Synthesis of Disecondary Aromatic Diols
- Authors: Zaitsev B.А.1, Kleptsova L.G.1, Shvabskaya I.D.1
-
Affiliations:
- Institute of Macromolecular Compounds of the Russian Academy of Sciences
- Issue: Vol 94, No 2 (2024)
- Pages: 174-184
- Section: Articles
- URL: https://bakhtiniada.ru/0044-460X/article/view/260279
- DOI: https://doi.org/10.31857/S0044460X24020022
- EDN: https://elibrary.ru/GVVHZY
- ID: 260279
Cite item
Full Text
Abstract
The synthesis of disecondary aromatic diols (the main precursors for divinyl aromatic monomers) was carried out. The optimal conditions for the preparation of these diols by selective catalytic hydrogenation of aromatic diketones in the presence of Raney nickel and by reduction of these diketones by sodium borohydride were established. It was demonstrated that sodium borohydride reduction afforded the pure diols under mild and relatively safe conditions (in the systems of CHCl3–PEG400–H2O, at room temperature and atmospheric pressure).
Full Text
ВВЕДЕНИЕ
Двувторичные жирноароматические диолы являются прекурсорами пара-дивинилбензола [1] и других дивинилароматических мономеров, которые широко используются в качестве сшивающих агентов при получении сетчатых полимеров [2–7]. Термохимические превращения метакриловых эфиров этих диолов (схема 1) являются основой химии роливсанов – полифункциональных термореактивных смол нового типа, образующих стеклообразные сетчатые полимеры, которые способны изменять свою химическую, топологическую, надмолекулярную структуру и свойства в процессе термической обработки [8–13]. В отличие от пара-дивинилбензола дивинилароматические соединения с мостиковыми группами (Ar-O-Ar, Ar-CH2-Ar, Ar-S-Ar), получаемые из данных диолов, образуют менее жесткие и более термостойкие сетчатые полимеры [14].
Схема 1.
Эти двувторичные диолы получали ацетилированием ароматических углеводородов с последующим восстановлением полученных жирноароматических дикетонов. Однако методы восстановления широко представлены только в отношении соответствующих монозамещенных ароматических углеводородов (ацетофенон). Сведения о получении и свойствах двувторичных жирноароматических диолов крайне ограничены. Поэтому разработка простых и доступных методов синтеза этих диолов представляет значительный интерес.
РЕЗУЛЬТАТЫ И ОБСУЖДЕНИЕ
Синтез прекурсоров (жирноароматических дикетонов 2а–д) был осуществлен нами ранее ацетилированием ароматических углеводородов: дифенилоксида 1а [11–13, 15, 16], дифенилметана(этана) 1б, в [17], бифенила 1г [18] и дифенилсульфида 1д [19] по реакции Фриделя–Крафтса [20] (схема 2, табл. 1).
Схема 2.
Таблица 1. Ацетилирование ароматических соединений 1а–г хлористым ацетилом (AlCl3, СH2Cl2, ~0°C, ~2.5 ч).
№ опыта | Арен | Дикетон | Выход, % |
1 | 98 | ||
2 | 83 | ||
3 | 98.7 | ||
4 | 97.5 | ||
5 | 98.5 |
Реакцию проводили в хлористом метилене вместо таких обычно используемых высокотоксичных растворителей, как сероуглерод или дихлорэтан [20]. При этом процесс ацетилирования проходил при охлаждении реакционной смеси примерно до 0°С, поскольку повышенные температуры благоприятствует побочной реакции хлорметилирования [15]. После прекращения выделения хлористого водорода, что свидетельствует о завершении реакции ацетилирования, следует выделение и освобождение конечного продукта от кислых примесей, что при использовании хлористого метилена в качестве растворителя не является тривиальной задачей. Нами обнаружено, что от степени разработки и оптимизации этой технологической операции существенно зависит выход дикетона, особенно при его масштабировании. Установлено, что выделение продукта следует начинать при пониженном давлении (500±100 мм рт. ст.) с прибавления реакционной смеси к охлажденному до 5±10°С ~20%-ному раствору соляной кислоты. При этом происходит гидролиз комплекса ацетилированного продукта с хлористым алюминием и выделение хлористого водорода. После удаления верхнего водного слоя, содержащего алюминаты и уксусную кислоту, нижний слой, содержащий раствор ацетилированного продукта в хлористом метилене, промывали водой (до достижения рН не более 6.0–6.5), интенсивно перемешивали при повышенной температуре (50–60°С) и пониженном давлении (400±100 мм рт. ст.), что способствует быстрому и полному удалению растворителя. В случае наработки значительных количеств дикетона присутствие остатков хлористого метилена (при недостаточно полном его удалении) приводит к относительно медленной агломерации продукта и осаждению его в виде тонкодисперсного кристаллического осадка, следствием чего является значительная его потеря с промывными водами при фильтровании. Эффективное удаление кислых примесей, которые являются одной из причин нежелательного гидрирования ароматических колец [21] на следующей стадии получения диола, рассмотренной ниже, достигалось посредством щелочной обработки дикетона с последующей промывкой водой (рН ≥ 7.0) и сушкой [12].
