Modern Approaches to the Synthesis of Pyrazoles (A Review)
- Authors: Baeva L.A.1, Gataullin R.R.1
-
Affiliations:
- Ufa Institute of Chemistry of the Russian Academy of Sciences
- Issue: Vol 94, No 1 (2024)
- Pages: 29-55
- Section: Articles
- URL: https://bakhtiniada.ru/0044-460X/article/view/258222
- DOI: https://doi.org/10.31857/S0044460X24010034
- EDN: https://elibrary.ru/HLTEGJ
- ID: 258222
Cite item
Full Text
Abstract
The article analyzes publications that present the results of studies of modern approaches to the synthesis of new and known heterocycles with a pyrazole fragment, as well as syntheses aimed at expanding the library of compounds of this series from hydrazines, hydrazides, semi- or thiosemicarbazides, diazo compounds, hydrazonyl chlorides. Some examples are shown that use approaches to the synthesis of pyrazoles through multicomponent reactions involving amines and hydroxamic acid or an amine and enaminoketone. References are provided to publications that reflect the results of studies of the biological activity of these heterocycles, the use of certain metals as selective extractants, the possibility of obtaining metal complexes with their participation, as well as some photochemical transformations.
Full Text
ВВЕДЕНИЕ
Интерес к пиразолам обусловлен многими причинами, среди которых наличие широкого набора полезных возможностей, которые могут быть применены в органическом синтезе [1–7] как за счет использования свободной NH-группы пиразола в реакции присоединения [8, 9] или участия этого фрагмента в качестве нуклеофила в реакции замещения [10, 11], так и реализации синтетического потенциала углерод-водородной связи [12–14] гетероцикла. В этих превращениях, наряду с изучением чисто теоретических аспектов синтеза гетероциклов, решаются и прикладные задачи, направленные на выявление потенциала применения соединений с таким остовом в медицинской [15–18], координационной [19] и других областях химии. Пиразольный фрагмент является структурным элементом некоторых природных соединений [20], встречается в составе медицинских препаратов [21]. Также надо упомянуть внушительный список представителей этого ряда гетероциклов, обладающих широким спектром биологической активности [22–31]. В обзорных статьях [32–35] проанализирован большой набор замещенных пиразолов, проявляющих антибактериальную и другие виды активности. Гетероциклические соединения, в структуре которых представлен пиразольный фрагмент, перспективны для терапии опухолевых болезней [36–39], проявляют селективную антилейкемическую [40], нематоцидную [41], антидиабетическую [42], фунгицидную [43, 44], противотуберкулезную [45] активность или целенаправленно получены для выявления этих видов активности [46]. Некоторые производные пиразолов представляют интерес как исходные гетероциклы для получения биологически активных веществ [47–49]. Например, с целью изучения степени ингибирования фермента циклооксигеназы, которая катализирует деградацию арахидоновой кислоты до простагландинов, запускающих воспалительные процессы в организме человека, на основе производных пиразола синтезированы соединения, показатели которых сравнимы с используемыми в медицинской практике лекарственными препаратами [50].
Замещенные пиразолы могут найти применение и в технических областях, где востребованы достижения химии азотсодержащих гетероциклических соединений. В частности, с их участием получены комплексы со смешаными лигандами, перспективные для использования в реакциях, где требуются гомогенные катализаторы [51]. Потенциал гетероциклов пиразольного ряда позволяет использовать эти соединения при получении и других металлокомплексов [52–55]. Обнадеживают исследования этих субстратов и для применения в аналитической химии. Есть представители, проявившие себя как селективные хемосенсоры для определения ионов двухвалентной ртути [56] или меди [57], катионов алюминия и трехвалентного железа [58]. Производные пиразолов исследованы также в качестве селективных экстрагентов палладия (II) [59], перхлоратов цинка и свинца [60], как (D–A)-хромофоры (донорно-акцепторного типа) [61]. На основе замещенных пиразолов получены ионные жидкости [62], которые эффективны в качестве катализаторов в синтезе некоторых гетероциклических систем.
Синтезированы также сополимеры с пиразольными фрагментами, показавшие высокую эффективность при извлечении α-аминокислот (гистидина, треонина и триптофана) из водных сред [63], сополимеры, обладающие парамагнитными свойствами [64]. Некоторые 3,5-динитро-5-(диметиламино) пиразолы исследованы в качестве перспективных расплавобразующих взрывчатых веществ [65]. В подавляющем большинстве случаев при построении остова пиразола готовым источником фрагмента азот–азот служат гидразины, гидразиды, семи- или тиосемикарбазиды, диазосоединения, гидразонилхлориды. Редкими примерами представлены подходы, в которых цепочка азот–азот в пиразольном ядре формируется в многокомпонентных реакциях с участием амина и гидроксамовой кислоты или амина и енаминокетона.
ИСПОЛЬЗОВАНИЕ N–N-СОДЕРЖАЩИХ СОЕДИНЕНИЙ В СИНТЕЗЕ ПИРАЗОЛОВ
К таким источникам, в которых имеется готовый N–N-фрагмент, относятся диазосоединения [66, 67], гидразины [68], гидразиды [69], семи- и тиосемикарбазиды, гидразоны, гидразонилхлориды [70].
2.1. Синтезы пиразолов циклоприсоединением диазосоединений к диполярофилам. Диазосоединения широко использовали в катализируемых металлокомплексами реакциях [3+2]-циклоприсоединения, их применяют в настоящие время и при получении соединений с биологически значимыми показателями [71]. С участием диазосоединений синтезированы производные пиразола, проявляющие антибактериальную активность [72]. Чаще всего в синтезе пиразолов применение находят реакции циклоприсоединения диазосоединений к различным диполярофилам [73, 74]. Исчерпывающие исторические сведения и примеры недавних некаталитических синтезов [75] цианзамещенных пиразолов 1 при циклоприсоединении диазоацетонитрила к алкинам 2 (схема 1) приведены в обзорной статье [76].
Схема 1
Тем не менее, работы в этом направлении продолжаются и для получения производных пиразола часто используются реакции ацетиленов с диазоацетатами [77]. Недостатками диазосоединений является их токсичность и взрывоопасность. Предложен также безопасный подход к синтезу этил-5-ацетил-1H-пиразол-3-карбоксилата, промежуточного продукта для получения потенциального лекарственного вещества даролутамида. В методе используется гидрохлорид этилглицината 3 в качестве исходного материала, из которого на ключевом этапе in situ генерируется промежуточный токсичный этилдиазоацетат 4. К этому раствору по каплям добавляли этинилметилкетон 5 с последующим выдерживанием реакционной смеси при 50°С в течение 1 ч. В масштабированном варианте синтеза пиразола 6 последний авторами получен с чистотой 83%, по данным ВЭЖХ (схема 2). Щелочным гидролизом сложного эфира 6 получали 5-ацетил-1Н-пиразол-3-карбоновую кислоту, которую можно использовать в качестве промежуточного соединения в синтезе даролутамида, а также как ценный синтон для других типов превращений в органической или медицинской химии [78, 79].
Схема 2
При выдерживании в закрытом сосуде при 20°С без доступа света в течение 1–2 недель смеси 9-диазофлуорена 7 и метилового эфира 2-бутинкарбоновой кислоты 8 в диэтиловом эфире образуется циклоаддукт 9. Состав реакционной смеси зависит от природы β-заместителя в пропаргиловом фрагменте. В частности, аналогичное циклоприсоединение интермедиата, генерируемого из диазофлуорена 7, к метил-3-фенилпропиолату 10 характеризуется умеренной региоселективностью. В этом случае наряду с аддуктом 11 образуется и региоизомер 12. Отмечается, что соотношение этих изомеров в ходе реакции меняется. По данным ЯМР 1Н, на первой стадии соотношение составляет 2:1 и к концу реакции достигает 6:1 [80]. Показано, что 4,5-дикарбоксилзамещенные аналоги (группа CO2Me вместо Me или Ph) спиросочлененных флуоренпиразолов 9–12 при непродолжительном (1–3 ч) нагревании в этаноле или бензоле подвергаются изомеризации с потерей спироуглеродного центра (схема 3) [81].
Схема 3
В обзорной статье [82], посвященной применению нитролефинов при получении гетероциклов, также упоминаются недавние варианты синтеза пиразолов 13 реакцией диазоацетонитрила с алкил-3-нитроакрилатами 14 в присутствии Cs2CO3 [83] или катализируемое диоксидом серебра [3+2]-циклоприсоединение перфторалкилдиазометанов с этим же диполярофилом 14 в присутствии Na3PO4 [84]. В последнем случае авторы исследования, наряду с использованием готового, также применяли метод in situ генерирования диазосоединений и обнаружили в некоторых реакциях существенное (до 3.7 раз) снижение выхода пиразолов 13. Например, при R1 = 3-Py, R2 = CF3 при in situ генерировании диазосоединения выход пиразола 13 составил 20%, тогда как при использовании готового F3CN2 – 74% (схема 4).
Схема 4
При нагревании халконов 15 и диазоэфиров 16 в присутствии карбонатов щелочных металлов или аминов образуются пиразолы 17. В процессе оптимизации условий реакции наиболее эффективным основанием признан тетраметилэтилендиамин. При использовании в этой реакции диазоалкилового эфира фенола 16 (R3 = Ph) отмечается существенное (до 37%), а в случае халкона 15 (R1 = Ph, R2 = Me) до 52% снижение выхода продукта реакции (схема 5). В остальных реакциях этот показатель колеблется в пределах 60–89% [85].
Схема 5
Взаимодействие фторалкилзамещенных дивинилсульфонов 18 с диазометаном при комнатной температуре приводит к региоизомерным дипиразолилсульфонам 19 и 20 в различных соотношениях (схема 6). В случае дифторметилзамещенного дивинилсульфона (R = CHF2) общий выход пиразолов не превышает 23% (17% для пиразола 20 и 6% для региоизомера 19). В остальных двух реакциях [3+2]-циклоприсоединения общий выход этих гетероциклов достигает 73–75% [86].
Схема 6
Конденсация различных арилметилкетонов 21 с диазосоединениями 22 катализируется трифлатом скандия (1 мол%) в присутствии DBU (3 экв.) и в мягких условиях приводит к ди-, пента- или гептафторалкилзамещенным пиразолам 23 (схема 7). Выход продуктов конденсации не зависит от количества атомов фтора в алкильном заместителе. Также не наблюдается зависимость выхода продуктов конденсации от природы заместителей при арильном фрагменте [87].
Схема 7
2.2. Гидразины и гидразиды как источник N−N-цепи пиразолов. Этот подход показал свою эффективность ранее и в настоящее время также широко используется при получении пиразолов [88, 89].
2.2.1. Образование пиразолов в реакции гидразинов с 1,3-дикарбонильными соединениями, их производными или динитрилом малоновой кислоты. Исследованы реакции гидразинов с ацетоуксусным эфиром [90, 91], арилгидразонами [92, 93] и другими производными [94–96] ацетоуксусного эфира. Эффективны также последующие трансформации продуктов конденсации гидразинов с кетонами [97, 98], 1,3-дикетонами [99–101], катализируемые солями ванадия многокомпонентные конденсациии динитрила малоновой кислоты в присутствии или без карбонильных соединений [102]. Исследования проводились с целью получения различных производных пиразола с антимикробной [103], ноотропной и анксиолитической активностью. Продукты конденсации 1,3-дикетонов с гидразином нашли применение также при получении новых комплексов галогенидов палладия с пиразольными лигандами [51].
Электрохимическая конденсация гидразинов 24, дикетонов 25 и NH4SCN с использованием графитового анода и платинового катода приводит к 4-тиоциано-1H-пиразола 26 (схема 8). При применении пиразинилгидразина в этой реакции выход пиразола 26 снижается до 48%. Умеренный выход (63%) пиразола 26 (R1 = R3 = Ph, R2 = Me) зафиксирован также в электрохимической реакции с использованием фенилгидразина и 1-фенил-1,3-бутандиона. Выходы продуктов реакции в остальных случаях были на уровне 78–94% [104].
