Key Blocks for Constructing π-Conjugated Systems Based on Thieno[3,2-b]pyrroles
- Authors: Torosyan S.A.1, Nuriakhmetova Z.F.1, Lobov A.N.1, Gimalova F.A.1
-
Affiliations:
- Ufa Institute of Chemistry, Ufa Federal Research Centre of the Russian Academy of Sciences
- Issue: Vol 94, No 2 (2024)
- Pages: 203-208
- Section: Articles
- URL: https://bakhtiniada.ru/0044-460X/article/view/260301
- DOI: https://doi.org/10.31857/S0044460X24020058
- EDN: https://elibrary.ru/GVKDJN
- ID: 260301
Cite item
Full Text
Abstract
Cross-coupling products with isobutyl acrylate were obtained by the Heck reaction based on dibromides of methyl esters of 4-methyl- and 4-benzyl-4H-thieno[3,2-b]pyrrole-5-carboxylic acids.
Full Text
ВВЕДЕНИЕ
Производные метиловых и этиловых эфиров 4Н-тиено[3,2-b]пиррол-5-карбоновой кислоты применяются для создания различных биоактивных структур [1, 2]. Малые молекулы и олигомеры на основе тиено[3,2-b]пирролов и их производных представляют интерес как базисные матрицы в синтезе p-сопряженных конденсированных систем для оптоэлектроники (сенсоры, фотоэлектрические элементы, органические светоизлучающие диоды, органические полевые транзисторы и др.) [3, 4], а также для получения полимеров донорного типа, которые в сочетании с акцепторными блоками могут быть использованы при конструировании D-A-D систем [5, 6].
Для дальнейшей функционализации тиенопирролов успешно применяются реакции галогенирования по тиофеновому и пиррольному фрагментам. Полученные галогенпроизводные далее вводят в реакции кросс-сочетания (реакции Сузуки–Миауры, Стилле, Соногаширы и др.) с