В ИК спектрах ароматических дикетонов 2а–д наблюдали характерные сильные полосы поглощения валентных колебаний карбонильной группы (>C=O) около 1680 см–1 и ароматических ядер (>C=C<) при 1600 и 1500 см–1, а также слабые полосы плоскостных деформационных колебаний скелета (C–Н) в пара-замещенных производных бензола при 1225, 1170, 1120, 1080 и 960 см–1, полосы внеплоскостных деформационных колебаний кольца (C–Н) при 848, 825 и 713 см–1 [22].
В спектрах ЯМР 1Н дикетонов 2а–д проявляются синглеты протонов метильных групп при 2.61 м. д. и дублеты протонов бензольного кольца при 8.01 и 7.10 м. д., находящихся в орто- и мета-положениях соответственно.
До проведения наших исследований двувторичные жирноароматические диолы получали путем кипячения раствора ароматического дикетона в изопропиловом спирте в присутствии изопропилата алюминия с непрерывной отгонкой ацетона (метод Меервейна–Пондорфа–Верлея) [23]. Серьезными недостатками этого метода являются низкая активность изопропилата алюминия, для повышения которой используются стехиометрические количества катализатора и повышенная температура реакции. Следует отметить, что это приводит к значительной дегидратации образующегося диола, т. е. к потере селективности [24, 25].
В литературе широко представлены методы гидрирования таких известных и близких по химической структуре кетонов, как ацетилбензол (ацетофенон), 1,4-диацетилбензол, 4-ацетилбифенил [26–35]. Их гидрирование проводили в присутствии как благородных (Pd, Pt), так и неблагородных (Ni, Cu, Mo, Co) металлов, нанесенных на различные подложки. Однако несмотря на структурное сходство жирноароматические дикетоны и продукты их гидрирования существенно отличаются от соответствующих монопроизводных по своим свойствам (растворимость, температура кипения и плавления, термическая стабильность и др.). Как показывают результаты наших исследований, представленных ниже (табл. 2), условия гидрирования, например, ацетофенона, обеспечивающие высокий выход 1-фенилэтанола, не могли быть просто перенесены на синтез рассматриваемых диолов и нуждались в существенной адаптации и модификации. Полученные результаты демонстрируют высокую каталитическую активность и удовлетворительную селективность (выход), проявляемую некоторыми каталитическими системами, которые содержат палладий (опыты № 9, 11, 12) и никель Ренея (опыты № 13–17). Видно, однако, что ускорение реакции, достигаемое посредством повышения (до 60–80°С) температуры (опыты № 14–16) и давления водорода (опыты № 13–16) неблагоприятно отражаются на селективности процесса гидрирования. Это связано с побочными реакциями деароматизации (гидрирования ароматических колец) [21] и гидрогенолиза [36]. Поэтому с целью нахождения более благоприятного сочетания различных факторов при получении диолов с высокими выходами и без использования дорогостоящих катализаторов (опыты № 7–12) выбраны следующие два метода (схема 3): каталитическое гидрирование дикетона в присутствии никеля Ренея (а) и его восстановление боргидридом натрия (б).
Таблица 2. Результаты гидрирования жирноароматических дикетонов 2а, б, г в этаноле при использовании различных каталитических систем.
№ опыта | Кетон | Катализатор | Условия гидрирования | Выход, % | ||
t, °С | p, атм | v, г дикетона/г катализатора·ч а | ||||
6 | 2а | Ni/Cr2O3 | 40–50 | 100–60 | 0.5 | 50.0 |
7 | 2а | Pd black | 35 | 755б | 0.6 | 54.0 |
8 | 2а | 5%Pd/C | 15–18 | 10 | 2.1 | 52.4 |
9 | 2а | 4%Pd/Al2O3 | 18 | 10 | 3.7 | 86.0 |
10 | 2а | 4%Pd/Al2O3 | 22.5–35 | 755б | 0.4 | 80.0 |
11 | 2а | 4%Pd/Al2O3в | 35 | 755б | 0.9 | 96.0 |
12 | 2а | 2%Pd/Al2O3 | 20–30 | 10 | 1.0 | 90.0 |
13 | 2а | Ra-Ni | 40 | 94–70 | 2.4 | 77.0 |
14 | 2б | Ra-Ni | 60–80 | 76–26 | 8.6 | 76.0 |
15 | 2б | Ra-Ni | 71 | 57 | 9.2 | 78.3 |
16 | 2г | Ra-Ni | 60–71 | 52–21 | 6.0 | 85.0 |
17 | 2а | Ra-Ni | 40–45 | 25–20 | 1.5 | 81.8 |
18 | 2г | NaBH4 | 60 | 1.0 | 2.6 | 70.0 |
а Средняя скорость гидрирования при одинаковом содержании дикетона и растворителя.