Схема 8
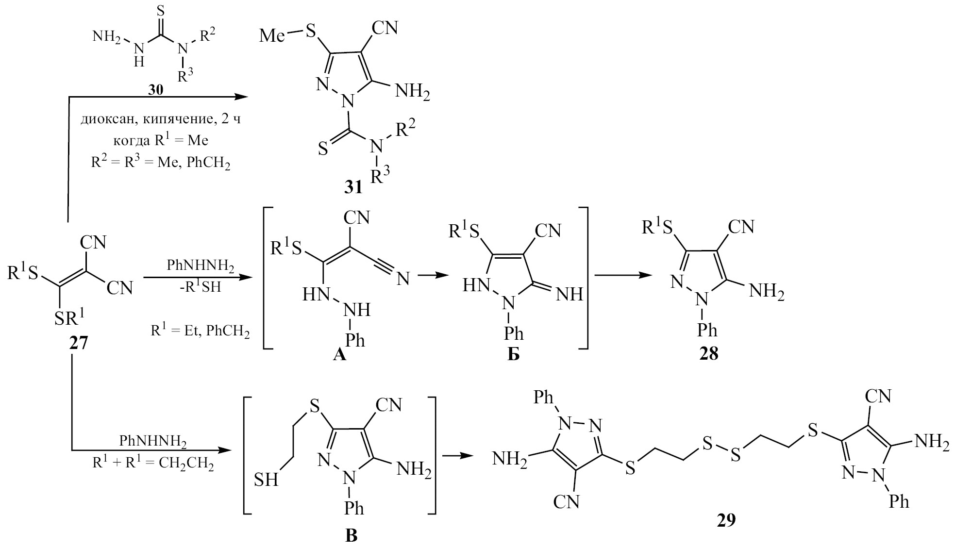
Дитиометилиденмалононитрилы 27 реагируют с фенилгидразином в этаноле с образованием 3-алкилсульфанилпиразолов 28 с выходами 74–82% (схема 9). Реакция проходит в течение 4–5 ч через стадии замещения одной из сульфанильных групп на гидразиновую и трансформацией промежуточного соединения А в Б. В результате последующего 1,4-гидридного сдвига имин Б изомеризуется в пиразол 28. В реакции дитиоланилиденмалононитрила 27 (R + R = CH2CH2) с фенилгидразином PhNHNH2 в аналогичных условиях был выделен пиразол 29 (87%) [105]. В этом случае реакция, вероятно, включает промежуточное образование пиразола В со свободной SH-группой при этильном фрагменте, который склонен к окислению с образованием дисульфидов. С целью изучения антибактериальной активности по отношению к золотистому стафилококку (ATCC9027), Escherichia coli (ATCC6538) и Candia albicans (ATCC10231) реакцией дисульфидов 27 с гидразинкарбодитиоатами (R1 = SMe, SBn) и карбодитиогидразидами {R1 = NMe2, SBn2, N-(4-метилморфолинил)2, N-[1-(4-MePh)-4-пиперазинил]2} 30 синтезированы пиразолы 31 [106]. Некоторые из полученных соединений проявили антимикробную активность, сравнимую с активностью ципрофлоксацина.
Схема 9
Реакции конденсации гидразинов с тиоалкилзамещенными цианорганическими соединениями, приводящие к пиразолам, использовали при получении предшественников биологически активных гетероциклов. В получаемом конденсацией соединения 32 с гидразином пиразоле 33 (схема 10) [107] имеется первичная аминогруппа, что позволяет использовать этот гетероцикл в синтезе многочисленных оснований Шиффа, проявляющих антимикробную активность [108]. Такие соединения могут найти применение также при получении пиразоло[1,5-a]пиримидинов [109], других конденсированных гетероциклов [110] или соединений медицинского назначения [111].
Схема 10
Мультикомпонентные реакции конденсации [112, 113], в том числе 1,3-дикарбонильных соединений, альдегидов (или кетонов) и гидразинов, эффективны при получении широкого набора производных пиразола, обладающих противомикробной активностью [114]. При конденсации по Кнёвенагелю малононитрила и альдегидов 34 первоначально образуются бензилиденмалононитрилы 35 (схема 11). Последующее их взаимодействие с гидразином приводит к 5-арил-3-аминопиразол-4-карбонитрилам 36 как при микроволновом, так и обычном нагревании этой трехкомпонентной реакционной смеси. Микроволновое облучение реакционной смеси в триэтиламине эффективнее (82–90%, 2–4 мин) конвекционного нагревания в этаноле в присутствии триэтиламина (25–55%, 3–4 ч). Аналогичные превращения с участием циклогексанона вместо бензальдегидов приводит к спироциклическим соединениям 37. В этом случае применение микроволнового облучения также оказалось эффективнее обычного нагревания [115]. Применение в такой же многокомпонентной реакции малононитрила, арилальдегидов 34, фенилгидразина и в качестве катализатора ионной жидкости [HMIM]C(NO2)3 (тринитрометанид 1-метилимидазолия, 0.5 мол%) в отсутствие растворителя позволяет повысить выход пиразолов 36 до 91–97%. В этом случае конденсация проходит (10 мин) при комнатной температуре [116].
Схема 11
Пиразолы могут образоваться также в некоторых реакциях оксагетероциклов (пиранов [117], фуранов, тетрагидрофуранов) с гидразинами или гидразидами. Структура пиразолов 38 и 39, образующихся в реакции енаминона 40 с гидразинами, зависит от природы заместителя R гидразина. При взаимодействии енаминдикетона 40 с гидразином образуется смесь пиразолов 38 и 39 (схема 12). В случаях, когда в реакцию вводятся арил-(R = Ph, 4-BrC6H4, 4-CF3OC6H4) или трет-бутил- или сульфолангидразин, то образуются гетероциклы 39. В случаях, когда R = Alk или 4-MeOC6H4, получены региоизомеры 38. Эта некаталитическая реакция проходит при кипячении в этаноле. В случае использования гидрохлоридов гидразинов авторы добавляли триэтиламин [118].
Схема 12
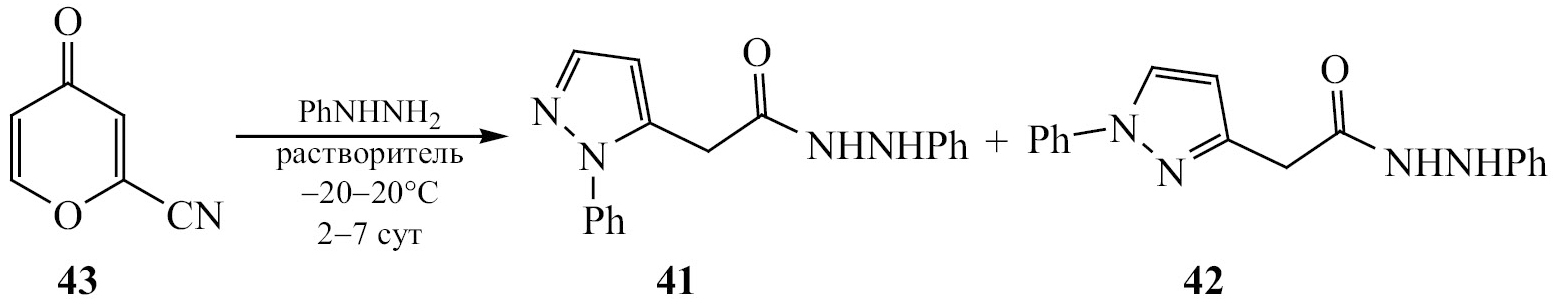
Соотношение региоизомерных пиразолов 41 и 42, образующихся в аналогичной реакции пиран-2-карбонитрила 43 с фенилгидразином зависит от природы растворителя и температуры реакции. Если в реакции конденсации при –20°С в метаноле гетероциклы 41 и 42 образуются в равных соотношениях, то при комнатной температуре преобладает соединение 41 (41:42 = 67:33). В этаноле при комнатной температуре эти гетероциклы образуются также в равных соотношениях, а в толуоле при этой же температуре значительно преобладает изомер 42 (41:42 = 15:85). Выходы продуктов реакции колеблются в пределах 57–90% (схема 13) [119].
Схема 13
В реакции конденсации фурандионов 44 и гидразида салициловой кислоты 45 обнаружено влияние даже незначительного изменения температуры на степень насыщенности пиразола и локализацию салицилового фрагмента в пиразольном кольце. Проведение конденсации при температуре –5°С способствует образованию дигидропиразола 46, тогда как при повышении температуры до комнатной получены дидегидроаналоги 47. Последние являются продуктами тандемных процессов элиминирования воды и миграции остатка салициловой кислоты в первоначально образовавшемся соединении 46 (схема 14) [120].
Схема 14
Удачное использование реакции конденсации производного фурана 48 с гидразинами 49 при построении пиразольного цикла описано в работе [121]. Относительно низкий выход (72%) пиразолов 50a наблюдается при использовании в этой реакции метилгидразина. В остальных случаях пиразолы 50a (R1 = CH2CH2OH, R2 = H) получены с выходами 87–95% (схема 15). Региоизомер 50б (R1 = H, R2 = CH2CH2OH) авторами данного исследования получен взаимодействием продукта литиирования пиразола 51 с окисью этилена в мягких условиях.
Схема 15
В реакции конденсации гидразинов 52 с 1,3-дикетонами 53 эффективным катализатором оказалась тетрафторборная кислота. Выходы пиразолов 54 в этих синтезах достаточно высокие, незначительное снижение (до 76%) продуктивности отмечается при конденсации гидразина 52 (R1 = 4-NO2) и дикетона 53 (R2 = Cl, схема 16). Подход успешно можно использовать и для конденсации дикетонов с гидразидом фурилкарбоновой кислоты (74–88%), пиридил- (81%), нафтилгидразином (90%). При конденсации гидразина 52 (R1 = 4-CF3) с ацетоуксусным эфиром выход пиразола составил 70%. Ограничением этого подхода является то, что в этой реакции не удалось получить продукт конденсации 1,3-циклогександиона и 4-метоксифенилгидразина [122].
Схема 16
2.2.2. Образование пиразолов в реакции α,β-ненасыщенных кетонов с гидразинами и гидразидами. Эти подходы, наряду с решением задач выявления реакционной способности и структурных особенностей продуктов взаимодействия, используются также и при получении производных пиразола с целью исследования их противовоспалительной [123], анальгетической [124, 125], противораковой [126, 127] активности. В этих синтезах используются также енольные формы 1,3-дикетокарбонильных соединений. В ряде случаев суммарная атомная масса заместителей при этих дикетонах значительно превышает молекулярный вес оненольного фрагмента [128].
Некоторые реакции проводятся с гидрохлоридом замещенного гидразина в спирте в присутствии карбоновых кислот. Дигидропиразолы 54, получаемые конденсацией кетонов 55 с гидрохлоридами гидразинов в смеси метанола и ледяной уксусной кислоты, при последующем окислении трет-бутилгидропероксидом (TBHP) в присутствии ацетата меди образуют пиразолы 56 [129]. Выходы продуктов реакции окисления зависят от природы заместителя R2. В тех случаях, когда заместитель R2 является производным пиридина или хинолина, пиразолы 56 получены с выходами 27–77%. Есть примеры применения молекулярного иода как окислителя дигидропиразола, образующегося при конденсации α,β-ненасыщенного кетокарбонильного соединения с гидразинами, в пиразол [130]. Известен один пример образования 3,5-дифенилпиразола при конденсации дифенилпропенона с гидразингидратом в присутствии серы S8 [131].
Схема 17
Нагреванием смеси ненасыщенных кетонов 57 и гидразинов 58 (1.5 экв.) в присутствии NaI и ди-трет-бутилпероксида (DTBP) (6 экв.) в смеси t-BuOH−EtOH (1:1) с последующим добавлением 2 экв. DTBP через 16 ч получены пиразолы 59 (схема 18) [132].