бор- и оловоорганическими соединениями, олефинами, алкинами с выходом к новым производным [4, 7]. В этом ряду реакция Хека (или Мизороки–Хека), заключающаяся в катализируемом комплексами палладия сочетании алкил- и арилгалогенидов с алкенами, активно используется в синтезе подобных гетероциклических соединений благодаря мягким условиям реакции и толерантности к функциональным группам [8–10].
Ранее нами с участием производных тиено[3,2-b]пирролов были разработаны оригинальные подходы к новым материалам для оптоэлектроники [11].
РЕЗУЛЬТАТЫ И ОБСУЖДЕНИЕ
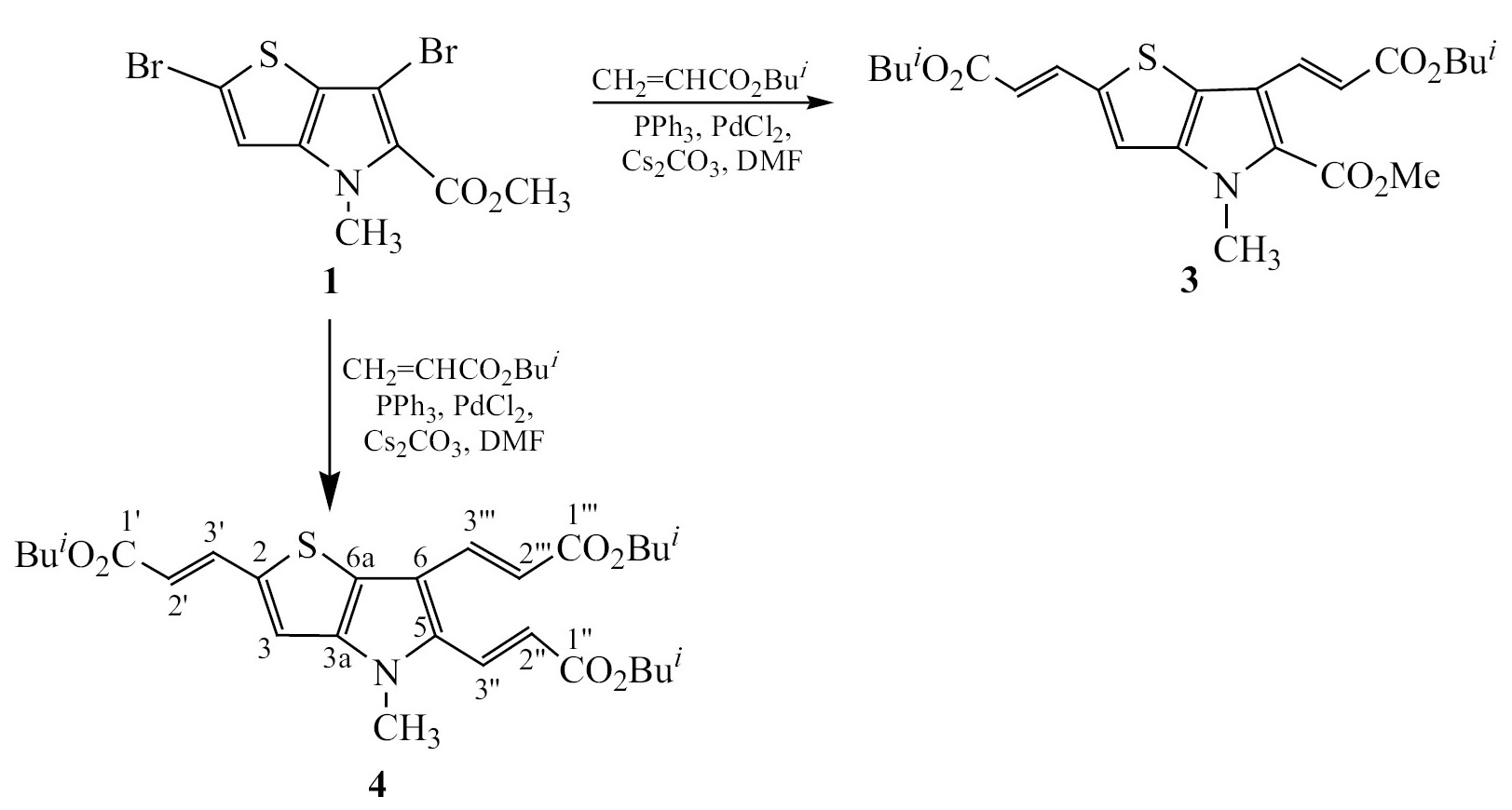
В данной работе на основе ранее синтезированных дибромидов 1, 2 [11] и метиловых эфиров 4-метил- и 4-бензил-4H-тиено[3,2-b]пиррол-5-карбоновой кислот [12] получены новые кросс-сопряженные продукты по реакции Хека применением изобутилового эфира акриловой кислоты. Реакцию проводили с избытком изобутилакрилата в присутствии системы PdCl2–PPh3–Cs2CO3 в кипящем ДМФА, контролируя ход реакции методом ТСХ.
Из дибромида 1 предполагалось получение продукта двойного кросс-сочетания 3. Однако в данном случае после обработки реакционной смеси выделен продукт тройного замещения – соединение 4 (схема 1), т. е. кроме атомов брома произошло замещение метоксикарбонильной группы изобутилакрилатом. Примеров замещения алкоксикарбонильной группы в реакции Хека нами не обнаружено, хотя в литературе известны примеры замещения хлорангидридной и ангидридной групп в ароматических соединениях на акрилатную, при этом считается, что реакция протекает через стадию декарбонилирования [8, 13, 14].
Схема 1.