б мм рт. ст.
в Катализатор был предварительно активирован под давлением водорода 10 атм.
Схема 3.
Результаты каталитического гидрирования ароматических дикетонов 2а–д в присутствии никеля Ренея (способ а) приведены в табл. 2 и 3. Установлено, что ускорению реакции способствуют: отсутствие кислых примесей в дикетоне (снижающих активность катализатора), применение обезвоженного этанола с содержанием влаги не более 3%, поскольку в воде дикетоны не растворяются, повышенное давление водорода 50–100 атм, относительно высокая температура (60–80°С) процесса, приводящая к улучшению растворимости дикетона в этаноле, и высокая концентрация катализатора. Однако повышению выхода целевого продукта (диола), т. е. селективности процесса, благоприятствуют, напротив, обычные или слегка повышенные значения температуры, давления и концентрации никеля Ренея.
Таблица 3. Каталитическое гидрирование ароматических дикетонов 2а–д в присутствии никеля Ренея (Н2, 20–25 атм, 25–50°C, абс. EtOH, 3–4 ч).
Дикетон | Диол | Выход, % |
98 | ||
83 | ||
98.7 | ||
87 | ||
78 | ||
93 |
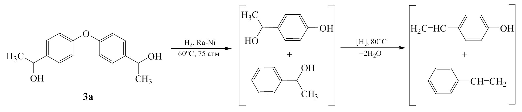
Таким образом, к недостаткам этого способа получения двувторичных ароматических диолов можно отнести пирофорность катализатора, применение дорогостоящего оборудования (автоклавов) для работы под давлением, наличие вредных примесей, образующихся в таких побочных реакциях, как гидродеароматизация (частичное гидрирование ароматических колец) [35], а в случае получения диолов 3а, д – гидрогенолиз (схема 4) [36].
Схема 4.
Для повышения активности катализатора и улучшения растворимости дикетона обычно повышают температуру, которая хотя и ускоряет процесс гидрирования, но одновременно благоприятствует реакции гидрогенолиза, при котором происходит расщепление, например, дифенилоксидной (дифенилсульфидной) группы в молекуле диола, и образуются соответствующие метилфенилкарбинолы (схема 4). Эти вторичные жирноароматические спирты дегидратируются при получении дивинилароматических мономеров и образуют примеси фенольного и стирольного типа, которые могут оказывать нежелательное влияние на кинетические характеристики отверждения дивинилароматических мономеров и их экологические свойства [37].
В ИК спектрах двувторичных ароматических диолов 3а–д наблюдаются широкие полосы валентных колебаний ОН-группы в области 3500–3200 см–1, полосы деформационных колебаний ОН при 1100, 1119–1105, 1074–1012, 1350–1260 см–1, отмечаемые у вторичных спиртов [22].
В спектрах ЯМР 1Н диола 3а проявляются сигналы протонов метильных групп при 1.52 м. д., >CH-группы при 2.05 м. д. и гидроксильных групп при 4.90 м. д., а также дублеты протонов бензольного кольца при 7.34 и 6.99 м. д., находящихся в орто- и мета-положениях соответственно.
Как было показано, один из двувторичных диолов 3г с выходом 70% впервые получен нами при обычных (стандартных) условиях [38] восстановления дикетона боргидридом натрия (при нагревании в абсолютном этаноле в течение нескольких часов) (табл. 2, опыт № 18). Для улучшения растворимости дикетона этот процесс вынуждено проводили при повышенной температуре (60°С). Но поскольку диол 3а является основным прекурсором для получения дивинилароматических соединений [8–13], поиск оптимальных условий при его получении посредством мягкого восстановления дикетона 2а боргидридом натрия при комнатной температуре и атмосферном давлении (способ б, схема 3), является актуальным (табл. 4). Известно, что процесс восстановления боргидридом натрия некоторых карбонильных соединений, включая ацетофенон, может быть осуществлен даже без использования растворителя (например, этанола). Контакт между твердыми частицами субстрата и восстановителя достигается посредством их солюбилизации малыми добавками катализатора межфазного переноса, такими как полиэтиленгликоль (ПЭГ) [39, 40].
Таблица 4. Подбор оптимальных условий восстановления дикетона 2а боргидридом натрия в системе CHCl3–PEG400–H2O (15–20°C, 3.5 ч).