Схема 18
С целью получения и дальнейшего изучения спектров абсорбции и эмиссии, реакцией кетона 60 с арилгидразинами 61 с последующей обработкой продуктов конденсации молекулярным иодом синтезированы пиразолы 62 (схема 19). При проведении реакции в этаноле выход динитропроизводного 62 оказался значительно ниже (18%), чем при нагревании в уксусной кислоте (70%). В то же время, реакция в этаноле позволяет синтезировать другие арилзамещенные пиразолы 62 с выходами 71–74%, тогда как при проведении реакции конденсации/циклизации в уксусной кислоте выходы этих гетероциклов не превышают 11–22% [133].
Схема 19
Арилгидразоны 63, образующиеся в кислотно-катализируемой конденсации гидразинов 64 с ненасыщенными кетонами 65, при нагревании с ацетатом палладия (5 мол%) в присутствии натриевой соли 9,10-антрахинон-2-сульфокислоты (AMS) и карбоната калия превращаются в пиразолы 66 – продукты окислительной циклизации (схема 20). За исключением реакции, где используется арилгидразон 63 (Ar1 = Ar2 = 3,4,5-MeOC6H2, 62%), выходы продуктов циклизации достигают 83–91% [134].
Схема 20
Описаны несколько реакций 4-алкокси- или 4-арилокси-3-енонов с гидразином, в которых происходит замещение алкокси- или арилоксигруппы при sp2-гибридизованном углеродном атоме на атом азота, приводящие к пиразолам. Нагреванием производных хроменона 67 с гидразингидратом в этаноле получены 3,4-диарилзамещенные пиразолы 68 с хорошими выходами (схема 21). Некоторые из синтезированных новых пиразолов 68 оказались сильнодействующими ингибиторами размножения золотистого стафилококка Ньюмана, минимальная ингибирующая концентрация которых ниже 1 мкг/мл [135].
Схема 21
Однореакторная циклоконденсация 4-метоксипроизводного трихлоргексенона 69 с гидрохлоридом гидразина в спиртах ROH при обычном или микроволновом нагреве приводит к пиразолам 70 (схема 22). Выходы сравнимы в обоих методах, но при микроволновом нагреве реакция протекает быстрее. Некоторые из полученных гетероциклов проявляют антиоксидантную активность, сравнимую с активностью аскорбиновой кислоты. При увеличении длины цепи алкильной группы сложноэфирного фрагмента антиоксидантный потенциал молекулярной системы снижается [136]. Необходимо отметить, что и другие пиразолсодержащие соединения достаточно часто проявляют хорошую антиоксидантную активность [137].
Схема 22
В рамках исследования, проведенного с целью выявления активности по отношению к грамположительным бактериям, аналогичным взаимодействием кетоеноловых эфиров 71 с арилгидразинами 72 синтезированы дигидропиразолы 73 (схема 23). Выдерживание гетероцикла 73 в дихлорметане в присутствии трифторуксусной кислоты способствует дегидратации в пиразол, который служит исходным субстратом для получения антибактериальных соединений (12 примеров) [138].
Схема 23
При взаимодействии 2,2-дихлорвинилкетонов 74 с гидроксиэтилгидразином 75 образуются 3-замещенные пиразолы 76 (схема 24). Выходы продуктов этой реакции во всех случаях хорошие (74–91%). Выход пиразола (96%), близкий к количественому, наблюдается в циклоконденсации нитрофенилзамещенного винилкетона 74 с гидразином 75. Имеются неплохие прикладные аспекты гетероциклов 76, которые в дальнейшем превращали в N-винилпиразолы и 3-алкенилпиразолы, как перспективные блоки в органическом синтезе или в качестве мономеров при получении полимерных материалов [139].
Схема 24
ПОДХОДЫ К СИНТЕЗУ ПИРАЗОЛОВ С ИСПОЛЬЗОВАНИЕМ ТРЕХКОМПОНЕНТНЫХ РЕАКЦИЙ
3.1. Реакции с участием аминов и 1,3-дикарбонильных соединений. При получении пиразолов эффективно используются подходы с использованием многокомпонентных реакций [140]. Предложен метод получения N-алкил- или N-арилпиразолов из первичных алифатических или ароматических аминов без применения неорганических реагентов за короткое время и в мягких условиях. Трехкомпонентной реакцией алифатических или ароматических аминов 77, 1,3-дикарбонильных соединений 78 и нитрогидроксамовой кислоты 79 получен ряд N-замещенных пиразолов 80 (схема 25). С производными анилина или 2-нафтиламина продукты реакции получены с выходами 47–70%, тогда как в случае алифатических аминов этот показатель существенно ниже и не превышает 20–45%. У этого подхода есть некоторые ограничения. При использовании в качестве амина 4-аминофенола (R = 4-HOC6H4) или при введении в реакцию с алифатическими аминами ди-трет-бутил-(R1 = R3 = Me3C) и дитрифторметилзамещенных (R1 = R3 = СF3) 1,3-дикетонов пиразолы не образуются [141].
Схема 25
Пиразолы 81, обремененные 3-трифторметил-4-трифторацетильными группами, получены при нагревании сиднонов 82 (2 экв.) с 1,3-дикетоном 78 в присутствии дииодида цинка (15 мол%) и 2,2′-дипиридила (bpy, 30 мол%). Высокие выходы (79–98%) зафиксированы в случаях, когда в конденсации используются сидноны, у которых в пара-положении ароматического фрагмента присутствует метильная, изопропильная, трет-бутильная группы, атом фтора в орто-положении или N-бензилсиднон (схема 26). В большинстве примеров, когда при ароматическом фрагменте содержатся заместители с (–I)-эффектом, выходы не превышают 37–67%. При этом не наблюдается какой-либо корреляции выхода продукта реакции от природы заместителя в ароматическом фрагменте сиднона. В тех случаях, когда в реакции конденсации используются метиловый или этиловый эфир трифторацетоуксусной кислоты, выходы пиразолов оказались низкими (17–23%) [142].
Схема 26
Предложен новый метод, позволяющий синтезировать 1,3,4-тризамещенные пиразолы 83 из α-(1,3-дитиан-2-ил) енаминкетонов 84, получаемых из дикетонов 85, и первичных аминов, реакция катализируется дибромидом меди (схема 27) [143]. Этот подход [4+1]-циклоконденсации с образованием N-арил-, N-бензил- и N-алкилпиразолов представляет собой альтернативу традиционным методам [3+2]-циклизации. В случае использования пропиламина (R3 = Pr, 42%), бензиламина (R3 = Bn, 59%) или когда при кетогруппе енамина 84 находится ароматический или гетероароматический заместитель (R1 = Ph, 47–56%; R3 = 2-тиофенил, 58%) наблюдается снижение выхода пиразолов 83. В других случаях пиразолы 83 получены с выходами 64–96%.
Схема 27
Предложен также катализируемый серебром подход к синтезу 5-арил-3-трифторметилпиразолов 86 исходя из легкодоступных N-тозилгидразидов 87 и этил-4,4,4-трифтор-3-оксобутаноата 88 (схема 28). В последовательных реакциях нуклеофильного присоединения, внутримолекулярной циклизации, отщепления и [1, 5]-гидридного сдвига образуются пиразолы 86. В обзорной статье [144], посвященной анализу решения проблем получения фторзамещенных производных пиразола, автор ограничился обсуждением механизма этого превращения. Возможности влияния различных заместителей на продуктивность этих реакций остались за пределами внимания. В работе [145] также обнаружено, что присутствие электроноакцепторных групп при атоме С4 ароматического фрагмента, таких как цианогруппа (R1 = 4-NC) существенно (21%), атома фтора (R1 = 4-F) несколько (73%) снижает выход продукта циклизации 86. В случае других заместителей R1 соединения 86 получены с выходами 88–98%. Использование N-арил- или N-(арил) этенилзамещенных тозилгидразидов 89 в этой реакции весьма эффективно для получения пиразолов 90 в случаях, когда R2 = 2-фурил, N-метил-3-индолил, PhCH=CH2 (82–90%). Выходы гетероциклов 90 с другими заместителями R2 не превышают 30–62%.
Схема 28
3.2. Синтез пиразолов из ацетиленов, кетонов и производных гидразина. При получении замещенных пиразолов часто используются подходы с применением в качестве одной из компоненты реакции семи- и тиосемикарбазидов. Однореакторная трехкомпонентная конденсация ацетофенонов 91 с фенилацетиленом 92 и тиосемикарбазидом 93 завершается образованием 4,5-дигидропиразол-1-карботиоамидов 94 с удовлетворительными выходами (схема 29) [146].
Схема 29
Образующиеся в этих реакциях продукты интересны также тем, что карботиоамидная группа полученных соединений несет потенциал для наращивания на ней серосодержащего гетероцикла. Использование тиосемикарбазида 93 в трехкомпонентной реакции конденсации эфиров ацетилендикарбоновой кислоты 95 и ненасыщенных кетонов 96 при нагревании в присутствии ионной жидкости [Bmim]OH приводит к полигетероциклам 97 с выходами 87–92% (схема 30). Соединения синтезированы с целью изучения их противоопухолевой активности [147].
Схема 30
Сродство гидразинового фрагмента к кетогруппе и ацетиленовому звену в синтезах с использованием эфиров производных пропаргиловой кислоты настолько высоко, что в таких превращениях другие реакционноспособные центры не затрагиваются [148]. В поисковых исследованиях способа получения пиразолов с заложенным синтетическим и фармакологическим потенциалом синтезированы гетероциклы 98, 99 и 100. Трехкомпонентная реакция циклогексилизоцианида 101, диалкиловых эфиров ацетилендикарбоновой кислоты 102, симметричных и несимметричных 1,2-дисульфонилгидразинов 103 проводится при комнатной температуре. В случае несимметричных гидразидов образуются два региоизомерных пиразола 99 и 100 примерно в равных соотношениях. Выпадающим из этого ряда примером оказалось образование единственного изомера 99 (R1 = Et, R2 = Ph, R3 = Me, 67%). Второй региоизомер этой реакции – гетероцикл 100 с такими же заместителями отсутствует [149].
Схема 31
Кипячением пирролдионов 104 и тиосемикарбазида 93 в диоксане получены пиразолы 105 с низкими выходами. Применение в этих целях реакции семикарбазида с пирролдионом 104 приводит к аналогичным результатам (схема 32) [150].
Схема 32
Циклоконденсацией 2-гидразинилбензотиазола 106 с 2-(гидроксиимино)-1,3-дикетонами 107 получены новые замещенные 1-(бензотиазол-2-ил)-4-нитрозопиразолы 108. Удовлетворительные выходы продуктов реакции 108 наблюдаются в конденсации гидразина 106 с фенил-(R1 = Ph, R2 = Me, 65%) и 4-фторфенилзамещенными (R1 = 4-FC6H4, R2 = Me, 51%) дикетонами 107 (схема 33). В остальных случаях выходы продуктов конденсации не превышают 18–38% [151].
Схема 33
ИСПОЛЬЗОВАНИЕ ГИДРАЗОНИЛХЛОРИДОВ ПРИ ПОЛУЧЕНИИ ПИРАЗОЛОВ
Гидразонилгалогениды известны давно [152] и находят применение при реализации разнообразных синтетических подходов к получению азотсодержащих гетероциклических соединений. В настоящее время область использования синтетического потенциала гидразонилгалогенидов также достаточно широка. При взаимодействии продуктов их дегидрогалогенирования с производными изатового ангидрида могут быть получены 4-арил-1,3,4-бензотриазепиноны с высокими выходами [153].