Структура соединения 4 установлена по данными спектроскопии ЯМР 1Н и 13С с привлечением двумерных 1H–13C и 1H–15N HSQC, HMBC, 1H–1H COSY-DQF и NOESY спектров высокого разрешения, а также данными масс-спектра, где имеется пик молекулярного иона при 516. Согласно данным ЯМР, в спектрах наблюдаются сигналы трех изобутилакрилатных заместителей с транс-ориентацией протонов двойных связей, что подтверждается дублетными сигналами с величиной КССВ, равной 15.6–16.0 Гц, а спиновые партнеры протонов двойных связей однозначно установлены с помощью спектроскопии COSY-DQF. Замещение изобутилакрилатными группами в положениях C2, C5 и C6 в 4Н-тиено[3,2-b]пирроле установлено на основании корреляций в спектре 1H–13C HMBC. Так, для протонов в положениях 2 акрилатных остатков (δH 6.30, 6.31 и 6.18 м. д.) наблюдаются HMBC кросс-пики с позициями замещения C2 (δС 141.67), C5 (δС 136.15) и С6 (δС 116.25 м. д.) соответственно. Кроме того, для протонов в положениях 3 акрилатных остатков (δH 7.81, 7.80 и 7.93 м. д.) наблюдаются HMBC-корреляции через три связи с соседними положениями к позициям замещения C3 (δС 113.37 м. д.), C6 (δС 116.25 м. д.) и C6a (δС 123.39 м. д.) соответственно. Также для этих протонов наблюдаются кросс-пики с карбоксильными функциями акрилатов, с которыми, в свою очередь, коррелируют метиленовые протоны для трех изобутилакрилатных заместителей (схема 2).
Схема 2.
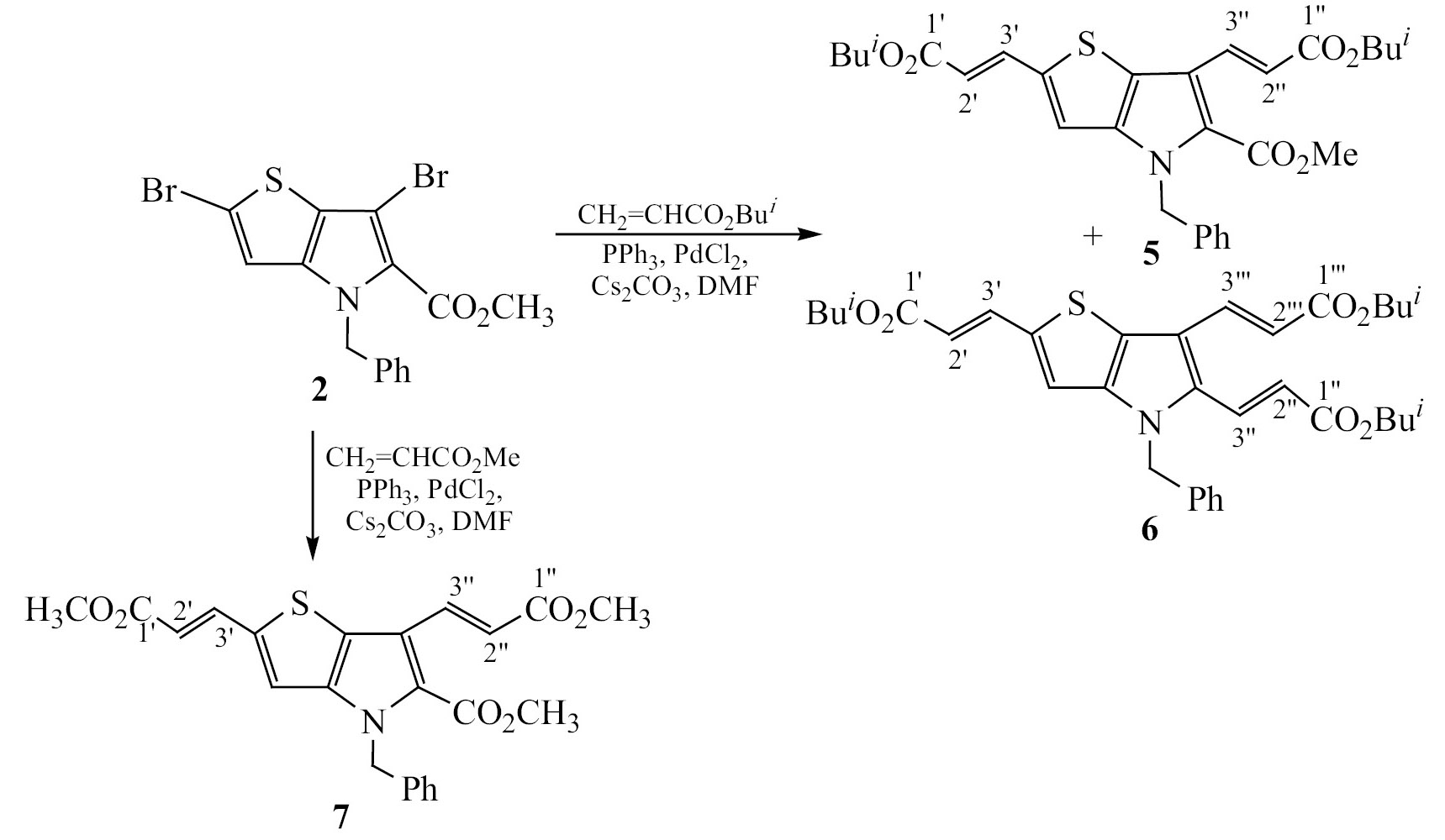
В результате реакции дибромида N-бензилпроизводного 2 с изобутилакрилатом в указанных условиях выделена смесь дизамещенного продукта 5 с сохранением метоксикарбонильной группы у атома С5 и тризамещенного продукта 6 в соотношении ~2:1 (схема 3), из которой повторной колоночной хроматографией выделено индивидуальное соединение 5. Структура соединений 5 и 6 подтверждена также данными спектроскопии ЯМР 1Н и 13С. В масс-спектре соединения 5 имеется сигнал молекулярного иона [M + H]+ с m/z = 524. Меньшая активность N-бензилпроизводного тиенопиррола в реакции с изобутилакрилатом, по-видимому, связана пространственными факторами.
