., Дяченко В.Д., Литвинов В.П. // ХГС. 2000. Т. 36. № 4. С. 554; Dyachenko A.D., Desenko S.M., Dyachenkо V.D., Litvinov V.P. // Chem. Heterocycl. Compd. 2000. Vol. 36. N 4. P. 480. doi: 10.1007/BF02269551
- Фефелова С.Р., Красников Д.А., Дяченко В.Д., Дяченко А.Д. // ХГС. 2014. Т. 50. № 8. С. 1228; Fefelova S.R., Krasnikov D.A., Dyachenkо V.D., Dyachenko A.D. // Chem. Heterocycl. Compd. 2014. Vol. 50. N 8. P. 1133. doi. 10.1007/s10593-014-1573-5
- Айоцян С.С., Саргсян А.А., Конькова С.Г., Хачатрян А.Х., Бадасян А.Э., Авагян К.А., Саргсян М.С. // ЖОрХ. 2019. Т. 55. № 2. С. 321; Hayotsyan S.S., Sargsyan A.A., Kon’kova S.G., Khachatryan A.Kh., Badasyan A.E., Avagyan K.A., Sargsyan M.S. // Russ. J. Org. Chem. 2019. Vol. 55. N 2. P. 282. doi: 10.1134/S051474921902023X
- Руководство по проведению доклинических исследований лекарственных средств / Под. ред. А. Н. Миронова. М.: Гриф и К, 2012. С. 509.
- Машковский М.Д. Лекарственные средства. М.: Новая волна, 2010. С. 851.
Supplementary files