Из более ранних синтезов азотсодержащих гетероциклов можно упомянуть образование пиразолов при взаимодействии продуктов дегидрогалогенирования гидразонилхлоридов с карбоалкоксиметиленфосфораном [154], пиразолинов при использовании в качестве диполярофила активированных алкенов [155], 1,2,4-триазолов при использовании в этой реакции циклоприсоединения нитрилов в качестве диполярофила [156]. Последний подход может быть заменен альтернативным методом получения 1,2,4-триазолов через реакцию окислительного присоединения фенилгидразонов 1,4-дифенилазометана или гидразонов арилальдегида к нитрилам в присутствии тиантрена (9,10-дитиаантрацен) [157]. При взаимодействии продуктов дегидрогалогенирования гидразонилхлоридов с 2-азидоакрилатами также образуются пиразолы [158]. Кипячением гидразониллоридов с фенилизотиоцианатом, ацетилизотиоцианатом, этоксикарбонилизотиоцианатом, сероуглеродом или цианамидом в сухом пиридине ранее получали производные пиразол-5-илтиадиазола или пиразол-5-ил-1,2,4-триазола [159].
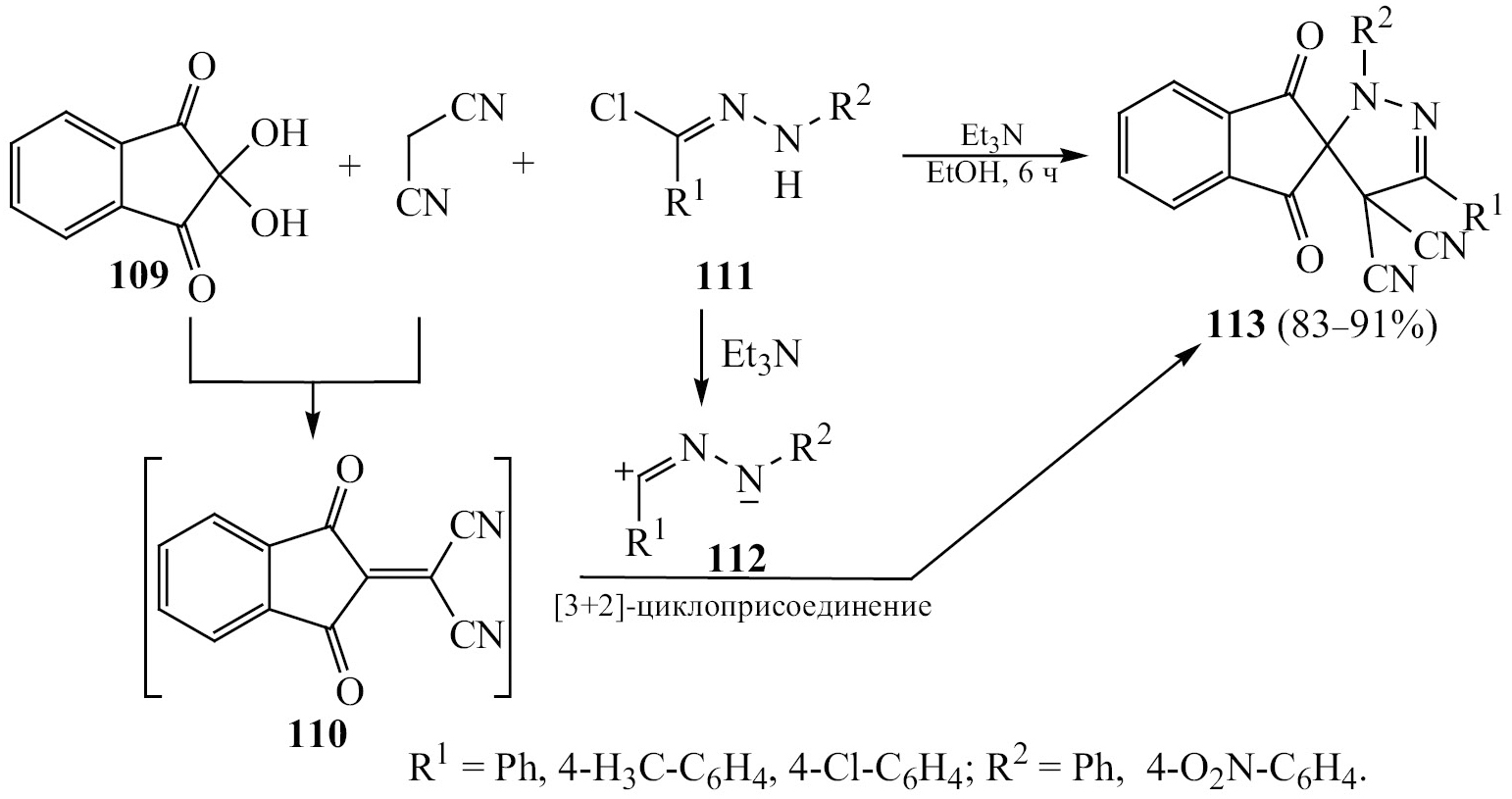
Одним из условий при образовании пиразолов с участием гидразонилгалогенидов является наличие в реакционной смеси C=C диполярофила, который может быть внесен извне или генерируется в реакционной смеси. Образующийся при взаимодействии нингидрина 109 с малононитрилом продукт конденсации Кнёвенагеля 110 вступает в реакцию [2+3]-циклоприсоединения с in situ генерируемым из гидрозонилхлорида 111 нитрилимином 112, что приводит к спиросочлененным индандионпиразолам 113 с высокими выходами (схема 34) [160].
Схема 34
Наблюдается зависимость образования спиросочлененного пиразола от структурных особенностей субстратов, обремененных экзоциклической двойной связью, используемых для достраивания на этом олефиновом фрагменте пиразольного кольца. В реакциях нитрилиминов, генерируемых из гидразонилхлорида 114, с арилидениндазолонами 115 в присутствии триэтиламина при кипячении в бензоле получены спироциклические соединения 116 (схема 35) [161].
Схема 35
Из азадиенов 117, полученных из аурона, и нитрилиминов, генерируемых в мягких условиях из гидразонилхлоридов 118, образуются спиросочлененные бензофуран-пиразолы 119, обремененные различными функциональными группами. Реакция [2+3]-циклоприсоединения проходит регио- и диастереоселективно, кислород-углеродные связи при этом не затрагиваются [162]. Раскрытия бензфуранового кольца авторы добились нагреванием (19 ч) гетероцикла 119 при 80°С (схема 36).
Схема 36
В реакциях бензосултам-3-арилиденов 120 с гидразонилхлоридами 121 в присутствии карбоната калия хотя и имеется аналогичная экзоциклическая двойная связь, но спироуглеродный центр не образуется. В этом случае получены тетраарилзамещенные пиразолы 122. Многостадийный процесс проходит как 1,3-диполярное циклоприсоединение/экструзия SO2. В реакции бензосултама 120 с гидразонилхлоридом 121 (Ar2 = 2-тиенил) выход продукта реакции 122 снижается до 53% (схема 37). При этом диастереоселективность (dr) всех превращений сохраняется на уровне 20:1. Ограничением метода является то, что в случае использования в реакции гидразонилхлоридов 121 с нитро- или трифторметильными заместителями при ароматическом фрагменте (Ar2 = 4-O2NС6H4 или 4-F3CС6H4) продукты реакции не образуются [163].
Схема 37
Аналогичное 1,3-диполярное циклоприсоединение нитрилиминов, in situ генерируемых в присутствии триэтиламина из гидразонилхлоридов 123, к 1,2-диарилэтиленам 124 приводит к изооксазол- и триарилзамещенным пиразолам 125. Относительно низкий выход (55%) наблюдается в случае гидразонилхлорида 123 (Ar1 = 3-O2NC6H4). В остальных реакциях выходы достигают 70–99% (схема 38) [164].
Схема 38
В реакции циклоприсоединения нитрилиминов, также in situ генерируемых в присутствии карбоната калия из гидразонилхлоридов 126, к аллену 127 получены пиразолы 128 (схема 39). Ацетоксигруппа аллена в этой реакции отщепляется. Низкий выход (37%) наблюдается в случае триметоксифенилзамещенного гидразонилхлорида 126 (Ar = 3,4,5-три-MeO), а в случае нитрофенильного аналога (Ar = 4-O2NC6H4) в реакционной смеси обнаруживаются только следовые количества пиразола 128 [165].
Схема 39
Существенного увеличения выхода продуктов реакции в некоторых примерах можно добиться при использовании каталитических количеств оксида серебра в этом циклоприсоединении. Реакция проходит с различной региоселективностью, выходы пиразолов 128 достигают 66–95% (схема 40). Но и в этом случае есть примеры образования продуктов реакции с невысокими выходами. Природа заместителей в исходных соединениях существенно влияет на выход гетероциклов 128 (R1 = R3 = H, R2 = Me, 43%; R1 = H, R2 = Ph, R3 = 2-Me-C6H4, 52%; R1 = H, R2 = Ph, R3 = 2-нафтил, 50%; R1 = H, R2 = Ph, R3 = 2-фурил, 40%; R1 = H, R2 = Ph, R3 = 2-тиенил, 31%). Полученные в этом исследовании циклоаддукты 128 продемонстрировали обнадеживающие результаты биологической активности в предварительных экспериментах по отношению к линии раковых клеток [166].
Схема 40
Гетероциклы пиразольного строения могут быть получены при взаимодействии нитрилиминов с замещенными ацетиленами [167]. Взаимодействием гидразонилхлоридов с гомопропаргиловыми спиртами в присутствии каталитических количеств CuCl осуществлен региоселективный синтез 5-гидроксиэтилпиразолов. Несмотря на известную низкую реакционную способность гомопропаргиловых спиртов 129 в реакции с гидразонилхлоридами, в данном случае пиразолы 130 получены с хорошими выходами (схема 41). Нужно отметить также мягкие условия реакции. Существенное снижение выхода (до 67–69%) в некоторых случаях происходит из-за образования значительного количества (12–15%) побочного продукта диинового строения R1CH(OH)CH2C≡C–C≡CCH2CH(OH)R1 [168].
Схема 41
СИНТЕЗ ЗАМЕЩЕННЫХ ПИРАЗОЛОВ РЕАКЦИЕЙ ГИДРАЗОНОВ С ФОРМАМИДОМ
При получении пиразолкарбальдегидов часто используется известная реакция гидразонов с формамидом [169]. Формамид вначале смешивают с POCl3 и к полученной смеси добавляют соответствующий гидразон [170]. В реакции конденсации гидразона 131 со смесью формамида и POCl3 получен пиразол 132a (схема 42). Наличие карбальдегидной группы в диарилзамещенном пиразоле 132a делает это соединение привлекательным синтоном для получения α,β-ненасыщенных кетонов [171]. Наличие альдегидной группы при пиразоле открывает широкие возможности для превращения ее в карбонитрильную [172], использования при получении порфириновых лигандов в производстве пористых материалов (синтез металлоорганических каркасов) [173], других замещенных пиразолов, которые могут проявить противотуберкулезную активность [174, 175], или же из пиразолилальдегидов можно синтезировать оксазолилзамещенные пиразолы [176]. Пиразолкарбальдегид 132б (где Ar = 4-MeOC6H4) использовали также как ключевое соединение при получении полигетероциклов [177].
Схема 42
ЗАКЛЮЧЕНИЕ
Таким образом, применение имеющихся к настоящему времени методов синтеза пиразолов позволяет получать эти соединения различной степени гидрогенизации и региолокализацией заместителей в гетероциклическом кольце, а также функциональных групп в боковой цепи. Достигнуты определенные успехи в синтезе пиразолов, спиросочлененных с карбо- или гетероциклами. Среди синтезированных пиразолов обнаружены представители с высокой биологической активностью, перспективные селективные экстрагенты металлов, лиганды для получения металлокомплексов. Поэтому исследования, направленные на расширение круга новых соединений этого ряда, весьма актуальны.
ФИНАНСОВАЯ ПОДДЕРЖКА
Работа выполнена в рамках программы «Новые подходы и усовершенствование известных стратегий направленного синтеза поли-, би- и моноциклических N,N-, N,O-, S,O-содержащих гетероциклов с выявлением их биологической, антикоррозионной активностей и разработкой технологии практической реализации полученных соединений с соответствующими свойствами», государственное задание (номер госрегистрации темы в ЕГИСУ 122031400274-4).