Схема 3.
Реакция дибромида 2 с метилакрилатом протекала очень медленно, после обработки реакционной массы выделен с низким выходом только индивидуальный продукт двойного кросс-сочетания – соединение 7 наряду с непрореагировавшим исходным соединением 2. Структура соединения 7 также однозначно доказана данными ЯМР 1Н и 13С и масс-спектрометрии.
Такая инертность метилакрилата по сравнению с изобутиловым эфиром не совсем понятна, по литературным данным, метилакрилат наряду с бутилакрилатами часто используется в реакции Хека, и подобных особенностей не отмечено.
ВЫВОДЫ
Таким образом, получены новые бис- и трисизобутилакрилатные производные метиловых эфиров 4-метил- и 4-бензил-4H-тиено[3,2-b]пиррол-5-карбоновой кислот, представляющие интерес для создания материалов для оптоэлектроники.
ЭКСПЕРИМЕНТАЛЬНАЯ ЧАСТЬ
ИК спектры зарегистрированы на спектрофотометре IR Prestige-21 Shimadzu в тонком слое. Спектры ЯМР 1Н и 13С зарегистрированы на спектрометрах Bruker AM-300 (300 МГц) и Bruker Avance-500 (500 и 125 МГц соответственно), внутренний стандарт – ТМС. Масс-спектры (ХИ, вода) зарегистрированы на масс-спектрометре Shimadzu LCMS-2010EV (шприцевой ввод раствора образца в CHCl3–MeCN при расходе 0.1 мл/мин, элюент MeCN–H2O, 95:5, в режиме регистрации положительных и отрицательных ионов при потенциале игольчатого ионизирующего электрода 4.5 кВ, температура капилляра интерфейса – 250°С, напряжение на капилляре интерфейса – 5 В). Элементный анализ выполнен на CHNS-анализаторе Euro EA3100. Контроль за ходом реакций осуществлен методом ТСХ на пластинах Сорбфил (Россия), проявление раствором анисового альдегида и серной кислоты в этаноле с последующим нагреванием при 120–150°С. Продукты реакции выделены методом колоночной хроматографии на силикагеле Macherey-Nagel (30–60 г адсорбента на 1 г вещества).