№ опыта | Дикетон 2а, моль | NaBH4, моль | Вода, моль | H2O/2a, моль/моль | CHCl3, мл | ПЭГ, мл | Т. пл., °С | Выход, % |
1 | 0.050 | 0.095 | 0.194 | 3.88 | 21.5 | 1.5 | 81–83 | 65.5 |
2а | 0.059 | 0.081 | 0.333 | 5.64 | 25.5 | 1.7 | 73–77 | 44 |
3 | 0.059 | 0.085 | 0.222 | 3.76 | 15.0 | 1.7 | 85–86.5 | 67.7 |
4 | 0.118 | 0.182 | 0.444 | 3.76 | 20.0 | 3.4 | 83.5–84.5 | 63.3 |
5 | 0.196 | 0.280 | 0.739 | 3.77 | 25.0 | 5.6 | 84.5–85.5 | 84.6 |
6 | 0.393 | 0.560 | 1.478 | 3.76 | 50.0 | 11.2 | 85–85.5 | 90.3 |
7 | 0.393 | 0.640 | 1.477 | 3.76 | 45.0 | 11.2 | 85–85.5 | 85.5 |
8 | 0.787 | 1.121 | 2.956 | 3.76 | 110.0 | 22.4 | 85–85.5 | 93.5 |
9 | 0.983 | 1.401 | 3.694 | 3.76 | 125.0 | 28.0 | 86.0 | 92.8 |
10б | 0.110 | 0.130 | – | – | 200 | – | 160–161 | 70.0 |
а Избыточное содержание воды в реакционной смеси приводило к частичному разрушению восстановителя и снижению выхода продукта реакции.
б Диол 2г в растворе абсолютного этанола нагревали с боргидридом натрия при 60°С в течение 2 ч.
Нами разработан следующий вариант этого способа, не предусматривающий полного растворения дикетона. В серии опытов (табл. 4) исследована эффективность восстановления порошкообразного дикетона, взятого в смеси с хлороформом, ПЭГ400 и водой в различных соотношениях. Реакция восстановления была проведена с небольшим избытком NaBH4 и более, чем трехкратной мольной добавкой реакционной воды при интенсивном перемешивании смеси, охлажденной до комнатной температуры (схема 5).
Схема 5.
Как видно из табл. 4, диол 3а может быть получен с высоким выходом при обычной температуре и атмосферном давлении, если массовое соотношение дикетон–СHСl3–ПЭГ400 в реакционной смеси составляет примерно 1.3:1.0:0.2 соответственно. Следует отметить, что хлороформ в реакционной смеси взят в совершенно недостаточном количестве для полного растворения дикетона, при этом ПЭГ400 использовался не как растворитель (дикетон в нем практически нерастворим), а как солюбилизатор твердых частиц дикетона и боргидрида.
Таким образом, к отмеченным выше преимуществам предлагаемого подхода к восстановлению дикетонов боргидридом натрия можно отнести отсутствие необходимости создания сравнительно жестких условий гидрирования, характерных для способа а. Кроме того, менее значимым становится тщательное (трудоемкое) освобождение дикетона от кислых примесей, поскольку первые малые порции прибавляемого боргидрида нейтрализуют их.
ВЫВОДЫ
Различными методами избирательного каталитического гидрирования ароматических дикетонов получен ряд двувторичных ароматических диолов, являющихся основными прекурсорами дивинилароматических мономеров. Определены оптимальные условия синтеза. Показано, что использование боргидрида натрия в системе CHCl3–PEG400–H2O при комнатной температуре и атмосферном давлении позволяет получать чистые диолы с выходом до 93.5%.
ЭКСПЕРИМЕНТАЛЬНАЯ ЧАСТЬ
ИК спектры записаны на ИК Фурье-спектрометре Vertex 70 Bruker (4000–600 см–1) с приставкой НПВО (нарушенное полное внутреннее отражение, Pikc, материал элемента НПВО – ZnSe, угол падения луча – 45°). Спектры ЯМР 1Н зарегистрированы на приборе Bruker Avance 400 MHz с рабочей частотой 125.77 МГц в дейтерированном хлороформе, внутренний стандарт – Me4Si.
Общая методика синтеза ароматических дикетонов 2а–д. К смеси 80 мл CH2Cl2 и 0.50 моль безводного AlCl3, охлажденной до ~0°C, при перемешивании прибавляли 0.60 моля хлористого ацетила в течение 15–20 мин. К полученному ацетилирующему комплексу прибавляли при температуре 0±5°C раствор 0.200 моля ароматического углеводорода 1а–д в 40 мл CH2Cl2 при интенсивном перемешивании в течение 1 ч. После прекращения выделения HCl раствор комплекса ацетилированного продукта с AlCl3 в хлористом метилене перемешивали 1 ч при ~0°C, растворитель отгоняли при 35–40°C при пониженном давлении. Ацетилированные продукты выделяли путем разложения комплекса смесью, состоящей из ~500 г тонкоизмельченного льда, 1 л дистиллированной воды и 0.6 л ~20%-ного раствора соляной кислоты. Осадок отделяли фильтрованием, промывали водой, обрабатывали 1 л 2–3%-ного раствора NaOH и перемешивали суспензию при ~50°C в течение 2 ч. Продукт промывали водой и сушили при 60–70°C. Полученный продукт очищали перекристаллизацией из этилового спирта. Данные о выходах дикетонов приведены в табл. 1.