КОНФЛИКТ ИНТЕРЕСОВ
Авторы заявляют об отсутствии конфликта интересов.
About the authors
L. A. Baeva
Ufa Institute of Chemistry of the Russian Academy of Sciences
Email: gataullin@anrb.ru
Russian Federation, Ufa
R. R. Gataullin
Ufa Institute of Chemistry of the Russian Academy of Sciences
Author for correspondence.
Email: gataullin@anrb.ru
ORCID iD: 0000-0003-3269-2729
Russian Federation, Ufa
References
- Hu X., Huang Y., Fu X., Li X. // Chem. Heterocycl. Compd. 2019. Vol. 55. P. 644. doi: 10.1007/s10593-019-02510-9
- Ramachandran K., Anbarasan P. // Synlett. 2023. Vol. 34. P. 868. doi: 10.1055/a-1970-8537
- Кобелевская В.А., Попов А.В., Левковская Г.Г., Рудякова Е.В., Розенцвейг И.Б. // ЖОрХ. 2018. T. 54. C. 1493; Kobelevskaya V.A., Popov A.V., Levkovskaya G.G., Rudyakova E.V., Rozentsveig I.B. // Russ. J. Org. Chem. 2018. Vol. 54. P. 1505. doi: 10.1134/S1070428018100111
- Ефремова И.Е., Серебрянникова А.В., Лапшина Л.В., Гуржий В.В., Рябин А.Е. // ХГС. 2019. Т. 55. С. 902; Efremova I.E., Serebryannikova A.V., Lapshina L.V., Gurzhiy V.V., Ryabin A.E. // Chem. Heterocycl. Compd. 2019. Vol. 55. P. 902. doi: 10.1007/s10593-019-02556-9
- Голованов А.А., Один И.С., Вологжанина А.В., Воронова Э.Д., Аношина О.С., Бекин В.В. // ЖОрХ. 2017. Т. 53. С. 1629; Golovanov A.A., Odin I.S., Vologzhanina A.V., Voronova E.D., Anoshina O.S., Bekin V.V. // Russ. J. Org. Chem. 2017. Vol. 53. P. 1664. doi: 10.1134/S1070428017110082
- Далингер А.И., Медведько А.В., Балалаева А.И., Вацадзе И.А., Далингер И.Л., Вацадзе С.З. // ХГС. 2020. Т. 56. С. 180; Dalinger A.I., Medved’ko A.V., Balalaeva A.I., Vatsadze I.А., Dalinger I.L., Vatsadze S.Z. // Chem. Heterocycl. Compd. 2020. Vol. 56. P. 180. doi: 10.1007/s10593-020-02643-2
- Осянин В., Осипов Д.В., Корженко К.С., Демидов О.П., Климочкин Ю.Н. // ХГС. 2021. Т. 57. С. 305; Osyanin V., Osipov D.V., Korzhenko K.S., Demidov O.P., Klimochkin Y.N. // Chem. Heterocycl. Compd. 2021. Vol. 57. P. 305. doi: 10.1007/s10593-021-02908-4
- Zhang X., Qiu D.-X., Qiu W.-T., Wang H.-R., Zhao Z.-W., Yu H.-F., Che G.-B. // Tetrahedron. 2023. Vol. 134. Article ID 133305. doi: 10.1016/j.tet.2023.133305
- Петко К.И., Филатов А.А. // ХГС. 2021. Т. 57. С. 666; Petko K.I., Filatov A.A. // Chem. Heterocycl. Compd. 2021. Vol. 57. P. 666. doi: 10.1007/s10593-021-02965-9
- Punia S., Verma V., Kumar D., Kumar A., Deswal L., Parshad M. // Synth. Commun. 2021. Vol. 51. P. 2832. doi: 10.1080/00397911.2021.1953532
- Халиуллин Ф.А., Клен Э.Е., Макарова Н.Н., Шепилова С.О., Байкова И.П. // ХГС. 2020. Т. 56. С. 1213; Khaliullin F.А., Klen E.E., Makarova N.N., Shepilova S.O., Baikova I.P. // Chem. Heterocycl. Compd. 2020. Vol. 56. P. 1213. doi: 10.1007/s10593-020-02800-7
- Ахмадиев Н.С., Амета К.Л., Ахметова В.Р. // ХГС. 2023. Т. 59. С. 5; Akhmadiev N.S., Ameta K.L., Akhmetova V.R. // Chem. Heterocycl. Compd. 2023. Vol. 59. P. 5. doi: 10.1007/s10593-023-03156-4
- Dong F., Wang X.-S. // Heterocycl. Commun. 2016. Vol. 22. P. 307. doi: 10.1515/hc-2016-0116
- Janin Y.L. // Chem. Rev. 2012. Vol. 112. P. 3924. doi: 10.1021/cr200427q
- Ворожцов Н.О., Яровая О.И., Рознятовский В.А., Тарасевич Б.Н., Козловская Ю.А., Петкова А.И., Слита А.В., Синегубова Е.О., Зарубаев В.В., Салахутдинов Н.Ф., Белоглазкина Е.К. // ХГС. 2021. Т. 57. С. 432; Vorozhtsov N.O., Yarovaya O.I., Roznyatovskii V.A., Tarasevich B.N., Kozlovskaya Y.A., Petkova A.I., Slita A.V., Sinegubova E.O., Zarubaev V.V., Salakhutdinov N.F., Beloglazkina E.K. // Chem. Heterocycl. Compd. 2021. Vol. 57. P. 432. doi: 10.1007/s10593-021-02921-7
- Бажин Д.Н., Кудякова Ю.С., Оноприенко А.Я., Слепухин П.А., Бургарт Ю.В., Салоутин В.И. // ХГС. 2017. Т. 53. С. 1324; Bazhin D.N., Kudyakova Y.S., Onoprienko A.Ya., Slepukhin P.A., Burgart Y.V., Saloutin V.I. // Chem. Heterocycl. Compd. 2017. Vol. 53. P. 1324. doi: 10.1007/s10593-018-2214-1
- Ravindar L., Hasbullah S.A., Rakesh K.P., Hassan N.I. // Eur. J. Pharm. Sci. 2023. Vol. 183. Article ID 106365. doi: 10.1016/j.ejps.2022.106365
- Bayrak C. // Bioorg. Chem. 2022. Vol. 128. Article ID 106086. doi: 10.1016/j.bioorg.2022.106086
- Варгафтик М.Н., Нефедов С.Е. // ЖКХ. 2021. Т. 47. С. 613; Vargaftik M.N., Nefedov S.E. // Russ. J. Coord. Chem. 2021. Vol. 47. P. 679. doi: 10.1134/S1070328421100079
- Kumar V., Kaur K., Gupta G.K., Sharma A.K. // Eur. J. Med. Chem. 2013. Vol. 69. P. 735. doi: 10.1016/j.ejmech.2013.08.053
- Ansari A., Ali A., Asif M., Shamsuzzaman. // New J. Chem. 2017. Vol. 41. P. 16. doi: 10.1039/C6NJ03181A
- Zhang Y., Chan S., He R., Liu Y., Song X., Tu Z.-C., Ren X., Zhou Y., Zhang Z., Wang Z., Zhou F., Ding K. // Eur. J. Med. Chem. 2022. Vol. 244. Article ID 114862. doi: 10.1016/j.ejmech.2022.114862
- Alam J., Alam O., Alam P., Naim M.J. // Int. J. Pharma Sci. Res. 2015. Vol. 6. P. 1433. http://www.ijpsr.info/docs/IJPSR15-06-12-007.pdf
- Keri R.S., Chand K., Ramakrishnappa T., Nagaraja B.M. // Arch. Pharm. Chem. Life Sci. 2015. Vol. 348. P. 299. doi: 10.1016/j.fluchem.2016.08.012
- Xu Z., Gao C., Ren Q.-C., Song X.-F., Feng L.-S., Lv Z.-S. // Eur. J. Med. Chem. 2017. Vol. 139. P. 429. doi: 10.1016/j.ejmech.2017.07.059
- Ganesh A. // Int. J. Pharm. Bio. Sci. 2013. Vol. 4. P. 727.
- Silva V.L.M., Elguero J., Silva A.M.S. // Eur. J. Med. Chem. 2018. Vol. 156. P. 394. doi: 10.1016/j.ejmech.2018.07.007
- Küçükgüzel Ş.G., Şenkardeş S. // Eur. J. Med. Chem. 2015. Vol. 97. P. 786. doi: 10.1016/j.ejmech.2014.11.059
- Костин Р.К., Маршавин А.С. // ХГС. 2021. Т. 57. С. 1061; Kostin R.K., Marshavin A.S. // Chem. Heterocycl. Compd. 2021. Vol. 57. P. 1061. doi: 10.1007/s10593-021-03025-y
- Ахмадиев Н.С., Ахметова В.Р., Бойко Т.Ф., Ибрагимов А.Г. // ХГC. 2018. Т. 54. С. 344; Akhmadiev N.S., Akhmetova V.R., Boiko T.F., Ibragimov A.G. // Chem. Heterocycl. Compd. 2018. Vol. 54. P. 344. doi: 10.1007/s10593-018-2271-5
- Malysheva S., Kuimov V., Belovezhets L., Belogorlova N., Borovskaya M., Borovskii G. // Bioorg. Chem. 2023. Vol. 132. Article ID 106363. doi: 10.1016/j.bioorg.2023.106363
- Verma R., Verma S.K., Rakesh K.P., Girish Y.R., Ashrafizadeh M., Sharath Kumar K.S., Rangappa K.S. // Eur. J. Med. Chem. 2021. Vol. 212. Article ID 113134. doi: 10.1016/j.ejmech.2020.113134
- Li M.-M., Huang H., Pu Y., Tian W., Deng Y., Lu J. // Eur. J. Med. Chem. 2022. Vol. 243. Article ID 114739. doi: 10.1016/j.ejmech.2022.114739
- De A., Sarkar S., Majee A. // Chem. Heterocycl. Compd. 2021. Vo l. 57. P. 410. doi: 10.1007/s10593-021-02917-3
- Vahora M.S., Boruah J.J., Das S.P. // Russ. J. Org. Chem. 2023. Vol. 59. P. 846. doi: 10.1134/S1070428023050160
- Lin T., Li J., Liu L., Li Y., Jiang H., Chen K., Xu P., Luo C., Zhou B. // Eur. J. Med. Chem. 2021. Vol. 215. Article ID 113281. doi: 10.1016/j.ejmech.2021.113281
- Hassan G.S., Georgey H.H., Mohammed E.Z., George R.F., Mahmoud W.R., Omar F.A. // Eur. J. Med. Chem. 2021. Vol. 218. Article ID 113389. doi: 10.1016/j.ejmech.2021.113389
- Anil D., Caykoylu E.U., Sanli F., Gambacorta N., Karatas O.F., Nicolotti O., Algul O., Burmaoglu S. // Arch. Pharm. Chem. Life Sci. 2021. Vol. 354. Article ID 2100225. doi: 10.1002/ardp.202100225
- Bennani F.E., Doudach L., Karrouchi K., El rhayam Y., Rudd C.E., Ansar M., Faouzi M.E.A. // Heliyon. 2022. Vol. 8. Article ID e10003. doi: 10.1016/j.heliyon.2022.e10003
- Madhu G., Sudhakar M., Santosh Kumar K., Rajashekher Reddy G., Sravani A., Ramakrishna K., Prasad Rao Ch. // Russ. J. Gen. Chem. 2017. Vol. 87. P. 2421. doi: 10.1134/S1070363217100243
- Kaur G., Utreja D., Jain N., Dhillon N.K. // Russ. J. Org. Chem. 2020. Vol. 56. P. 113. doi: 10.1134/S1070428020010182