Изобутил-(2E,2′′E,2′′E)-3,3′,3′′-(4-метил-4Н-тиено[3,2-b]пиррол-2,5,6-триил)трисакрилат (4). К раствору 60 мг (0.17 ммоль) дибромида 1 и 60 мг (0.50 ммоль) изобутилакрилата в 10 мл ДМФА добавляли по 5 мг PdCl2, PPh3 и Cs2CO3, реакционную массу кипятили до израсходования исходного дибромида (контроль ТСХ). Затем смесь охлаждали до комнатной температуры, разбавляли 10 мл метил-трет-бутилового эфира, промывали водой (5×5 мл). Органический слой сушили MgSO4, растворитель упаривали, остаток очищали колоночной хроматографией на SiO2 (элюент – петролейный эфир–этилацетат, 4:1). Выход 43 мг (50%), желтое маслообразное вещество. ИК спектр, n, см–1: 2961, 2874, 1709, 1618, 1533, 1468, 1449, 1369, 1314, 1261, 1246, 1018, 964, 910, 733. Спектр ЯМР 1Н (500 МГц, CDCl3), δ, м. д.: 0.98 д (6Н, CH3, J 6.6 Гц), 0.99 д (6Н, CH3, J 6.5 Гц), 1.00 д (6Н, CH3, J 6.7 Гц), 1.99–2.04 м (3H, CH), 3.86 с (3Н, NCH3), 3.98 д (2Н, OCH2, J 6.7 Гц), 4.01 д (2Н, OCH2, J 6.8 Гц), 4.02 д (2Н, OCH2, J 6.8 Гц), 6.17 д (1Н, =С2’’’Н, J 15.5 Гц), 6.30 д (1Н, =С2’Н, J 15.5 Гц), 6.31 д (1Н, =С2’’Н, J 16.0 Гц), 7.10 с (1Н, Н3), 7.79 д (1Н, =С3’’Н, J 16.1 Гц), 7.80 д (1Н, =С3’Н, J 15.6 Гц), 7.93 д (1Н, =С3’’’Н, J 15.5 Гц). Спектр ЯМР 13С (125 МГц, CDCl3), δС, м. д.: 19.20 (CH3), 19.22 (CH3), 19.27 (CH3), 27.88 (CH), 27.90 (CH), 27.93 (CH), 34.05 (NCH3), 70.70 (OCH2), 70.81 (OCH2), 71.14 (OCH2), 113.37 (C3), 116.26 (C6), 116.93 (=C2’H), 118.12 (=C2’’’H), 120.68 (=C2’’H), 123.40 (C6a), 130.25 (=C3’’H), 134.34 (=C3’’’H), 138.88 (=C3’H), 136.15 (C5), 141.67 (С2), 143.50 (C3a), 166.57 (C1’’’), 166.86 (C1’) и 167.31 (C1’’). Масс-спектр, m/z (Iотн, %): 516 (30) [M + H]+, 442 (100) [M – OBui]+. Найдено, %: С 65.58; H 7.35; N 2.98; S 6.43. C28H37NO6S. Вычислено, %: С 65.22; H 7.23; N 2.72; S 6.22.