Бис(4-ацетилфениловый) эфир (2а). Выход 49.84 г (98%), белый порошок, т. пл. 101–102°С. ИК спектр, ν, см–1: 1679 с (С=О), 1588 с, 1503 ср (С=С, Ar), 1420 сл, 1355 ср, 1305 ср, 1291 сл, 1257 с, 1201 ср, 1185 сл, 1164 с, 1116 ср, 1079 сл, 1027 сл, 1010 ср, 960 с, 882 сл, 848 сл, 825 с, 761 сл, 713 сл, 624 сл, 591 ср, 578 с. Спектр ЯМР 1Н (CDCl3), δ, м. д.: 2.61 c (6Н, Me), 8.01 с (4Н, Нo-Ar), 7.10 с (4Н, Нм-Ar). Найдено, %: C 75.47; Н 5.50. C16H14O3. Вычислено, %: C 75.57; Н 5.55.
Бис(4-ацетилфенил)метан (2б). Выход 41.90 г (83%), белый порошок, т. пл. 93.5–94.0°С [18], 92–93°С [23].
Бис(4-ацетилфенил)этан (2в). Выход 52.58 г (98.7%), белый порошок, т. пл. 164–166°С [18]. Найдено, %: C 81.10; Н 6.80. C18H18O2. Вычислено, %: C 81.20; Н 6.77.
Бис(4-ацетилбифенил) (2г). Выход 46.46 г (97.5%), белый порошок т. пл. 193–194°С (толуол). ИК спектр, ν, см–1: 1677 (С=О), 1603, 1554, 1419, 1395, 1357, 1310, 1262, 1185, 1120, 1083, 1004, 960, 898, 830, 817, 767, 728. Спектр ЯМР 1Н (CDCl3), δ, м. д. (J, Гц): 2.67 c (6Н, Me), 8.08 д (4Н, Нo-Ar, J 2.5), 7.74 д (4Н, Нм-Ar, J 2.5). Спектральные данные хорошо согласуются с ранее приведенными данными [41].
Бис(4-ацетилфенил)сульфид (2д). Выход 46.5 г (86%), белый порошок, т. пл. 88°C (т. пл. 89–90°C [19, 23]). ИК спектр, ν, см–1: 1677 с (С=О), 1584 с, 1561 ср, 1486 сл, 1426 сл, 1397 с, 1353 с, 1305 сл, 1284 ср, 1181 с, 1110 ср, 1089 ср, 957 ср, 854 сл, 821 с, 757 ср, 715 сл. Спектр ЯМР 1Н (CDCl3), δ, м. д. (J, Гц): 2.61 c (6Н, Me), 7.92 д (4Н, Нo-Ar, J 2.5), 7.43 д (4Н, Нм-Ar, J 2.5).
Гидрирование жирноароматических дикетонов 2а, б, г в этаноле в присутствии никелевых и палладиевых катализаторов на различных носителях. а. Катализатор Ni/Cr2O3 (опыт № 6). Смесь 3.0 г Ni/Cr2O3 (паста в этаноле), 75 мл этанола и 10 г дикетона 2а нагревали (40–50°C) в автоклаве при перемешивании и давлении водорода 100–60 атм. После прекращения поглощения водорода (~2 ч) катализатор отделяли центрифугированием, этанол отгоняли при пониженном давлении, остаток перекристаллизовывали из толуола. Выход бис[4-(1-гидроксиэтил)фенилового]эфира 3а составил 5.1 г (50%).
б. Катализаторы Pd black, Pd/C, Pd/Al2O3 (опыты № 7–12). Гидрирование дикетона 2а проводили в этаноле в присутствии палладиевого катализатора при 15–35°C при атмосферном и повышенном давлении. Выделение диола проводили так, как описано в опыте № 6. Данные о скоростях и селективности процесса указаны в табл. 2.
в. Катализатор никель Ренея (опыт № 13). Смесь, состоящую из 10 г никеля Ренея, полученного из сплава Ni-Al (50:50) с размером частиц от 0.08 до 0.5 мм, 300 мл этанола и 60 г (0.24 моль) дикетона 2а перемешивали в автоклаве при 40°С при начальном и конечном давлении водорода 94 и 70 атм в течение 2.5 ч. После удаления катализатора, этанола и перекристаллизации осадка из толуола получали 46.9 г (77.0%) диола 3а, т. пл. 86°С.
Опыты № 14–16 проводили аналогично опыту № 6. Данные о скоростях и селективности процесса указаны в табл. 2.
Общая методика синтеза двувторичных ароматических диолов 3а–д каталитическим гидрированием дикетонов 2а–д в присутствии никеля Ренея. а. Смесь 0.5 моля дикетона 2а–д, 500 мл абс. этанола и 22.0 г влажной пасты никеля Ренея (MERCK-Schuchardt), содержащей примерно 88% Ni и 12% Al, помещали в автоклав и проводили гидрирование при перемешивании при начальном давлении водорода 25 атм и температуре 20–45°С в течение 3–4 ч. Контроль за полнотой гидрирования на завершающей стадии процесса (прекращение снижения давления, вызванного поглощением водорода) осуществляли по отсутствию в ИК спектрах полосы поглощения кетогруппы (1680 см–1). После удаления катализатора декантацией и центрофугированием реакционной смеси, фильтрации спиртового раствора и отгонки этанола получали продукт гидрирования, который перекристаллизовывали из толуола. Данные по выходам двувторичных ароматических диолов приведены в табл. 3.