- Jo J., Lee D., Park Y.H., Choi H., Han J., Park D.H., Choi Y.-K., Kwak J., Yang M.-K., Yoo J.-W., Moon H.R., Geum D., Kang K.S., Yun H. // Eur. J. Med. Chem. 2021. Vol. 217. Article ID 113325. doi: 10.1016/j.ejmech.2021.113325
- Yu B., Zhao B., Hao Z., Chen L., Cao L., Guo X., Zhang N., Yang D., Tang L., Fan Z. // Eur. J. Med. Chem. 2021. Vol. 214. Article ID 113230. doi: 10.1016/j.ejmech.2021.113230
- Si W.-J., Wang X.-B., Chen M., Wang M.-Q., Lua A.-M., Yang C.-L. // New J. Chem. 2019. Vol. 43. P. 3000. doi: 10.1039/c8nj05150j
- Kumar G., Krishna V.S., Sriram D., Jachak S.M. // Arch. Pharm. Chem. Life Sci. 2020. Vol. 353. Article ID 2000077. doi: 10.1002/ardp.202000077
- Jasani M., Patel L. // Results in Chem. 2023. Vol. 5. Article ID 100739. doi: 10.1016/j.rechem.2022.100739
- Leśniak R.K., Nichols R.J., Schonemann M., Zhao J., Gajera C.R., Lam G., Nguyen K.C., Langston J.W., Smith M., Montine T.J. // Eur. J. Med. Chem. 2022. Vol. 242. Article ID 114693. doi: 10.1016/j.ejmech.2022.114693
- Gorecki L., Muthna D., Merdita S., Andrs M., Kucera T., Havelek R., Muckova L., Kobrlova T., Soukup J., Krupa P., Prchal L., Soukup O., Roh J., Rezacova M., Korabecny J. // Eur. J. Med. Chem. 2022. Vol. 240. Article ID 114580. doi: 10.1016/j.ejmech.2022.114580
- Харанеко А.О., Пехтерева Т.М., Харанеко О.И. // ЖОрХ. 2022. Т. 58. С. 406; Kharaneko A.O., Pekhtereva T.M., Kharaneko O.I. // Russ. J. Org. Chem. 2022. Vol. 58. P. 499. doi: 10.1134/S1070428022040054
- Ayman R., Abusaif M.S., Radwan A.M., Elmetwally A.M., Ragab A. // Eur. J. Med. Chem. 2023. Vol. 249. Article ID 115138. doi: 10.1016/j.ejmech.2023.115138
- Liebing P., Edelmann F.T. // Helv. Chim. Acta. 2020. Vol. 103. Article ID e2000148. doi: 10.1002/hlca.202000148
- Petrov P.A., Laricheva Y.A., Sukhikh T.S., Sokolov M.N. // New J. Chem. 2021. Vol. 45. P. 7047. doi: 10.1039/D1NJ00195G
- Поткин В.И., Петкевич С.К., Клецков А.В., Колесник И.А., Зверева Т.Д., Жуковская Н.А., Левковская Г.Г., Розенцвейг И.Б. // ЖОрХ. 2017. Vol. 53. С. 246; Potkin V.I., Petkevich S.K., Kletskov A.V., Kolesnik I.A., Zvereva T.D., Zhukovskaya N.A., Levkovskaya G.G., Rozentsveig I.B. // Russ. J. Org. Chem. 2017. Vol. 53. P. 240. doi: 10.1134/S1070428017020178
- Jozak T., Zabel D., Schubert A., Sun Y., Thiel W.R. // Eur. J. Inorg. Chem. 2010. P. 5135. doi: 10.1002/ejic.201000802
- Smith J.A., Wilson K.B., Sonstrom R.E., Kelleher P.J., Welch K.D., Pert E.K., Westendorff K.S., Dickie D.A., Wang X., Pate B.H., Harman W.D. // Nature. 2020. Vol. 581. P. 288. doi: 10.1038/s41586-020-2268-y
- Moradi R., Ziarani G.M., Badiei A. // Res. Chem. Intermed. 2023. Vol. 49. P. 1427. doi: 10.1007/s11164-022-04900-9
- Yuea Y., Xiea Z., Chua Y., Shi W. // Russ. J. Org. Chem. 2019. Vol. 55. P. 866. doi: 10.1134/S1070428019060186
- Wei K., Deng Z., Liu Y., Kang M., Liu P., Yang X., Pei M., Zhang G. // J. Photochem. Photobiol. A. 2023. Vol. 437. Article ID 114470. doi: 10.1016/j.jphotochem.2022.114470
- Анпилогова Г.Р., Баева Л.А., Нугуманов Р.M. // ЖОХ. 2023. Т. 93. С. 768; Anpilogova G.R., Baeva L.A., Nugumanov R.M. // Russ. J. Gen. Chem. 2023. Vol. 93. P. 1115. doi: 10.1134/S1070363223050110
- Леснов А.Е. // Изв. вузов. Хим. хим. техн. 2019. Т. 62. С. 15; Lesnov A.E. // Izv. Vyssh. Uchebn. Zaved. Khim. Khim. Tekhnol. 2019. Vol. 62. P. 15. doi: 10.6060/ivkkt201962fp.5775
- David E., Thirumoorthy K., Palanisami N. // Mater. Chem. Front. 2021. Vol. 5. P. 8290. doi: 10.1039/d1qm01022k
- Vafaee A., Davoodnia A., Nakhaei A., Yadegarian S., Nejatianfar M. // Russ. J. Gen. Chem. 2021. Vol. 91. P. 273. doi: 10.1134/S1070363221020158
- Шаталов Г.В., Лавлинская М.С., Пахомова О.А., Мокшина Н.Я., Кузнецов В.А. // ЖПХ. 2016. Т. 89. С. 112; Shatalov G.V., Lavlinskaya M.S., Pakhomova O.A., Mokshina N.Ya., Kuznetsov V.A. // Russ. J. Appl. Chem. 2016. Vol. 89. P. 140. doi: 10.1134/S1070427216010225
- Шаглаева Н.С., Баяндин В.В., Султангареев Р.Г., Вакульская Т.И., Хуцишвили С.С., Орхокова Е.А., Прозорова Г.Ф. // ЖПХ. 2013. Т. 86. С. 1623; Shaglaeva N.S., Bayandin V.V., Sultangareev R.G., Vakul’skaya T.I., Khutsishvili S.S., Orkhokova E.A., Prozorova G. F. // Russ. J. Appl. Chem. 2013. Vol. 86. P. 1576. doi: 10.1134/S1070427213100169
- Wang J., Lv R., Jiang L., Song S., Wang K., Zhang Q. // Chem. Heterocycl. Compd. 2022. Vol. 58. P. 493. doi: 10.1007/s10593-022-03118-2
- Левашова Е.Ю., Жуковский Д.Д., Дарьин Д.В., Красавин М.Ю. // ХГС. 2020. Т. 56. С. 806; Levashova E.Yu., Zhukovsky D.D., Dar’in D.V., Krasavin M.Yu. // Chem. Heterocycl. Compd. 2020. Vol. 56. P. 806. doi: 10.1007/s10593-020-02735-z
- Goulioukina N.S., Makukhin N.N., Beletskaya I.P. // Russ. Chem. Rev. 2016. Vol. 85. P. 667. doi: 10.1070/RCR4579
- Zou X., Zheng L., Zhuo X., Zhong Y., Wu Y., Yang B., He Q., Guo W. // J. Org. Chem. 2023. Vol. 88. P. 2190. doi: 10.1021/acs.joc.2c02610
- Назаров М.А., Толмачева И.А., Ерошенко Д.В., Майорова О.А., Дмитриев М.В., Гришко В.В. // ХГС. 2020. Т. 56. С. 1321; Nazarov M.A., Tolmacheva I.A., Eroshenko D.V., Maiorova O.A., Dmitriev M.V., Grishko V.V. // Chem. Heterocycl. Compd. 2020. Vol. 56. P. 1321. doi: 10.1007/s10593-020-02817-y
- Wuzhong Z., Yulai H., Xiaoping W., Jiaxin L., Danfeng H., Kehu W. // Chin. J. Org. Chem. 2019. Vol. 39. P. 1396. doi: 10.6023/cjoc201811039
- Маркитанов Ю.Н., Тимошенко В.М. // ХГС. 2021. Т. 57. С. 1149; Markitanov Y.N., Timoshenko V.M. // Chem. Heterocycl. Compd. 2021. Vol. 57. P. 1149. doi: 10.1007/s10593-021-03035-w
- Huan X., Wang Y., Peng X., Xie S., He Q., Zhang X., Lan L., Yang C. // Eur. J. Med. Chem. 2022. Vol. 236. Article ID 114309. doi: 10.1016/j.ejmech.2022.114309
- Быкова Л.С., Кочнев И.А., Барков А.Ю., Зимницкий Н.С., Коротаев В.Ю., Сосновских В.Я. // ХГС. 2022. Т. 58. С. 646; Bykova L.S., Kochnev I.А., Barkov A.Yu., Zimnitskiy N.S., Korotaev V.Yu., Sosnovskikh V.Ya. // Chem. Heterocycl. Compd. 2022. Vol. 58. P. 646. doi: 10.1007/s10593-022-03128-0
- Маркитанов Ю.Н., Тимошенко В.М., Михайлыченко С.С., Русанов Е.Б., Хыжан А.И., Шермолович Ю.Г. // ХГС. 2021. Т. 57. С. 1107; Маrkitanov Y.N., Тimoshenko V.М., Мykhaylychenko S.S., Rusanov E.B., Khyzhan A.I., Shermolovich Y.G. // Chem. Heterocycl. Compd. 2021. Vol. 57. P. 1107. doi: 10.1007/s10593-021-03029-8
- Mykhailiuk P.K. // Eur. J. Org. Chem. 2015. P. 7235. doi: 10.1002/ejoc.201501027
- Mykhailiuk P.K., Koenigs R.M. // Chem. Eur. J. 2020. Vol. 26. P. 89. doi: 10.1002/chem.201903335
- Ледовская М.С., Воронин В.В., Валов Н.Р. // ЖОХ. 2023. Т. 93. С. 167; Ledovskaya M.S., Voronin V.V., Valov N.R. // Russ. J. Gen. Chem. 2023. Vol. 93. P. 235. doi: 10.1134/S1070363223020019
- Szilágyi B., Egyed A., Mándity I., Nagy T., Kátai-Fadgyas K., Volk B., Keserű G.M. // Synthesis. 2023. Vol. 55. P. 959. doi: 10.1055/s-0042-1751389
- Poszávácz L., Nagy T., Kátai-Fadgyas K., Volk B. // Synthesis. 2023. Vol. 55. P. 2061. doi: 10.1055/a-2016-4337
- Васин В.А., Попкова Ю.А., Безрукова Е.В., Разин В.В., Сомов Н.В. // ЖОрХ. 2018. Т. 54. С. 1178; Vasin V.А., Popkova Yu.А., Bezrukova Ye.V., Razin V.V., Somov N.V. // Russ. J. Org. Chem. 2018. Vol. 54. P. 1189. doi: 10.1134/S1070428018080122
- Васин В.А., Разин В.В., Безрукова Е.В., Попкова Ю.А., Сомов Н.В. // ЖОрХ. 2018. Т. 54. С. 890; Vasin V.A., Razin V.V., Bezrukova E.V., Popkova Yu.A., Somov N.V. // Russ. J. Org. Chem. 2018. Vol. 54. P. 892. doi: 10.1134/S1070428018060118
- Пелипко В.В., Байчурин Р.И., Макаренко С.В. // Изв. АН. Сер. хим. 2019. Т. 68. С. 1821; Pelipko V.V., Baichurin R.I., Makarenko S.V. // Russ. Chem. Bull. 2019. Vol. 68. P. 1821. doi: 10.1007/s11172-019-2631-z
- Chen Z., Zhang Y., Nie J., Ma J.A. // Org. Lett. 2018. Vol. 20. P. 2120. doi: 10.1021/acs.orglett.8b0072
- Chen Z., Zhang Y., Ma J.A. // Angew. Chem. 2017. Vol. 129. P. 4640. doi: 10.1002/ange.201700955