Метил-4-бензил-2,6-бис[(1E)-3-изобутокси-3-оксопроп-1-ен-1-ил)-4Н-тиено[3,2-b]пиррол-5-карбоксилат (5) получали аналогично из 110 мг (0.26 ммоль) соединения 2 и 83 мг (0.65 ммоль) изобутилакрилата. После аналогичной для соединения 4 обработки и хроматографической очистки на колонке с SiO2 (элюент – петролейный эфир–этилацетат, 4:1) получили 62 мг смеси соединений 5 и 6 (~2:1) в виде желтого маслообразного вещества. Из этой смеси повторной колоночной хроматографией выделили 54 мг (40%) соединения 5. ИК спектр, n, см–1: 2961, 2874, 1705, 1619, 1533, 1497, 1467, 1437, 1377, 1310, 1249, 1168, 1133, 1022, 957. Спектр ЯМР 1Н (500 МГц, CDCl3), δ, м. д.: 0.95 д (6Н, CH3, J 6.7 Гц), 1.03 д (6Н, CH3, J 6.7 Гц), 1.98–2.09 м (2H, CH), 3.95 с (3Н, ОCH3), 3.99 д (2Н, OCH2, J 6.7 Гц), 4.05 д (2Н, OCH2, J 6.6 Гц), 5.76 c (CH2Ph), 6.28 д (1Н, =С2’’Н, J 15.8 Гц), 6.33 д (1Н, =С2’Н, J 15.4 Гц), 7.08 с (1Н, Н3), 7.10–7.13 м (2H, Ph), 7.29–7.38 м (3Н, Ph), 7.76 д (1Н, С3’Н=, J 15.6 Гц), 8.47 д (1Н, С3’’Н=, J 16.0 Гц). Спектр ЯМР 13С (125 МГц, CDCl3), δС, м. д.: 19.16 (CH3), 19.19 (CH3), 27.82 (CH), 27.88 (CH), 51.27 (NCH3), 52.01 (ОСН3), 70.62 (OCH2), 70.80 (OCH2), 114.08 (C3), 116.92 (C6), 117.98 (=C2’H), 119.87 (C2’’H=), 122.66 (C6a), 126.54 (СPh), 127.82 (СPh), 128.84 (СPh), 130.12 (C5), 134.49 (СPh), 136.39 (=C3’’H), 137.49 (=C3’H), 141.71 (С2), 143.50 (C3a), 161.39 (CO2Me), 166.54 (C1’’) и 167.16 (C1’). Масс-спектр, m/z (Iотн, %): 524 (100) [M + H]+, 450 (15) [M – OBui]+.
Изобутил-(2E,2′E,2′′E)-3,3′,3′′-(4-бензил-4Н-тиено[3,2-b]пиррол-2,5,6-триил)-трисакрилат (6) охарактеризован из смеси с соединением 5. Спектр ЯМР 1Н (500 МГц, CDCl3), δ, м. д.: 0.91 д (6Н, CH3, J 6.6 Гц), 1.00 д (6Н, CH3, J 6.7 Гц), 1.04 д (6Н, CH3, J 6.7 Гц), 1.96–2.07 м (3H, CH), 3.99 д (2Н, OCH2, J 6.7 Гц), 4.00 д (2Н, OCH2, J 6.6 Гц), 4.02 д (2Н, OCH2, J 6.7 Гц), 5.39 c (CH2Ph), 6.24 д (1Н, =С2’’’Н, J 15.8 Гц), 6.25 д (1Н, =С2’Н, J 15.8 Гц), 6.30 д (1Н, =С2’’Н, J 15.3 Гц), 6.97 с (1Н, Н3), 7.10–7.13 м (2H, Ph), 7.29–7.38 м (3Н, Ph), 7.75 д (1Н, С3’’Н=, J 15.6 Гц), 7.77 д (1Н, С3’’’Н=, J 16.0 Гц), 7.98 д (1Н, С3’Н=, J 15.5 Гц). Спектр ЯМР 13С (125 МГц, CDCl3), δС, м. д.: 19.12 (CH3), 19.19 (CH3), 27.76 (CH), 27.82 (CH), 50.19 (ОСН3), 52.01 (NCH2), 70.64 (OCH2), 70.72 (OCH2), 71.01 (OCH2), 113.74 (C3), 116.10 (C6), 118.40 (=C2’H), 119.50 (=C2’’’H), 121.86 (=C2’’H), 124.06 (C6a), 126.31 (CPh), 128.30 (CPh), 129.20 (CPh), 133.0 (C5), 135.55 (CPh), 136.89 (=C3’’H), 137.49 (=C3’H), 137.73 (=C3’’’H), 141.71 (С2), 143.67 (C3a), 164.80, 166.54 и 166.38 (CO2Bui).