б. К смеси 200 г (0.786 моль) дикетона 2а, 110 мл CHCl3, 53.0 мл (2.94 моль) Н2О и 22.5 мл ПЭГ400 при интенсивном перемешивании и охлаждении добавляли небольшими порциями в течение 1 ч 40 г (1.057 моль) NaBH4. Реакционную смесь перемешивали при комнатной температуре до прекращения выделения водорода (примерно 3 ч). Полноту восстановления дикетона определяли по отсутствию полосы поглощения карбонильной группы при 1680 см–1 в ИК спектрах продукта реакции. После завершения реакции к реакционной смеси прибавляли при перемешивании в течение 10–15 мин 100 мл хлороформа и небольшими порциями 150 мл 0.1 н. раствора соляной кислоты (для разрушения избытка NaBH4 и NaH2BO3). Затем раствор продукта в хлороформе отделяли от водного слоя и многократно промывали водой, водный слой экстрагировали 100 мл хлороформа. После удаления хлороформа из объединенных экстрактов и сушки осадка получали продукт, который перекристаллизовывали из толуола. Выход 3а 189.8 г (93.5%), белый порошок, т. пл. 85–85.5°С (толуол) (табл. 4, опыт № 8).
в. Масштабирование синтеза диола 3а (опыт № 17). Смесь 21.2 кг суспензии промотированного титаном никеля Ренея (содержащего 8.86% никеля (Ni), 0.57% титана (Ti), 90.57% этанола) с размером частиц 0.25 мм, 37.4 кг этанола и 14.92 кг (58.67 моль) дикетона 2а, нагревали при 40–45°C в автоклаве при перемешивании и давлении 20–25 атм до прекращения поглощения водорода (~5 ч). Далее перемешивание прекращали, реакционную смесь выдерживали при комнатной температуре в течение 0.5 ч для седиментации катализатора. Верхний слой, содержащий раствор диола, отделяли, фильтровали, этанол отгоняли под вакуумом при 30–50°С. Сырой продукт (14.0 кг) растворяли в 13.3 кг бензола и после фильтрования и перекристаллизации получали 12.4 кг (81.8%) диола 3а с т. пл. 83–86°С, содержащего 0.6±0.3% фенольных примесей (схема 3), которые определяли фотометрическим методом [42].
Методика освобождения диола 3а от фенольных примесей. 100 г диола 3а (т. пл. 83–86°C) смешивали при 25–35°C с 500 мл 2%-ного водно-спиртового (1:1 по объему) раствора NaOH. Полученный раствор приобретал темно-фиолетовый цвет вследствие образования фенолятов. После осаждения диола примерно 6-кратным количеством воды, его выделения посредством фильтрования, последующей промывки водой, 2%-ным раcтвором HCl, водой и сушкой при 50–60°C получали 92 г белого порошкообразного вещества с т. пл. ~91°C, который, по данным фотометрического анализа, содержал менее 0.1% фенольной примеси.
Бис[4-(1-гидроксиэтил)фенил]метан (3б). Выход 106.4 г (83%), т. пл. 84.5–86.5°C (гексан–толуол, 1:2) [17]. Найдено, %: C 80.20; Н 7.96. C17H20O2. Вычислено, %: C 79.70; Н 7.86. Содержание гидроксильных групп: найдено, %: 13.1; вычислено, %: 13.3.
Бис[4-(1-гидроксиэтил)фенил]этан (3в). Выход 106.4 г (83%), т. пл. 133–136°C (гексан–толуол, 1:2) [17].
Бис[4-(1-гидроксиэтил)фенил)сульфид (3д). Выход 107 г (78%), т. пл. 104–105°C. Найдено, %: C 70.10; Н 6.82. C16H18O2S. Вычислено, %: C 70.0; Н 6.61. Содержание гидроксильных групп, определенное методом ацетилирования: найдено, %: 12.1; вычислено, %: 12.4.
Бис[4-(1-гидроксиэтил)бифенил] (3г). Выход 105.4 г (87%), т. пл. 158.0–159.5°C (гексан–толуол, 1:2) [18]. ИК спектр, ν, см–1: 3550–3100, 3070, 3050, 3025, 2975, 2925, 2880, 1610, 1595, 1455, 1445, 1390, 1370, 1345, 1320, 1305, 1285. 1260, 1205, 1120, 1085, 1070, 1030, 1005, 945, 895, 845, 820, 790, 760, 730. Найдено, %: C 79.20; Н 7.40. C16H18O2. Вычислено, %: C 79.30; Н 7.50. Содержание гидроксильных групп, определенное методом ацетилирования: найдено, %: 13.3; вычислено, %: 14.0.