- Feng G., Xu S., Chen R., Chen W., Wang K.-K., Wang S. // Tetrahedron Lett. 2020. Vol. 61. Article ID 152622. doi: 10.1016/j.tetlet.2020.152622
- Бородкин Ю.С., Русанов Э.Б., Хижан А.И., Шермолович Ю.Г. // ХГС. 2019. Т. 55. С. 1065; Borodkin Y.S., Rusanov E.B., Khizhan A.I., Shermolovich Y.G. // Chem. Heterocycl. Compd. 2019. Vol. 55. P. 1065. doi: 10.1007/s10593-019-02578-3
- Chen H., Wen S., Cui Y., Lin L., Zhang H., Fang Z., You Y., Wenig Z. // Tetrahedron. 2021. Vol. 85. Article ID 132062. doi: 10.1016/j.tet.2021.132062
- Bondock S., Albormani O., Fouda A.M. // Russ. J. Gen. Chem. 2022. Vol. 92. P. 1098. doi: 10.1134/S1070363222060226
- Марцинкевич Д.С., Чернявская К.Ф., Абрамович Т.Л., Тарасевич В.А. // ЖОрХ. 2022. Т. 58. С. 516; Martsinkevich D.S., Chernyavskaya K.F., Ahramovich T.I., Tarasevich V.A. // Russ. J. Org. Chem. 2022. Vol. 58. P. 697. doi: 10.1134/S1070428022050098
- Abdelrahman E.F., Shehta W., Assy M.G.M., Farhan M.E. // Russ. J. Org. Chem. 2020. Vol. 56. P. 1832. doi: 10.1134/S1070428020100267
- Assy M.G., Shehta W., Abdelrahman E.F. // Russ. J. Org. Chem. 2020. Vol. 56. P. 1245. doi: 10.1134/S1070428020070192
- El-Sayed H.A., Moustafa A.H., Fadda A.A., Abd El-Rahman K.E. // Russ. J. Gen. Chem. 2019. Vol. 89. P. 339. doi: 10.1134/S1070363219020270
- Стасевич М.В., Зварыч В.И., Лунин В.В., Хомяк С.В., Вовк М.В., Новиков В.П. // ХГС. 2017. Т. 53. С. 927; Stasevych M.V., Zvarych V.I., Lunin V.V., Khomyak S.V., Vovk M.V., Novikov V.P. // Chem. Heterocycl. Compd. 2017. Vol. 53. P. 927. doi: 10.1007/s10593-017-2148-z
- Yamali C., Sakagami H., Uesawa Y., Kurosaki K., Satoh K., Masuda Y., Yokose S., Ece A., Bua S., Angeli A., Supuran C.T., Gul H.I. // Eur. J. Med. Chem. 2021. Vol. 217. Article ID 113351. doi: 10.1016/j.ejmech.2021.113351
- Аксенов Н.А., Скоморохов А.А., Аксенов А.В., Воскресенский Л.Г., Рубин М.А. // ХГС. 2019. Т. 55. С. 541; Aksenov N.A., Skomorokhov A.A., Aksenov A.V., Voskressensky L.G., Rubin M.A. // Chem. Heterocycl. Compd. 2019. Vol. 55. P. 541. doi: 10.1007/s10593-019-02493-7
- Yao M.-M., Chen W.-T., Min L.-J., Han L., Sun N.-B., Liu X.-H. // J. Molec. Struct. 2022. Vol. 1265. Article ID 133405. doi: 10.1016/j.molstruc.2022.133405
- Venkatesh N., Sundergoud Sh., Kumara Swamy M., Veerasomaiah P. // Russ. J. Org. Chem. 2020. Vol. 56. P. 1635. doi: 10.1134/S1070428020090213
- Pervaram S., Ashok D., Rao B.A., Sarasija M., Reddy C.V.R. // Russ. J. Gen. Chem. 2017. Vol. 87. P. 2454. doi: 10.1134/S1070363217100280
- Городничева Н.В., Васильева О.С., Остроглядов Е.С., Байчурин Р.И., Литвинов И.А., Тюренков И.Н., Ковалев Н.С., Бакулин Д.А., Куркин Д.В., Байчурина Л.В., Макаренко С.В. // ХГС. 2022. Т. 58. С. 598; Gorodnicheva N.V., Vasil’eva O.S., Ostroglyadov E.S., Baichurin R.I., Litvinov I.A., Tyurenkov I.N., Kovalev N.S., Bakulin D.A., Kurkin D.V., Baichurina L.V., Makarenko S.V. // Chem. Heterocycl. Compd. 2022. Vol. 58. P. 598. doi: 10.1007/s10593-022-03140-4
- Баева Л.А., Нугуманов Р.М., Гатауллин Р.Р., Фатыхов А.А. // ХГС. 2020. Т. 56. С. 548; Baeva L.A., Nugumanov R.M., Gataullin R.R., Fatykhov A.А. // Chem. Heterocycl. Compd. 2020. Vol. 56. P. 548. doi: 10.1007/s10593-020-02698-1
- Naguib H.M., Dauoud N.T., Shaban S.N., Abdelghaffar N.F., Sayed G.H., Anwer K.E. // Russ. J. Org. Chem. 2022. Vol. 58. P. 891. doi: 10.1134/S1070428022060203
- Moeinimehr M., Safaiee M., Zolfigol M.A., Taherpour A.A. // ChemistrySelect. 2022. Vol. 7. Article ID e202200849. doi: 10.1002/slct.202200849
- Сираканян С.Н., Спинелли Д., Героникаки А., Карцев В.Г., Степанян О.М., Акопян Э.К., Овакимян А.А. // ХГС. 2021. Т. 57. С. 75; Sirakanyan S.N., Spinelli D., Geronikaki A., Kartsev V.G., Stepanyan H.M., Hakobyan E.K., Hovakimyan A.A. // Chem. Heterocycl. Compd. 2021. Vol. 57. P. 75. doi: 10.1007/s10593-021-02870-1
- He W.-B., Zhao S.-J., Chen J.-Y., Jiang J., Chen X., Xu X., He W.-M. // Chin. Chem. Lett. 2023. Vol. 34. Article ID 107640. doi: 10.1016/j.cclet.2022.06.063
- Липин К.В., Ершов О.В., Федосеев С.В., Михайлов А.А. // ЖОрХ. 2020.Т. 56, 144; Lipin K.V., Ershov O.V., Fedoseev S.V., Mikhailov A.A. // Russ. J. Org. Chem. 2020. Vol. 56. P. 177. doi: 10.1134/S1070428020010273
- Moustafa A.H., Ahmed D.H., El-Wassimy M.T.M., Mohamed M.F.A. // Synth. Commun. 2021. Vol. 51. P. 570. doi: 10.1080/00397911.2020.1843179
- Khatab T.K., Hassan A.S., Hassan A.S., Hafez T.S., Hafez T.S. // Bull. Chem. Soc. Ethiop. 2019. Vol. 33. P. 135. doi: 10.4314/bcse.v33i1.13
- Mukhtar S.S., Hassan A.S., Morsy N.M., Hafez T.S., Saleh F.M., Hassaneen H.M. // Synth. Commun. 2021. Vol. 51. P. 1564. doi: 10.1080/00397911.2021.1894338
- Новикова Д.С., Darwish F., Григорева Т.А., Трибулович В.Г. // ЖОХ. 2023. Т. 93. С. 684; Novikova D.S., Darwish F., Grigoreva T.A., Tribulovich V.G. // Russ. J. Gen. Chem. 2023. Vol. 93. P. 1040. doi: 10.1134/S1070363223050043
- Ravi K., Dhoddi B.N., Pochampally J., Matta R. // Russ. J. Org. Chem. 2023. Vol. 59. P. 924. doi: 10.1134/S1070428023050238
- Lusardi M., Spallarossa A., Brullo C. // Int. J. Mol. Sci. 2023. Vol. 24. Article ID 7834. doi: 10.3390/ijms24097834
- Pandey A.K., Kumar A., Shrivastava S.C. // Russ. J. Org. Chem. 2021. Vol. 57. P. 653. doi: 10.1134/S1070428021040229
- Sedighinia E., Badri R., Kiasat A.R. // Russ. J. Org. Chem. 2019. Vol. 55. P. 1755. doi: 10.1134/S1070428019110186
- Sivaganesh T., Padmaja P., Reddy P.N. // Russ. J. Org. Chem. 2022. Vol. 58. P. 81. doi: 10.1134/S1070428022010110
- Ивонин М.А., Бычок О.Ю., Сафарова Н.В., Сорокин В.В. // ЖОХ. 2017. Т. 87. С. 1728; Ivonin M.A., Bychok O.Yu., Safarova N.V., Sorokin V.V. // Russ. J. Gen. Chem. 2017. Vol. 87. P. 2477. doi: 10.1134/S1070363217100322
- Zolfigol M.A., Afsharnadery F., Baghery S., Salehzadeh S., Maleki F. // RSC Adv. 2015. Vol. 5. P. 75555. doi: 10.1039/c5ra16289k
- Usachev S.A., Nigamatova D.I., Mysik D.K., Naumov N.A., Obydennov D.L., Sosnovskikh V.Y. // Molecules. 2021. Vol. 26. Article ID 4415. doi: 10.3390/molecules26154415
- Комогорцев А.Н., Мелехина В.Г., Личицкий Б.В., Дудинов А.А., Фахрутдинов А.Н., Краюшкин М.М. // Изв. Ан. Сер. хим. 2020. Т. 69. С. 758; Komogortsev A.N., Melekhina V.G., Lichitsky B.V., Dudinov A.A., Fakhrutdinov A.N., Krayushkin M.M. // Russ. Chem. Bull. 2020. Vol. 69. P. 758. doi: 10.1007/s11172-020-2829-0
- Обыденнов Д.Л., Суслова А.И., Сосновских В.Я. // ХГС. 2020. Т. 56. С. 173; Obydennov D.L., Suslova A.I., Sosnovskikh V.Ya. // Chem. Heterocycl. Compd. 2020. Vol. 56. P. 173. doi: 10.1007/s10593-020-02642-3
- Lisovenko N.Y., Nasibullina E.R., Dmitriev M.V. // Russ. Chem. Bull. Int. Ed. 2019. Vol. 68. P. 578. doi: 10.1007/s11172-019-2457-8
- Ивонин С.П., Русанов Э.Б., Волочнюк Д.М. // ХГС. 2020. Т. 56. С. 320; Ivonin S.P., Rusanov E.B., Volochnyuk D.M. // Chem. Heterocycl. Compd. 2020. Vol. 56. P. 320. doi: 10.1007/s10593-020-02662-z
- Hazarika R., Konwar M., Damarla K., Kumar A., Sarma D. // Synth. Commun. 2020. Vol. 50. P. 329. doi: 10.1080/00397911.2019.1692869
- Somakala K., Amir M., Sharma V., Wakode S. // Monatsh. Chem. 2016. Vol. 147. P. 2017. doi: 10.1007/s00706-016-1694-x
- El Shehry M.F., Ewies E.F., Zayed E.M. // Russ. J. Gen. Chem. 2019. Vol. 89. P. 492. doi: 10.1134/S1070363219030216
- Олещук А.Л., Карбаинова А.А., Криворучко Т.Н., Шульгау З.Т., Сеильханов Т.М., Кулаков И.В. // ХГС. 2019. Т. 55. С. 47; Oleshchuk A.L., Karbainova A.A., Krivoruchko T.N., Shulgau Z.T., Seilkhanov T.M., Kulakov I.V. // Chem. Heterocycl. Compd. 2019. Vol. 55. P. 47. doi: 10.1007/s10593-019-02417-5
- Akki M., Reddy D.S., Katagi K.S., Kumar A., Babagond V., Munnolli R.S., Joshi S.D. // Russ. J. Gen. Chem. 2022. Vol. 92. P. 2092. doi: 10.1134/S1070363222100231