Метил-4-бензил-2,6-бис[(1E)-3-метокси-3-оксопроп-1-ен-1-ил)-4Н-тиено[3,2-b]пиррол-5-карбоксилат (7) получали аналогично соединению 4 из 100 мг (0.232 ммоль) соединения 2 и 30 мг (0.370 ммоль) метилакрилата. Выделили 60 мг исходного соединения 2 и 18 мг (18%) продукта 7 в виде светло-желтого маслообразного вещества. ИК спектр, n, см–1: 3180, 3014, 2951, 2920, 2875, 1710, 1621, 1444, 1467, 1437, 1311, 1274, 1195, 1036. Спектр ЯМР 1Н (500 МГц, CDCl3), δ, м. д.: 3.79 с (3Н, ОCH3), 3.83 с (3Н, ОCH3), 3.94 с (3Н, ОCH3), 5.73 c (CH2Ph), 6.25 д (1Н, =С2’’Н, J 15.9 Гц), 6.27 д (1Н, =С2’Н, J 15.5 Гц), 7.02 с (1Н, Н3), 7.07–7.11 м (2H, Ph), 7.27–7.31 м (3Н, Ph), 7.74 д (1Н, =С3’’Н, J 15.7 Гц), 8.43 д (1Н, =С3’Н, J 15.9 Гц). Спектр ЯМР 13С (125 МГц, CDCl3), δС, м. д.: 51.33 (ОСН3), 51.75 (ОСН3), 51.85 (ОСН3), 52.14 (NCH2), 114.27 (C3), 117.42 (C6), 119.44 (=C3’H), 122.6 (C6a), 126.28 (=C3’’H), 126.58 (СPh), 127.87 (СPh), 128.87 (СPh), 136.20 (C5), 136.64 (=C2’’H), 136.85 (СPh), 137.81 (=C2’H), 139.10 (С), 143.33 (C3a), 161.37 (CO2Me), 166.94 (C1’), 167.57 (C1’’). Масс-спектр, m/z (Iотн, %): 440 (100) [M + H]+, 408 (41) [M – OCH3]+.
БЛАГОДАРНОСТЬ
Работа выполнена с использованием оборудования Центра коллективного пользования «Химия» Уфимского института химии и Регионального центра коллективного пользования «Агидель» Уфимского федерального исследовательского центра РАН.
ФИНАНСОВАЯ ПОДДЕРЖКА
Работа выполнена в рамках государственного задания (тема № 122031400261-4 «Дизайн и синтез биоактивных природных и неприродных циклопентаноидов, гетероциклов, эпотилонов и аналогов»).
КОНФЛИКТ ИНТЕРЕСОВ
Авторы заявляют об отсутствии конфликта интересов.
About the authors
S. A. Torosyan
Ufa Institute of Chemistry, Ufa Federal Research Centre of the Russian Academy of Sciences
Email: fangim@anrb.ru
ORCID iD: 0000-0002-9555-7228
Russian Federation, Ufa, 450054
Z. F. Nuriakhmetova
Ufa Institute of Chemistry, Ufa Federal Research Centre of the Russian Academy of Sciences
Email: fangim@anrb.ru
ORCID iD: 0000-0002-7628-3452
Russian Federation, Ufa, 450054
A. N. Lobov
Ufa Institute of Chemistry, Ufa Federal Research Centre of the Russian Academy of Sciences
Email: fangim@anrb.ru
ORCID iD: 0000-0002-9223-508X
Russian Federation, Ufa, 450054
F. A. Gimalova
Ufa Institute of Chemistry, Ufa Federal Research Centre of the Russian Academy of Sciences
Author for correspondence.