БЛАГОДАРНОСТЬ
Авторы выражают благодарность сотрудникам Лаборатории спектроскопии полимеров Института высокомолекулярных соединений РАН Власовой Е.Н. и Париловой Е.В. за проведение спектральных измерений.
ФИНАНСОВАЯ ПОДДЕРЖКА
Работа выполнена в рамках государственного задания Научно-исследовательского центра «Курчатовский институт» (проект № 124013000728-0).
КОНФЛИКТ ИНТЕРЕСОВ
Авторы заявляют об отсутствии конфликта интересов.
About the authors
B. А. Zaitsev
Institute of Macromolecular Compounds of the Russian Academy of Sciences
Author for correspondence.
Email: zaitsev@hq.macro.ru
ORCID iD: 0000-0003-2167-0313
Russian Federation, St. Petersburg, 199004
L. G. Kleptsova
Institute of Macromolecular Compounds of the Russian Academy of Sciences
Email: zaitsev@hq.macro.ru
ORCID iD: 0000-0003-4794-5469
Russian Federation, St. Petersburg, 199004
I. D. Shvabskaya
Institute of Macromolecular Compounds of the Russian Academy of Sciences
Email: zaitsev@hq.macro.ru
ORCID iD: 0000-0003-1927-2471
Russian Federation, St. Petersburg, 199004
References
- Ahuja K., Bayas S. Global Divinylbenzene Market Size. Global Market Insights Inc., 2024. https://www.gminsights.com/ru/industry-analysis/divinylbenzene-market
- Wu Y., Fei M., Qiu R., Lin W., Qiu J. // Polymers. 2019. Vol. 11. N 11. P. 1815. doi: 10.3390/polym11111815
- Иржак В.И., Межиковский С.М. // Усп. хим. 2009. Т. 78. № 2. С. 176; Irzhak V.I., Mezhikovskii S.M. // Russ. Chem. Rev. 2009. Vol. 78. N 2. P. 165. doi: 10.1070/RC2009v078n02ABEH003896
- Pascault J.P., Sautereau H., Verdu J. Thermosetting Polymers. CRC Press, 2002. 496 p.
- Chemistry and Properties of Crosslinked Polymers / Ed. S.S. Labana. Academic Press, 2012. 596 p.
- Королев Г.В., Могилевич М.М. Трехмерная радикальная полимеризация. СПб: Химиздат, 2006. 344 с.; Korolev G.V., Mogilevich M.M. Three-Dimensional Free-Radical Polymerization, Springer-Verlag, Berlin Heidelberg, 2009. doi: 10.1007/978-3-540-87567-3
- Sperling L.H., Hu R. Interpenetrating Polymer Networks. Dordrecht: Springer, 2003. doi: 10.1007/0-306-48244-4_6
- Canelas D.A., Abbey K.J., Fentress E. // J. Appl. Polym. Sci. 2002. Vol. 86. P. 821. doi: 10.1002/app.10976
- Zaitsev B.A. // High Perform. Polym. 2018. Vol. 30. N 2. P. 211. doi: 10.1177/0954008316688760
- Zaitsev B.A., Kleptova L.G., Shvabskaya I.D. // Int. J. Polym. Sci. 2019. Vol. 2019. Article ID 1601236. doi: 10.1155/2019/1601236
- Зайцев Б.А., Швабская И.Д. // ЖПХ. 2010. Т. 83. Вып. 7. С. 1164; Zaitsev B.A., Shvabskaya I.D. // Russ. J. Appl. Chem. 2010. Vol. 83. N 7. P. 1270. doi: 10.1134/S1070427210070190
- Zaitsev B.A., Shvabskaya I.D. // J. Polym. Res. 2015. Vol. 22. N 7. Article ID 127. doi: 10.1007/s10965-015-0762-y
- Zaitsev B.A., Kleptsova L.G., Shvabskaya I.D. // Polym. Eng. Sci. 2023. Vol. 63. N 7. P. 1874. doi 10.1002/ pen.26378
- Зайцев Б.А. // Механика композит. матер. 1983. № 6. С. 973.
- Зайцев Б.А., Данциг Л.Л., Храмова Г.И., Штрайхман Г.А. // ЖПХ. 1977. Т. 50. Вып. 2. С. 411; Zaitsev B.A., Dantsig L.L., Khramova G.I., Shtraikhman G.A. // J. Appl. Chem. USSR. 1977. Vol. 50. N 2. P. 389.