- Zhang D., Asnake S., Zhang J., Olsson P.-E., Zhao G. // Chem. Biol. Drug Design. 2018. Vol. 91. P. 1113. doi: 10.1111/cbdd.13173
- Гейн В.Л., Бобровская О.В., Русских А.А., Новикова В.В., Гейн О.Н., Карпенко Ю.Н., Чащина С.В., Дмитриев М.В., Янкин А.Н. // ЖОХ. 2019. Т. 89. С. 542; Gein V.L., Bobrovskaya O.V., Russkikh A.A., Novikova V.V., Gein O.N., Karpenko Yu.N., Chashchina S.V., Dmitriev M.V., Yankin A.N. // Russ. J. Gen. Chem. 2019. Vol. 89. P. 680. doi: 10.1134/S1070363219040078
- Kolla S.T., Somanaboina R., Bhimapaka C.R. // Synth. Commun. 2021. Vol. 51. P. 1425. doi 10.1080/ 00397911.2021.1885716
- Li D., Hu W. // Asian J. Org. Chem. 2023. Vol. 12. Article ID e20230004. doi: 10.1002/ajoc.202300043
- Nguyen K.X., Pham P.H., Nguyen T.T., Yang C.-H., Pham H.T.B., Nguyen T.T., Wang H., Phan N.T.S. // Org. Lett. 2020. Vol. 22. P. 9751. doi: 10.1021/acs.orglet.0c03846
- Tiwari M.K., Iqubal A., Das P. // Tetrahedron. 2022. Vol. 126. Article ID 133059. doi: 10.1016/j.tet.2022.133059
- Nair A.R., Sunil Kumar Y.C., Sivan A. // Opt. Mater. 2022. Vol. 134. Article ID 113117. doi: 10.1016/j.optmat.2022.113117
- Zhu Y.-F., Wei B.-L., Wei J.-J., Wang W.-Q., Song W.-B., Xuan, L.-J. // Tetrahedron Lett. 2019. Vol. 60. P. 1202. doi: 10.1016/j.tetlet.2019.03.063
- Solomin V.V., Ciruelos B.F., Velikova N., Wells J., Albanese M., Adhav A., Jirgensons A. // Chem. Heterocycl. Compd. 2022. Vol. 58. P. 737. doi: 10.1007/s10593-023-03151-9
- Goulart T.B., Neves A.M., Soares M.S.P., Stefanello F.M., Campos P.T., Moura S., Cargnelutti R., Flores A.F.C. // Chem. Heterocycl. Compd. 2020. Vol. 56. P. 1314. doi: 10.1007/s10593-020-02816-z
- Bellam M., Gundluru M., Sarva S., Chadive S., Netala V.R., Tartte V., Cirandur S.R. // Chem. Heterocycl. Compd. 2017. Vol. 53. P. 173. doi: 10.1007/s10593-017-2036-6
- Yan L., Wu J., Chen H., Zhang S., Wang Z., Wang H., Wu F. // RSC Adv. 2015. Vol. 5. Article ID 73660. doi: 10.1039/c5ra11782h
- Кобелевская В.А., Ларина Л.И., Попов А.В. // ХГС. 2022. Т. 58. С. 588; Kobelevskaya V.А., Larina L.I., Popov A.V. // Chem. Heterocycl. Compd. 2022. Vol. 58. P. 588. doi: 10.1007/s10593-022-03139-x
- Ablajan K., Wang L.-J., Maimaiti Z., Lu Y.-T. // Monatsh. Chem. 2014. Vol. 145. P. 491. doi: 10.1007/s00706-013-1104-6
- Gulia N., Małecki M., Szafert S. // J. Org. Chem. 2021. Vol. 86. P. 9353. doi. 10.1021/acs.joc.1c00606
- Hong B., Ding X., Jiang M., Qin L., Lin Z., Wua W., Weng Z. // Tetrahedron Lett. 2022. Vol. 104. 154018. doi: 10.1016/j.tetlet.2022.154018
- Wang S., Li Y., Bi X., Liu Q. // Synlett. 2015. Vol. 26. P. 1895. doi: 10.1055/s-0034-1378858
- Mykhailiuk P.K. // Chem. Rev. 2021. Vol. 121. P. 1670. doi: 10.1021/acs.chemrev.0c01015
- Xu Y., Chen Q., Tian Y., Wu W., You Y., Weng Z. // Tetrahedron Lett. 2020. Vol. 61. Article ID 151455. doi: 10.1016/j.tetlet.2019.151455
- Шмидт Е.Ю., Татаринова И.В., Трофимов Б.А. // ЖОрХ. 2015. Т. 51. С. 137; Schmidt E.Yu., Tatarinova I.V., Trofimov B.A. // Russ. J. Org. Chem. 2015. Vol. 51. P. 136. doi: 10.1134/S1070428015010273
- Gorla M.R., Sarma M. // Russ. J. Org. Chem. 2022. Vol. 58. P. 572. doi: 10.1134/S1070428022040157
- Савельев В.А., Котова А.А., Рыбалова Т.В., Шульц Э.Э. // ХГС. 2019. Т. 55. С. 943; Savel’ev V.A., Kotova A.A., Rybalova T.V., Shults E.E. // Chem. Heterocycl. Compd. 2019. Vol. 55. P. 943. doi: 10.1007/s10593-019-02561-y
- Safari N., Imanzadeh G., Asgharzadeh R., Hosseyni S.T., Shamkhali A.N., Soltanzadeh Z. // Chem. Heterocycl. Compd. 2021. Vol. 57. P. 640. doi: 10.1007/s10593-021-02962-y
- Антонов Д.И., Дмитриев М.В., Курова О.А., Масливец А.Н. // ЖОрХ. 2021. Т. 57. С. 1778; Antonov D.I., Dmitriev M.V., Kourova O.A., Maslivets A.N. // Russ. J. Org. Chem. 2021. Vol. 57. P. 2063. doi: 10.1134/S1070428021120241
- Бобров П.С., Кондрасенко А.А., Субоч Г.А. // ЖОрХ. 2022. Т. 58. С. 1224; Bobrov P.S., Kondrasenko A.A., Suboch G.A. // Russ. J. Org. Chem. 2022. Vol. 58. P. 1637. doi: 10.1134/S1070428022110112
- Huisgen R., Seidel M., Wallbillich G., Knupfer H. // Tetrahedron. 1962. Vol. 17. P. 3. doi: 10.1016/S0040-4020 (01) 99001-5
- Zhang X., Pan Y., Liu T., Wang Y. // J. Org. Chem. 2023. Vol. 88. P. 7504. doi: 10.1021/acs.joc.3c00307
- Padwa A., MacDonald J.G. // J. Heterocycl. Chem. 1987. Vol. 24. P. 1225. doi: 10.1002/jhet.5570240457
- Shawali A.S., Hassaneen H.M., Ibrahim H.A. // Arch. Pharm. Res. 1990. Vol. 13. P. 126. doi: 10.1007/BF02857788
- Huisgen R., Grashey R., Seidel M., Wallbillich G., Knupfer H., Schmidt R. // Justus Liebigs Ann. 1962. Vol. 653. P. 105. doi: 10.1002/jlac.19626530113
- Hoque A.K.M.M., Kovelesky A.C., Wang-Keun L., Shine H.J. // Tetrahedron Lett. 1985. Vol. 26. P. 5655. doi: 10.1016/s0040-4039 (01) 80911-4
- Li Y., Hong D., Lu P., Wang Y. // Tetrahedron Lett. 2011. Vol. 52. P. 4161. doi: 10.1016/j.tetlet.2011.05.147
- Ibrahim M.K.A., Elghandour A.H.H., Elshikh S.M.M., Mishael S.A. // Indian J. Chem. 1997. Vol. 36B. P. 91. https://nopr.niscpr.res.in/handle/123456789/57013
- Sodagar E., Yavari I., Nematpour M. // Monatsh. Chem. 2015. Vol. 146. P. 2135. doi: 10.1007/s00706-015-1495-7
- Ren D., Kuang G., Li X. // Chem. Heterocycl. Compd. 2018. Vol. 54. P. 1117. doi: 10.1007/s10593-019-02401-z
- Askar D., Liu X., Obolda A., Xu W., Xu Y., Wang G., Wang T., Zhai H., Cheng B. // Synthesis. 2023. Vol. 55. P. 1561. doi: 10.1055/a-1994-8251
- Cao G., Liu X., Wang L., Li Y., Teng D. // Tetrahedron. 2020. Vol. 76. Article ID 131568. doi: 10.1016/j.tet.2020.131568
- Huang H., Pu Y., Zhu D., Zhang C., Yang J., Liu C., Zhang X., Tao F., Li M.-M., Lu J. // Tetrahedron. 2023. Vol. 131. Article ID 133203. doi: 10.1016/j.tet.2022.133203
- Wang Y., Xiong C., Zhong J., Zhou Q. // Tetrahedron. 2022. Vol. 115. Article ID 132790. doi: 10.1016/j.tet.2022.132790
- Xu Q., Jia V., Wu Y., Hu B., Xin J., Liu Y., Gao W., Li D. // J. Org. Chem. 2022. Vol. 87. P. 14496. doi: 10.1021/acs.joc.2c01910
- Gao D., Zhai H., Parvez M., Back T.G. // J. Org. Chem. 2008. Vol. 73. P. 8057. doi: 10.1021/jo801621d
- Silvani A., Manenti M., Molteni G. // Synthesis. 2023. Vol. 55. P. 1150. doi: 10.1055/s-0042-1751770
- Rathelot P., Azas N., El-Kashef H., Delmas F., Di Giorgio C., Timon-David P., Maldonado J., Vanelle P. // Eur. J. Med. Chem. 2002. Vol. 37. P. 671. doi: 10.1016/S0223-5234 (02) 01388-0
- Потопник М.А., Матийчук В.С., Обушак М.Д. // ЖОрХ. 2017. Т. 53. С. 67; Potopnyk M.A., Matiichuk V.S., Obushak M.D. // Russ. J. Org. Chem. 2017. Vol. 53. P. 62. doi: 10.1134/S1070428017010110
- Khalifa N.M., Al-Omar M.A., Ali O.M. // Russ. J. Gen. Chem. 2017. Vol. 87. P. 2699. doi: 10.1134/S1070363217110275
- Choudhare T.S., Wagare D.S., Shirsath S.E., Prashant D Netankar. // J. Chem. Sci. 2021. Vol. 133. Article ID 69. doi: 10.1007/s12039-021-01939-w
- Wang K., Lv X.-L., Feng D., Li J., Chen S., Sun J., Song L., Xie Y., Li J.-R., Zhou H.-C. // J. Am. Chem. Soc. 2016. Vol. 138. P. 914. doi: 10.1021/jacs.5b10881
- Mamatha S.V, Belagali S.L., Bhat M., Joshi B.K. // Chem. Data Collections. 2022. Vol. 41. Article ID 100930. doi: 10.1016/j.cdc.2022.100930
- Alshabani L.A., Kumar A., Willcocks S.J., Srithiran G., Bhakta S., Estrada D.F., Simons C. // RSC Med. Chem. 2022. Vol. 13. P. 1350. doi: 10.1039/d2md00155a
- Паперная Л.К., Шатрова А.А., Албанов А.И., Левковская Г.Г. // ЖОрХ. 2018. Т. 54. С. 731; Papernaya L.K., Shatrova А.А., Albanov А.I., Levkovskaya G.G. // Russ. J. Org. Chem. 2018. Vol. 54. P. 734. doi: 10.1134/S107042801805010X
- Khalifa N.M., Al-Omar M.A., Nossier E.S. // Russ. J. Gen. Chem. 2017. Vol. 87. P. 846. doi: 10.1134/S1070363217040296
Supplementary files












