Email: fangim@anrb.ru
ORCID iD: 0000-0002-5176-1227
Russian Federation, Ufa, 450054
References
- Ching K.-Ch., Kam Y.-W., Merits A., Ng L.F.P., Chai C.L.L. // J. Med. Chem. 2015. Vol. 58. P. 9196. doi: 10.1021/acs.jmedchem.5b01047
- Hernando M.J.I., Ontoria J.M., Malancona S., Attenni B., Fiore F., Bonelli F., Koch U., Di Marco S., Colarusso S., Ponzi S., Gennari N., Vignetti S.E., Rico Ferreira M.d.R., Habermann J., Rowley M., Narjes F. // ChemMedChem. 2009. Vol. 4. N 10. P. 1695. doi: 10.1002/cmdc.200900184
- Jones C., Boudinet D., Xia Y., Denti M., Das A., Facchetti A. Driver T.G. // Chem. Eur. J. 2014. Vol. 20. N 20. P. 5938. doi: 10.1002/chem.201304914
- Gunawardhana R., Bulumulla C., Gamage P.L., Timmerman A.J., Udamulle Gedara C.M., Biewer M.C., Stefan M.C. // ACS Omega. 2019. Vol. 4. N 22. P. 19676. doi: 10.1021/acsomega.9b02274
- Arias A.C., MacKenzie J.D., McCulloch I., Rivnay J., Salleo A. // Chem. Rev. 2010. Vol. 110. P. 3. doi: 10.1021/cr900150b
- Gamage P.L., Udamulle Gedara C.M., Gunawardhana R., Bulumulla C., Ma Z., Shrivastava A., Biewer M.C., Stefan M.C. // Appl. Sci. 2022. Vol. 12. 3150. doi: 10.3390/app12063150
- Honsho Y., Saeki A., Seki Sh. // Int. J. Spectrosc. 2012. Vol. 2012. 983523. doi: 10.1155/2012/983523
- Beletskaya I.P., Cheprakov A.V. // Chem. Rev. 2000. Vol. 100. P. 3009. doi: 10.1021/cr9903048
- Biffis A., Centomo P., Del Zotto A., Zecca M. // Chem. Rev. 2018. Vol. 118. P. 2249. doi: 10.1021/acs.chemrev.7b00443
- Corbet J.P., Mignani G. // Chem. Rev. 2006. Vol. 106. P. 2651. doi: 10.1021/cr0505268
- Miftakhov M.S., Torosyan S.A., Gimalova F.A., Khursan S.L., Nuriakhmetova Z.F., Shchurik E.V., Kraevaya O.A., Shestakov A.F., Troshin P.A. // Polymer Chem. 2023. Vol. 14. P. 4986. doi: 10.1039/d3py00893b.
- Торосян С.А., Загитов В.В., Гималова Ф.А., Ерастов А.С., Мифтахов М.С. // ЖОрХ. 2018. Т. 54. С. 909; Torosyan S.A., Gimalova F.A., Zagitov V.V., Erastov A.S., Miftakhov M.S. // Russ. J. Org. Chem. 2018. Vol. 54. P. 912. doi: 10.1134/S1070428018060131
- Spencer A. // J. Organometal. Chem. 1984. Vol. 265. P. 323. doi: 10.1016/0022-328X(84)80097-2
- Stephan M.S., Teunissen A.J.J.M., Verzijl G.K.M., De Vries J.G. // Angew. Chem. Int. Ed. 1998. Vol. 37. P. 662. doi: 10.1002/(SICI)1521-3773(19980316)37:5<662::AID-ANIE662>3.0.CO;2-0
Supplementary files