- Зайцев Б.А., Храмова Г.И., Цыганкова Т.С. // ЖПХ. 2003. Т. 76. Вып. 4. С. 658; Zaitsev B.A., Khramova G.I., Tsygankova T.S. // Russ. J. Appl. Chem. 2003. Vol. 76. N 4. P. 634. doi: 10.1023/A:1025759808918
- Зайцев Б.А., Швабская И.Д. // ЖПХ. 2011. Т. 84. Вып. 7. С. 1691; Zaitsev B.A., Shvabskaya I.D. // Russ. J. Appl. Chem. 2011. Vol. 84. N 7. P. 1783. doi: 10.1134/S1070427211100181
- Зайцев Б.А., Храмова Г.И., Швабская И.Д. // ЖПХ. 2007. Т. 80. Вып. 5. С. 804; Zaitsev B.A., Khramova G.I., Shvabskaya I.D. // Russ. J. Appl. Chem. 2007. Vol. 80. N 7. P. 783. doi: 10.1134/S1070427207050187
- Зайцев Б.А. Автореф. дис. … докт. хим. наук. Л., 1983. 48 с.
- Gore P.H. Friedel-Crafts and Related Reactions. New York; London; Sydney: Interscience Publ., 1964. Vol. 3. Pt 1. P. 1.
- Волгахимпласт 2008–2024 (Портал о нефтехимической отрасли). https://www.volgahimplast.ru/info/glossary/hydrogenation/
- Беллами Л. Инфракрасные спектры сложных молекул. М.: ИЛ, 1963. 590 c.
- Wiley R.H., Mayberry G.L. // J. Polym. Sci. (A). 1963. Vol. 1. P. 217. doi: 10.1002/pol.1963.100010117
- Аникеев В.И., Сивцев В.П., Волчо К.П., Салахутдинов Н.Ф. Pat. RU 2487860 (2013) // Б. И. 2013. № 20.
- Навалихина М.Д., Крылов О.В. // Усп. хим. 1998. Т. 67. № 7. С. 656; Navalikhina M.D., Krylov O.V. // Russ. Chem. Rev. 1998, Vol. 67 N 7. P. 587. doi: 10.1070/RC1998v067n07ABEH000413
- Pat. US 4996374 (1991) // C. A. 1991. Vol. 114 P. 228536n.
- Hamar-Thibault S., Masson J., Fouilloux P., Court J. // Appl. Catal. (A). 1993. Vol. 99. N 2. P. 131. doi: 10.1016/0926-860X(93)80095-8
- Закумбаева Г.Д., Урумбаева Ш.У., Дауткулов А.Б. // ЖПХ. 1992. Т.65. Вып. 6. С. 1349.
- Masson J., Vidal S., Cividino P., Fouilloux P., Court J. // Appl. Catal. (A). 1993. Vol. 99. N 2. P. 147. doi: 10.1016/0926-860X(93)80095-8
- Trasarti A.F., Bertero N.M., Apesteguia C.R., Marchi A.J. // Appl. Catal. (A). 2014. Vol. 475. P. 282. doi 10.1016/ j.apcata.2014.01.038
- Fujita S.I., Onodera Y., Yoshida H., Arai M. // Green Chem. 2016. Vol. 18. P. 4934. doi: 10.1039/C6GC00583G
- Cao Y.Q., Dai Z., Chen B.H., Liu R. // J. Chem. Technol. Biotechnol. 2005. Vol. 80. P. 834. doi: 10.1002/jctb.1297
- Калимуллина Л.Я., Петухова Н.И., Зорин В.В. // Башкир. хим. ж. 2008. Т. 15. № 1. С. 8.
- Виканова К.В., Редина Е.А., Капустин Г.И., Давшан Н.А., Кустов Л.М. // ЖФХ. 2019. Т. 93. № 2. С. 208; Vikanova K.V., Redina E.A., Kapustin G.I., Davshan N.A., Kustov L.M. // Chem. Kinetics Catal. 2019. Vol. 93 N 2. P. 231. doi: 10.1134/S004445371901031X
- Нурланова Д.Н., Кедельбаев Б.Ш., Дауылбай А.Д. // Междунар. ж. прикл. и фундамент. исслед. 2015. № 2-2. С. 256.
- Кучинская Т.С., Мамян Л.Г. Князева М.И. // Наногетероген. катал. 2021. Т 6. № 2. С. 107.
- Ситмуратов Т.С, Петухова Л.А., Петухов А.А. // Бутлеровск. сообщ. 2019. Т. 60. № 12. С. 104.
- Ege S.N. Organic Chemistry. Boston: DC Heath and CoLexington, 1994. P. 510.
- Tanaka K., Toda F. // Chem. Rev. 2000. Vol. 100. P. 1025. doi: 10.1021/cr940089p
- Cao Y.Q., Dai Z., Chen B.H., Liu R. // J. Chem. Technol. Biotechnol. 2005. Vol. 80. P. 834. doi 10.1002/ jctb.1297
- ChemicalBook. https://m.chemicalbook.com/CASEN_787- 69-9.htm#top
- Коренман И.М. Фотометрический анализ. Методы определения органических соединений. М.: Химия, 1975. 360 с.
Supplementary files





























